Relation between Pupils’ Mathematical Self-Efficacy and Mathematical Problem Solving in the Context of the Teachers’ Preferred Pedagogies
Abstract
1. Introduction
1.1. Mathematical Problem-Solving
1.2. Mathematical Self-Efficacy
- What is the relationship between the pupils’ success in the didactic test in mathematics and the preferred learning management strategies?
- What is the relationship between the pupils’ levels of their self-efficacy and preferred learning management strategies?
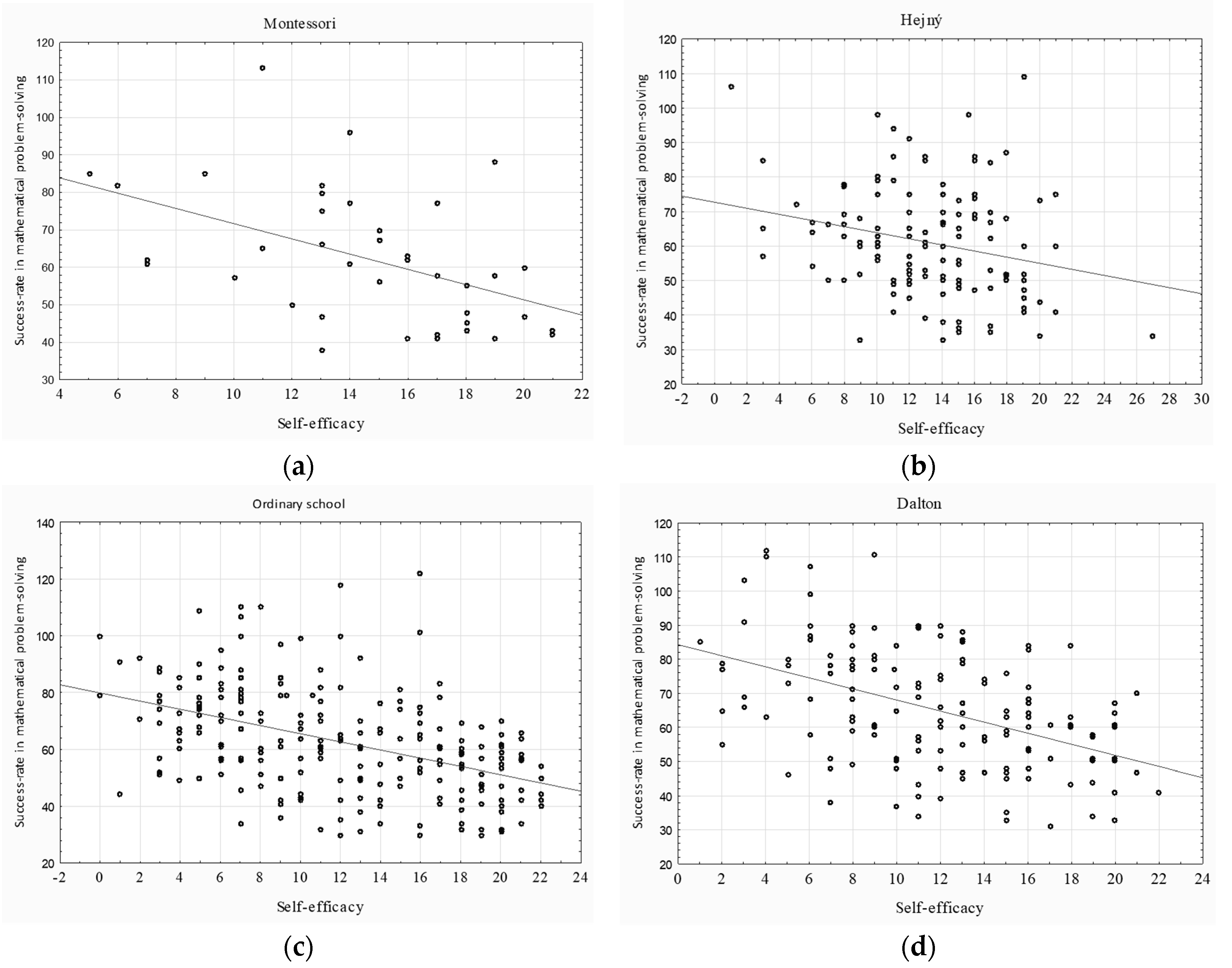
- What is the relationship between the success rate in the didactic test of mathematics and the pupils’ self-efficacy with respect to the preferred learning management strategies?
2. Materials and Methods
2.1. Research Sample
2.2. Tool for Assessing Mathematical Problem-Solving Skills
2.3. Tool for Assesing Mathematical Self-Efficacy
2.4. Statistical Analysis
3. Results
4. Data Interpretation and Discussion
Research Limitations
5. Conclusions
Author Contributions
Funding
Conflicts of Interest
References
- UNECE Steering Committee on Education for Sustainable Development. How Do Teachers Teach. Sustainable Development? A Panel on Competence in ESD in the Education Sector. Discussion Paper. 2008. Available online: http://www.unece.org/env/esd/SC.EGI.htm (accessed on 29 November 2020).
