Effects of Supercritical CO2 Treatment Temperature on Functional Groups and Pore Structure of Coals
Abstract
1. Introduction
2. Materials and Methods
2.1. Sample Collection
2.2. ScCO2 Treatment
2.3. MIP Tests and Fractal Dimension Calculation(D)
2.4. Curve-Fitting Analysis of ATR-FTIR Spectra
3. Results and Discussion
3.1. MIP Analyses
3.1.1. Variations in Pore Volume
3.1.2. Variations in Fractal Dimension (D)
3.2. ATR-FTIR Analyses
3.2.1. Variations in Aromaticity
3.2.2. Variations in the DOC of Aromatic Rings
3.2.3. Variations in Aliphatic Chain Length and Aliphatic Hydrocarbon Content
4. Conclusions
- (1)
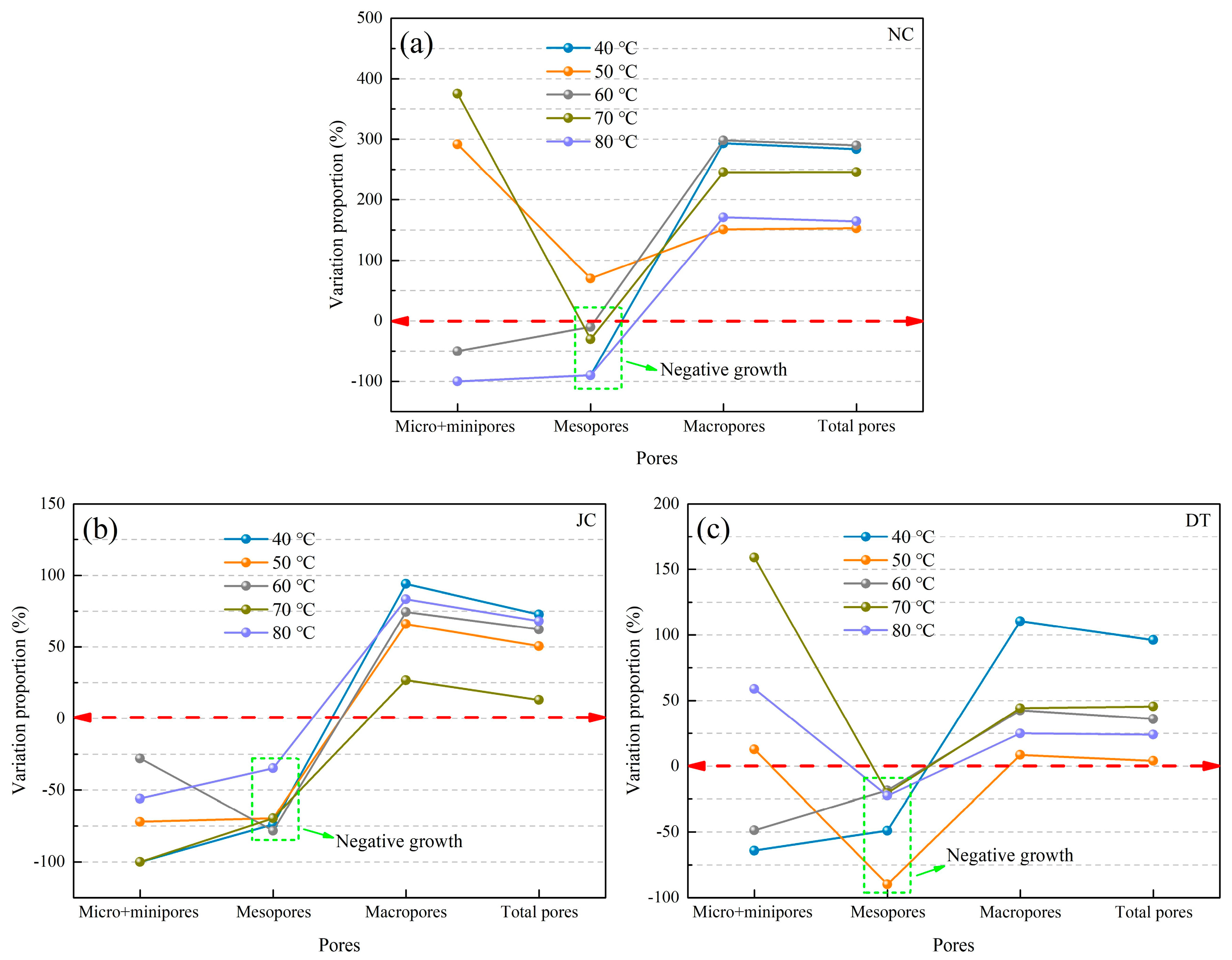
- The cumulative pore volume of the three coal samples treated with ScCO2 increases significantly. In most of the treated coal samples, the variation proportion of mesopores decreases and the variation proportion of macropores increases. Compared to the untreated coal samples, the total pore volumes in samples treated with ScCO2 at 40 °C (the NC, JC, and DT samples) increased by 284%, 73% and 96%, respectively. In general, compared to the treatment at any other temperature, the pore structure of coal develops better when the ScCO2 is 40 °C. The variation proportion of total pores decreases with increasing temperature. In conclusion, as the buried depth increased, the enhancement effect of ScCO2 became less significant.
- (2)
- The ScCO2 reduced the DT coal’s pore structure complexity (the fractal dimension) when the coal was treated at higher temperatures (70 °C and 80 °C), but the fractal dimension of the NC and JC coals appeared to exhibit an opposite trend in the 50°C and 70 °C, and 60°C and 80 °C. The higher the coal rank, the lower the favorable temperature range for ScCO2 to reduce pore complexity.
- (3)
- When measured by FTIR, the hydrocarbon functional group IR peaks from the three ScCO2-treated coal samples are lower than the peaks from the untreated samples because the ScCO2 extracted some hydrocarbons. The structural parameters of the coal samples were classified using three IR indexes: L (aliphatic chain length), I (aromaticity), and degree of condensation (DOC) of aromatic rings. These indexes were obtained by curve fitting. After treatment with ScCO2, the I-values for the NC and JC coals decreased when the temperature is increased. The DOC-values of those two samples are lower and the DOC-values follow a U-shape curve with temperature. The decrease in the DOC-values indicates a favorable desorption of CH4. However, no regular patterns in the IR index data for the DT coal sample were apparent, implying that the changes in the relatively lower rank coal during ScCO2 treatment are more complex. The changes in aliphatic chain lengths in the NC and JC coal samples are consistent. Almost all of the L-values of the ScCO2-treated coal sample (DT) are higher than the L-values of untreated samples.
