Including Urban Heat Island in Bioclimatic Early-Design Phases: A Simplified Methodology and Sample Applications
Abstract
1. Introduction
Paper’s Objectives and Structure
- Furthermore, the following specific objectives were also pursued:
- To underline the importance in considering, from early-design phases, the urban dimension in local typical weather conditions during climate analyses due to the high impact of urban morphologies with respect to rural sites via sample case studies;
- To analyze the influence of urban morphed climate on early-design bioclimatic key performance indicators (KPIs), i.e., local heating and cooling degree days/hours (HDD/H, CDD/H), bioclimatic comfort hour calculations using bioclimatic charts, solar analyses (the number of sun-exposed hours), and the local climatic potential of low-energy cooling techniques, adopting sample case studies;
- To compare urban morphological effects on six sample locations characterized by different climatic conditions.
2. Methodology
2.1. Urban Morphological Data
2.2. UHI—Temperature and Humidity
2.3. Energy-Climatic KPI
2.4. Bioclimatic Technological Potential KPIs
2.4.1. Bioclimatic Charts
2.4.2. Climatic Ventilative Cooling Potential
2.4.3. Surface Exposure to Direct Solar Radiation (Hours)
2.5. The Chosen Sample Set of Locations
- Ås, Norway (59°39′36.0″ N 10°46′55.2″ E) is located at the Oslo Fjord and near Oslo. It has a humid continental climate (Köppen–Geiger: Dfb).
- Harbin, China (45°45′00.0″ N 126°45′36.0″ E) is located in northeast China. It features a monsoon-influenced, humid continental climate (Köppen–Geiger: Dwa).
- Turin, Italy (45°10′58.8″ N 7°39′00.0″ E) is located in northern Italy. It has a subtropical climate (Köppen–Geiger: Cfa)—the case of Section 3.
- Zhongshan, China (22°34′58.8″ N 113°21′00.0″ E) is located in southern China, near Macau, Canton, and Hong Kong. It has a monsoon-influenced humid subtropical climate (Köppen–Geiger: Cwa).
- Sevilla, Spain (37°24′36.0″ N 5°54′00.0″ W) is located in the southwest of the Iberian Peninsula. It has a Mediterranean climate (Köppen–Geiger: Csa).
- Singapore (1°22′01.2″ N 103°58′58.8″ E) is an island city state located near the equator. It has a tropical rainforest climate (Köppen–Geiger: Af).
3. Results
3.1. Climate–Energy KPIs
3.2. Morphological and Bioclimatic Applicability Parameters
3.3. Climatic Ventilative Cooling Potential
3.4. Solar Exposure
4. Discussion
4.1. Comparison Building Morphological Type with a Real Urban Tissue
4.2. Climate Performance in Different Climate Conditions
4.3. Climate Performance in Predicted Future
4.4. Study’s Limitations
5. Conclusions
- -
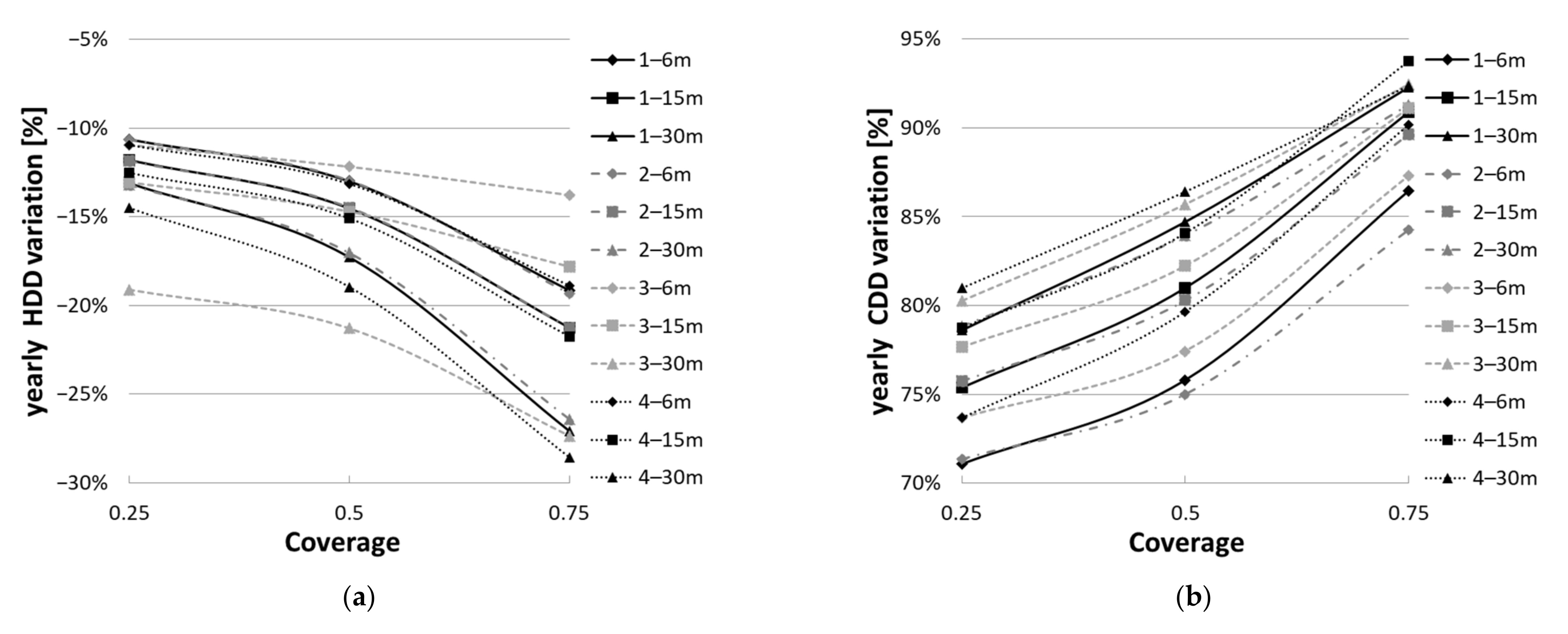
- Higher densities and higher building heights correspond with higher increases in average air temperature, leading to a greater reduction in HDD and greater increase in CDD;
- -
- For a given w/h, case 2 (linear buildings) had the largest reduction in yearly HDD, while case 1 (parallelepiped building with squared base) had the lowest increase in yearly CDD;
- -