- Dlouhá, J. Kompetence v environmentálním vzdělání. Envigogika 2009, 4, 1–20. [Google Scholar] [CrossRef]
- Korbel, V.; Paulus, M. Do teaching practices impact socio-emotional skills? Educ. Econ. 2018, 26, 337–355. [Google Scholar] [CrossRef]
- Skalková, J. Obecná Didaktika: Vyučovací Proces, Učivo a jeho Výběr, Metody, Organizační Formy Vyučování [General Didactics: Teaching Process, Curriculum and Its Selection, Methods, Organizational Forms of Teaching]; Grada Publishing: Prague, Czech Republic, 2007; 322p. [Google Scholar]
- Medová, J.; Bakusová, J. Application of hierarchical cluster analysis in educational research: Distinguishing between transmissive and constructivist oriented mathematics teachers. Stat. Stat. Econ. J. 2019, 99, 142–150. [Google Scholar]
- Škoda, J.; Doulík, P. Psychodidaktika: Metody efektivního a smysluplného učení a vyučování. Orbis Sch. 2011, 5, 143–146. [Google Scholar]
- Chan, M.C.E.; Clarke, D. Structured affordances in the use of open-ended tasks to facilitate collaborative problem solving. ZDM 2017, 49, 951–963. [Google Scholar] [CrossRef]
- Schiefele, U.; Schreyer, I. Intrinsische Lernmotivation und Lernen. Ein Überblick zu Ergebnissen der Forschung. [Intrinsic motivation to learn and learning: A review of recent research findings]. Zeitschrift für Pädagogische Psychologie Ger. J. Educ. Psychol. 1994, 8, 1–13. [Google Scholar]
- Pressley, M.; Harris, K.R.; Marks, M.B. But good strategy instructors are constructivists! Educ. Psychol. Rev. 1992, 4, 3–31. [Google Scholar] [CrossRef]
- Lockwood, E.; Caughman, J.S.; Weber, K. An essay on proof, conviction, and explanation: Multiple representation systems in combinatorics. Educ. Stud. Math. 2020, 103, 173–189. [Google Scholar] [CrossRef]
- Shepard, L.A. The role of assessment in a learning culture. Educ. Res. 2000, 29, 4–14. [Google Scholar] [CrossRef]
- Lui, A.M.; Bonner, S.M. Preservice and inservice teachers’ knowledge, beliefs, and instructional planning in primary school mathematics. Teach. Teach. Educ. 2016, 56, 1–13. [Google Scholar] [CrossRef]
- Daher, W.; Saifi, A.-G. Democratic practices in a constructivist science classroom. Int. J. Sci. Math. Educ. 2018, 16, 221–236. [Google Scholar] [CrossRef]
- Thornberg, R. School democratic meetings: Pupil control discourse in disguise. Teach. Teach. Educ. 2010, 26, 924–932. [Google Scholar] [CrossRef]
- Kenny, R.F.; Wirth, J. Implementing participatory, constructivist learning experiences through best practices in live interactive performance. J. Eff. Teach. 2009, 9, 34–47. [Google Scholar]
- Kirschner, P.A.; Sweller, J.; Clark, R.E. Why minimal guidance during instruction does not work: An analysis of the failure of constructivist, discovery, problem-based, experiential, and inquiry-based teaching. Educ. Psychol. 2006, 41, 75–86. [Google Scholar] [CrossRef]
- Mayer, R.E. Should there be a three-strikes rule against pure discovery learning? The case for guided methods of instruction. Am. Psychol. 2004, 59, 14–19. [Google Scholar] [CrossRef]
- Hmelo-Silver, C.E. Problem-based learning: What and how do students learn? Educ. Psychol. Rev. 2004, 16, 235–266. [Google Scholar] [CrossRef]
- Steffe, L.P.; Gale, J.E. Constructivism in Education; Lawrence Erlbaum Associates Inc.: Mahwah, NJ, USA, 1995. [Google Scholar]
- Sweller, J. Evolution of human cognitive architecture. Psychol. Learn. Motiv. 2003, 43, 216–266. [Google Scholar]
- Klahr, D.; Nigam, M. The equivalence of learning paths in early science instruction: Effects of direct instruction and discovery learning. Psychol. Sci. 2004, 15, 661–667. [Google Scholar] [CrossRef]
- Weber, J.M.; Lennon, R. Multi-course comparison of traditional versus Web-based course delivery systems. J. Educ. Online 2007, 4, n2. [Google Scholar] [CrossRef]
- Zhang, Y. An Experiment on Mathematics Pedagogy: Traditional Method Versus Computer-Assisted Instruction. Available online: https://files.eric.ed.gov/fulltext/ED490695.pdf (accessed on 7 July 2020).
