Sustainable Personal Transport Modes in a Life Cycle Perspective—Public or Private?
Abstract
1. Introduction
Aims and Objectives
- Develop a life cycle inventory-based model for different transport modes—a transport mode model—to calculate environmental footprints of different transport modes.
- Develop a passenger travel model and allow coupling of it to the transport mode model.
- Apply the combined model to assess a public transport intervention program to address the discussion around public and private transport.
2. Materials and Methods
2.1. Transport Mode Model (TMM)
2.2. Passenger Model (PM)
2.3. Temporary Free Public Transport Intervention
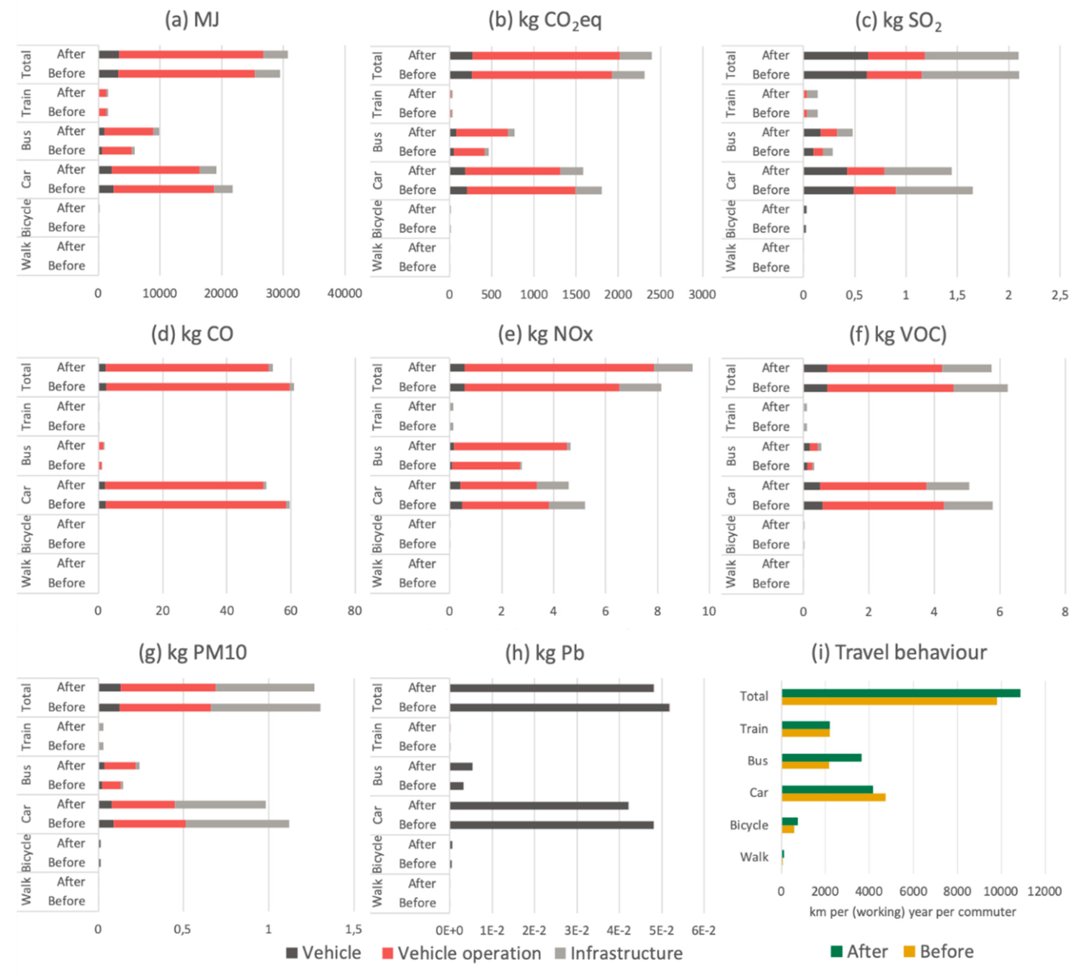
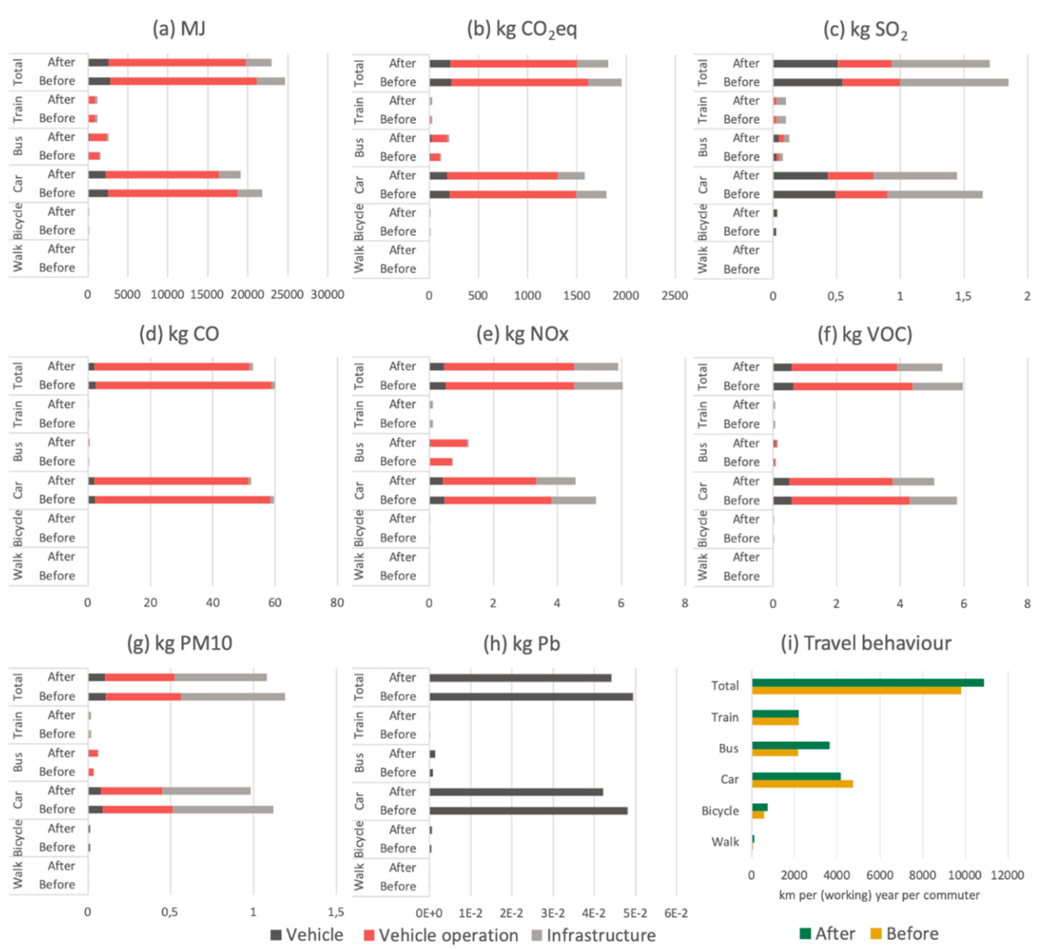
3. Results
3.1. Transport Mode Model
3.2. Passenger Model
3.3. Application of the Model to the Intervention
4. Discussion
4.1. The Intervention and Public Versus Car Transport
4.2. Data Quality of the Model
5. Conclusions
Supplementary Materials
Author Contributions
Funding
Acknowledgments
Conflicts of Interest
References
- Schwanen, T.N. Transportation systems. In Companion to Environmental Studies; ROUTLEDGE in Association with GSE Research: Abington, UK, 2018; pp. 558–563. [Google Scholar]
- EIA. Available online: https://www.iea.org/etp/tracking2017/transport/ (accessed on 26 July 2019).
- SLoCaT. Available online: http://slocat.net/tcc-gsr (accessed on 26 July 2019).
- EDGAR. Available online: https://edgar.jrc.ec.europa.eu/overview.php?v=432 (accessed on 26 July 2019).
- IEA/SMP Model Documentation and Reference Case Projection. Available online: http://www.libralato.co.uk/docs/SMP%20model%20guidance%202004.pdf (accessed on 26 July 2019).
- EIA. Available online: https://www.iea.org/etp2016/ (accessed on 26 July 2019).
- Trafikverket. Available online: https://trafikverket.ineko.se/Files/sv-SE/49148/Ineko.Product.RelatedFiles/2018_086_TRV_Annual%20Report_2017.pdf (accessed on 26 July 2019).
