Analysis of Social Sustainability Information in a Global Context According to the New Global Reporting Initiative 400 Social Standards
Abstract
1. Introduction
2. Previous Works and Limitations
3. Research Methods
3.1. Sample Description
3.2. Analysis Technique
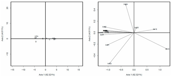
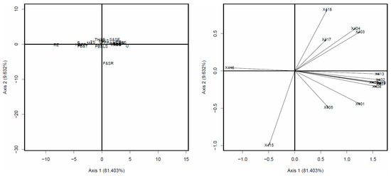
3.2.1. Categorical Principal Component Analysis
- 1
- We choose at random the vector u0, with u0 centered and standardized; that is, its mean and standard deviation have values of zero and 1, respectively;
- 2
- Iteration step, n = 1, …
- (a)
- For j = 1, …, J, we recalculate (or calculate, if n = 1) vjn = Dj−1Bjtun−1;
- (b)
- We define u* as ;
- (c)
- un is calculated as u* after centering and standardizing;
- (d)
- If the absolute difference between F (vjn−1, un−1) and F (vjn,un) is lower than an initial established value, this iteration step is stopped; we define F(vj0,u0) = 0 by convention.
- 3
- The vectors vj and u are defined as ones obtained after the nth iteration, vj = vjn, u = un;
- 4
- vj and u are rotated so they achieve the principal axes orientation. This step is necessary because a wide range of different solutions can be obtained depending on the choice of the initial u0, but all of them will be the same up to rotations.
3.2.2. Partial Triadic Analysis
- 1
- We center and standardize X by columns;
- 2
- We compute the variances–covariances matrix, Covv, for each pair of columns aswhere j1 and j2 go from 1 to J.
3.2.3. Between-Group Analysis
4. Results
5. Conclusions and Implications
Author Contributions
Funding
Conflicts of Interest
References
- United Nations Programme. Carrots and Sticks: Sustainability Reporting Policies Worldwide: Today’s Best Practice, Tomorrow’s Trends. 2013. Available online: https://www.globalreporting.org/resourcelibrary/Carrots-and-Sticks/ (accessed on 10 September 2018).
- Burrit, R.L. Environmental reporting in Australia: Current practices and issues for the future. Bus. Strategy Environ. 2002, 11, 391–406. [Google Scholar] [CrossRef]
- López-Arceiz, F.J.; Bellostas, A.J.; Rivera, P. Twenty years of research on the relationship between economic and social performance: A meta-analysis approach. Soc. Indic. Res. 2018, 140, 453–484. [Google Scholar] [CrossRef]
- Patten, D.M. Intra-industry environmental disclosures in response to the Alaskan oil spill: A note on legitimacy theory. Account. Organ. Soc. 1992, 17, 471–475. [Google Scholar] [CrossRef]
- Deegan, C. Introduction: The legitimising effect of social and environmental disclosures—A theoretical foundation. Account. Auditing Account. J. 2002, 15, 282–311. [Google Scholar] [CrossRef]
- Global Reporting Initiative. Consolidated Set of GRI Sustainability Reporting Standards; Amsterdam, The Netherlands, 2016. Available online: https://www.globalreporting.org/information/about-gri/Pages/default.aspx (accessed on 5 September 2018).
