Unravelling the Impacts of Parameters on Surrogate Safety Measures for a Mixed Platoon
Abstract
1. Introduction
2. Materials and Methods
2.1. Mixed Platoon Topology Formation Considering Communication Degradation
2.2. HDV Car-Following Model
2.3. Decentralized Linear CAV/AV Controller
3. Results
4. Experiments and Discussions
4.1. Microscopic Parametric Impact Analysis
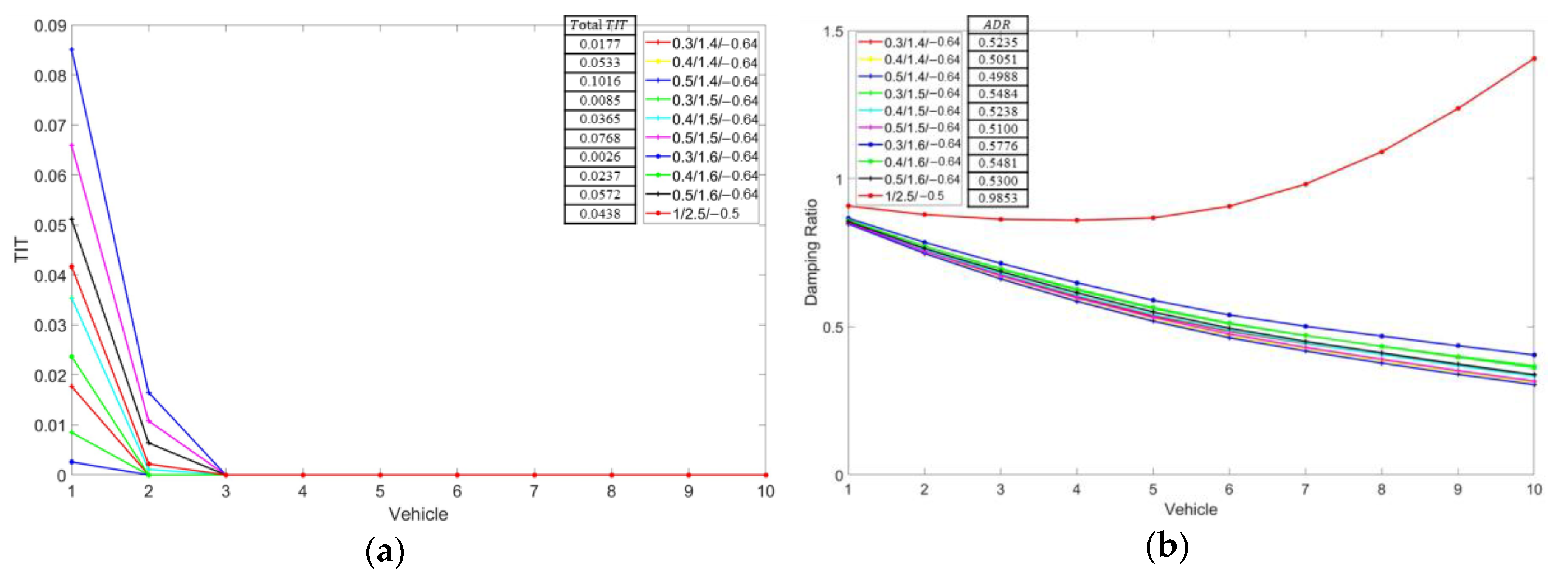
4.1.1. Controller Dynamic Characteristics
- CAV/AV Controller Feedback Gains
- 2.