Author Contributions
Funding
Conflicts of Interest
References
- Pacala, S.; Socolow, R. Stabilization wedges: Solving the climate problem for the next 50 years with current technologies. Science 2004, 305, 968–972. [Google Scholar] [CrossRef] [PubMed]
- Chen, W.Y.; Xu, R.N. Clean coal technology development in China. Energ Policy 2010, 38, 2123–2130. [Google Scholar] [CrossRef]
- Prabu, V.; Mallick, N. Coalbed methane with CO2 sequestration: An emerging clean coal technology in India. Renew. Sustain. Energy Rev. 2015, 50, 229–244. [Google Scholar] [CrossRef]
- Singh, H.; Cai, J. A mechanistic model for multi-scale sorption dynamics in shale. Fuel 2018, 234, 996–1014. [Google Scholar] [CrossRef]
- Su, E.; Liang, Y.; Zou, Q.; Niu, F.; Li, L. Analysis of Effects of CO2 Injection on Coalbed Permeability: Implications for Coal Seam CO2 Sequestration. Energy Fuels 2019, 33, 6606–6615. [Google Scholar] [CrossRef]
- Wang, K.R.; Xu, T.F.; Wang, F.G.; Tian, H.L. Experimental study of CO2-brine-rock interaction during CO2 sequestration in deep coal seams. Int. J. Coal Geol. 2016, 154, 265–274. [Google Scholar] [CrossRef]
- Skrzypkowski, K. Compressibility of materials and backfilling mixtures with addition of solid wastes from flue-gas treatment and fly ashes. E3S Web Conf. 2018, 71, 00007. [Google Scholar] [CrossRef]
- Skrzypkowski, K.; Korzeniowski, W.; Poborska-Mlynarska, K. Binding capability of ashes and dusts from municipal solid waste incineration with salt brine and geotechnical parameters of the cemented samples. Arch. Min. Sci. 2018, 63, 903–918. [Google Scholar] [CrossRef]
- Benson, S.M.; Surles, T. Carbon dioxide capture and storage: An overview with emphasis on capture and storage in deep geological formations. Proc. IEEE 2006, 94, 1795–1805. [Google Scholar] [CrossRef]
- White, C.M.; Smith, D.H.; Jones, K.L.; Goodman, A.L.; Jikich, S.A.; LaCount, R.B.; DuBose, S.B.; Ozdemir, E.; Morsi, B.I.; Schroeder, K.T. Sequestration of carbon dioxide in coal with enhanced coalbed methane recovery—A review. Energy Fuels 2005, 19, 659–724. [Google Scholar] [CrossRef]
- Liu, X.; Nie, B.; Wang, W.; Wang, Z.; Zhang, L. The use of AFM in quantitative analysis of pore characteristics in coal and coal-bearing shale. Mar. Petrol. Geol. 2019, 105, 331–337. [Google Scholar] [CrossRef]
- Bae, J.S.; Bhatia, S.K.; Rudolph, V.; Massarotto, P. Pore Accessibility of Methane and Carbon Dioxide in Coals. Energy Fuels 2009, 23, 3319–3327. [Google Scholar] [CrossRef]