- De Villiers, C.; Marques, A. Corporate social responsibility, country-level predispositions, and the consequences of choosing a level ofdisclosure. Account. Bus. Res. 2016, 46, 167–195. [Google Scholar] [CrossRef]
- Patten, D.M. The relation between environmental performance and environmental disclosure: A research note. Account. Organ. Soc. 2002, 27, 763–773. [Google Scholar] [CrossRef]
- Cormier, D.; Magnan, M. The economic relevance of environmental disclosure and its impact on corporate legitimacy: An empirical investigation. Bus. Strategy Environ. 2015, 24, 431–450. [Google Scholar] [CrossRef]
- Choudhury, B. Social disclosure. Berkeley Bus. Law J. 2016, 13, 185–218. [Google Scholar]
- Iris, H.; Chiu, Y. Regulatory Convergence in EU Securities Regulation; Kluwer Law International: Amsterdam, The Netherlands, 2008. [Google Scholar]
- Suchman, M. Managing legitimacy: Strategic and institutional approaches. Acad. Manag. Rev. 1995, 20, 571–610. [Google Scholar] [CrossRef]
- Cho, C.H.; Patten, D.M. The role of environmental disclosures as tools of legitimacy: A research note. Account. Organ. Soc. 2007, 32, 639–647. [Google Scholar] [CrossRef]
- Richardson, A.J.; Welker, M. Social disclosure, financial disclosure and the cost of equity capital. Account. Organ. Soc. 2001, 26, 597–616. [Google Scholar] [CrossRef]
- Reverte, C. Determinants of corporate social responsibility disclosure ratings by Spanish listed firms. J. Bus. Ethics 2009, 88, 351–366. [Google Scholar] [CrossRef]
- Brady, A.; Honey, G. Corporate Reputation: Perspectives of Measuring and Managing a Principal Risk; London: Chartered Institute of Management Accountants; CIMA: London, UK, 2007. [Google Scholar]
- Dragomir, V.; Cristina, M. Corporate governance in the European Union: The implications for financial and narrative reporting. Int. J. Bus. Econ. 2009, 9, 53–64. [Google Scholar]
- Vanhamme, J.; Grobben, B. Too good to be true! The effectiveness of CSR history in countering negative publicity. J. Bus. Ethics 2009, 85, 273–283. [Google Scholar] [CrossRef]
- Reynolds, M. Yuthas, KMoral discourse and corporate social responsibility reporting. J. Bus. Ethics 2008, 78, 47–64. [Google Scholar] [CrossRef]
- Hogner, R.H. Corporate social reporting: Eight decades of development at US steel. Res. Corp. Perform. Policy 1982, 4, 243–250. [Google Scholar]
- Gray, R.; Kouhy, R.; Lavers, S. Corporate social and environmental reporting: A review of the literature and a longitudinal study of UK disclosure. Account. Auditing Account. J. 1995, 8, 47–77. [Google Scholar] [CrossRef]
- Adams, C.A.; Kuasirikum, N. A comparative analysis of corporate reporting on ethical issues by UK and German chemical and pharmaceutical companies. Eur. Account. Rev. 2000, 9, 53–79. [Google Scholar] [CrossRef]
- Snider, J.; Hill, R.H.; Martin, D. Corporate social responsibility in the 21st century: A view from the world’s most successful firms. J. Bus. Ethics 2003, 48, 175–187. [Google Scholar] [CrossRef]
- Gallego-Álvarez, I. Analysis of social information as a measure of the ethical behavior of Spanish firms. Manag. Decis. 2008, 46, 580–599. [Google Scholar] [CrossRef]
- Archel, P.; Husillos, J.; Larrinaga, C.; Spence, C. Social disclosure, legitimacy theory and the role of the state. Account. Auditing Account. J. 2009, 22, 1284–1307. [Google Scholar] [CrossRef]
- Gonçalves, R.S.; Medeiros, O.R.; Niyama, J.K.; Weffort, E.F. Social disclosure e custo de capital próprio em companhias abertas no Brasil. Revista Contabilidade Finanças USP 2013, 24, 113–124. [Google Scholar] [CrossRef][Green Version]