- CAV controller communication delay
4.1.2. Equilibrium Condition
4.2. Macroscopic Parametric Impact Analysis
4.2.1. CAV Market Penetration Rate
4.2.2. Vehicle Topology
4.3. V2V Environment
5. Conclusions and Discussion
6. Limitations and Future Works
Author Contributions
Funding
Conflicts of Interest
References
- Lee, S.E.; Llaneras, E.; Klauer, S.; Sudweeks, J. Analyses of rear-end crashes and near-crashes in the 100-car naturalistic driving study to support rear-signaling countermeasure development. DOT HS 2007, 810, 846. [Google Scholar]
- Ye, L.; Yamamoto, T. Modeling connected and autonomous vehicles in heterogeneous traffic flow. Phys. A Stat. Mech. Its Appl. 2018, 490, 269–277. [Google Scholar] [CrossRef]
- Zheng, Z.; Ahn, S.; Chen, D.; Laval, J. Applications of wavelet transform for analysis of freeway traffic: Bottlenecks, transient traffic, and traffic oscillations. Transp. Res. Part B Methodol. 2011, 45, 372–384. [Google Scholar] [CrossRef]
- Turoń, K.; Kubik, A. Economic aspects of driving various types of vehicles in intelligent urban transport systems, including car-sharing services and autonomous vehicles. Appl. Sci. 2020, 10, 5580. [Google Scholar] [CrossRef]
- Wang, C.; Gong, S.; Zhou, A.; Li, T.; Peeta, S. Cooperative adaptive cruise control for connected autonomous vehicles by factoring communication-related constraints. Transp. Res. Part C Emerg. Technol. 2019, 1–22. [Google Scholar] [CrossRef]
- Ploeg, J.; Semsar-Kazerooni, E.; Lijster, G.; Van De Wouw, N.; Nijmeijer, H. Graceful degradation of CACC performance subject to unreliable wireless communication. IEEE Conf. Intell. Transp. Syst. Proc. ITSC 2013, 1210–1216. [Google Scholar] [CrossRef]
- Nagai, M. The perspectives of research for enhancing active safety based on advanced control technology. User Model. User-Adapt. Interact. 2007, 45, 413–431. [Google Scholar] [CrossRef]
- Hauer, E. Statistical road safety modeling. Transp. Res. Rec. 2004, 1897, 81–87. [Google Scholar] [CrossRef]
- Miaou, S.-P. The relationship between truck accidents and geometric design of road sections: Poisson versus negative binomial regressions. Accid. Anal. Prev. 1994, 26, 471–482. [Google Scholar] [CrossRef]
- Lee, J.; Nam, B.; Abdel-Aty, M. Effects of pavement surface conditions on traffic crash severity. J. Transp. Eng. 2015, 141, 4015020. [Google Scholar] [CrossRef]
- Wu, Y.; Abdel-aty, M.; Cai, Q.; Lee, J.; Park, J. Developing an algorithm to assess the rear-end collision risk under fog conditions using real-time data. Transp. Res. Part C 2018, 87, 11–25. [Google Scholar] [CrossRef]
- Xu, C.; Liu, P.; Yang, B.; Wang, W. Real-time estimation of secondary crash likelihood on freeways using high-resolution loop detector data. Transp. Res. Part C 2016, 71, 406–418. [Google Scholar] [CrossRef]
- Tian, D.; Wu, G. Performance Measurement Evaluation Framework Analysis for Connected and Automated Vehicles (CAV) Applications: A Survey. IEEE Intell. Transp. Syst. Mag. 2018, 10, 110–122. [Google Scholar] [CrossRef]