- Gonda, D.; Ďuriš, V.; Pavlovičová, G.; Tirpáková, A. Analysis of factors influencing students’ Access to mathematics education in the form of MOOC. Mathematics 2020, 8, 1229. [Google Scholar] [CrossRef]
- Hejný, M.; Slezáková, J.; Jirotková, D. Understanding equations in schema-oriented education. Procedia Soc. Behav. Sci. 2013, 93, 995–999. [Google Scholar] [CrossRef]
- Gerrig, R.J. Text comprehension. In Psychology of Human Thought; Sternberg, R.J., Smith, E.E., Eds.; Cambridge University Press: Cambridge, UK, 1988; pp. 242–266. [Google Scholar]
- Hejný, M. Exploring the cognitive dimension of teaching mathematics through scheme-oriented approach to education. Orbis Sch. 2012, 6, 41–55. [Google Scholar] [CrossRef]
- Hejný, M. Vyučování Matematice Orientované na Budování Schémat: Aritmetika 1. Stupně; Univerzita Karlova, Pedagogická Fakulta: Boleslav, Czech Republic, 2016. [Google Scholar]
- Kalhous, Z. Obst, Školní didaktika [School Didactics]; Portal: Prague, Czech Republic, 2009. [Google Scholar]
- Rýdl, K. Jak Dosáhnout Spoluzodpovědnosti Žáka: Daltonský Plán jako Výzva-Metody a Formy Práce na 2. Stupni ZŠ a na Středních Školách; Strom: Prague, Czech Republic, 1998; 45p. [Google Scholar]
- Svobodová, J. Výběr z Reformních i Současných Edukačních Koncepcí; MSD sro: Brno, Czech Republic, 2007; pp. 976–980. [Google Scholar]
- Roehner, R.; Wenke, H. Daltonské Vyučování: Stále Živá Inspirace [Dalton Education: The Inspiration Still Alive]; Paido: Brno, Czech Republic, 2003. [Google Scholar]
- Krausová, J. Učenie sa na Stanovištiach [On-the-Job Learning]; MPC: Bratislava, Slovakia, 2010. [Google Scholar]
- Říčan, J.; Chytrý, V. Metakognice a Metakognitivní Strategie Jako Teoretické a Výzkumné Konstrukty a Jejich Uplatnění v Moderní Pedagogické Praxis; UJEP: Ústí nad Labem, Czech Republic, 2016. [Google Scholar]
- Lopata, C.; Wallace, N.V.; Finn, K.V. Comparison of academic achievement between montessori and traditional education programs. J. Res. Child. Educ. 2005, 20, 5–13. [Google Scholar] [CrossRef]
- Toran, M. Montessori Yonteminin Cocuklarin Kavram Edinimi, Sosyal Uyumlari ve Kucuk kas Motor Becerileri Uzerindeki Etkisinin Incelenmesi. [Examination Effects of Montessori Method on Children’s Concept Acquisition, Social Adaptation, and Fine Motor Skills]; Gazi University: Ankara, Turkey, 2011. [Google Scholar]
- Kayılı, G. The effect of Montessori Method on cognitive tempo of Kindergarten children. Early Child Dev. Care 2018, 188, 327–335. [Google Scholar] [CrossRef]
- Montessori, M. Spontaneous Activity in Education; Montessori Helper: St Andrews, Vic, Australia, 2014. [Google Scholar]
- İman, E.D.; Danişman, Ş.; Demircan, Z.A.; Yaya, D. The effect of the Montessori education method on pre-school children’s social competence—behaviour and emotion regulation skills. Early Child Dev. Care 2019, 189, 1494–1508. [Google Scholar] [CrossRef]
- Kilpatrick, J. Variables and methodologies in research on problem solving. In Mathematical Problem Solving: Papers from a Research Workshop; Hattfield, L.L., Bradbard, D.A., Eds.; National Institute of Education DHEW: Washington, DC, USA, 1978; pp. 7–20. [Google Scholar]
- Lester, F.K. Methodological considerations in research on mathematical problem-solving instruction. In Teaching and Learning Mathematical Problem Solving. Multiple Research Perspectives; Silver, E.A., Ed.; Routledge: Abingdon-on-Thames, UK, 1985; pp. 41–69. [Google Scholar]
- Vale, I.; Barbosa, A. Mathematical problems: The advantages of visual strategies. J. Eur. Teach. Educ. Netw. 2018, 13, 23–33. [Google Scholar]
- Nohda, N. Teaching by open-approach method in Japanese mathematics classroom. In Proceedings of the 24th Conference of the International Group for the Psychology of Mathematics Education (PME), Hiroshima, Japan, 23–27 July 2000; pp. 39–53. [Google Scholar]
- Vale, I.; Pimentel, T. Mathematical challenging tasks in elementary grades. In Proceedings of the Seventh Congress of the European Society for Research in Mathematics Education; Pytlak, M., Rowland, T., Swoboda, E., Eds.; ERME: Rzeszow, Poland, 2011; pp. 1154–1164. [Google Scholar]
- Flavell, J.H. Metacognition and cognitive monitoring: A new area of cognitive–developmental inquiry. Am. Psychol. 1979, 34, 906. [Google Scholar] [CrossRef]
- Artzt, A.F.; Armour-Thomas, E. Development of a cognitive-metacognitive framework for protocol analysis of mathematical problem solving in small groups. Cognit. Instr. 1992, 9, 137–175. [Google Scholar] [CrossRef]
- Biryukov, P. Metacognitive Aspects of Solving Combinatorics Problems. Available online: http://citeseerx.ist.psu.edu/viewdoc/download?doi=10.1.1.178.3238&rep=rep1&type=pdf (accessed on 18 November 2020).