- With a w/x value around 1, case 3 with a building height of 30 m had the largest reduction in yearly HDD, while case 2 with a building height of 30 m had the lowest increase in yearly CDD;
- -
- On south and north facades, case 2 showed higher solar exposure.
Author Contributions
Funding
Institutional Review Board Statement
Informed Consent Statement
Data Availability Statement
Acknowledgments
Conflicts of Interest
References
- United Nations. World Urbanization Prospects: The 2018 Revision; United Nations: New York, NY, USA, 2019; ISBN 978-92-1-148319-2. [Google Scholar]
- Oke, T.R. Urban Climates; Cambridge University Press: Cambridge, UK; New York, NY, USA, 2017; ISBN 978-1-139-01647-6. [Google Scholar]
- Beckers, B. Solar Energy at Urban Scale; John Wiley & Sons: Somerset, UK, 2013; ISBN 978-1-118-61436-5. [Google Scholar]
- Erell, E.; Pearlmutter, D.; Williamson, T.J. Urban Microclimate Designing the Spaces between Buildings; Earthschan: Abingdon, UK, 2015; ISBN 978-1-138-99398-3. [Google Scholar]
- Oke, T.R. City Size and the Urban Heat Island. Atmos. Environ. (1967) 1973, 7, 769–779. [Google Scholar] [CrossRef]
- Santamouris, M.; Cartalis, C.; Synnefa, A.; Kolokotsa, D. On the Impact of Urban Heat Island and Global Warming on the Power Demand and Electricity Consumption of Buildings—A Review. Energy Build. 2015, 98, 119–124. [Google Scholar] [CrossRef]
- Santamouris, M. On the Energy Impact of Urban Heat Island and Global Warming on Buildings. Energy Build. 2014, 82, 100–113. [Google Scholar] [CrossRef]
- Dong, W.; Liu, Z.; Zhang, L.; Tang, Q.; Liao, H.; Li, X. Assessing Heat Health Risk for Sustainability in Beijing’s Urban Heat Island. Sustainability 2014, 6, 7334–7357. [Google Scholar] [CrossRef]
- Yang, F.; Chen, L. High-Rise Urban Form and Microclimate: Climate-Responsive Design for Asian Mega-Cities; Springer: Singapore, 2020; ISBN 9789811517143. [Google Scholar]
- Peng, J.; Hu, Y.; Dong, J.; Liu, Q.; Liu, Y. Quantifying Spatial Morphology and Connectivity of Urban Heat Islands in a Megacity: A Radius Approach. Sci. Total Environ. 2020, 714, 136792. [Google Scholar] [CrossRef]
- United Nations. The World’s Cities in 2018—Data Booklet; United Nations: New York, NY, USA, 2018. [Google Scholar]
- Jin, H.; Cui, P.; Wong, N.; Ignatius, M. Assessing the Effects of Urban Morphology Parameters on Microclimate in Singapore to Control the Urban Heat Island Effect. Sustainability 2018, 10, 206. [Google Scholar] [CrossRef]
- Cocci Grifoni, R.; D’Onofrio, R.; Sargolini, M.; Pierantozzi, M. A Parametric Optimization Approach to Mitigating the Urban Heat Island Effect: A Case Study in Ancona, Italy. Sustainability 2016, 8, 896. [Google Scholar] [CrossRef]
- Palme, M.; Villacreses, G.; Lobato-Cordero, A.; Cordovez, M.; Macias, J.; Soriano, G. Estimating the Urban Heat Island Effect in the City of Guayaquil. In Proceedings of the FICUP 2016—An International Conference on Urban Physics, Quito – Galápagos, Ecuador, 26–30 September 2016; Available online: https://www.researchgate.net/publication/308255787_Estimating_the_Urban_Heat_Island_Effect_in_the_City_of_Guayaquil (accessed on 2 May 2021).