- Lord, D.; Persaud, B.N. Accident prediction models with and without trend: Application of the generalized estimating equations procedure. Transp. Res. Rec. 2000, 1717, 102–108. [Google Scholar] [CrossRef]
- Li, Y.; Xing, L.; Wang, W.; Wang, H.; Dong, C.; Liu, S. Evaluating impacts of different longitudinal driver assistance systems on reducing multi-vehicle rear-end crashes during small-scale inclement weather. Accid. Anal. Prev. 2017, 107, 63–76. [Google Scholar] [CrossRef]
- Kuang, Y.; Yu, Y.; Qu, X. Novel Crash Surrogate Measure for Freeways. J. Transp. Eng. Part A Syst. 2020, 146, 04020085. [Google Scholar] [CrossRef]
- Meng, Q.; Qu, X. Estimation of rear-end vehicle crash frequencies in urban road tunnels. Accid. Anal. Prev. 2012, 48, 254–263. [Google Scholar] [CrossRef]
- Qin, Y.; Wang, H. Influence of the feedback links of connected and automated vehicle on rear-end collision risks with vehicle-to-vehicle communication. Traffic Inj. Prev. 2019, 20, 79–83. [Google Scholar] [CrossRef]
- Qu, X.; Yang, Y.; Liu, Z.; Jin, S.; Weng, J. Potential crash risks of expressway on-ramps and off-ramps: A case study in Beijing, China. Saf. Sci. 2014, 70, 58–62. [Google Scholar] [CrossRef]
- Xing, L.; He, J.; Abdel-Aty, M.; Cai, Q.; Li, Y.; Zheng, O. Examining traffic conflicts of up stream toll plaza area using vehicles’ trajectory data. Accid. Anal. Prev. 2019, 125, 174–187. [Google Scholar] [CrossRef]
- Li, Y.; Xu, C.; Xing, L.; Wang, W. Integrated Cooperative Adaptive Cruise and Variable Speed Limit Controls for Reducing Rear-End Collision Risks Near Freeway Bottlenecks Based on Micro-Simulations. IEEE Trans. Intell. Transp. Syst. 2017, 18, 3157–3167. [Google Scholar] [CrossRef]
- Rahman, M.S.; Abdel-Aty, M.; Lee, J.; Rahman, M.H. Safety benefits of arterials’ crash risk under connected and automated vehicles. Transp. Res. Part C Emerg. Technol. 2019, 100, 354–371. [Google Scholar] [CrossRef]
- Virdi, N.; Grzybowska, H.; Waller, S.T.; Dixit, V. A safety assessment of mixed fleets with Connected and Autonomous Vehicles using the Surrogate Safety Assessment Module. Accid. Anal. Prev. 2019, 131, 95–111. [Google Scholar] [CrossRef]
- Qin, Y.Y.; He, Z.Y.; Ran, B. Rear-end crash risk of CACC-Manual driven mixed flow considering the degeneration of CACC systems. IEEE Access 2019, 7, 140421–140429. [Google Scholar] [CrossRef]
- Bando, M.; Hasebe, K.; Nakanishi, K.; Nakayama, A. Analysis of optimal velocity model with explicit delay. Phys. Rev. E-Stat. Physics, Plasmas, Fluids, Relat. Interdiscip. Top. 1998, 58, 5429–5435. [Google Scholar] [CrossRef]
- Koshi, M. Some findings and an overview on vehicular flow characteristics. In Proceedings of the Eighth International Symposium on Transportation and Traffic Theory, Toronto, ON, Canada, 24–26 June 1981. [Google Scholar]
- Zhou, Y.; Ahn, S.; Wang, M.; Hoogendoorn, S. Stabilizing mixed vehicular platoons with connected automated vehicles: An H-infinity approach. Transp. Res. Part B Methodol. 2020, 132, 152–170. [Google Scholar] [CrossRef]