- Chytrý, V.; Říčan, J.; Eisenmann, P.; Medová, J. Metacognitive knowledge and mathematical intelligence—Two significant factors influencing school performance. Mathematics 2020, 8, 969. [Google Scholar] [CrossRef]
- Lockwood, E. The strategy of solving smaller, similar problems in the context of combinatorial enumeration. Int. J. Res. Undergrad. Math. Educ. 2015, 1, 339–362. [Google Scholar] [CrossRef][Green Version]
- Pennequin, V.; Sorel, O.; Nanty, I.; Fontaine, R. Metacognition and low achievement in mathematics: The effect of training in the use of metacognitive skills to solve mathematical word problems. Think. Reason. 2010, 16, 198–220. [Google Scholar] [CrossRef]
- Smith, J.M.; Mancy, R. Exploring the relationship between metacognitive and collaborative talk during group mathematical problem-solving—what do we mean by collaborative metacognition? Res. Math. Educ. 2018, 20, 14–36. [Google Scholar] [CrossRef]
- Veenman, M.V.J. Metacognition in mathematics education. In The Role of Intelectual and Metacognitive Skills Math Problem Solving; Desoete, A., Veenman, M., Eds.; Nova Science: Haupauge, NY, USA, 2006; pp. 35–50. [Google Scholar]
- Chytry, V.; Rican, J.; Korinkova, R. The influence of a teacher’s innovation on a pupil’s relationship to mathematics. In Proceedings of the 12th International Conference of Education, Research and Innovation, Valenica, Spain, 11–13 November 2019; pp. 128–133. [Google Scholar]
- Mason, L. High school students’ beliefs about maths, mathematical problem solving, and their achievement in maths: A cross-sectional study. Educ. Psychol. 2003, 23, 73–85. [Google Scholar] [CrossRef]
- Pajares, F.; Miller, M.D. Role of self-efficacy and self-concept beliefs in mathematical problem solving: A path analysis. J. Educ. Psychol. 1994, 86, 193. [Google Scholar] [CrossRef]
- Stage, F.K.; Kloosterman, P. Measuring beliefs about mathematical problem solving. School Sci. Math. 1992, 92, 109–115. [Google Scholar]
- Švecová, V. Mathematics anxiety and other psycho didactic aspects in university students. J. Educ. Soc. Policy 2018, 5, 246–250. [Google Scholar] [CrossRef]
- Abramovich, S.; Pieper, A. Fostering recursive thinking in combinatorics through the use of manipulatives and computing technology. Math. Educator. 1995, 6, 4–12. [Google Scholar]
- Swafford, J.O.; Langrall, C.W. Grade 6 Students’ preinstructional use of equations to describe and represent. Problem situations. J. Res. Math. Educ. 2000, 31, 89–112. [Google Scholar] [CrossRef]
- Hodnik Čadež, T.; Kolar, V.M. Comparison of types of generalizations and problem-solving schemas used to solve a mathematical problem. Educ. Stud. Math. 2015, 89, 283–306. [Google Scholar] [CrossRef]
- Vidermanová, K.; Viziová, A.; Záhorská, J. Analysis of students’ mistakes in solution of the sections of solids and using of Cabri 3 for their removing. In Proceedings of the 10th Mathematical Conference, Rhodes, Greece, 13 September 2015; pp. 179–189. [Google Scholar]
- Bulková, K.; Medová, J.; Čeretková, S. Identification of crucial steps and skills in high. Achievers’ solving complex. Mathematical problem within mathematical contest. J. Effic. Responsib. Educ. Sci. 2020, 13, 67–78. [Google Scholar]
- Kosyvas, G. Levels of arithmetic reasoning in solving an open-ended problem. Int. J. Math. Educ. Sci. Technol. 2016, 47, 356–372. [Google Scholar] [CrossRef]
- Lockwood, E.; Swinyard, C.; Caughman, J. Patterns, sets of outcomes, and combinatorial justification: Two students’ reinvention of counting formulas. Int. J. Res. Undergrad. Math. Educ. 2015, 1, 27–62. [Google Scholar] [CrossRef][Green Version]
- Mousoulides, N.G.; Christou, C.; Sriraman, B. A modeling perspective on the teaching and learning of mathematical problem solving. Math. Think. Learn. 2008, 10, 293–304. [Google Scholar] [CrossRef]
- Samková, L. Investigating the variety and usualness of correct solution procedures of mathematical word problems. J. Effic. Responsib. Educ. Sci. 2020, 13, 10–26. [Google Scholar] [CrossRef]
- Lockwood, E.; Wasserman, N.H.; McGuffey, W. Classifying combinations: Investigating undergraduate students’ responses to different categories of combination problems. Int. J. Res. Undergrad. Math. Educ. 2018, 4, 305–322. [Google Scholar] [CrossRef]