- Chiu, T.K.; Wand, Y.H. Determinants of social disclosure quality in Taiwan: An application of stakeholder theory. J. Bus. Ethics 2015, 129, 379–398. [Google Scholar] [CrossRef]
- Sobhani, F.A.; Amran, A.; Zainuddin, Y. Revisiting the practices of corporate social and environmental disclosure in Bangladesh. Corp. Soc. Responsib. Environ. Manag. 2009, 16, 167–183. [Google Scholar] [CrossRef]
- Gallego-Álvarez, I.; Formigoni, H.; Pompa-Antunez, M.T. Corporate social responsibility practices at Brazilian firms. Revista Administraçion Empresas 2014, 54, 12–27. [Google Scholar] [CrossRef]
- Welford, R. Corporate social responsibility in Europe, North America and Asia. J. Corp. Citizensh. 2005, 17, 33–52. [Google Scholar] [CrossRef]
- Islam, M.A.; Craig, D. Motivations for an organization within a developing country to report social responsibility information: Evidence from Bangladesh. Account. Auditing Account. J. 2008, 21, 850–874. [Google Scholar] [CrossRef]
- Yong, G.; Wenhao, C. Developing a city governance index: Based on surveys in five major Chinese cities. Soc. Indic. Res. 2012, 109, 305–316. [Google Scholar] [CrossRef]
- Natoli, R.; Zuhair, S. The Resource-Infrastructure-Environment Index for measuring progress: An application to Australia, Mexico and the US. Soc. Indic. Res. 2013, 110, 31–54. [Google Scholar] [CrossRef][Green Version]
- Chang, D.S.; Wang, W.; Wang, R. Identifying critical factors of sustainable healthcare institutions’ indicators under Taiwan’s national health insurance system. Soc. Indic. Res. 2017, 140, 287–307. [Google Scholar] [CrossRef]
- Gifi, A. Nonlinear Multivariate Analysis; Wiley: Chichester, UK, 1990. [Google Scholar]
- Abu-Baker, N.; Naser, K. Empirical evidence on corporate social disclosure (CSD) practices in Jordan. Int. J. Commer. Manag. 2000, 10, 18–34. [Google Scholar] [CrossRef]





| Panel A. Number of Companies by Region | |
| Region | Number of Companies |
| Latin America | 173 |
| Europe | 412 |
| Africa | 55 |
| Asia | 547 |
| Oceania | 77 |
| Middle East | 190 |
| Russian Federation | 27 |
| Canada | 451 |
| United States | 3480 |
| Panel B. Number of Companies by Sector | |
| Sector | Number of Companies |
| Automobiles and Components | 55 |
| Capital Goods | 435 |
| Commercial and Professional Services | 150 |
| Consumer Durables and Apparel | 166 |
| Consumer Services | 192 |
| Diversified Financials | 42 |
| Energy | 792 |
| Food and Staples Retailing | 45 |
| Food, Beverage and Tobacco | 255 |
| Health Care Equipment and Services | 286 |
| Household and Personal Products | 82 |
| Materials | 799 |
| Media | 135 |
| Pharmaceuticals, Biotechnology and Life Sciences | 445 |
| Real State | 14 |
| Retailing | 173 |
| Semiconductors and Semiconductor Equipment | 148 |
| Software and Services | 477 |
| Technology Hardware and Equipment | 294 |
| Telecommunication Services | 100 |
| Transportation | 156 |
| Utilities | 171 |
| Indicator | Code | Indicator | Code |
|---|---|---|---|
| Health and Safety Policy | V001 | Policy Community Involvement | V081 |
| Policy Employee Health and Safety | V002 | Improvement Tools Business Ethics | V082 |
| Policy Supply Chain Health and Safety | V003 | Whistleblower Protection | V083 |
| Training and Development Policy | V004 | OECD Guidelines for Multinational Enterprises | V084 |
| Policy Skills Training | V005 | Extractive Industries Transparency Initiative | V085 |
| Policy Career Development | V006 | Total Donations to Revenues USD | V086 |
| Policy Diversity and Opportunity | V007 | Donations Total | V087 |
