Effect of Stage Volume Ratio on Audience Acoustics in Concert Halls
Abstract
1. Introduction
2. Experiment A: Stage Design Elements in Simple Model
2.1. Methods
2.1.1. Stage Design Elements
2.1.2. Computer Simulation
2.2. Results and Discussion
3. Experiment B: Stage Volume Ratio for Various Hall Shapes
3.1. Method
3.1.1. Selection of Concert Halls
3.1.2. Computer Simulation
3.2. Results and Discussion
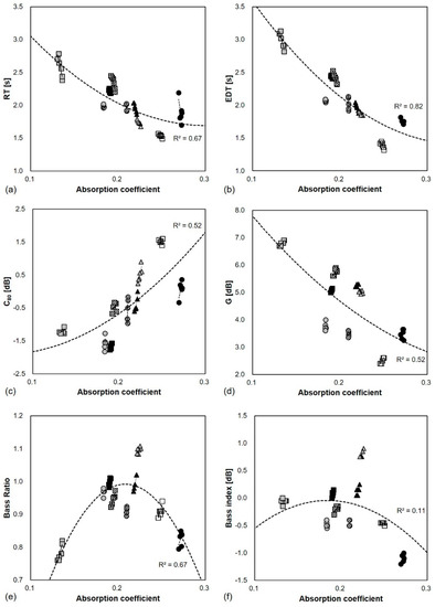
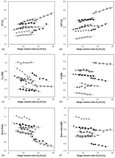
3.2.1. Effect of Stage Volume Ratio on Acoustic Parameters
3.2.2. Influence of Stage Absorption on Concert Hall Acoustics
3.2.3. Comparing Effect of Total Volume and Stage Volume Ratio
4. Conclusions
Author Contributions
Funding
Conflicts of Interest
Appendix A
| Acoustical Parameter | BO | VM | AM | LF | SA | GK | EB | LB | ST | |
| RT [s] | m | 0.01 | 0.06 | 0.06 | 0.01 | 0.05 | 0.02 | 0.08 | 0.01 | 0.03 |
| R2 | 0.71 | 0.98 | 0.93 | 0.79 | 0.96 | 0.95 | 0.85 | 0.72 | 0.81 | |
| Max | 2.26 | 2.79 | 2.45 | 1.57 | 2.04 | 1.79 | 2.19 | 2.02 | 2.03 | |
| Min | 2.18 | 2.39 | 2.20 | 1.49 | 1.86 | 1.68 | 1.70 | 1.96 | 1.92 | |
| Diff. | 0.08 | 0.40 | 0.25 | 0.08 | 0.18 | 0.12 | 0.49 | 0.06 | 0.11 | |
| Avg. | 2.22 | 2.59 | 2.35 | 1.54 | 1.96 | 1.74 | 1.89 | 1.99 | 1.97 | |
| EDT [s] | m | 0.01 | 0.05 | 0.05 | 0.03 | 0.04 | 0.01 | 0.08 | 0.01 | 0.05 |
| R2 | 0.55 | 0.95 | 0.97 | 0.82 | 0.99 | 0.86 | 0.99 | 0.72 | 0.89 | |
| Max | 2.46 | 3.13 | 2.53 | 1.45 | 2.04 | 1.83 | 2.19 | 2.09 | 2.14 | |
| Min | 2.41 | 2.82 | 2.32 | 1.32 | 1.88 | 1.78 | 1.82 | 2.04 | 1.92 | |
| Diff | 0.05 | 0.31 | 0.21 | 0.13 | 0.17 | 0.05 | 0.37 | 0.05 | 0.22 | |
| Avg. | 2.44 | 2.98 | 2.41 | 1.39 | 1.96 | 1.80 | 1.98 | 2.07 | 2.04 | |
| C80 [dB] | m | −0.04 | −0.02 | −0.03 | 0.00 | −0.16 | −0.22 | −0.16 | −0.09 | −0.18 |
| R2 | 0.64 | 0.31 | 0.10 | 0.01 | 0.88 | 0.99 | 0.89 | 0.88 | 0.78 | |
| Max | −1.57 | −1.07 | −0.33 | 1.60 | 0.00 | 0.87 | 0.30 | −1.27 | −0.17 | |
| Min | −1.77 | −1.27 | −0.67 | 1.40 | −0.60 | −0.13 | −0.47 | −1.83 | −0.97 | |
| Diff | 0.20 | 0.20 | 0.33 | 0.20 | 0.60 | 1.00 | 0.77 | 0.56 | 0.80 | |
| Avg. | −1.68 | −1.22 | −0.47 | 1.52 | −0.40 | 0.33 | −0.13 | −1.57 | −0.59 | |
| G [dB] | m | −0.03 | −0.03 | −0.05 | −0.05 | −0.03 | −0.01 | −0.08 | −0.07 | 0.04 |
| R2 | 0.94 | 0.81 | 0.42 | 0.91 | 0.56 | 0.23 | 0.97 | 0.86 | 0.32 | |
| Max | 5.15 | 6.85 | 5.90 | 2.60 | 5.25 | 5.85 | 4.70 | 4.00 | 3.60 | |
| Min | 5.00 | 6.65 | 5.60 | 2.40 | 5.15 | 5.75 | 4.30 | 3.60 | 3.35 | |
