Abstract
Much of the research on the psychological dynamics of performance teams suffers from the following limitations: consideration of only one theoretical framework and analysis of just one perspective (e.g., manager–coach or team member). To address these shortcomings, this study used a Global Cooperation concept that synthesized five psychological frameworks: coordination, cohesion, cooperation, integration, and identification. The objective of this study was to examine the level of congruence–symmetry between the two perspectives and the tendency for managers–coaches and team members to reduce cognitive dissonance in the perception of global cooperation. To this end, 108 managers–coaches and members of performance teams were studied (range: 23−60 years old) using a Cooperative Workteam Questionnaire (CWQ). Results revealed that the greatest amount of asymmetry was observed in Global Cooperation and Emotional Cooperation, while less asymmetry was found in Personal Growth, and good congruence–fit in Conditioned Cooperation. Results are discussed in terms of their theoretical meaning and practical implications for interventions on performance teams.
1. Levels of Congruence and Symmetry in the Perceptions of Cooperation in Workteams
It has been demonstrated that the fit between the person and the organization is one of the most important considerations for understanding the effectiveness of management styles and the behaviors of work group members in contributing to a team’s performance [1,2]. However, researchers have identified limitations in the explanatory quality of the Fit Theory (FIT) when it is used for developing empirical applications in actual work teams [3]. The most frequent problems originate from the simple nature of the methodology used for these studies. Generally, researchers have used an analysis that is too focused on an asymmetrical situation in which leaders are typically separated from the team members as a consequence of conceptual and theoretical limitations in the applied psychological model.
The concept of mutual monitoring is present in the literature dedicated to the study of organizations. This concept is used to evaluate the individual behavior among senior executives [4,5]. This term is related to the concepts of congruence and symmetry that we present in this paper.
Academics and professionals have tried to explain teamwork in groups by considering only a single model at a time. This simplification has led to some conflict between social and individualistic psychological approaches. In fact, for a long time, there has been a need to find an explanation at the group or social level to describe the function of work teams. This has led to excessive use of individualistic approaches to describe dynamics in groups [5] and to a lack of interest devoted to situational and ecological team issues [6].
In order to address this matter, and also to go beyond simplistic psychological frameworks, we used a synthetic, comprehensive, and global model for personal relationships in cooperative work teams [7]. This model combines the five major conceptual frameworks related to a team’s psychological dynamics. Team Coordination is a reflection of the empathy and communicating skills of managers and team members [8,9,10]. Cohesion is defined as “a dynamic process that can be witnessed though the team or group to remain united with the purpose of achieving their goals or satisfying the members’ affective needs” [11] and consists of both task and social forms of cohesion [12,13]. Team Cooperation refers to the interaction between personal and team–manager objectives [14,15], where by team members have to decide whether they will look out for their own interests in a competitive way or work in collaboration to accomplish the team’s goals. This component reflects cooperative or competitive tendencies [16]. Team Integration is defined by the balance between individualism and collectivism in an organization or team [17] and is represented by the feeling that being part of a team is important to individuals’ self-concept [18,19]. Social Identification is strongly related to the commitment to the team [20] and to the positive or negative emotions associated with the member’s identification with the team. The basic foundation of identification with the group is the level of impact of the team culture on the team member’s self-concept [21].
These five psychological conceptual frameworks have been synthesized psychometrically through the use of the Cooperative Workteam Questionnaire (CWQ) [7], while meta-knowledge has been obtained regarding teams’ internal dynamics in order to provide four factors that are based on the conceptual validity of these five aforementioned theoretical basic frameworks. The first of these meta-factors, Global Cooperation, includes all five concepts equally, and each of the five constructs contributes to this factor. The second, Personal Growth, indicates that the team member or manager is aiming for personal fulfillment or professional growth through work on the team. The third dimension is Emotional Cooperation, whereby a person works as part of a team, or coaches it, because of the associated positive emotions with their work. Finally, the fourth meta-factor is the Conditional Cooperation, which indicates that a member of a team or a manager considers his or her work with the team to be instrumental in obtaining personal objectives, whatever they are [7,8].
Therefore, it is important to determine the extent to which members of a work team have a homogeneous or heterogeneous orientation in their views of the collective work required by its members and managers–coaches. It is also relevant to know if the staff and team members have consistency in their beliefs about the work of the team. The extent of consistency between the team members and managers’ beliefs may be differentially related to the psychological factors described above. They should also be viewed as complementary to other existing adjustments defined by the FIT [1,2].
The FIT has a double source that is rooted in two previous theoretical frameworks. First, it is presented as the heiress of Parsons’ person–work matching model [22], which is later developed in the Work Adjustment Theory [23,24]. This theory is based on the fit or congruence, that is, the reciprocal relationship between the “personality” of a person and his/her work environment.
This “congruence” is a dynamic process between the person and the conditions of their performance. Thus, the fit or congruence between the person and the performance environment is based on existing characteristics and on the psychological consequences of satisfaction or accommodation that can be derived from them [25]. This point can allow the FIT theory to expand from the organizations field to other areas of human performance, and provide too generalizations about the congruence between the two positions of a person within a performance-oriented team, i.e., team member and coach–manager.