- Palme, M.; La Rosa, D.; Privitera, R.; Chiesa, G. Evaluating the Potential Energy Savings of an Urban Green Infrastructure through Environmental Simulation. In Proceedings of the 16th IBPSA International Conference & Exhibition Building Simulation 2019, Rome, Italy, 2–4 September 2019; pp. 3524–3530. [Google Scholar]
- Olgyay, V.; Olgyay, A.; Lyndon, D.; Olgyay, V.W.; Reynolds, J.; Yeang, K. Design with Climate: Bioclimatic Approach to Architectural Regionalism, New and Expanded ed.; Princeton University Press: Princeton, NJ, USA, 2015; ISBN 978-0-691-16973-6. [Google Scholar]
- Chiesa, G. (Ed.) Bioclimatic Approaches in Urban and Building Design; Springer Nature: Cham, Switzerland, 2021; ISBN 978-3-030-59328-5. [Google Scholar]
- Salvati, A.; Coch, H.; Morganti, M. Effects of Urban Compactness on the Building Energy Performance in Mediterranean Climate. Energy Proc. 2017, 122, 499–504. [Google Scholar] [CrossRef]
- Morganti, M.; Salvati, A.; Coch, H.; Cecere, C. Urban Morphology Indicators for Solar Energy Analysis. Energy Proc. 2017, 134, 807–814. [Google Scholar] [CrossRef]
- Ratti, C.; Raydan, D.; Steemers, K. Building Form and Environmental Performance: Archetypes, Analysis and an Arid Climate. Energy Build. 2003, 35, 49–59. [Google Scholar] [CrossRef]
- Pearlmutter, D.; Berliner, P.; Shaviv, E. Evaluation of Urban Surface Energy Fluxes Using an Open-Air Scale Model. J. Appl. Meteorol. 2005, 44, 532–545. [Google Scholar] [CrossRef]
- Ng, E. (Ed.) Designing High-Density Cities for Social and Environmental Sustainability; Earthscan: London, UK; Sterling, VA, USA, 2010; ISBN 978-1-84407-460-0. [Google Scholar]
- Chokhachian, A.; Perini, K.; Giulini, S.; Auer, T. Urban Performance and Density: Generative Study on Interdependencies of Urban Form and Environmental Measures. Sustain. Cities Soc. 2020, 53, 101952. [Google Scholar] [CrossRef]
- Lima, I.; Scalco, V.; Lamberts, R. Estimating the Impact of Urban Densification on High-Rise Office Building Cooling Loads in a Hot and Humid Climate. Energy Build. 2019, 182, 30–44. [Google Scholar] [CrossRef]
- Çalışkan, O.; Sakar, B. Design for Mitigating Urban Heat Island: Proposal of a Parametric Model. ICONARP Int. J. Archit. Plan. 2019, 7, 158–181. [Google Scholar] [CrossRef]
- Palme, M.; Inostroza, L.; Villacreses, G.; Lobato-Cordero, A.; Carrasco, C. From Urban Climate to Energy Consumption. Enhancing Building Performance Simulation by Including the Urban Heat Island Effect. Energy Build. 2017, 145, 107–120. [Google Scholar] [CrossRef]
- Salvati, A.; Palme, M.; Chiesa, G.; Kolokotroni, M. Built Form, Urban Climate and Building Energy Modelling: Case-Studies in Rome and Antofagasta. J. Build. Perform. Simul. 2020, 13, 209–225. [Google Scholar] [CrossRef]
- Davis, D. The MacLeamy Curve 2011. Available online: https://www.danieldavis.com/macleamy/ (accessed on 2 May 2021).