| Diff | 0.15 | 0.20 | 0.30 | 0.20 | 0.10 | 0.10 | 0.40 | 0.40 | 0.25 | |
| Avg. | 5.07 | 6.76 | 5.75 | 2.50 | 5.20 | 5.79 | 4.54 | 3.73 | 3.49 | |
| Bass Ratio | m | −0.01 | −0.01 | −0.01 | −0.01 | −0.01 | −0.01 | −0.01 | −0.00 | −0.01 |
| R2 | 0.78 | 0.86 | 0.87 | 0.70 | 0.96 | 0.59 | 0.87 | 0.00 | 0.73 | |
| Max | 1.01 | 0.82 | 0.97 | 0.94 | 1.02 | 1.11 | 0.87 | 0.98 | 0.92 | |
| Min | 0.98 | 0.76 | 0.92 | 0.89 | 0.97 | 1.07 | 0.79 | 0.95 | 0.90 | |
| Diff | 0.03 | 0.06 | 0.05 | 0.05 | 0.05 | 0.04 | 0.08 | 0.03 | 0.03 | |
| Avg. | 1.00 | 0.78 | 0.95 | 0.91 | 1.00 | 1.09 | 0.83 | 0.97 | 0.91 | |
| Bass index [dB] | m | −0.02 | 0.00 | −0.02 | 0.01 | −0.04 | −0.03 | −0.04 | 0.02 | −0.01 |
| R2 | 0.68 | 0.04 | 0.42 | 0.44 | 0.59 | 0.72 | 0.98 | 0.69 | 0.03 | |
| Max | 0.15 | 0.00 | −0.15 | −0.45 | 0.25 | 0.90 | −1.00 | −0.40 | −0.40 | |
| Min | 0.00 | −0.15 | −0.30 | −0.50 | 0.05 | 0.75 | −1.20 | −0.55 | −0.50 | |
| Diff | 0.15 | 0.15 | 0.15 | 0.05 | 0.20 | 0.15 | 0.20 | 0.15 | 0.10 | |
| Avg. | 0.08 | −0.06 | −0.20 | −0.46 | 0.13 | 0.79 | −1.09 | −0.48 | −0.47 | |
Appendix B
| Acoustical Parameter | Stage Volume [%] | BO | VM | AM | LF | SA | GK | EB | LB | ST |
| RT125−250Hz [s] | −20 | 2.20 | 1.96 | 2.14 | 1.40 | 1.90 | 1.86 | 1.48 | 1.92 | 1.78 |
| −10 | 2.22 | 1.97 | 2.16 | 1.39 | 1.95 | 1.88 | 1.52 | 1.90 | 1.76 | |
| 0 | 2.20 | 2.00 | 2.23 | 1.40 | 1.94 | 1.88 | 1.52 | 1.91 | 1.77 | |
| 10 | 2.22 | 2.04 | 2.28 | 1.40 | 1.97 | 1.91 | 1.54 | 1.93 | 1.84 | |
| 20 | 2.22 | 2.06 | 2.26 | 1.40 | 1.99 | 1.92 | 1.57 | 1.91 | 1.81 | |
| 30 | 2.21 | 2.13 | 2.26 | 1.40 | 1.98 | 1.91 | 1.72 | 1.98 | 1.84 | |
| RT500−1000Hz [s] | −20 | 2.18 | 2.39 | 2.20 | 1.49 | 1.86 | 1.68 | 1.70 | 1.98 | 1.92 |
| −10 | 2.20 | 2.44 | 2.26 | 1.53 | 1.91 | 1.72 | 1.83 | 1.96 | 1.92 | |
| 0 | 2.20 | 2.56 | 2.34 | 1.54 | 1.95 | 1.73 | 1.81 | 1.97 | 1.93 | |
| 10 | 2.24 | 2.65 | 2.40 | 1.55 | 1.98 | 1.74 | 1.89 | 1.99 | 2.03 | |
| 20 | 2.26 | 2.71 | 2.43 | 1.54 | 2.04 | 1.77 | 1.92 | 2.01 | 2.02 | |
| 30 | 2.23 | 2.79 | 2.45 | 1.57 | 2.04 | 1.79 | 2.19 | 2.02 | 2.03 | |
| G125 [dB] | −20 | 5.30 | 6.80 | 5.60 | 2.10 | 5.50 | 6.70 | 3.70 | 3.45 | 3.05 |
| −10 | 5.20 | 6.80 | 5.60 | 2.15 | 5.40 | 6.70 | 3.60 | 3.30 | 2.90 | |
| 0 | 5.20 | 6.70 | 5.70 | 2.05 | 5.30 | 6.50 | 3.60 | 3.20 | 3.05 | |
| 10 | 5.10 | 6.60 | 5.70 | 2.05 | 5.30 | 6.60 | 3.40 | 3.25 | 2.85 | |
| 20 | 5.10 | 6.60 | 5.40 | 1.95 | 5.30 | 6.50 | 3.30 | 3.10 | 3.20 | |
| 30 | 5.00 | 6.70 | 5.30 | 1.95 | 5.20 | 6.50 | 3.10 | 3.20 | 3.10 | |