| Targets Diversity and Opportunity | V008 | Community Lending and Investments | V088 |
| Employees Health and Safety Team | V009 | Political Contributions | V089 |
| Health and Safety Training | V010 | Lobbying Contribution Amount | V090 |
| Supply Chain Health and Safety Training | V011 | Employee Engagement Voluntary Work | V091 |
| Supply Chain Health and Safety Improvements | V012 | Corporate Responsibility Awards | V092 |
| Employees Health and Safety OHSAS 18001 | V013 | Product Sales at Discount to Emerging Markets | V093 |
| Employee Satisfaction | V014 | Diseases of the Developing World | V094 |
| Salary Gap | V015 | Bribery, Corruption and Fraud Controversies | V095 |
| Salaries and Wages from CSR reporting | V016 | Intellectual Property Controversies | V096 |
| Net Employment Creation | V017 | Crisis Management Systems | V097 |
| Number of Employees from CSR reporting | V018 | Anti-competition Controversies | V098 |
| Trade Union Representation | V019 | Public Health Controversies | V099 |
| Turnover of Employees | V020 | Business Ethics Controversies | V100 |
| Announced Layoffs to Total Employees | V021 | Tax Fraud Controversies | V101 |
| Announced Layoffs | V022 | Anti-Competition Controversies Count | V102 |
| Management Departures | V023 | Critical Countries Controversies | V103 |
| Strikes | V024 | Recent Public Health Controversies | V104 |
| Women Employees | V025 | Recent Business Ethics Controversies | V105 |
| New Women Employees | V026 | Recent Tax Fraud Controversies | V106 |
| Women Managers | V027 | Recent Anti-Competition Controversy | V107 |
| HRC Corporate Equality Index | V028 | Recent Intellectual Property Controversies | V108 |
| Flexible Working Hours | V029 | Policy Customer Health and Safety | V109 |
| Day Care Services | V030 | Policy Data Privacy | V110 |
| Employees with Disabilities | V031 | Policy Responsible Marketing | V111 |
| Employee Health and Safety Training Hours | V032 | Policy Fair Trade | V112 |
| Injuries to Million Hours | V033 | Product Responsibility Monitoring | V113 |
| Total Injury Rate Total | V034 | Quality Mgt Systems | V114 |
| Total Injury Rate Contractors | V035 | ISO 9000 | V115 |
| Total Injury Rate Employees | V036 | Six Sigma and Quality Mgt Systems | V116 |
| Accidents Total | V037 | QMS Certified Percent | V117 |
| Contractor Accidents | V038 | Customer Satisfaction | V118 |
| Employee Accidents | V039 | Product Access Low Price | V119 |
| Occupational Diseases | V040 | Healthy Food or Products | V120 |
| Employee Fatalities | V041 | Embryonic Stem Cell Research | V121 |
| Contractor Fatalities | V042 | Retailing Responsibility | V122 |
| Lost Days to Total Days | V043 | Alcohol | V123 |
| Lost Time Injury Rate Total | V044 | Alcohol Revenues | V124 |
| Lost Time Injury Rate Contractors | V045 | Alcohol 5% Revenues | V125 |
| Lost Time Injury Rate Employees | V046 | Gambling | V126 |
| Lost Working Days | V047 | Gambling Revenues | V127 |
| Employee Lost Working Days | V048 | Gambling 5% Revenues | V128 |
| Contractor Lost Working Days | V049 | Tobacco | V129 |
| HIV-AIDS Program | V050 | Tobacco Revenues | V130 |
| Average Training Hours | V051 | Tobacco 5% Revenues | V131 |
| Training Hours Total | V052 | Armaments | V132 |
| Training Costs Total | V053 | Armaments Revenues | V133 |
| Training Costs Per Employee | V054 | Armaments 5% Revenues | V134 |
| Internal Promotion | V055 | Nuclear 5% Revenues | V135 |
| Management Training | V056 | Pornography | V136 |
| Supplier ESG training | V057 | Contraceptives | V137 |