- Davis, D. Modelled on Software Engineering: Flexible Parametric Models in the Practice of Architecture. Ph.D. Thesis, RMIT University, Melbourne, Australia, 2013. [Google Scholar]
- Paulson, B. Designign to Reduce Construction Costs. J. Constr. Div. 1976, 102, 587–592. [Google Scholar] [CrossRef]
- Chiesa, G. Technological Paradigms and Digital Eras Data-Driven Visions for Building Design; Springer: Cham, Switzerland, 2020; ISBN 978-3-030-26199-3. [Google Scholar]
- Sayigh, A. Mediterranean Green Buildings & Renewable Energy: Selected Papers from the World Renewable Energy Network’s Med Green Forum; Springer Science+Business Media: New York, NY, USA, 2016; ISBN 978-3-319-30745-9. [Google Scholar]
- UNI. Edilizia Residenziale. Sistema Tecnologico. Analisi Dei Requisiti; UNI: Milano, Italy, 1983. [Google Scholar]
- UNI. Edilizia. Esigenze Dell’ Utenza Finale. Classificazione; UNI: Milano, Italy, 1981. [Google Scholar]
- Ciribini, G. Brevi Note di Metodologia Della Progettazione Architettonica, Quaderni di Studio ed.; Politecnico di Torino: Torino, Italy, 1968. [Google Scholar]
- Grosso, M.; Peretti, G.; Piardi, S.; Scudo, G. Progettazione Ecocompatibile Dell’architettura: Concetti e Metodi, Strumenti D’analisi e Valutazione, Esempi Applicativi; Sistemi Editoriali: Napoli, Italy, 2005; ISBN 978-88-513-0286-3. [Google Scholar]
- Watson, D.; Labs, K. Climatic Design. Energy-Efficient Building Principles and Practice; McGraw-Hill: New York, NY, USA, 1983. [Google Scholar]
- Behar, O.; Khellaf, A.; Mohammedi, K. Comparison of Solar Radiation Models and Their Validation under Algerian Climate—The Case of Direct Irradiance. Energy Convers. Manag. 2015, 98, 236–251. [Google Scholar] [CrossRef]
- Chiesa, G.; Grosso, M. Direct Evaporative Passive Cooling of Building. A Comparison amid Simplified Simulation Models Based on Experimental Data. Build. Environ. 2015, 94, 263–272. [Google Scholar] [CrossRef]
- MIT. UWG—Urban Weather Generator; MIT: Boston, MA, USA, 2015. [Google Scholar]
- Bueno, B.; Norford, L.; Hidalgo, J.; Pigeon, G. The Urban Weather Generator. J. Build. Perform. Simul. 2013, 6, 269–281. [Google Scholar] [CrossRef]
- Nakano, A.; Bueno, B.; Norford, L.; Reinhart, C. Urban Weather Generator—A Novel Workflow for Integrating Urban Heat Island Effect within Urban Design Process. In Proceedings of the 14th Conference of International Building Performance Simulation Association, Hyderabad, India, 7–9 December 2015; pp. 1901–1908. [Google Scholar]
- Bueno Unzeta, B. An Urban Weather Generator Coupling a Building Simulation Program with an Urban Canopy Model. Ph.D. Thesis, MIT, Cambridge, MA, USA, 2010. [Google Scholar]
- Bueno Unzeta, B. Study and Prediction of the Energy Interactions between Buildings and the Urban Climate. Ph.D. Thesis, MIT, Cambridge, MA, USA, 2012. [Google Scholar]
- Salvati, A.; Monti, P.; Coch Roura, H.; Cecere, C. Climatic Performance of Urban Textures: Analysis Tools for a Mediterranean Urban Context. Energy Build. 2019, 185, 162–179. [Google Scholar] [CrossRef]
- Salvati, A.; Coch Roura, H.; Cecere, C. Urban heat island prediction in the mediterranean context: An evaluation of the urban weather generator model. ACE Archit. City Environ. 2016, 11, 135–156. [Google Scholar] [CrossRef]
- Morganti, M. Urban Heat Island Phenomenon and Simulation Tools. Lecture, Winter School—Architecture and Urban Physics IV—Radiation, Climate and Comfort; Politecnico di Torino: Torino, Italy, 2020; Available online: https://international.polito.it/catalogue/summer_schools/2020/architecture_and_urban_physics_iv_winter_school. (accessed on 2 May 2021).