| G125 [dB] | −20 | 5.15 | 6.85 | 5.75 | 2.60 | 5.25 | 5.80 | 4.70 | 4.00 | 3.45 |
| −10 | 5.10 | 6.85 | 5.80 | 2.60 | 5.25 | 5.85 | 4.65 | 3.80 | 3.40 | |
| 0 | 5.10 | 6.75 | 5.90 | 2.50 | 5.15 | 5.75 | 4.65 | 3.70 | 3.55 | |
| 10 | 5.05 | 6.75 | 5.85 | 2.50 | 5.25 | 5.85 | 4.50 | 3.70 | 3.35 | |
| 20 | 5.00 | 6.65 | 5.60 | 2.40 | 5.15 | 5.75 | 4.45 | 3.60 | 3.60 | |
| 30 | 5.00 | 6.70 | 5.60 | 2.40 | 5.15 | 5.75 | 4.30 | 3.60 | 3.60 |
References
- Beranek, L.L. Concert hall design: Some considerations. In Proceedings of the International Symposium on Room Acoustics, Toronto, ON, Canada, 9–11 June 2013. [Google Scholar]
- Harris, R. Advantages and Disadvantages of Surround-Type Concert Halls. Acoustics 2019, 1, 582–589. [Google Scholar] [CrossRef]
- Barron, M. Auditorium Acoustics and Architectural Design; Routledge: London, UK, 2009. [Google Scholar]
- Barron, M.; Dammerud, J.J. Stage acoustics in concert halls—Early investigations. In Proceedings of the Auditorium Acoustics, Institute of Acoustics, Oxford, UK, 16–17 October 2006; Volume 28, pp. 1–12. [Google Scholar]
- Miller, J. A Subjective Assessment of Acoustic Conditions for Performers; Institute of Environmental Engineering; Polytechnic of the South Bank: London, UK, 1987. [Google Scholar]
- Meyer, J. Influence of communication on stage on the musical quality. In Proceedings of the International Congress on Acoustics, Trondheim, Norway, 26–30 June 1995; pp. 573–576. [Google Scholar]
- Jeon, J.Y.; Jang, H.S.; Jo, H.I. Acoustic evaluation of orchestra occupancies in concert halls: Effect of sound absorption by orchestra members on audience acoustics. Build. Environ. 2018, 143, 349–357. [Google Scholar] [CrossRef]
- Gade, A.C. Investigations of musicians’ room acoustic conditions in concert halls. Part I: Methods and laboratory experiments. Acta Acust. United Ac. 1989, 69, 193–203. [Google Scholar]
- Dammerud, J.J.; Barron, M.; Kahle, E. Objective assessment of acoustic conditions on concert hall stages–limitations and new strategies. In Proceedings of the International Symposium on Room Acoustics, Melbourne, Australia, 29–31 August 2010. [Google Scholar]
- Gade, A.C. Investigations of musicians’ room acoustic conditions in concert halls. II: Field experiments and synthesis of results. Acta Acust. United Ac. 1989, 69, 249–262. [Google Scholar]
- Naylor, G.M. Modulation transfer and ensemble music performance. Acta Acust. United Ac. 1988, 65, 127–137. [Google Scholar]