| Wages Working Condition Controversies | V058 | Obesity Risk | V138 |
| Wages Working Condition Controversies Count | V059 | Cluster Bombs | V139 |
| Diversity and Opportunity Controversies | V060 | Anti-Personal Landmines | V140 |
| Employees Health and Safety Controversies | V061 | Abortifacients | V141 |
| Recent Wages Working Condition Controversies | V062 | Consumer Complaints Controversies | V142 |
| Recent Diversity Opportunity Controversies | V063 | Product Quality Controversies | V143 |
| Recent Employee Health and Safety Controversies | V064 | Responsible Marketing Controversies | V144 |
| Human Rights Policy | V065 | Drug Delay | V145 |
| Policy Freedom of Association | V066 | Consumer Complaints Controversies Count | V146 |
| Policy Child Labor | V067 | Controversies Customer Health and Safety | V147 |
| Policy Forced Labor | V068 | Controversies Responsible R&D | V148 |
| Policy Human Rights | V069 | Controversies Privacy | V149 |
| Fundamental Human Rights ILO UN | V070 | Controversies Responsible Marketing | V150 |
| Human Rights Contractor | V071 | FDA Warning Letters | V151 |
| Ethical Trading Initiative ETI | V072 | Product Delays | V152 |
| Human Rights Breaches Contractor | V073 | Product Recall | V153 |
| Human Rights Controversies | V074 | Recent Consumer Controversies | V154 |
| Freedom of Association Controversies | V075 | Recent Customer Health and Safety Controversies | V155 |
| Child Labor Controversies | V076 | Recent Privacy Controversies | V156 |
| Recent Human Rights Controversies | V077 | Recent Responsible Marketing Controversies | V157 |
| Policy Fair Competition | V078 | Recent Product Access Controversies | V158 |
| Policy Bribery and Corruption | V079 | Recent FDA Warning Letters | V159 |
| Policy Business Ethics | V080 |
| Variables | c | n | Weight | |
|---|---|---|---|---|
| Group 1: Categorical Positive Variables | ||||
| V109 | Policy Customer Health and Safety | x | 0.0134 | |
| V071 | Human Rights Contractor | x | 0.0134 | |
| V057 | Supplier ESG training | x | 0.0134 | |
| V003 | Policy Supply Chain Health and Safety | x | 0.0134 | |
| V073 | Human Rights Breaches Contractor | x | 0.0134 | |
| V067 | Policy Child Labor | x | 0.0134 | |
| V068 | Policy Forced Labor | x | 0.0134 | |
| V111 | Policy Responsible Marketing | x | 0.0134 | |
| V113 | Product Responsibility Monitoring | x | 0.0134 | |
| V120 | Healthy Food or Products | x | 0.0134 | |
| V011 | Supply Chain Health and Safety Training | x | 0.0134 | |
| V082 | Improvement Tools Business Ethics | x | 0.0134 | |
| V030 | Day Care Services | x | 0.0134 | |
| V029 | Flexible Working Hours | x | 0.0134 | |
| V091 | Employee Engagement Voluntary Work | x | 0.0134 | |
| V080 | Policy Business Ethics | x | 0.0134 | |
| V093 | Product Sales at Discount to Emerging Markets | x | 0.0134 | |
| V078 | Policy Fair Competition | x | 0.0134 | |
| V110 | Policy Data Privacy | x | 0.0134 | |
| V121 | Embryonic Stem Cell Research | x | 0.0134 | |
| V138 | Obesity Risk | x | 0.0134 | |
| V119 | Product Access Low Price | x | 0.0134 | |
| V050 | HIV-AIDS Program | x | 0.0134 | |
| V079 | Policy Bribery and Corruption | x | 0.0134 | |
| V056 | Management Training | x | 0.0134 | |
| V065 | Human Rights Policy | x | 0.0134 | |
| V116 | Six Sigma and Quality Mgt Systems | x | 0.0134 | |
| V070 | Fundamental Human Rights ILO UN | x | 0.0134 | |
| V122 | Retailing Responsibility | x | 0.0134 | |
| V069 | Policy Human Rights | x | 0.0134 | |
| V066 | Policy Freedom of Association | x | 0.0134 | |
| V007 | Policy Diversity and Opportunity | x | 0.0134 | |