- Wong, T.T.-Y. Is conditional reasoning related to mathematical problem solving? Dev. Sci. 2018, 21, e12644. [Google Scholar] [CrossRef]
- Kazemi, E. Discourse that promotes conceptual understanding. Teach. Child. Math. 1998, 4, 410. [Google Scholar]
- Medová, J.; Bulková, K.; Čeretková, S. Relations between generalisation and reasoning in solving mathematical problems. In Proceedings of the 16th International Conference Efficiency and Responsibility in Education 2019 (ERIE), Prague, Czech Republic, 6–7 June 2019; pp. 183–189. [Google Scholar]
- Mula, M.; Hodnik, T. The PGBE model for building students’ mathematical knowledge about percentages. Eur. J. Educ. Res. 2020, 9, 257–276. [Google Scholar]
- Schüler-Meyer, A.; Prediger, S.; Kuzu, T.; Wessel, L.; Redder, A. Is formal language proficiency in the home language required to profit from a bilingual teaching intervention in mathematics? A mixed methods study on fostering multilingual students’ conceptual understanding. Int. J. Sci. Math. Educ. 2019, 17, 317–339. [Google Scholar] [CrossRef]
- Wasserman, N.H.; Galarza, P. Conceptualizing and justifying sets of outcomes with combination problems. Investig. Math. Learn. 2017, 11, 1–20. [Google Scholar] [CrossRef]
- Pehkonen, E.; Näveri, L.; Laine, A. On teaching problem solving in school mathematics. CEPS J. 2013, 3, 9–23. [Google Scholar]
- Buschman, L. Teaching problem solving in mathematics. Teach. Child. Math. 2004, 10, 302–309. [Google Scholar]
- Vale, I.; Barbosa, A. Mathematics creativity in elementary teacher training. J. Eur. Teach. Educ. Netw. 2015, 10, 101–109. [Google Scholar]
- Čeretková, S.; Bulková, K.; Jenisová, Z.; Kramáreková, H.; Lovászová, G.; Nemčíková, M.; Rampašeková, Z.; Sandanusová, A.; Schlarmannová, J.; Valovičová, Ľ. Stratégie Tvorivého a Kritického Myslenia v Príprave Učiteľov Prírodovedných Predmetov, Matematiky a Informatiky. [Creative and Critical Thinking Strategies in Training Future Teachers of Natural Sciences, Mathematics, and Computer Science.]; Constantine the Philosopher University in Nitra: Nitra, Slovakia, 2017; 196p. [Google Scholar]
- Smetáčková, I.; Vozková, A. Matematická self-efficacy a její měření v průběhu základní školy. E-psychologie 2016, 10, 18–33. [Google Scholar]
- Burnham, J.R. A Case Study of Mathematics Self-Efficacy in a Freshman Engineering Mathematics Course; Washington State University USA: Seattle, WA, USA, 2011. [Google Scholar]
- Pajares, F. Gender differences in mathematics self-efficacy beliefs. In Gender Differences in Mathematics: An Integrative Psychological Approach; Gallagher, A.M., Kaufman, J.C., Eds.; Cambridge University Press: Cambridge, UK, 2005; pp. 294–315. [Google Scholar]
- Watson, S.; Marschall, G. How a trainee mathematics teacher develops teacher self-efficacy. Teach. Dev. 2019, 23, 469–487. [Google Scholar] [CrossRef]
- Schunk, D.H.; Meece, J.L. Self-efficacy development in adolescence. In Self-Efficacy Beliefs of Adolescents; Pajares, F., Urdan, T., Eds.; Information Age: Charlotte, NC, USA, 2006; pp. 71–96. [Google Scholar]
- Chang, Y.-L. Examining relationships among elementary mathematics teacher efficacy and their students’ mathematics self-efficacy and achievement. Eurasia J. Math. Sci. Technol. Educ. 2015, 11, 1307–1320. [Google Scholar] [CrossRef]
- Jain, S.; Dowson, M. Mathematics anxiety as a function of multidimensional self-regulation and self-efficacy. Contemp. Educ. Psychol. 2009, 34, 240–249. [Google Scholar] [CrossRef]
- Ma, X.; Xu, J. The causal ordering of mathematics anxiety and mathematics achievement: A longitudinal panel analysis. J. Adolesc. 2004, 27, 165–179. [Google Scholar] [CrossRef]
- Hoffman, B. I think I can, but I’m afraid to try: The role of self-efficacy beliefs and mathematics anxiety in mathematics problem-solving efficiency. Learn. Individ. Differ. 2010, 20, 276–283. [Google Scholar] [CrossRef]
- Pajares, F.; Graham, L. Self-efficacy, motivation constructs, and mathematics performance of entering middle school students. Contemp. Educ. Psychol. 1999, 24, 124–139. [Google Scholar] [CrossRef]