- Cai, C.; Kang, Y.; Wang, X.; Hu, Y.; Chen, H.; Yuan, X.; Cai, Y. Mechanism of supercritical carbon dioxide (SC-CO2) hydro-jet fracturing. J. CO2 Util. 2018, 26, 575–587. [Google Scholar] [CrossRef]
- Liang, Y. Promote the precise development and utilization of closed/abandoned mine resources in China. Coal Econ. Res. 2019, 39, 1. [Google Scholar] [CrossRef]
- Ehlig-Economides, C.; Economides, M.J. Sequestering carbon dioxide in a closed underground volume. J. Pet. Sci. Eng. 2010, 70, 123–130. [Google Scholar] [CrossRef]
- Massarotto, P.; Golding, S.D.; Bae, J.S.; Iyer, R.; Rudolph, V. Changes in reservoir properties from injection of supercritical CO2 into coal seams—A laboratory study. Int. J. Coal Geol. 2010, 82, 269–279. [Google Scholar] [CrossRef]
- Okolo, G.N.; Neomagus, H.W.J.P.; Everson, R.C.; Roberts, M.J.; Bunt, J.R.; Sakurovs, R.; Mathews, J.P. Chemical-structural properties of South African bituminous coals: Insights from wide angle XRD-carbon fraction analysis, ATR-FTIR, solid state C-13 NMR, and HRTEM techniques. Fuel 2015, 158, 779–792. [Google Scholar] [CrossRef]
- Kolak, J.J.; Burruss, R.C. Geochemical investigation of the potential for mobilizing non-methane hydrocarbons during carbon dioxide storage in deep coal beds. Energy Fuels 2006, 20, 566–574. [Google Scholar] [CrossRef]
- Liu, C.J.; Wang, G.X.; Sang, S.X.; Gilani, W.; Rudolph, V. Fractal analysis in pore structure of coal under conditions of CO 2 sequestration process. Fuel 2015, 139, 125–132. [Google Scholar] [CrossRef]
- Liu, C.J.; Wang, G.X.; Sang, S.X.; Rudolph, V. Changes in pore structure of anthracite coal associated with CO2 sequestration process. Fuel 2010, 89, 2665–2672. [Google Scholar] [CrossRef]
- Liu, S.; Ma, J.; Sang, S.; Wang, T.; Du, Y.; Fang, H. The effects of supercritical CO2 on mesopore and macropore structure in bituminous and anthracite coal. Fuel 2018, 223, 32–43. [Google Scholar] [CrossRef]
- Wang, Q.; Li, W.; Zhang, D.; Wang, H.; Jiang, W.; Zhu, L.; Tao, J.; Huo, P.; Zhang, J. Influence of high-pressure CO2 exposure on adsorption kinetics of methane and CO2 on coals. J. Nat. Gas Sci. Eng. 2016, 34, 811–822. [Google Scholar] [CrossRef]
- Zhang, D.; Gu, L.; Li, S.; Lian, P.; Tao, J. Interactions of Supercritical CO2 with Coal. Energy Fuels 2013, 27, 387–393. [Google Scholar] [CrossRef]
- He, X.; Liu, X.; Nie, B.; Song, D. FTIR and Raman spectroscopy characterization of functional groups in various rank coals. Fuel 2017, 206, 555–563. [Google Scholar] [CrossRef]
- Zhang, K.; Cheng, Y.; Li, W.; Wu, D.; Liu, Z. Influence of supercritical CO2 on pore structure and functional groups of coal: Implications for CO2 sequestration. J. Nat. Gas. Sci. Eng. 2017, 40, 288–298. [Google Scholar] [CrossRef]