| V081 | Policy Community Involvement | x | 0.0134 | |
| V055 | Internal Promotion | x | 0.0134 | |
| V004 | Training and Development Policy | x | 0.0134 | |
| V112 | Policy Fair Trade | x | 0.0134 | |
| V084 | OECD Guidelines for Multinational Enterprises | x | 0.0134 | |
| V072 | Ethical Trading Initiative ETI | x | 0.0134 | |
| V006 | Policy Career Development | x | 0.0134 | |
| V097 | Crisis Management Systems | x | 0.0134 | |
| V114 | Quality Mgt Systems | x | 0.0134 | |
| V115 | ISO 9000 | x | 0.0134 | |
| V085 | Extractive Industries Transparency Initiative | x | 0.0134 | |
| V005 | Policy Skills Training | x | 0.0134 | |
| V009 | Employees Health and Safety Team | x | 0.0134 | |
| V002 | Policy Employee Health and Safety | x | 0.0134 | |
| V001 | Health and Safety Policy | x | 0.0134 | |
| V013 | Employees Health and Safety OHSAS 18001 | x | 0.0134 | |
| V010 | Health and Safety Training | x | 0.0134 | |
| V092 | Corporate Responsibility Awards | x | 0.0134 | |
| V083 | Whistleblower Protection | x | 0.0128 | |
| Total | 0.6806 | |||
| Group 2: Other Positive Variables | ||||
| V028 | HRC Corporate Equality Index | 0.0045 | ||
| V018 | Number of Employees from CSR reporting | 0.0020 | ||
| V090 | Lobbying Contribution Amount | 0.0020 | ||
| Total | 0.0085 | |||
| Group 3: Categorical Negative Variables | ||||
| V143 | Product Quality Controversies | x | x | 0.0134 |
| V153 | Product Recall | x | x | 0.0134 |
| V098 | Anti-competition Controversies | x | x | 0.0134 |
| V095 | Bribery, Corruption and Fraud Controversies | x | x | 0.0134 |
| V142 | Consumer Complaints Controversies | x | x | 0.0134 |
| V094 | Diseases of the Developing World | x | x | 0.0134 |
| V137 | Contraceptives | x | x | 0.0134 |
| V058 | Wages Working Condition Controversies | x | x | 0.0134 |
| V123 | Alcohol | x | x | 0.0134 |
| V126 | Gambling | x | x | 0.0134 |
| V024 | Strikes | x | x | 0.0134 |
| V136 | Pornography | x | x | 0.0134 |
| V129 | Tobacco | x | x | 0.0134 |
| V023 | Management Departures | x | x | 0.0134 |
| V139 | Cluster Bombs | x | x | 0.0134 |
| V132 | Armaments | x | x | 0.0134 |
| V140 | Anti-Personal Landmines | x | x | 0.0134 |
| V144 | Responsible Marketing Controversies | x | x | 0.0075 |
| Total | 0.2346 | |||
| Group 4: Other Negative Variables | ||||
| V107 | Recent Anti-Competition Controversy | x | 0.0019 | |
| V102 | Anti-Competition Controversies Count | x | 0.0019 | |
| V100 | Business Ethics Controversies | x | 0.0019 | |
| V059 | Wages Working Condition Controversies Count | x | 0.0017 | |
| V155 | Recent Customer Health and Safety Controversies | x | 0.0015 | |
| V154 | Recent Consumer Controversies | x | 0.0012 | |
| V146 | Consumer Complaints Controversies Count | x | 0.0012 | |
| V062 | Recent Wages Working Condition Controversies | x | 0.0011 | |
| V104 | Recent Public Health Controversies | x | 0.0010 | |
| V096 | Intellectual Property Controversies | x | 0.0010 | |
| V101 | Tax Fraud Controversies | x | 0.0008 | |
| Total | 0.0152 | |||
| Group 5: Low Contribution Variables | ||||
| V019 | Trade Union Representation | 0.0024 | ||
| V008 | Targets Diversity and Opportunity | x | 0.0021 | |
| V014 | Employee Satisfaction | 0.0019 | ||
| V134 | Armaments 5% Revenues | x | x | 0.0018 |
| V051 | Average Training Hours | 0.0016 | ||
| V025 | Women Employees | 0.0016 | ||
| V026 | New Women Employees | 0.0014 | ||
| V022 | Announced Layoffs | x | 0.0014 | |
| V016 | Salaries and Wages from CSR reporting | 0.0013 | ||
| V020 | Turnover of Employees | x | 0.0013 | |