- Dammerud, J.J.; Barron, M. Attenuation of direct sound and the contributions of early reflections within symphony orchestras. J. Acoust. Soc. Am. 2010, 128, 1755–1765. [Google Scholar] [CrossRef] [PubMed]
- Wenmaekers, R.H.C.; Hak, C.C.J.M.; Hornikx, M.C.J. How orchestra members influence stage acoustic parameters on five different concert hall stages and orchestra pits. J. Acoust. Soc. Am. 2016, 140, 4437–4448. [Google Scholar] [CrossRef] [PubMed]
- Panton, L.; Holloway, D.; Cabrera, D. Effect of a chamber orchestra on direct sound and early reflections for performers on stage: A boundary element method study. J. Acoust. Soc. Am. 2017, 141, 2461–2472. [Google Scholar] [CrossRef] [PubMed]
- Van Den Braak, E.W.; Hak, C.C.J.M.; Van Luxemburg, L.C.; Martin, H.J. Influence of Stage Risers on Stage Acoustics; Forum Acusticum: Budapest, Hungary, 2005; pp. 2421–2426. [Google Scholar]
- Barron, M. The Gulbenkian Great Hall, Lisbon, II: An acoustic study of a concert hall with variable stage. J. Sound Vib. 1978, 59, 481–502. [Google Scholar] [CrossRef]
- Chiang, W.; Chen, S.T.; Huang, C.T. Subjective assessment of stage acoustics for solo and chamber music performances. Acta Acust. United Ac. 2003, 89, 848–856. [Google Scholar]
- Gade, A.C. Subjective and objective measures of relevance for the description of acoustics conditions on orchestra stages. In Proceedings of the International Symposium on Room Acoustics, Toronto, ON, Canada, 9–11 June 2013. [Google Scholar]
- Jeon, J.Y.; Kim, Y.S.; Lim, H.S.; Cabrera, D. Preferred positions for solo, duet, and quartet performers on stage in concert halls: In situ experiment with acoustic measurements. Build. Environ. 2015, 93, 267–277. [Google Scholar] [CrossRef]
- Jeon, J.Y.; Barron, M. Evaluation of stage acoustics in Seoul Arts Center Concert Hall by measuring stage support. J. Acoust. Soc. Am. 2005, 117, 232–239. [Google Scholar] [CrossRef] [PubMed]
- Jeon, J.Y.; Hwang, I.H.; Kim, Y.H. Investigation of the acoustical characteristics of organ pipes in a performing space. Build. Environ. 2014, 77, 50–60. [Google Scholar] [CrossRef]
- Bork, I. A comparison of room simulation software-the 2nd round robin on room acoustical computer simulation. Acta Acust. United Ac. 2000, 86, 943–956. [Google Scholar]
- Chiang, W.; Shu, Y.K. Acoustical design of stages with large plane surfaces in rectangular recital halls. Appl. Acoust. 2003, 64, 863–884. [Google Scholar] [CrossRef]
- Knudsen, V.O.; Harris, C.M. Acoustical designing in architecture. J. Acoust. Soc. Am. 1950, 118, 1878. [Google Scholar]