- Minderhoud, M.M.; Bovy, P.H.L. Extended time-to-collision measures for road traffic safety assessment. Accid. Anal. Prev. 2001, 33, 89–97. [Google Scholar] [CrossRef]
- Zhou, Y.; Wang, M.; Ahn, S. Distributed model predictive control approach for cooperative car-following with guaranteed local and string stability. Transp. Res. Part B Methodol. 2019, 128, 69–86. [Google Scholar] [CrossRef]
- Ge, J.I.; Avedisov, S.S.; He, C.R.; Qin, W.B.; Sadeghpour, M.; Orosz, G. Experimental validation of connected automated vehicle design among human-driven vehicles. Transp. Res. Part C Emerg. Technol. 2018, 91, 335–352. [Google Scholar] [CrossRef]
- Punzo, V.; Teresa, M.; Ciuffo, B. On the assessment of vehicle trajectory data accuracy and application to the Next Generation SIMulation (NGSIM) program data. Transp. Res. Part C. 2011, 19, 1243–1262. [Google Scholar] [CrossRef]









| Model | Parameter | Value | Description |
|---|---|---|---|
| OVM | Desired speed | ||
| Driver’s reaction coefficient | |||
| ACC | 0 | Feedforward gain | |
| 0.45 | Actuation time-lag | ||
| Standstill distance | |||
| CACC | 1 | Feedforward gain | |
| Communication delay | |||
| 0.45 | Actuation time-lag | ||
| Standstill distance |
| Communication Delay | |||
|---|---|---|---|
| 0 | 0 | 0 | |
| 0 | 0 | 0.0006 | |
| 0 | 0.0016 | 0.0089 | |
| 0.0006 | 0.0068 | 0.0285 | |
| 0.0032 | 0.0159 | 0.0852 | |
| ADR | 0.4649 | 0.5484 | 0.7598 |
| Stable | Yes | Yes | Yes |
| 0 | 0 | 0 | |
| 0 | 0 | 0 | |
| 0.0030 | 0.0016 | 0.0011 | |
| 0.0118 | 0.0068 | 0.0038 | |
| 0.0360 | 0.0159 | 0.0085 | |
| ADR | 0.6046 | 0.5484 | 0.4776 |
| Stable | Yes | Yes | Yes |
| Dangerous Probability | Damping Ratio | |||||||||||
|---|---|---|---|---|---|---|---|---|---|---|---|---|
| CAV MPR | 0% | 20% | 40% | 60% | 80% | 100% | 0% | 20% | 40% | 60% | 80% | 100% |
| V1 | 0.0497 | 0.0497 | 0.0497 | 0.0497 | 0.1002 1 | 0.1002 | 1.1206 | 1.1026 | 1.1026 | 1.1026 | 0.7801 | 0.7801 |
| V2 | 0.0421 | 0.0421 | 0.1072 | 0.1072 | 0.0000 | 0.0000 | 1.1271 | 1.1271 | 0.7327 | 0.7273 | 0.6384 | 0.6384 |
| V3 | 0.0446 | 0.0446 | 0.0283 | 0.083 | 0.0000 | 0.0000 | 1.1281 | 1.1281 | 0.9306 | 0.9306 | 0.5747 | 0.5474 |
| V4 | 0.0446 | 0.1172 | 0.0876 | 0.0876 | 0.0000 | 0.0000 | 1.1714 | 0.8048 | 0.6422 | 0.6422 | 0.5179 | 0.5179 |
| V5 | 0.0519 | 0.0452 | 0.0240 | 0.0000 | 0.0000 | 0.0000 | 1.2356 | 1.0493 | 0.8716 | 0.5848 | 0.4674 | 0.4674 |
| V6 | 0.0604 | 0.0472 | 0.0281 | 0.0249 | 0.0193 | 0.0000 | 1.2956 | 1.1115 | 0.9027 | 0.8627 | 0.8365 | 0.4230 |
| V7 | 0.0713 | 0.0510 | 0.0319 | 0.0260 | 0.0186 | 0.0000 | 1.3478 | 1.1746 | 0.9439 | 0.8990 | 0.8609 | 0.3844 |
| V8 | 0.0790 | 0.1251 | 0.0998 | 0.0808 | 0.0590 | 0.0000 | 1.3917 | 0.7928 | 0.7069 | 0.6464 | 0.6352 | 0.3511 |
| V9 | 0.0852 | 0.0536 | 0.0000 | 0.0000 | 0.0000 | 0.0000 | 1.3906 | 1.0296 | 0.6607 | 0.5974 | 0.5818 | 0.3222 |
| V10 | 0.0868 | 0.0548 | 0.0398 | 0.0000 | 0.0000 | 0.0000 | 1.3845 | 1.0901 | 0.9360 | 0.5539 | 0.5336 | 0.2968 |