- Zhang, B.; Liang, W.; Ranjith, P.G.; Li, Z.; Li, C.; Hou, D. Coupling Effects of Supercritical CO2 Sequestration in Deep Coal Seam. Energy Fuels 2018, 33, 460–473. [Google Scholar] [CrossRef]
- Meng, M.; Qiu, Z. Experiment study of mechanical properties and microstructures of bituminous coals influenced by supercritical carbon dioxide. Fuel 2018, 219, 223–238. [Google Scholar] [CrossRef]
- Day, S.; Fry, R.; Sakurovs, R. Swelling of Australian coals in supercritical CO2. Int. J. Coal Geol. 2008, 74, 41–52. [Google Scholar] [CrossRef]
- Zhang, X.G.; Ranjith, P.G.; Li, D.Y.; Perera, M.S.A.; Ranathunga, A.S.; Zhang, B.N. CO2 enhanced flow characteristics of naturally-fractured bituminous coals with N2 injection at different reservoir depths. J. CO2 Util. 2018, 28, 393–402. [Google Scholar] [CrossRef]
- Qu, H.; Liu, J.; Chen, Z.; Wang, J.; Pan, Z.; Connell, L.; Elsworth, D. Complex evolution of coal permeability during CO2 injection under variable temperatures. Int. J. Greenhouse Gas. Control. 2012, 9, 281–293. [Google Scholar] [CrossRef]
- Wang, K.; Du, F.; Wang, G. Investigation of gas pressure and temperature effects on the permeability and steady-state time of chinese anthracite coal: An experimental study. J. Nat. Gas Sci. Eng. 2017, 40, 179–188. [Google Scholar] [CrossRef]
- Li, X.; Yan, X.; Kang, Y. Effect of temperature on the permeability of gas adsorbed coal under triaxial stress conditions. J. Geophys. Eng. 2018, 15, 386–396. [Google Scholar] [CrossRef]
- Niu, S.; Zhao, Y.; Hu, Y. Experimental Investigation of the Temperature and Pore Pressure Effect on Permeability of Lignite Under the In Situ Condition. Transp. Porous Med. 2013, 101, 137–148. [Google Scholar] [CrossRef]
- Yin, G.; Jiang, C.; Wang, J.G.; Xu, J. Combined Effect of Stress, Pore Pressure and Temperature on Methane Permeability in Anthracite Coal: An Experimental Study. Transp. Porous Med. 2013, 100, 1–16. [Google Scholar] [CrossRef]
- Levy, J.H.; Day, S.J.; Killingley, J.S. Methane capacities of Bowen basin coals related to coal properties. Fuel 1997, 76, 813–819. [Google Scholar] [CrossRef]
- Sakurovs, R.; Day, S.; Weir, S.; Duffy, G. Application of a modified Dubinin-Radushkevich equation to adsorption of gases by coals under supercritical conditions. Energy Fuels 2007, 21, 992–997. [Google Scholar] [CrossRef]
- Crosdale, P.J.; Moore, T.A.; Mares, T.E. Influence of moisture content and temperature on methane adsorption isotherm analysis for coals from a low-rank, biogenically-sourced gas reservoir. Int. J. Coal Geol. 2008, 76, 166–174. [Google Scholar] [CrossRef]
- Perera, M.S.A.; Ranjith, P.G.; Choi, S.K.; Airey, D. Investigation of temperature effect on permeability of naturally fractured black coal for carbon dioxide movement: An experimental and numerical study. Fuel 2012, 94, 596–605. [Google Scholar] [CrossRef]