- European Environmental Agency. INDICATOR SPECIFICATION: Heating and Cooling Degree Days 2019; European Environmental Agency: Copenaghen, Denmark, 2019. [Google Scholar]
- Spinoni, J.; Vogt, J.; Barbosa, P. European Degree-Day Climatologies and Trends for the Period 1951–2011. Int. J. Climatol. 2015, 35, 25–36. [Google Scholar] [CrossRef]
- Spinoni, J.; Vogt, J.V.; Barbosa, P.; Dosio, A.; McCormick, N.; Bigano, A.; Füssel, H.-M. Changes of Heating and Cooling Degree-Days in Europe from 1981 to 2100: HDD and CDD in europe from 1981 to 2100. Int. J. Climatol. 2018, 38, e191–e208. [Google Scholar] [CrossRef]
- Heiselberg, P. IEA EBC Annex 62—Ventilative Cooling Design Guide; Aalborg University: Aalborg, Denmark, 2018; p. 122. [Google Scholar]
- Chiesa, G.; Zajch, A. Contrasting Climate-Based Approaches and Building Simulations for the Investigation of Earth-to-Air Heat Exchanger (EAHE) Cooling Sensitivity to Building Dimensions and Future Climate Scenarios in North America. Energy Build. 2020, 227, 110410. [Google Scholar] [CrossRef]
- Xuan, H.; Ford, B. Climatic Applicability of Downdraught Cooling in China. Archit. Sci. Rev. 2012, 55, 273–286. [Google Scholar] [CrossRef]
- Lee, K.; Baek, H.-J.; Cho, C. The Estimation of Base Temperature for Heating and Cooling Degree-Days for South Korea. J. Appl. Meteorol. Climatol. 2014, 53, 300–309. [Google Scholar] [CrossRef]
- DPR 412/1993. In Decreto del Presidente della Repubblica 26 Agosto 1993, n. 412—Regolamento Recante Norme per la Progettazione, L’installazione, L’esercizio e la Manutenzione Degli Impianti Termici Degli Edifici ai fini del Contenimento dei Consumi di Energia, in Attuazione dell’art. 4, Comma 4, Della Legge 9 Gennaio 1991, n. 10 e Successive Modificazioni; Istituto Poligrafico e Zecca dello Stato: Foggia, Italy, 1993.
- CIBSE. Degree-Days: Theory and Application (TM41: 2006); The Chartered Institution of Building Services Engineers: London, UK, 2006. [Google Scholar]
- Chiesa, G.; von Hardenberg, J. Including Climate Change Time-Dimensions in Bioclimatic Design. TECHNE J. Technol. Archit. Environ. 2020, 20, 201–212. [Google Scholar] [CrossRef]
- ISO. Hygrothermal Performance of Buildings—Calculation and Presentation of Climatic Data Accumulated Temperature Differences (Degree-Days); ISO: Geneva, Switzerland, 2007. [Google Scholar]
- UNI. Heating and Cooling of Buildings—Climatic Data—Part 2: Data for Design Load; UNI: Milano, Italy, 2016. [Google Scholar]
- Santamouris, M.; Asimakopolous, D. (Eds.) Passive Cooling of Buildings; James and James: London, UK, 1996. [Google Scholar]
- Annex 80 IEA EBC Annex 80—Resilient Cooling of Buildings—2021. Available online: https://venticool.eu/annex-80-home/ (accessed on 2 May 2021).
- EUROSTAT. Energy Statistics—Cooling and Heating Degree Days (Nrg_chdd). Available online: https://ec.europa.eu/eurostat/cache/metadata/en/nrg_chdd_esms.htm (accessed on 2 May 2021).
- Meteotest. METEONORM; Meteotest Genossenschaft: Bern, Switzerland, 2015. [Google Scholar]
- EnergyPlus. EnergyPlus Weather Data. Available online: https://energyplus.net/weather (accessed on 2 May 2021).
- UNI. Riscaldamento e Raffrescamento Degli Edifici—Dati Climatici—Parte 3: Differenze Di Temperatura Cumulate (Gradi Giorno) Ed Altri Indici Sintetici; UNI: Milano, Italy, 2016. [Google Scholar]
- Zajch, A.; Gough, W.A.; Chiesa, G. Earth–Air Heat Exchanger Geo-Climatic Suitability for Projected Climate Change Scenarios in the Americas. Sustainability 2020, 12, 10613. [Google Scholar] [CrossRef]
- Kolokotroni, M.; Heiselberg, P. IEA EBC Annex 62—Ventilative Cooling State-of-the-Art Review; Aalborg University: Aalborg, Denmark, 2015. [Google Scholar]
- Guo, R.; Hu, Y.; Liu, M.; Heiselberg, P. Influence of Design Parameters on the Night Ventilation Performance in Office Buildings Based on Sensitivity Analysis. Sustain. Cities Soc. 2019, 50, 101661. [Google Scholar] [CrossRef]
- Chiesa, G. Calculating the Geo-Climatic Potential of Different Low-Energy Cooling Techniques. Build. Simul. 2019, 12, 157–168. [Google Scholar] [CrossRef]
- Flourentzou, F.; Bonvin, J. Energy Performance Indicators for Ventilative Cooling. In Proceedings of the 38th AIVC Conference, Nottingham, UK, 13–14 September 2017; p. 10. [Google Scholar]
- Givoni, B. Man, Climate, and Architecture; Elsevier Architectural Science Series; Elsevier: Amsterdam, The Netherlands; New York, NY, USA, 1969; ISBN 978-0-444-20039-6. [Google Scholar]