- Beranek, L.; Martin, D.W. Concert & Opera Halls: How They Sound. J. Acoust. Soc. Am. 1996, 99, 2637. [Google Scholar]
- Ando, Y. Concert Hall Acoustics; Springer Science & Business Media: Berlin, Germany, 2012; Volume 17. [Google Scholar]
- Meyer, J. Problems of mutual hearing of musicians. In Proceedings of the International Congress on Acoustics, Toronto, Canada, 24–31 July 1986; pp. 33–38. [Google Scholar]
- Jang, H.S.; Kim, Y.H.; Jeon, J.Y. Effects of stage volume and absorption on acoustics of concert halls. In Proceedings of the 20th International Congress on Acoustics, Sydney, Australia, 23–27 August 2010. [Google Scholar]
- Dammerud, J.J. Stage Acoustics for Symphony Orchestras in Concert Halls. Ph.D. Thesis, University of Bath, Bath, UK, 2009. [Google Scholar]
- Beranek, L. Concert Halls and Opera Houses: Music, Acoustics, and Architecture; Springer Science & Business Media: Berlin, Germany, 2012. [Google Scholar]
- Gade, A.C. Acoustical Survey of Eleven European Concert Halls: A Basis for Discussion of Halls in Denmark; Acoustics Laboratory, Technical University of Denmark: Lyngby, Denmark, 1989. [Google Scholar]
- Shiokawa, H.; Rindel, J. Comparisons between computer simulations of room acoustical parameters and those measured in concert halls. Rep. Res. Inst. Ind. Technol. 2007, 89, 1–15. [Google Scholar]
- ISO. ISO 3382-1. Acoustics—Measurement of Room Acoustic Parameters—Part 1: Performance Spaces; International Standard Organization: Geneva, Switzerland, 2009. [Google Scholar]
- Beranek, L. Music, Acoustics, and Architecture; John Wiley: New York, NY, USA, 1992; p. 498. [Google Scholar]
- Jang, H.S.; Jeon, J.Y. Acoustic characterization of on-stage performers in performing spaces. Appl. Acoust. 2016, 114, 159–170. [Google Scholar] [CrossRef]
- Beranek, L.L.; Hidaka, T. Sound absorption in concert halls by seats, occupied and unoccupied, and by the hall’s interior surfaces. J. Acoust. Soc. Am. 1998, 104, 3169–3177. [Google Scholar] [CrossRef]
- Beranek, L.L. The sound strength parameter G and its importance in evaluating and planning the acoustics of halls for music. J. Acoust. Soc. Am. 2011, 129, 3020–3026. [Google Scholar] [CrossRef] [PubMed]
- Beranek, L.L. Analysis of Sabine and Eyring equations and their application to concert hall audience and chair absorption. J. Acoust. Soc. Am. 2006, 120, 1399–1410. [Google Scholar] [CrossRef] [PubMed]


: BO,
: VM,
: AM,
: LF,
: SA,
: GK,
: EB,
: LB,
: ST).
: BO,
: VM,
: AM,
: LF,
: SA,
: GK,
: EB,
: LB,
: ST).
: BO,
: VM,
: AM,
: LF,
: SA,
: GK,
: EB,
: LB,
: ST).