- Ozdemir, E. Modeling of coal bed methane (CBM) production and CO2 sequestration in coal seams. Int. J. Coal Geol. 2009, 77, 145–152. [Google Scholar] [CrossRef]
- Zhanli, R. Determination of heat flow in well Qincan 1 in Qinshui Basin, Shanxi province. Chin. J. Geol. 1998, 2, 251–254. [Google Scholar]
- Angulo, R.F.; Alvarado, V.; Gonzalez, H. Fractal Dimensions from Mercury Intrusion Capillary Tests. In Proceedings of the SPE Latin America Petroleum Engineering Conference, Caracas, Venezuela, 8–11 March 1992; pp. 255–263. [Google Scholar]
- Painter, P.C.; Snyder, R.W.; Starsinic, M.; Coleman, M.M.; Kuehn, D.W.; Davis, A. Concerning the Application of Ft-Ir to the Study of Coal—A Critical-Assessment of Band Assignments and the Application of Spectral-Analysis Programs. Appl. Spectrosc. 1981, 35, 475–485. [Google Scholar] [CrossRef]
- He, X.; Liu, X.; Song, D.; Nie, B. Effect of microstructure on electrical property of coal surface. Appl. Surf. Sci. 2019, 483, 713–720. [Google Scholar] [CrossRef]
- Xuguang, S. The investigation of chemical structure of coal macerals via transmitted-light FT-IR microspectroscopy. Spectrochim. Acta A Mol. Biomol. Spectrosc. 2005, 62, 557–564. [Google Scholar] [CrossRef] [PubMed]
- Hudot, B.B. Coal and Gas Outburst, 1st ed.; China Industrial Press: Beijing, China, 1966. [Google Scholar]
- Cai, Y.; Liu, D.; Pan, Z.; Yao, Y.; Li, J.; Qiu, Y. Pore structure and its impact on CH4 adsorption capacity and flow capability of bituminous and subbituminous coals from Northeast China. Fuel 2013, 103, 258–268. [Google Scholar] [CrossRef]
- Zhao, W.; Cheng, Y.; Yuan, M.; An, F. Effect of Adsorption Contact Time on Coking Coal Particle Desorption Characteristics. Energy Fuels 2014, 28, 2287–2296. [Google Scholar] [CrossRef]
- Ao, X.; Lu, Y.; Tang, J.; Chen, Y.; Li, H. Investigation on the physics structure and chemical properties of the shale treated by supercritical CO 2. J. CO2 Util. 2017, 20, 274–281. [Google Scholar] [CrossRef]
- Zhang, G.; Ranjith, P.G.; Perera, M.S.A.; Lu, Y.; Choi, X. Quantitative Analysis of Micro-structural Changes in a Bituminous Coal After Exposure to Supercritical CO2 and Water. Nat. Resour. Res. 2019, 28, 1639–1660. [Google Scholar] [CrossRef]
- Jiang, Y.; Luo, Y.; Lu, Y.; Qin, C.; Liu, H. Effects of supercritical CO2 treatment time, pressure, and temperature on microstructure of shale. Energy 2016, 97, 173–181. [Google Scholar] [CrossRef]
- Qin, C.; Jiang, Y.; Luo, Y.; Xian, X.; Liu, H.; Li, Y. Effect of Supercritical Carbon Dioxide Treatment Time, Pressure, and Temperature on Shale Water Wettability. Energy Fuels 2016, 31, 493–503. [Google Scholar] [CrossRef]