- Pajek, L.; Košir, M. Can Building Energy Performance Be Predicted by a Bioclimatic Potential Analysis? Case Study of the Alpine-Adriatic Region. Energy Build. 2017, 139, 160–173. [Google Scholar] [CrossRef]
- Dorcas Mobolade, T.; Pourvahidi, P. Bioclimatic Approach for Climate Classification of Nigeria. Sustainability 2020, 12, 4192. [Google Scholar] [CrossRef]
- Lam, J.C.; Yang, L.; Liu, J. Development of Passive Design Zones in China Using Bioclimatic Approach. Energy Convers. Manag. 2006, 47, 746–762. [Google Scholar] [CrossRef]
- Bhamare, D.K.; Rathod, M.K.; Banerjee, J. Evaluation of Cooling Potential of Passive Strategies Using Bioclimatic Approach for Different Indian Climatic Zones. J. Build. Eng. 2020, 31, 101356. [Google Scholar] [CrossRef]
- Koenigsberger, O.H. (Ed.) Manual of Tropical Housing and Building: Climatic Design; Universities Press: Hyderabad, India, 2014; ISBN 978-81-7371-697-3. [Google Scholar]
- Grosso, M. Present and future challenges and opportunities in the built environment. In Bioclimatic Approaches in Urban and Building Design; Chiesa, G., Ed.; PoliTO Springer Series; Springer: Cham, Switzerland, 2020; pp. 111–152. ISBN 978-3-030-59327-8. [Google Scholar]
- Liggett, R.; Milne, M. Climate Consultant 6.0; UCLA Energy Design Tools Group: Los Angeles, CA, USA, 2017. [Google Scholar]
- Erell, E. Evaporative cooling. In Advances in Passive Cooling; Earthscan: London, UK, 2007; pp. 228–261. [Google Scholar]
- Chiesa, G.; Huberman, N.; Pearlmutter, D. Geo-Climatic Potential of Direct Evaporative Cooling in the Mediterranean Region: A Comparison of Key Performance Indicators. Build. Environ. 2019, 151, 318–337. [Google Scholar] [CrossRef]
- Ladybug Tools LLC. LadyBug; Ladybug Tools LLC: Baltimore, MD, USA, 2017. [Google Scholar]
- Santamouris, M. (Ed.) Cooling Energy Solutions for Buildings and Cities; World Scientific: Hackensack, NJ, USA, 2019; ISBN 978-981-323-696-7. [Google Scholar]
- Chiesa, G.; Grosso, M. Geo-Climatic Applicability of Natural Ventilative Cooling in the Mediterranean Area. Energy Build. 2015, 107, 376–391. [Google Scholar] [CrossRef]
- Chiesa, G. Climatic Potential Maps of Ventilative Cooling Techniques in Italian Climates Including Resilience to Climate Changes. IOP Conf. Ser. Mater. Sci. Eng. 2019, 609, 032039. [Google Scholar] [CrossRef]
- Flourentzou, F.; Bonvin, J. COOLINGVENT—Refroidissement Par Ventilation Pour Les Bâtiments à Basse Consommation, Rénovés Ou Neufs. IEA ECBCS Annex 62 on Ventilative Cooling; OFEN: Geneva, Switzerland, 2017; p. 96. [Google Scholar]
- Corgnati, S.P.; Kindinis, A. Thermal Mass Activation by Hollow Core Slab Coupled with Night Ventilation to Reduce Summer Cooling Loads. Build. Environ. 2007, 42, 3285–3297. [Google Scholar] [CrossRef]
- Artmann, N.; Manz, H.; Heiselberg, P. Climatic Potential for Passive Cooling of Buildings by Night-Time Ventilation in Europe. Appl. Energy 2007, 84, 187–201. [Google Scholar] [CrossRef]
- Olgyay, V.; Olgyay, A. (Eds.) Solar Control & Shading Devices; 1. Princeton paperback print; Princeton University Press: Princeton, NJ, USA, 1976; ISBN 978-0-691-08186-1. [Google Scholar]
- Grosso, M. Dinamica Delle Ombre; Celid: Torino, Italy, 1986; ISBN 978-88-7661-120-9. [Google Scholar]
- Chiesa, G.; Grosso, M. An Environmental Technological Approach to Architectural Programming for School Facilities. In Mediterranean Green Buildings & Renewable Energy; Sayigh, A., Ed.; Springer: Cham, Switzerland, 2017; pp. 701–715. ISBN 978-3-319-30745-9. [Google Scholar]
- Kottek, M.; Grieser, J.; Beck, C.; Rudolf, B.; Rubel, F. World Map of the Köppen-Geiger Climate Classification Updated. Meteorol. Z. 2006, 15, 259–263. [Google Scholar] [CrossRef]
- Beck, H.E.; Zimmermann, N.E.; McVicar, T.R.; Vergopolan, N.; Berg, A.; Wood, E.F. Present and Future Köppen-Geiger Climate Classification Maps at 1-Km Resolution. Sci. Data 2018, 5, 180214. [Google Scholar] [CrossRef] [PubMed]
- Repubblica Italiana; ENEA. Tab.A Allegata al D.P.R. 412/93 Aggiornata al 31 Ottobre 2009—Zone Climatiche Elenco Dei Comuni Italiani Diviso per Regioni e Provincie; ENEA: Rome, Italy, 2009. [Google Scholar]
- Terrinoni, L.; Signoretti, P.; Iatauro, D. Indice di Severità Climatica: Classificazione dei Comuni Italiani ai Fini Della Climatizzazione Estiva Degli Edifici; ENEA—Ministero dello Sviluppo Economico: Rome, Italy, 2012; p. 187.