: BO,
: VM,
: AM,
: LF,
: SA,
: GK,
: EB,
: LB,
: ST).
| Elements (Number of Halls) | Shoebox (31) | Fan (13) | Other (28) | |
|---|---|---|---|---|
| Total volume [m3] | V | 5800–25,000 | 11,900–30,800 | 6800–28,800 |
| Mean | 17,072 | 21,045 | 20,161 | |
| SD | 4251 | 6693 | 5307 | |
| Total area [m2] | S | 468–2145 | 836–2317 | 642–1945 |
| Mean | 1322 | 1652 | 1487 | |
| SD | 382 | 407 | 350 | |
| Stage area [m2] | So | 81–288 | 158–314 | 112–270 |
| Mean | 196 | 207 | 208 | |
| SD | 47 | 44 | 36 | |
| Stage volume [m3] | Vo | 832–5529 | 1435–5685 | 1248–5100 |
| Mean | 2917 | 2578 | 3270 | |
| SD | 1044 | 1204 | 1087 | |
| Vc | 832–9976 | 1432–9080 | 1504–13,345 | |
| Mean | 4429 | 3342 | 5620 | |
| SD | 2505 | 2226 | 3612 | |
| Stage volume ratio [%] | Vo/V | 11–31 | 8–21 | 9–27 |
| Mean | 17 | 13 | 16 | |
| SD | 5 | 4 | 4 | |
| Vc/V | 11–51 | 8–29 | 10–64 | |
| Mean | 26 | 15 | 27 | |
| SD | 12 | 7 | 15 | |
| Number of seats | N | 552–2901 | 1286–3524 | 767–2903 |
| Mean | 1959 | 2417 | 2122 | |
| SD | 625 | 621 | 548 | |
| Case | So [m2] | Vo [m3] | V [m3] | Vo/V [%] | Modification |
|---|---|---|---|---|---|
| 1 | 130 | 1650 | 18,750 | 8.8 | ![]() |
| 2 | 145 | 1900 | 19,000 | 10.0 | |
| 3 | 160 | 2175 | 19,275 | 11.3 | |
| 4 | 175 | 2450 | 19,550 | 12.5 | |
| 5 | 190 | 2735 | 19,835 | 13.8 | |
| 6 | 208 | 3078 | 20,178 | 15.3 | |
| 7 | 225 | 3423 | 20,523 | 16.7 | |
| 8 | 241 | 3790 | 20,890 | 18.1 | |
| 9 | 257 | 4065 | 21,165 | 19.2 | |
| 10 | 285 | 4470 | 21,570 | 20.7 | |
| 11 | 299 | 5039 | 22,139 | 22.8 | |
| 12 | 324 | 5550 | 22,650 | 24.5 | |
| 13 | 345 | 5982 | 23,082 | 25.9 |
| Hall | Symphony Hall Boston (BO) | Großer Musikvereinssaal Vienna (VM) | Concertgebouw Amsterdam (AM) |
| Model | ![]() | ![]() | ![]() |
| Shape | Shoebox | Shoebox | Shoebox |
| Seats | 2625 | 1680 | 2037 |
| Receivers | 54 | 33 | 39 |
| V/Vo [m3] | 18,750/2027 | 15,000/2355 | 18,780/1940 |
| S/So [m2] | 1523/159 | 1118/151 | 1285/145 |
| Hall | Royal Festival Hall London (LF) | Festspielhaus Salzburg (SA) | Konserthus Gothenberg (GK) |
| Model | ![]() | ![]() | ![]() |
| Shape | Shoebox | Fan | Fan |
| Seats | 2901 | 2158 | 1286 |
| Receivers | 59 | 47 | 44 |
| V/Vo [m3] | 21,950/2167 | 15,500/1380 | 11,900/1128 |
| S/So [m2] | 2145/226 | 1555/342 | 836/171 |