| AVE | 0.0616 | 0.0630 | 0.0496 | 0.0404 | 0.0197 | 0.0100 | 1.1183 | 1.0161 | 0.9108 | 0.8581 | 0.7900 | 0.6712 |
| Dangerous Probability | Average Damping Ratio | |
|---|---|---|
| Situation 1 | 0.0200 | 0.8451 |
| Situation 2 | 0.0389 | 0.9483 |
| Situation 3 | 0.0549 | 0.8542 |
| Situation 4 | 0.0453 | 0.8895 |
| Dangerous Probability | Damping Ratio | |||||||||||
|---|---|---|---|---|---|---|---|---|---|---|---|---|
| CAV MPR | 0% | 20% | 40% | 60% | 80% | 100% | 0% | 20% | 40% | 60% | 80% | 100% |
| V1 | 0.0497 | 0.0497 | 0.0497 | 0.0497 | 0.0060 1 | 0.0060 | 0.0060 | 0.0666 | 0.0060 | 0.0060 | 0.0497 | 0.0497 |
| V2 | 0.0421 | 0.0421 | 0.0179 | 0.0179 | 0.0018 | 0.0018 | 0.0018 | 0.0488 | 0.0492 | 0.0492 | 0.0421 | 0.0421 |
| V3 | 0.0446 | 0.0446 | 0.0364 | 0.0364 | 0.0010 | 0.0010 | 0.0010 | 0.0429 | 0.0164 | 0.0368 | 0.0446 | 0.0446 |
| V4 | 0.0446 | 0.0271 | 0.0189 | 0.0189 | 0.0002 | 0.0002 | 0.0002 | 0.0440 | 0.0338 | 0.0222 | 0.0446 | 0.0271 |
| V5 | 0.0519 | 0.0542 | 0.0310 | 0.0182 | 0.0000 | 0.0000 | 0.0000 | 0.0531 | 0.0181 | 0.0416 | 0.0519 | 0.0542 |
| V6 | 0.0604 | 0.0601 | 0.0321 | 0.0349 | 0.0190 | 0.0000 | 0.0174 | 0.0319 | 0.0274 | 0.0260 | 0.0604 | 0.0601 |
| V7 | 0.0713 | 0.0689 | 0.0426 | 0.0438 | 0.0236 | 0.0000 | 0.0223 | 0.0309 | 0.0197 | 0.0364 | 0.0713 | 0.0689 |
| V8 | 0.0790 | 0.0427 | 0.0287 | 0.0346 | 0.0210 | 0.0000 | 0.0270 | 0.0280 | 0.0273 | 0.0403 | 0.0790 | 0.0427 |
| V9 | 0.0852 | 0.0883 | 0.0278 | 0.0307 | 0.0211 | 0.0000 | 0.0332 | 0.0228 | 0.0208 | 0.0287 | 0.0852 | 0.0883 |
| V10 | 0.0868 | 0.0956 | 0.0569 | 0.0246 | 0.0186 | 0.0000 | 0.0404 | 0.0717 | 0.0331 | 0.0274 | 0.0868 | 0.0956 |
| Mean | 0.0616 | 0.0573 | 0.0342 | 0.0310 | 0.0112 | 0.0009 | 0.0149 | 0.0386 | 0.0252 | 0.0315 | 0.0616 | 0.0573 |
Publisher’s Note: MDPI stays neutral with regard to jurisdictional claims in published maps and institutional affiliations. |
© 2020 by the authors. Licensee MDPI, Basel, Switzerland. This article is an open access article distributed under the terms and conditions of the Creative Commons Attribution (CC BY) license (http://creativecommons.org/licenses/by/4.0/).
Share and Cite
Ding, F.; Jiang, J.; Zhou, Y.; Yi, R.; Tan, H. Unravelling the Impacts of Parameters on Surrogate Safety Measures for a Mixed Platoon. Sustainability 2020, 12, 9955. https://doi.org/10.3390/su12239955
Ding F, Jiang J, Zhou Y, Yi R, Tan H. Unravelling the Impacts of Parameters on Surrogate Safety Measures for a Mixed Platoon. Sustainability. 2020; 12(23):9955. https://doi.org/10.3390/su12239955
Chicago/Turabian StyleDing, Fan, Jiwan Jiang, Yang Zhou, Ran Yi, and Huachun Tan. 2020. "Unravelling the Impacts of Parameters on Surrogate Safety Measures for a Mixed Platoon" Sustainability 12, no. 23: 9955. https://doi.org/10.3390/su12239955
APA StyleDing, F., Jiang, J., Zhou, Y., Yi, R., & Tan, H. (2020). Unravelling the Impacts of Parameters on Surrogate Safety Measures for a Mixed Platoon. Sustainability, 12(23), 9955. https://doi.org/10.3390/su12239955