- Vancouver, J.B.; Kendall, L.N. When self-efficacy negatively relates to motivation and performance in a learning context. J. Appl. Psychol. 2006, 91, 1146. [Google Scholar] [CrossRef] [PubMed]
- Hufstader, G.M.; Atkins, D.; Chokshi, A.; Midence, S.; Bowdon, M. Exploring math. Anxiety and math. Self-efficacy among health administration students. J. Health Adm. Educ. 2019, 36, 151. [Google Scholar]
- Castellanos, A.G. A Comparison of Traditional vs. Montessori Education in Relation to Children’s Self-Esteem, Self-Efficacy, and Prosocial Behavior. Ph.D. Thesis, Carlos Albizu University, San Juan, Puerto Rico, 2003. [Google Scholar]
- Nicolaidou, M.; Philippou, G. Attitudes Towards Mathematics, Self-Efficacy and Achievement in Problem Solving. In Proceedings of the European Research in Mathematics Education III, Bellaria, Italia, 28 February–3 March 2003; pp. 1–11. [Google Scholar]
- Zimmerman, B.J. Self-efficacy: An essential motive to learn. Contemp. Educ. Psychol. 2000, 25, 82–91. [Google Scholar] [CrossRef] [PubMed]
- Ma, X.; Kishor, N. Assessing the relationship between attitude toward mathematics and achievement in mathematics: A meta-analysis. J. Res. Math. Educ. 1997, 28, 26–47. [Google Scholar] [CrossRef]
- Hannula, M.S.; Bofah, E.; Tuohilampi, L. A Longitudinal Analysis of the Relationship between Mathematics-Related Affect and Achievement in Finland. In Proceedings of the Joint Meeting of PME 38 and PME-NA 36, Vancouver, BC, Canada, 15–20 July 2014; Oesterle, S., Liljedahl, P., Nicol, C., Allan, D., Eds.; PME: Vancouver, BC, Canada, 2014; Volume 3, pp. 249–256. [Google Scholar]
- Knoke, D.; Bornstedt, G.W.; Mee, A.P. Statistics for Social Data Analysis; FE Peacock Publishers: Itasca, IL, USA, 2002. [Google Scholar]
- Chráska, M. Didaktické Testy; Paido: Brno, Czech Republic, 1999. [Google Scholar]
- Tavakol, M.; Dennick, R. Making sense of Cronbach’s alpha. Int. J. Med. Educ. 2011, 2, 53–55. [Google Scholar] [CrossRef] [PubMed]
- Štěpánek, P. Tvorba Databáze Otázek Pro Testování Znalostí Středoškolské Biochemie; Masarykova univerzita, Přírodovědecká fakulta: Brno, Czech Republic, 2009. [Google Scholar]
- Bandura, A. Self-efficacy: Toward a unifying theory of behavioral change. Psychol. Rev. 1977, 84, 191–215. [Google Scholar] [CrossRef] [PubMed]
- Chytrý, V.; Koufek, R. Možnosti využití Likertovy škály—základní principy aplikace v pedagogickém výzkumu a demonstrace na příkladu zjišťování vztahu člověka k přírodě. Sci. Educ. 2017, 8, 2–17. [Google Scholar] [CrossRef]
- Clason, D.L.; Dormody, T.J. Analyzing data measured by individual Likert-type items. J. Agric. Educ. 1994, 35, 4. [Google Scholar] [CrossRef]
- Boone, H.N.; Boone, D.A. Analyzing Likert data. J. Ext. 2012, 50, 1–5. [Google Scholar]
- Maurer, T.J.; Pierce, H.R. A comparison of Likert scale and traditional measures of self-efficacy. J. Appl. Psychol. 1998, 83, 324. [Google Scholar] [CrossRef]
- Vickers, A.J. Comparison of an ordinal and a continuous outcome measure of muscle soreness. Int. J. Technol. Assess. Health Care 1999, 15, 709–716. [Google Scholar] [CrossRef]
- Shapiro, S.S.; Wilk, M.B. An Analysis of Variance Test. for Normality (Complete Samples). Biometrika 1965, 52, 591–611. [Google Scholar] [CrossRef]
- Spearman, C. The proof and measurement of association between two things. Am. J. Psychol. 1987, 100, 441–471. [Google Scholar] [CrossRef] [PubMed]
- Hendl, J. Přehled Statistických Metod: Analýza a Metaanalýza Dat; Portál: Praha, Czech Republic, 2012; pp. 66–79. [Google Scholar]
- Kruskal, W.H.; Wallis, W.A. Use of ranks in one-criterion variance analysis. J. Am. Stat. Assoc. 1952, 47, 583–621. [Google Scholar] [CrossRef]
- Češková, T. Výukové situace rozvíjející kompetenci k řešení problémů: Teoretický model jako východisko pro jejich analýzu. Pedagogika 2016, 66, 530–548. [Google Scholar]
- De Jong, T.; Weinberger, A.; Girault, I.; Kluge, A.; Lazonder, A.W.; Pedaste, M.; Ludvigsen, S.; Ney, M.; Wasson, B.; Wichmann, A.; et al. Using scenarios to design complex technology-enhanced learning environments. Educ. Technol. Res. Dev. 2012, 60, 883–901. [Google Scholar] [CrossRef]