- Givoni, B. Passive and Low Energy Cooling of Buildings; Van Nostrand Reinhold: New York, NY, USA, 1994. [Google Scholar]
- Chiesa, G.; Kolokotroni, M.; Heiselberg, P. (Eds.) Innovations in Ventilative Cooling; Springer: Cham, Switzerland, 2021; ISBN 978-3-030-72384-2. [Google Scholar]
- Grosso, M. (Ed.) Il Raffrescamento Passivo Degli Edifici, IV ed.; Maggioli: Sant’Arcangelo di Romagna, Italy, 2017; ISBN 8891622204. [Google Scholar]
- Meteotest. Meteteonorm Handbook Part I; Meteotest: Bern, Switzerland, 2017. [Google Scholar]


















| Morphological Type | Plot Top View | Coverage | Canyon w (m) 1 | Building Size X (m) | w/x | Building Height h (m) | w/h |
|---|---|---|---|---|---|---|---|
| Case 1 | ![]() | 25% | 50 | 50 | 1 | 6 | 8.33 |
| 15 | 3.33 | ||||||
| 30 | 1.67 | ||||||
![]() | 50% | 29.3 | 70.7 | 0.41 | 6 | 4.88 | |
| 15 | 1.95 | ||||||
| 30 | 0.98 | ||||||
![]() | 75% | 13.4 | 86.6 | 0.15 | 6 | 2.33 | |
| 15 | 0.89 | ||||||
| 30 | 0.45 | ||||||
| Case 2 | ![]() | 25% | 75 | 25 | 3 | 6 | 12.5 |
| 15 | 5 | ||||||
| 30 | 2.5 | ||||||
![]() | 50% | 50 | 50 | 1 | 6 | 8.33 | |
| 15 | 3.33 | ||||||
| 30 | 1.67 | ||||||
![]() | 75% | 25 | 75 | 0.33 | 6 | 4.17 | |
| 15 | 1.67 | ||||||
| 30 | 0.83 | ||||||
| Case 3 | ![]() | 25% | 37.5 | 25 | 1.5 | 6 | 6.25 |
| 15 | 2.5 | ||||||
| 30 | 1.25 | ||||||
![]() | 50% | 25 | 50 | 0.5 | 6 | 4.17 | |
| 15 | 1.67 | ||||||
| 30 | 0.83 | ||||||
![]() | 75% | 12.5 | 75 | 0.17 | 6 | 2.08 | |
| 15 | 0.83 | ||||||
| 30 | 0.42 | ||||||
| Case 4 | ![]() | 25% | 27.83 | / | / | 6 | 4.64 |
| 15 | 1.86 | ||||||
| 30 | 0.93 | ||||||
![]() | 50% | 19.32 | / | / | 6 | 3.22 | |
| 15 | 1.29 | ||||||
| 30 | 0.64 | ||||||
![]() | 75% | 11.61 | / | / | 6 | 1.94 | |
| 15 | 0.78 | ||||||
| 30 | 0.39 |
| Category | UWG Input Parameter | Value | Unit |
|---|---|---|---|
| Pavement Parameters | Road Albedo | 0.1 | - |
| Pavement Thickness | 0.5 | m | |
| Thermal conductivity | 1 | W/(m⋅K) | |
| Volumetric heat capacity | 1,600,000 | J/m3K | |
| Vegetation Parameters | Veg Start Month | 3 | - |
| Veg End Month | 10 | - | |
| Vegetation Albedo | 0.25 | - | |
| Latent Fraction of Grass | 0.5 (winter) 0.3 (summer) | - | |
| Latent Fraction of Tree | 0.5 (winter) 0.7 (summer) | - | |
| Boundary-Layer | Urban Boundary Layer Height—Day | 1000 | m |
| Urban Boundary Layer Height—Night | 50 | m | |
| Inversion Height | 150 | m | |
| Circulation Coefficient | 1.2 | - | |
| UCM–UBL Exchange Coefficient | 0.3 | - | |
| Reference EPW Parameters | Rural average obstacle height | 0.1 | m |
| Rural road vegetation coverage | 0.9 | - | |
| RSM temperature reference height | 2.6 | m | |
| RSM wind reference height | 10 | m |
| CMF | PSH | EC | HTM | NV | DC | |
|---|---|---|---|---|---|---|
| hours (h) | 599 | 4897 | 785 | 832 | 1107 | 2155 |
| percentage (%) | 6.84 | 55.90 | 8.96 | 9.53 | 12.64 | 24.60 |