| V147 | Controversies Customer Health and Safety | x | 0.0013 | |
| V012 | Supply Chain Health and Safety Improvements | x | 0.0013 | |
| V089 | Political Contributions | 0.0013 | ||
| V042 | Contractor Fatalities | x | 0.0013 | |
| V103 | Critical Countries | x | 0.0012 | |
| V108 | Recent Intellectual Property Controversies | x | 0.0012 | |
| V156 | Recent Privacy Controversies | x | 0.0012 | |
| V135 | Nuclear 5% Revenues | x | x | 0.0012 |
| V041 | Employee Fatalities | x | 0.0012 | |
| V061 | Employees Health and Safety Controversies | x | 0.0011 | |
| V044 | Lost Time Injury Rate Total | x | 0.0011 | |
| V149 | Controversies Privacy | x | 0.0011 | |
| V063 | Recent Diversity Opportunity Controversies | x | 0.0011 | |
| V027 | Women Managers | 0.0011 | ||
| V043 | Lost Days to Total Days | x | 0.0011 | |
| V117 | QMS Certified Percent | 0.0010 | ||
| V060 | Diversity and Opportunity Controversies | x | 0.0010 | |
| V128 | Gambling 5% Revenues | x | x | 0.0010 |
| V099 | Public Health Controversies | x | 0.0009 | |
| V038 | Contractor Accidents | x | 0.0009 | |
| V157 | Recent Responsible Marketing Controversies | x | 0.0009 | |
| V106 | Recent Tax Fraud Controversies | x | 0.0008 | |
| V150 | Controversies Responsible Marketing | x | 0.0008 | |
| V133 | Armaments Revenues | x | 0.0008 | |
| V046 | Lost Time Injury Rate Employees | x | 0.0008 | |
| V125 | Alcohol 5% Revenues | x | x | 0.0007 |
| V033 | Injuries to Million Hours | x | 0.0007 | |
| V037 | Accidents Total | x | 0.0007 | |
| V039 | Employee Accidents | x | 0.0007 | |
| V127 | Gambling Revenues | x | 0.0007 | |
| V034 | Total Injury Rate Total | x | 0.0007 | |
| V131 | Tobacco 5% Revenues | x | x | 0.0006 |
| V064 | Recent Employee Health and Safety Controversies | x | 0.0006 | |
| V053 | Training Costs Total | 0.0006 | ||
| V151 | FDA Warning Letters | x | 0.0006 | |
| V048 | Employee Lost Working Days | x | 0.0006 | |
| V015 | Salary Gap | 0.0006 | ||
| V047 | Lost Working Days | x | 0.0005 | |
| V130 | Tobacco Revenues | x | 0.0005 | |
| V074 | Human Rights Controversies | x | 0.0005 | |
| V036 | Total Injury Rate Employees | x | 0.0005 | |
| V040 | Occupational Diseases | x | 0.0005 | |
| V152 | Product Delays | x | 0.0004 | |
| V035 | Total Injury Rate Contractors | x | 0.0004 | |
| V031 | Employees with Disabilities | 0.0004 | ||
| V124 | Alcohol Revenues | x | 0.0004 | |
| V075 | Freedom of Association Controversies | x | 0.0004 | |
| V159 | Recent FDA Warning Letters | x | 0.0004 | |
| V141 | Abortifacients | x | x | 0.0004 |
| V021 | Announced Layoffs to Total Employees | x | 0.0004 | |
| V052 | Training Hours Total | 0.0003 | ||
| V086 | Total Donations to Revenues USD | 0.0003 | ||
| V105 | Recent Business Ethics Controversies | x | 0.0003 | |
| V087 | Donations Total | 0.0003 | ||
| V148 | Controversies Responsible R&D | x | 0.0003 | |
| V158 | Recent Product Access Controversies | x | 0.0003 | |
| V032 | Employee Health and Safety Training Hours | 0.0003 | ||
| V077 | Recent Human Rights Controversies | x | 0.0003 | |
| V145 | Drug Delay | x | 0.0003 | |
| V088 | Community Lending and Investments | 0.0003 | ||
| V118 | Customer Satisfaction | 0.0003 | ||
| V054 | Training Costs Per Employee | 0.0003 | ||
| V045 | Lost Time Injury Rate Contractors | x | 0.0002 | |
| V049 | Contractor Lost Working Days | x | 0.0002 | |
| V076 | Child Labor Controversies | x | 0.0002 | |
| V017 | Net Employment Creation | 0.0001 | ||
| Total | 0.0611 | |||
| Predicted Membership Group | ||||||
|---|---|---|---|---|---|---|
| Original Group | 1 | 2 | 3 | 4 | 5 | Total |