- Zhang, K.; Cheng, Y.; Jin, K.; Guo, H.; Liu, Q.; Dong, J.; Li, W. Effects of Supercritical CO2 Fluids on Pore Morphology of Coal: Implications for CO2 Geological Sequestration. Energy Fuels 2017, 31, 4731–4741. [Google Scholar] [CrossRef]
- Yin, H.; Zhou, J.; Jiang, Y.; Xian, X.; Liu, Q. Physical and structural changes in shale associated with supercritical CO 2 exposure. Fuel 2016, 184, 289–303. [Google Scholar] [CrossRef]
- Friesen, W.I.; Mikula, R.J. Fractal Dimensions of Coal Particles. J. Colloid Interface Sci. 1987, 120, 263–271. [Google Scholar] [CrossRef]
- Friesen, W.I.; Mikula, R.J. Mercury Porosimetry of Coals—Pore Volume Distribution and Compressibility. Fuel 1988, 67, 1516–1520. [Google Scholar] [CrossRef]
- Gathitu, B.B.; Chen, W.Y.; McClure, M. Effects of Coal Interaction with Supercritical CO2: Physical Structure. Ind. Eng. Chem. Res. 2009, 48, 5024–5034. [Google Scholar] [CrossRef]
- Ouyang, Z.Q.; Liu, D.M.; Cai, Y.D.; Yao, Y.B. Fractal Analysis on Heterogeneity of Pore-Fractures in Middle-High Rank Coals with NMR. Energy Fuels 2016, 30, 5449–5458. [Google Scholar] [CrossRef]
- Liu, X.; Song, D.; He, X.; Wang, Z.; Zeng, M.; Deng, K. Nanopore structure of deep-burial coals explored by AFM. Fuel 2019, 246, 9–17. [Google Scholar] [CrossRef]
- Liu, S.; Sang, S.; Ma, J.; Wang, T.; Du, Y.; Fang, H. Effects of supercritical CO2 on micropores in bituminous and anthracite coal. Fuel 2019, 242, 96–108. [Google Scholar] [CrossRef]
- Wang, Q.; Ye, J.-B.; Yang, H.-Y.; Liu, Q. Chemical Composition and Structural Characteristics of Oil Shales and Their Kerogens Using Fourier Transform Infrared (FTIR) Spectroscopy and Solid-State 13C Nuclear Magnetic Resonance (NMR). Energy Fuels 2016, 30, 6271–6280. [Google Scholar] [CrossRef]
- Ibarra, J.V.; Moliner, R.; Bonet, A.J. Ft-Ir Investigation on Char Formation during the Early Stages of Coal Pyrolysis. Fuel 1994, 73, 918–924. [Google Scholar] [CrossRef]
- Nie, B.; Liu, X.; Yang, L.; Meng, J.; Li, X. Pore structure characterization of different rank coals using gas adsorption and scanning electron microscopy. Fuel 2015, 158, 908–917. [Google Scholar] [CrossRef]
- Ouyang, Z.; Liu, D.; Cai, Y.; Yao, Y. Investigating the Fractal Characteristics of Pore-Fractures in Bituminous Coals and Anthracites through Fluid Flow Behavior. Energy Fuels 2016, 30, 10348–10357. [Google Scholar] [CrossRef]
- Fu, Y.; Liu, X.; Ge, B.; Liu, Z. Role of chemical structures in coalbed methane adsorption for anthracites and bituminous coals. Adsorption 2017, 23, 711–721. [Google Scholar] [CrossRef]
- Castro-Marcano, F.; Lobodin, V.V.; Rodgers, R.P.; McKenna, A.M.; Marshall, A.G.; Mathews, J.P. A molecular model for Illinois No. 6 Argonne Premium coal: Moving toward capturing the continuum structure. Fuel 2012, 95, 35–49. [Google Scholar] [CrossRef]