| Hall | Usher Hall Edinburgh (EB) | Barbican Concert Hall London (LB) | Liederhalle, Beethovensaal Stuttgart (ST) |
| Model | ![]() | ![]() | ![]() |
| Shape | Other | Other | Other |
| Seats | 2502 | 1803 | 2000 |
| Receivers | 51 | 41 | 122 |
| V/Vo [m3] | 15,700/2225 | 17,000/2028 | 16,000/1559 |
| S/So [m2] | 1369/243 | 1445/218 | 1533/178 |
| RT30 | EDT | C80 | G | Bass Ratio | Bass Index | ||
|---|---|---|---|---|---|---|---|
| BO | Mean | 2.20 | 2.45 | −1.69 | 0.1 | 1.01 | 5.1 |
| SD | 0.10 | 0.19 | 1.87 | 0.3 | 0.02 | 1.7 | |
| VM | Mean | 2.56 | 2.91 | −1.19 | −0.1 | 0.80 | 6.8 |
| SD | 0.12 | 0.14 | 2.18 | 0.3 | 0.02 | 2.7 | |
| AM | Mean | 2.34 | 2.40 | −0.33 | −0.2 | 0.96 | 5.9 |
| SD | 0.04 | 0.08 | 1.04 | −0.1 | 0.01 | 1.0 | |
| LF | Mean | 1.53 | 1.40 | 1.53 | −0.5 | 0.92 | 2.5 |
| SD | 0.06 | 0.22 | 2.34 | 0.5 | 0.02 | 2.4 | |
| SA | Mean | 1.96 | 1.94 | −0.55 | 0.1 | 0.99 | 5.2 |
| SD | 0.05 | 0.19 | 2.11 | 0.3 | 0.01 | 1.6 | |
| GK | Mean | 1.73 | 1.78 | 0.5 | 0.7 | 1.11 | 5.8 |
| SD | 0.10 | 0.11 | 1.6 | 0.3 | 0.02 | 1.3 | |
| EB | Mean | 1.81 | 1.88 | 0.03 | −1.0 | 0.84 | 4.6 |
| SD | 0.10 | 0.19 | 1.68 | 0.4 | 0.02 | 2.4 | |
| LB | Mean | 1.97 | 2.07 | −1.58 | −0.5 | 0.97 | 0.7 |
| SD | 0.05 | 0.10 | 1.71 | 0.2 | 0.02 | 1.5 | |
| ST | Mean | 1.97 | 2.00 | −0.42 | −0.5 | 0.91 | 3.8 |
| SD | 0.17 | 0.14 | 1.84 | 0.3 | 0.03 | 2.0 | |
| Unstandardized Coefficients | Standardized Coefficients | t | p | Correlation | ∆R2 | |||
|---|---|---|---|---|---|---|---|---|
| Zero-Order | Partial | Part | ||||||
| RT (Adjust R2 = 0.73, p < 0.01) | ||||||||
| (Constant) | 2.69 | 12.43 | <0.01 | |||||
| V | 0.00 | 0.06 | 0.81 | 0.43 | 0.01 | 0.11 | 0.06 | 0.00 |
| Vo/V | 0.03 | 0.27 | 3.32 | <0.01 | 0.53 | 0.43 | 0.24 | 0.06 |
| So/S | 0.01 | 0.15 | 1.85 | 0.07 | 0.13 | 0.26 | 0.13 | 0.02 |
| Ac | −6.11 | −0.74 | −9.53 | <0.01 | −0.79 | −0.81 | −0.68 | 0.46 |
| EDT (Adjust R2 = 0.77, p < 0.01) | ||||||||
| (Constant) | 3.29 | 13.83 | <0.01 | |||||
| V | 0.00 | −0.06 | −0.83 | 0.41 | −0.09 | −0.12 | −0.05 | 0.00 |
| Vo/V | 0.05 | 0.34 | 4.51 | <0.01 | 0.56 | 0.53 | 0.30 | 0.09 |
| So/S | 0.01 | 0.06 | 0.80 | 0.43 | 0.08 | 0.11 | 0.05 | 0.00 |
| Ac | −8.27 | −0.73 | −10.38 | <0.01 | −0.82 | −0.83 | −0.67 | 0.44 |
| C80 (Adjust R2 = 0.51, p < 0.01) | ||||||||
| (Constant) | −3.19 | −3.94 | <0.01 | |||||