- Creutzig, F.; Roy, J.; Lamb, W.F.; Azevedo, I.M.L.; de Bruin, W.B.; Dalkmann, H.; Edelenbosch, O.Y.; Geels, F.W.; Grubler, A.; Hepburn, C.; et al. Towards demand-side solutions for mitigating climate change. Nat. Clim. Chang. 2018, 8, 268–271. [Google Scholar] [CrossRef]
- Abdallah, T. Sustainable Mass Transit: Challenges and Opportunities in Urban Public Transportation; Elsevier: Amsterdam, The Netherlands, 2017; pp. 109–122. [Google Scholar]
- Eliasson, J.; Proost, S. Is sustainable transport policy sustainable? Transp. Policy 2015, 37, 92–100. [Google Scholar] [CrossRef]
- Ramjerdi, F.; Skollerud, K.H.; Aarhaug, J. Policies for Sustainable Commuting; TØI-rapport: Oslo, Norway, 2017. [Google Scholar]
- Buehler, R.; Pucher, J.; Altshuler, A. Vienna’s path to sustainable transport. Int. J. Sustain. Transp. 2017, 11, 257–271. [Google Scholar] [CrossRef]
- Modarres, A. Commuting, energy consumption, and the challenge of sustainable urban development. Curr. Opin. Environ. Sustain. 2017, 25, 1–7. [Google Scholar] [CrossRef]
- Bamberg, S.; Schmidt, P. Changing travel-mode choice as rational choice: Results from a longitudinal intervention study. Ration. Soc. 1998, 10, 223–252. [Google Scholar] [CrossRef]
- Bamberg, S.; Schmidt, P. Theory-Driven Subgroup-Specific Evaluation of an Intervention to Reduce Private Car Use 1. J. App. Soc. Psychol. 2001, 31, 1300–1329. [Google Scholar] [CrossRef]
- Matthies, E.; Klöckner, C.A.; Preißner, C.L. Applying a modified moral decision making model to change habitual car use: How can commitment be effective? Appl. Psychol. 2006, 55, 91–106. [Google Scholar] [CrossRef]
- Abou-Zeid, M.; Witter, R.; Bierlaire, M.; Kaufmann, V.; Ben-Akiva, M. Happiness and travel mode switching: Findings from a Swiss public transportation experiment. Transp. Policy 2012, 19, 93–104. [Google Scholar] [CrossRef]
- Skarin, F.; Olsson, E.L.; Roos, I.; Friman, M. The household as an instrumental and affective trigger in intervention programs for travel behavior change. Travel Behav. Soc. 2017, 6, 83–89. [Google Scholar] [CrossRef]
- Shinde, A.M.; Dikshit, A.K.; Singh, R.K.; Campana, P.E. Life cycle analysis based comprehensive environmental performance evaluation of Mumbai Suburban Railway, India. J. Cleaner Prod. 2018, 188, 989–1003. [Google Scholar] [CrossRef]
- Shinde, A.M.; Dikshit, A.K.; Singh, R.K. Comparison of life cycle environmental performance of public road transport modes in metropolitan regions. Clean Technol. Environ. Policy 2019, 21, 605–624. [Google Scholar] [CrossRef]
- Chester, M.V.; Horvath, A. Environmental assessment of passenger transportation should include infrastructure and supply chains. Environ. Res. Lett. 2009, 4, 024008. [Google Scholar] [CrossRef]
- Chester, M.V. Life-Cycle Environmental Inventory of Passenger Transportation Modes in the United States. Ph.D. Thesis, University of California, Berkeley, CA, USA, August 2008. [Google Scholar]
- Dave, S. Life Cycle Assessment of Transportation Options for Commuters. Master’s Thesis, Massachusetts Institute of Technology, Cambridge, MA, USA, February 2010. [Google Scholar]
- Coyle, M. Reducing the environmental impact of road transport operations: A review of interventions that can be applied by fleet operators. In Proceedings of the CANTIQUE Workshop, Rome, Italy, 24–25 January 2000. [Google Scholar]
- Skippon, S.; Veeraraghavan, S.; Ma, H.; Gadd, P.; Tait, N. Combining technology development and behaviour change to meet CO2 cumulative emission budgets for road transport: Case studies for the USA and Europe. Transp. Res. Part A Policy Pract. 2012, 46, 1405–1423. [Google Scholar] [CrossRef]