- Boaler, J. Experiencing School Mathematics: Traditional and Reform Approaches to Teaching and Their Impact on Student Learning; Routledge: Abingdon, UK, 2002. [Google Scholar]
- Knecht, P.; Janík, T.; Najvar, P.; Najvarová, V.; Vlčková, K. Příležitosti k rozvíjení kompetence k řešení problémů ve výuce na základních školách. Orbis Sch. 2010, 4, 37–62. [Google Scholar] [CrossRef][Green Version]
- Barrows, H.S. Problem-based learning in medicine and beyond: A brief overview. New Dir. Teach. Learn. 1996, 1996, 3–12. [Google Scholar] [CrossRef]
- Chytrý, V.; Pešout, O.; Říčan, J. Preference Metakognitivních Strategií na Pozadí Úkolových Situací v Matematice u Žáků Druhého Stupně ZŠ; UJEP: Ústí nad Labem, Czech Republic, 2014. [Google Scholar]
- Fyfe, E.R.; McNeil, N.M.; Son, J.Y.; Goldstone, R.L. Concreteness fading in mathematics and science instruction: A systematic review. Educ. Psychol. Rev. 2014, 26, 9–25. [Google Scholar] [CrossRef]
- Laski, E.V.; Jor’dan, J.R.; Daoust, C.; Murray, A.K. What makes mathematics manipulatives effective? Lessons from cognitive science and montessori education. SAGE Open 2015, 5, 2158244015589588. [Google Scholar] [CrossRef]
- Weirová, S. Montessori Meets British Columbia’s New Curriculum: Incorporating Montessori Principles into Public School Classrooms. Master’s Thesis, University of Victoria, Victoria, Australia, 2019. [Google Scholar]
- Páleníková, K.; Senderáková, K. Vyučovanie matematiky orientovaného na budovanie mentálnych schém a výsledky z pozorovania žiakov počas vyučovania [Scheme-oriented approach to mathematics education and results of an observation of pupils during the educational process]. Acta Math. Nitriensia 2019, 5, 11–22. [Google Scholar] [CrossRef]
- Vinson, B.M. A comparison of preservice teachers’ mathematics anxiety before and after a methods class emphasizing manipulatives. Early Child. Educ. J. 2001, 29, 89–94. [Google Scholar] [CrossRef]
- Lillard, A.S.; Heise, M.J.; Richey, E.M.; Tong, X.; Hart, A.; Bray, P.M. Montessori preschool elevates and equalizes child outcomes: A longitudinal study. Front. Psychol. 2017, 8, 1783. [Google Scholar] [CrossRef] [PubMed]
- Hejný, M.; Stehlíková, N. Číselné Představy Dětí; Univerzita Karlova, Pedagogická Fakulta: Boleslav, Czech Republic, 1999. [Google Scholar]
- Weichhart, G.; Stary, C.; Appel, M. The digital dalton plan: Progressive education as integral part of web-based learning environments. Knowl. Manag. Elearn. Int. J. 2018, 10, 25–52. [Google Scholar]
- Škoda, J.; Doulík, P.; Hajerová-Müllerová, L. Zásady Správné Tvorby, Použití a Hodnocení Didaktických Testů v Přípravě Budoucích Učitelů, J.E.; Purkyně University: Ústí nad Labem, Czech Republic, 2006; Available online: http://cvicebnice.ujep.cz/cvicebnice/FRVS1973F5d/ (accessed on 18 September 2020).
- Hejný, M.; Kuřina, F. Dítě, Škola a Matematika: Konstruktivistické Přístupy k Vyučování; Portál: Prague, Czech Republic, 2001. [Google Scholar]
- CSI. Výroční Zpráva České Školní Inspekce za Školní Rok 2017; Czech School Inspection: Prague, Czech Republic, 2017. [Google Scholar]
- Kalibro. Kalibro a Hejného Matematika; Kalibro: Prague, Czech Republic, 2018. [Google Scholar]
- Hwang, M.H.; Choi, H.C.; Lee, A.; Culver, J.D.; Hutchison, B. The relationship between self-efficacy and academic achievement: A 5-year panel analysis. Asia Pac. Educ. Res. 2016, 25, 89–98. [Google Scholar] [CrossRef]
- Williams, T.; Williams, K. Self-efficacy and performance in mathematics: Reciprocal determinism in 33 nations. J. Educ. Psychol. 2010, 102, 453. [Google Scholar] [CrossRef]
- Janoušek, J. Sociálně kognitivní teorie alberta bandury. Československá Psychologie 1992, 36, 385–398. [Google Scholar]
- Ayotola, A.; Adedeji, T. The relationship between mathematics self-efficacy and achievement in mathematics. Procedia Soc. Behav. Sci. 2009, 1, 953–957. [Google Scholar] [CrossRef]
- Gómez-Chacón, I.M.; García-Madruga, J.A.; Vila, J.Ó.; Elosúa, M.R.; Rodríguez, R. The dual processes hypothesis in mathematics performance: Beliefs, cognitive reflection, working memory and reasoning. Learn. Individ. Differ. 2014, 29, 67–73. [Google Scholar] [CrossRef]