| V | 0.00 | 0.04 | 0.41 | 0.67 | 0.11 | 0.06 | 0.04 | 0.00 |
| Vo/V | −0.03 | −0.09 | −0.84 | 0.40 | −0.37 | −0.12 | −0.08 | 0.01 |
| So/S | −0.06 | −0.24 | −2.20 | <0.05 | −0.18 | −0.30 | −0.21 | 0.04 |
| Ac | 17.47 | 0.68 | 6.49 | <0.01 | 0.68 | 0.68 | 0.63 | 0.39 |
| G (Adjust R2 = 0.52, p < 0.01) | ||||||||
| (Constant) | 11.00 | 9.38 | <0.01 | |||||
| V | 0.00 | −0.50 | −5.12 | <0.01 | −0.53 | −0.59 | −0.49 | 0.24 |
| Vo/V | 0.05 | 0.10 | 0.92 | 0.36 | 0.25 | 0.13 | 0.09 | 0.01 |
| So/S | 0.06 | 0.06 | 0.60 | 0.55 | 0.12 | 0.09 | 0.06 | 0.00 |
| Ac | −18.58 | −0.49 | −4.75 | <0.01 | −0.53 | −0.56 | −0.45 | 0.20 |
| Bass Ratio (Adjust R2 = 0.59, p < 0.01) | ||||||||
| (Constant) | 1.38 | 18.16 | <0.01 | |||||
| V | 0.00 | −0.30 | −3.29 | <0.01 | −0.31 | −0.43 | −0.29 | 0.08 |
| Vo/V | −0.02 | −0.72 | −7.13 | <0.01 | −0.73 | −0.71 | −0.62 | 0.39 |
| So/S | 0.00 | −0.05 | −0.49 | 0.63 | −0.24 | −0.07 | −0.04 | 0.00 |
| Ac | −0.07 | −0.03 | −0.30 | 0.77 | 0.15 | −0.04 | −0.03 | 0.01 |
| Bass Index (Adjust R2 = 0.54, p < 0.01) | ||||||||
| (Constant) | 3.44 | 7.60 | <0.01 | |||||
| V | 0.00 | −0.47 | −4.95 | <0.01 | −0.49 | −0.58 | −0.46 | 0.21 |
| Vo/V | −0.08 | −0.46 | −4.32 | <0.01 | −0.39 | −0.53 | −0.40 | 0.16 |
| So/S | −0.01 | −0.10 | −0.98 | 0.33 | −0.24 | −0.14 | −0.09 | 0.01 |
| Ac | −5.65 | −0.47 | −4.22 | <0.01 | −0.33 | −0.52 | −0.39 | 0.15 |
© 2020 by the authors. Licensee MDPI, Basel, Switzerland. This article is an open access article distributed under the terms and conditions of the Creative Commons Attribution (CC BY) license (http://creativecommons.org/licenses/by/4.0/).
Share and Cite
Jeon, J.Y.; Seo, R.; Jo, H.I. Effect of Stage Volume Ratio on Audience Acoustics in Concert Halls. Sustainability 2020, 12, 1370. https://doi.org/10.3390/su12041370
Jeon JY, Seo R, Jo HI. Effect of Stage Volume Ratio on Audience Acoustics in Concert Halls. Sustainability. 2020; 12(4):1370. https://doi.org/10.3390/su12041370
Chicago/Turabian StyleJeon, Jin Yong, Rosa Seo, and Hyun In Jo. 2020. "Effect of Stage Volume Ratio on Audience Acoustics in Concert Halls" Sustainability 12, no. 4: 1370. https://doi.org/10.3390/su12041370
APA StyleJeon, J. Y., Seo, R., & Jo, H. I. (2020). Effect of Stage Volume Ratio on Audience Acoustics in Concert Halls. Sustainability, 12(4), 1370. https://doi.org/10.3390/su12041370