| 1 | 51 | 0 | 0 | 0 | 0 | 51 |
| 2 | 0 | 3 | 0 | 0 | 0 | 3 |
| 3 | 0 | 0 | 71 | 0 | 5 | 76 |
| 4 | 0 | 0 | 0 | 18 | 0 | 18 |
| 5 | 0 | 0 | 1 | 0 | 10 | 11 |
| Predicted Membership Group | ||||||||||
|---|---|---|---|---|---|---|---|---|---|---|
| Original Group | 1 | 2 | 3 | 4 | 5 | 6 | 7 | 8 | 9 | Total |
| 1 | 6 | 3 | 0 | 0 | 6 | 0 | 2 | 0 | 127 | 144 |
| 2 | 1 | 22 | 0 | 0 | 8 | 0 | 11 | 5 | 269 | 316 |
| 3 | 0 | 0 | 0 | 0 | 0 | 0 | 0 | 0 | 44 | 44 |
| 4 | 0 | 2 | 0 | 2 | 4 | 0 | 4 | 3 | 412 | 427 |
| 5 | 0 | 2 | 0 | 0 | 13 | 0 | 1 | 0 | 45 | 61 |
| 6 | 1 | 2 | 0 | 0 | 2 | 0 | 2 | 0 | 140 | 147 |
| 7 | 0 | 0 | 0 | 0 | 0 | 0 | 9 | 0 | 17 | 26 |
| 8 | 1 | 3 | 0 | 0 | 4 | 0 | 0 | 19 | 273 | 300 |
| 9 | 3 | 22 | 0 | 0 | 26 | 0 | 15 | 8 | 2618 | 2692 |
| GRI Indicators | Code | Social Indicators |
|---|---|---|
| Employment | X401 | V001, V002, V003, V014, V017, V018, V025, V026, V027, V031, V032, V058, V059, V062 |
| Labor | X402 | V015, V016, V019, V020, V021, V022, V023, V024, V028, V029, V030 |
| Occupational health and safety | X403 | V009, V010, V011, V012, V013, V033, V034, V035, V036, V037, V038, V039, V040, V041, V042, V043, V044, V045, V046, V047, V048, V049, V050, V061 |
| Training and education | X404 | V004, V005, V006, V051, V052, V053, V054, V055, V056, V057 |
| Diversity and equal opportunities | X405 | V007, V008, V060, V063, V064 |
| Freed of association | X407 | V066, V075 |
| Child labor | X408 | V067, V076 |
| Forced and complulsory | X409 | V068 |
| Human rights | X412 | V065, V069, V070, V071, V072, V073, V074, V077 |
| Local community | X413 | V086, V087, V088, V089, V096, V097, V098, V099, V100, V101, V102, V103 |
| Public policy | X415 | V078, V079, V080, V081, V082, V083, V084, V085, V090, V091, V092, V093, V094, V095, V104, V105, V106, V107, V108 |
| Customer health | X416 | V109, V120, V121, V122, V123, V124, V125, V126, V127, V128, V129, V130, V131, V132, V133, V134, V135, V136, V137, V138, V139, V140, V141, V147, V148 |
| Marketing | X417 | V111, V150, V155, V157 |
| Customer privacy | X418 | V110, V112, V113, V114, V115, V116, V117, V118, V142, V143, V144, V145, V146, V149, V151, V152, V153, V154, V156, V158, V159 |
| Socieconomic compliance | X419 | V119 |
© 2019 by the authors. Licensee MDPI, Basel, Switzerland. This article is an open access article distributed under the terms and conditions of the Creative Commons Attribution (CC BY) license (http://creativecommons.org/licenses/by/4.0/).
Share and Cite
Gallego-Álvarez, I.; Lozano, M.B.; Rodríguez-Rosa, M. Analysis of Social Sustainability Information in a Global Context According to the New Global Reporting Initiative 400 Social Standards. Sustainability 2019, 11, 7073. https://doi.org/10.3390/su11247073
Gallego-Álvarez I, Lozano MB, Rodríguez-Rosa M. Analysis of Social Sustainability Information in a Global Context According to the New Global Reporting Initiative 400 Social Standards. Sustainability. 2019; 11(24):7073. https://doi.org/10.3390/su11247073
Chicago/Turabian StyleGallego-Álvarez, Isabel, María Belén Lozano, and Miguel Rodríguez-Rosa. 2019. "Analysis of Social Sustainability Information in a Global Context According to the New Global Reporting Initiative 400 Social Standards" Sustainability 11, no. 24: 7073. https://doi.org/10.3390/su11247073
APA StyleGallego-Álvarez, I., Lozano, M. B., & Rodríguez-Rosa, M. (2019). Analysis of Social Sustainability Information in a Global Context According to the New Global Reporting Initiative 400 Social Standards. Sustainability, 11(24), 7073. https://doi.org/10.3390/su11247073