- McIlroy, D.; Poole, K.; Ursavas, Ö.F.; Moriarty, A. Distal and proximal associates of academic performance at secondary level: A mediation model of personality and self-efficacy. Learn. Individ. Differ. 2015, 38, 1–9. [Google Scholar] [CrossRef]
- Fonna, M.; Mursalin, M. Role of self-efficacy toward students’ achievement in mathematical multiple representation ability (MMRA). J. Ilm. Peuradeun 2018, 6, 31–40. [Google Scholar] [CrossRef]





| Aspect | Montessori | Hejný | Dalton | Ordinary School |
|---|---|---|---|---|
| Role of the Teacher | guide | guide and facilitator | facilitator | source of information |
| Learning Theory | individual constructivism | social constructivism | social constructivism | transmissive approach with elements of constructivism |
| Way of Work | individual | individual/group | group | frontal |
| Organization of Education | trivia | only in mathematics | blocks | subjects |
| Age Groups | heterogeneous | homogeneous | heterogeneous | homogeneous |
| Main Idea | Help me do it myself. | Joy of learning | Freedom for cooperation and assignments. | Not stated |
| Type of School | Montessori | Hejný | Ordinary School | Dalton | ||||
|---|---|---|---|---|---|---|---|---|
| Characteristic | Score | % | Score | % | Score | % | Score | % |
| average | 14.62 | 0.66 | 13.28 | 0.60 | 12.05 | 0.55 | 11.73 | 0.53 |
| median | 15.00 | 0.68 | 14.00 | 0.64 | 12.00 | 0.55 | 12.00 | 0.55 |
| mode | 13.00 | 0.59 | 12.00 | 0.55 | 18.00 | 0.54 | 13.00 | 0.59 |
| SD | 4.16 | 0.19 | 4.29 | 0.19 | 5.86 | 0.26 | 4.99 | 0.23 |
| max | 21.00 | 0.95 | 23.00 | 1.00 | 22.00 | 1.00 | 22.00 | 1.00 |
| min | 5.00 | 0.23 | 1.00 | 0.05 | 0.00 | 0.00 | 1.00 | 0.05 |
| SW p-level | 0.109 | 0.223 | <0.001 | 0.032 | ||||
| Montessori | Hejný | Ordinary School | Dalton | |
|---|---|---|---|---|
| Montessori | - | 0.764 | 0.027 | 0.009 |
| Hejný | 0.764 | - | 0.328 | 0.099 |
| Ordinary School | 0.027 | 0.328 | - | 0.689 |
| Dalton | 0.009 | 0.099 | 0.689 | - |
| Characteristic | Montessori | Hejný | Ordinary School | Dalton |
|---|---|---|---|---|
| average | 64.24 | 65.07 | 66.34 | 66.75 |
| median | 62.00 | 63.50 | 64.00 | 64.00 |
| mode | 81.00 | 50.00 | 57.00 | 58.00 |
| SD | 16.87 | 17.44 | 19.62 | 18.97 |
| max | 113.00 | 125.00 | 138.00 | 122.00 |
| min | 38.00 | 33.00 | 30.00 | 31.00 |
| SW p-level | 0.108 | <0.001 | <0.001 | 0.011 |
| Montessori | Hejný | Ordinary School | Dalton | |
|---|---|---|---|---|
| Montessori | NA | 0.073 | 0.941 | 0.608 |
| Hejný | 0.073 | NA | 0.002 | 0.043 |
| Ordinary School | 0.941 | 0.002 | NA | 0.336 |
| Dalton | 0.608 | 0.043 | 0.336 | NA |
Publisher’s Note: MDPI stays neutral with regard to jurisdictional claims in published maps and institutional affiliations. |
© 2020 by the authors. Licensee MDPI, Basel, Switzerland. This article is an open access article distributed under the terms and conditions of the Creative Commons Attribution (CC BY) license (http://creativecommons.org/licenses/by/4.0/).
Share and Cite
Chytrý, V.; Medová, J.; Říčan, J.; Škoda, J. Relation between Pupils’ Mathematical Self-Efficacy and Mathematical Problem Solving in the Context of the Teachers’ Preferred Pedagogies. Sustainability 2020, 12, 10215. https://doi.org/10.3390/su122310215
Chytrý V, Medová J, Říčan J, Škoda J. Relation between Pupils’ Mathematical Self-Efficacy and Mathematical Problem Solving in the Context of the Teachers’ Preferred Pedagogies. Sustainability. 2020; 12(23):10215. https://doi.org/10.3390/su122310215
Chicago/Turabian StyleChytrý, Vlastimil, Janka Medová, Jaroslav Říčan, and Jiří Škoda. 2020. "Relation between Pupils’ Mathematical Self-Efficacy and Mathematical Problem Solving in the Context of the Teachers’ Preferred Pedagogies" Sustainability 12, no. 23: 10215. https://doi.org/10.3390/su122310215
APA StyleChytrý, V., Medová, J., Říčan, J., & Škoda, J. (2020). Relation between Pupils’ Mathematical Self-Efficacy and Mathematical Problem Solving in the Context of the Teachers’ Preferred Pedagogies. Sustainability, 12(23), 10215. https://doi.org/10.3390/su122310215