- Laurenti, R.; Singh, J.; Sinha, R.; Potting, J.; Frostell, B. Unintended environmental consequences of improvement actions: A qualitative analysis of systems’ structure and behavior. Syst. Res. Behav. Sci. 2015, 33. [Google Scholar] [CrossRef]
- Laurenti, R.; Sinha, R.; Singh, J.; Frostell, B. Towards Addressing Unintended Environmental Consequences: A Planning Framework. Sustain. Dev. 2015. [Google Scholar] [CrossRef]
- Sinha, R.; Lennartsson, M.; Frostell, B.r. Environmental footprint assessment of building structures: A comparative study. Build. Environ. 2016, 104, 162–171. [Google Scholar] [CrossRef]
- Friman, M.; Maier, R.; Olsson, L.E. Applying a Motivational Stage-Based Approach in order to Study a Temporary Free Public Transport Intervention. Transp. Policy 2019, 81, 173–183. [Google Scholar] [CrossRef]
- Mokhtarian, P.L.; Salomon, I. How derived is the demand for travel? Some conceptual and measurement considerations. Transp. Res. Part A Policy Pract. 2001, 35, 695–719. [Google Scholar] [CrossRef]
- Friman, M.; Olsson, L.E.; Ettema, D. Quality of Life and Daily Travel; Springer: Berlin, Germany, 2018; pp. 1–93. [Google Scholar]
- Waygood, E.O.; Friman, M.; Olsson, L.E.; Mitra, R. Travel and Child Wellbeing; Elsevier: Amsterdam, The Netherlands, 2019. [Google Scholar]
- Lättman, K.; Friman, M.; Olsson, L.E. Perceived accessibility of public transport as a potential indicator of social inclusion. Soc. Incl. 2016, 4, 36–45. [Google Scholar] [CrossRef]
- Cats, O.; Susilo, Y.O.; Reimal, T. The prospects of fare-free public transport: Evidence from Tallinn. Transportation 2017, 44, 1083–1104. [Google Scholar] [CrossRef]
- Nalmpantis, D.; Roukouni, A.; Genitsaris, E.; Stamelou, A.; Naniopoulos, A. Evaluation of innovative ideas for Public Transport proposed by citizens using Multi-Criteria Decision Analysis (MCDA). Eur. Transp. Res. Rev. 2019, 11, 22. [Google Scholar] [CrossRef]
- Storme, T.; De Vos, J.; De Paepe, L.; Witlox, F. Limitations to the car-substitution effect of MaaS. Findings from a Belgian pilot study. Transp. Res. Part A Policy Pract. 2019, 2. [Google Scholar] [CrossRef]
- Environmental Footprints of Different Commuting Transport Modes. Sustainable Transport in the County of Värmland. Available online: https://hallbartresandevarmland.se/2017/06/16/konferens-spaning-mot-morgondagen/ (accessed on 24 July 2019).





| Variable | Number of Participants | Min–Max | Mean | |
|---|---|---|---|---|
| Age | 25–77 | 48 | ||
| Gender | Female | 103 | ||
| Male | 87 | |||
| Distance between home and work (km) | 0.5–125 | 23.6 | ||
| 0–9.9 | 78 | |||
| 10–19.9 | 22 | |||
| 20–29.9 | 26 | |||
| 30–39.9 | 25 | |||
| 40–49.9 | 12 | |||
| Above 50 | 27 |
© 2019 by the authors. Licensee MDPI, Basel, Switzerland. This article is an open access article distributed under the terms and conditions of the Creative Commons Attribution (CC BY) license (http://creativecommons.org/licenses/by/4.0/).
Share and Cite
Sinha, R.; Olsson, L.E.; Frostell, B. Sustainable Personal Transport Modes in a Life Cycle Perspective—Public or Private? Sustainability 2019, 11, 7092. https://doi.org/10.3390/su11247092
Sinha R, Olsson LE, Frostell B. Sustainable Personal Transport Modes in a Life Cycle Perspective—Public or Private? Sustainability. 2019; 11(24):7092. https://doi.org/10.3390/su11247092
Chicago/Turabian StyleSinha, Rajib, Lars E. Olsson, and Björn Frostell. 2019. "Sustainable Personal Transport Modes in a Life Cycle Perspective—Public or Private?" Sustainability 11, no. 24: 7092. https://doi.org/10.3390/su11247092
APA StyleSinha, R., Olsson, L. E., & Frostell, B. (2019). Sustainable Personal Transport Modes in a Life Cycle Perspective—Public or Private? Sustainability, 11(24), 7092. https://doi.org/10.3390/su11247092