| Arial Image of the Selected Urban Tissue | Axonometric Representation of the Real Urban Tissue | Axonometric Representation of Morphological Types | Morphological Data |
|---|---|---|---|
![]() | ![]() | ![]() | Case 1: Oslo suburban area Avg. building height: 7.7 m Coverage: 20% |
![]() | ![]() | ![]() | Case 2: Singapore Ang Mo Kio residential area Avg. building height: 38 m Coverage: 21% |
![]() | ![]() | ![]() | Case 3: Oslo downtown area Avg. building height: 18.4 m Coverage: 37% |
![]() | ![]() | ![]() | Case 4: Torino historical city center Avg. building height: 18.2 m Coverage: 0.63% |
| Morphological Type | MSE | RMSE | MAE | MAPE | R2 |
|---|---|---|---|---|---|
| Case 1 | 0.0002 | 0.0147 | 0.0021 | 0.00% | 1.0000 |
| Case 2 | 0.0028 | 0.0528 | 0.0278 | 0.02% | 0.9994 |
| Case 3 | 0.0100 | 0.100 | 0.0692 | 0.53% | 0.9999 |
| Case 4 | 0.1671 | 0.4088 | 0.2367 | 4.18% | 0.9984 |
| Torino | Singapore | Harbin | Sevilla | Zhongshan | Ås | |
|---|---|---|---|---|---|---|
| current | 2469.49 | 0.00 | 5061.61 | 790.75 | 288.41 | 4006.80 |
| future | 2089.44 | 0.00 | 5182.16 | 699.34 | 213.71 | 3940.21 |
| variation | −380.05 | / | 120.55 | −91.41 | −74.70 | −66.59 |
| % | −15% | / | 2% | −12% | −26% | −2% |
| Torino | Singapore | Harbin | Sevilla | Zhongshan | Ås | |
|---|---|---|---|---|---|---|
| current | 106.61 | 2056.22 | 130.15 | 714.47 | 1111.81 | 0.94 |
| future | 257.31 | 2269.32 | 158.74 | 826.02 | 1314.54 | 3.07 |
| variation | 150.70 | 213.11 | 28.58 | 111.56 | 202.73 | 2.13 |
| % | 141% | 10% | 22% | 16% | 18% | 226% |
Publisher’s Note: MDPI stays neutral with regard to jurisdictional claims in published maps and institutional affiliations. |
© 2021 by the authors. Licensee MDPI, Basel, Switzerland. This article is an open access article distributed under the terms and conditions of the Creative Commons Attribution (CC BY) license (https://creativecommons.org/licenses/by/4.0/).
Share and Cite
Chiesa, G.; Li, Y. Including Urban Heat Island in Bioclimatic Early-Design Phases: A Simplified Methodology and Sample Applications. Sustainability 2021, 13, 5918. https://doi.org/10.3390/su13115918
Chiesa G, Li Y. Including Urban Heat Island in Bioclimatic Early-Design Phases: A Simplified Methodology and Sample Applications. Sustainability. 2021; 13(11):5918. https://doi.org/10.3390/su13115918
Chicago/Turabian StyleChiesa, Giacomo, and Yingyue Li. 2021. "Including Urban Heat Island in Bioclimatic Early-Design Phases: A Simplified Methodology and Sample Applications" Sustainability 13, no. 11: 5918. https://doi.org/10.3390/su13115918
APA StyleChiesa, G., & Li, Y. (2021). Including Urban Heat Island in Bioclimatic Early-Design Phases: A Simplified Methodology and Sample Applications. Sustainability, 13(11), 5918. https://doi.org/10.3390/su13115918

