- Chamberlain, E.A.C.; Barrass, G.; Thirlaway, J.T. Gases Evolved and Possible Reactions during Low-Temperature Oxidation of Coal. Fuel 1976, 55, 217–223. [Google Scholar] [CrossRef]
- Mazumder, S.; Vanhemert, P.; Bruining, J.; Wolf, K.; Drabe, K. In situ CO2–coal reactions in view of carbon dioxide storage in deep unminable coal seams. Fuel 2006, 85, 1904–1912. [Google Scholar] [CrossRef]
- Kolak, J.J.; Hackley, P.C.; Ruppert, L.F.; Warwick, P.D.; Burruss, R.C. Using Ground and Intact Coal Samples To Evaluate Hydrocarbon Fate during Supercritical CO2 Injection into Coal Beds: Effects of Particle Size and Coal Moisture. Energy Fuels 2015, 29, 5187–5203. [Google Scholar] [CrossRef]








| Sample | Sampling Location | Proximate Analysis (wt %) | Ro (%) | Coal Rank | |||
|---|---|---|---|---|---|---|---|
| Mad | Aad | Vdaf | FCad | ||||
| NC | Nanchuan, Chongqing | 0.89 | 8.27 | 30.14 | 60.70 | 1.105 | Bituminous Coal B |
| JC | Jincheng, Shanxi | 0.98 | 5.53 | 31.26 | 62.23 | 1.051 | Bituminous Coal B |
| DT | Datong, Shanxi | 2.41 | 9.46 | 36.22 | 51.91 | 0.683 | Bituminous Coal C |
| Sample | Treated Time (h) | Temperature (°C) | Pressure (MPa) |
|---|---|---|---|
| NC/JC/DT | - | - | - |
| 96 | 40 | 8 | |
| 96 | 50 | 8 | |
| 96 | 60 | 8 | |
| 96 | 70 | 8 | |
| 96 | 80 | 8 |
| IR Index | Band Region (cm−1) | Index Meaning |
|---|---|---|
| L | A2925/A2950 | Aliphatic chain length/Degree of branch chain |
| I | A700-900/A2800-3000 | Aromaticity |
| DOC | A700-900/A1600 | Degree of condensation (DOC) of aromatic rings |
© 2019 by the authors. Licensee MDPI, Basel, Switzerland. This article is an open access article distributed under the terms and conditions of the Creative Commons Attribution (CC BY) license (http://creativecommons.org/licenses/by/4.0/).
Share and Cite
Ge, Z.; Zeng, M.; Cheng, Y.; Wang, H.; Liu, X. Effects of Supercritical CO2 Treatment Temperature on Functional Groups and Pore Structure of Coals. Sustainability 2019, 11, 7180. https://doi.org/10.3390/su11247180
Ge Z, Zeng M, Cheng Y, Wang H, Liu X. Effects of Supercritical CO2 Treatment Temperature on Functional Groups and Pore Structure of Coals. Sustainability. 2019; 11(24):7180. https://doi.org/10.3390/su11247180
Chicago/Turabian StyleGe, Zhaolong, Mengru Zeng, Yugang Cheng, Haoming Wang, and Xianfeng Liu. 2019. "Effects of Supercritical CO2 Treatment Temperature on Functional Groups and Pore Structure of Coals" Sustainability 11, no. 24: 7180. https://doi.org/10.3390/su11247180
APA StyleGe, Z., Zeng, M., Cheng, Y., Wang, H., & Liu, X. (2019). Effects of Supercritical CO2 Treatment Temperature on Functional Groups and Pore Structure of Coals. Sustainability, 11(24), 7180. https://doi.org/10.3390/su11247180