This point leads to the second foundation of the Theory of Cognitive Dissonance, which raises [20] the question of the generation of a cognitive and emotional tension between how a person performs and her or his beliefs about it (e.g., actions required as a team member or coach). From this perspective, the FIT theory increases its scope from an almost only ergonomic point of view to a cognitive one based on the evolution and expectations of team members and performance-oriented coaches.
Considering that the psychological grounds of the FIT are deeply rooted in the broader theory of Cognitive Dissonance [26], it seems obvious that the greater the reduction of cognitive dissonance [26,27], the greater the match and symmetry between the two positions and the associated mutual understanding of the needs within the group or team [24,28]. This congruence is determined in large part by the level and quality of the manager–member and member–member interactions, both in the task and in social dimensions [24,25,26,27,28,29,30,31] and in the way that the “learned” cooperation level is achieved among team members [16].
Our proposal in this study is to extend the scope of the FIT to include the internal symmetry or congruence between the two viewpoints on the team’s psychological dynamics, irrespective of whether the person of study within the working team is a manager or a team member. This sophistication of the FIT development, together with enhanced and unified psychological team dynamics, may lead us to a qualitative gain in the understanding of the real position of one person working inside a team in relation to his or her teammates, as well as to personal objectives, beliefs about the work team, and internal adjustment or the symmetry level between the two possible positions of manager–coach and team member.
2. Method
2.1. Participants
The sample consisted of 108 male and female workers and managers aged 23 to 60 years old (M = 38.25 yrs.; SD = 4.32 yrs.). All the people in the sample were Spanish. The sample was extracted from databases of employers and some temporary work companies. These individuals had been employed from 1 to 34 years in cooperative types of teams, in different companies and in diverse workplaces (e.g., from Yoga teacher to Team Leader). All the subjects completed the questionnaire online voluntarily and in accordance with the Helsinki Agreement protocol.
2.2. Measures
The Cooperative Workteam Questionnaire (CWQ) [7] was employed in this study. This instrument was developed through a Delphi method in two phases. The first phase was accomplished by synthesizing five conceptual frameworks and their corresponding measurement instruments through the Non-Verbal Sensitivity Questionnaire [9], Group Environment Questionnaire [11], Sportive Cooperation Questionnaire [32], Sportive Commitment Questionnaire [20], and the Individualism and Collectivism Questionnaire [33]. In the second Delphi phase, the authors conducted a three-round internal analysis and review of the selected items. The CWQ consisted of 12 items using a Likert 5-point response format and attained a 0.89 level of agreement among the experts involved in the scale’s development (see Table 1). The CWQ demonstrated a good internal reliability index (alpha = 0.61) and comprised four factors: Cooperative Global Teamwork, Team Personal Growth, Emotional Cooperation, and Conditional Cooperation. These four factors have been supported by confirmatory factor analysis [34]. The CWQ had two response choices for each question: one from the team member’s point of view (A Version), and the other from the manager–coach–director’s point of view (B Version).
Table 1.
Cooperative Workteams Questionnaire (CWQ).
3. Procedures and Data Analysis
The online tool Google Forms was enabled through social media and allowed a fast and efficient distribution of the CWQ to a wide spectrum of individuals who met the inclusion criteria. This selection approach benefitted the heterogeneity of the sample. Once the data was obtained, a descriptive and correlational analysis of the questionnaire responses was conducted using a software package for statistical analysis in social sciences (SSPS 20.1). The values of symmetry were calculated by establishing a differential between two scores and using the “absolute difference model” established by Edwards (1991). The first score was “the expected symmetry”, which corresponds to the theoretical value of “0” and implies the theoretical maximum congruence level between the CWQ versions A and B. The second score was the “real symmetry”, which refers to the comparison between the real scores obtained through the CWQ administration. The distance between the expected symmetry value and the actual value was called the “asymmetry index” or “convergence distance”.
4. Results
The Kolgomorov–Smirnov normality test was applied in order to determine if parametric or non-parametric analysis was appropriate in this study. The results indicated that normality assumptions were not supported for either the A version (the team member point of view) or the B version (the manager–coach point of view). As a consequence, non-parametric analysis—in this case, Wilcoxon statistics—was conducted to test for the mean difference (Table 2).
Table 2.
Mean differences between Versions A and B (Wilcoxon statistics).
Table 2 provides the results for Version A and Version B in Factors 1 and 3. Statistically, significant differences were found for the total cooperation score. There were no significant differences in Factors 2 and 4. Table 3 presents the analysis of mean differences by items. This analysis shows that there were significant differences between Versions A and B in 7 of the 12 items (58.3%). At a p < 0.001, differences were observed in items number 3, 4, 8, and 10. At a p < 0.01, differences were obtained in the item number 6. Finally, at a p < 0.05, differences were observed in items number 1 and 9.
Table 3.
Mean differences regarding the items (Versions A and B).
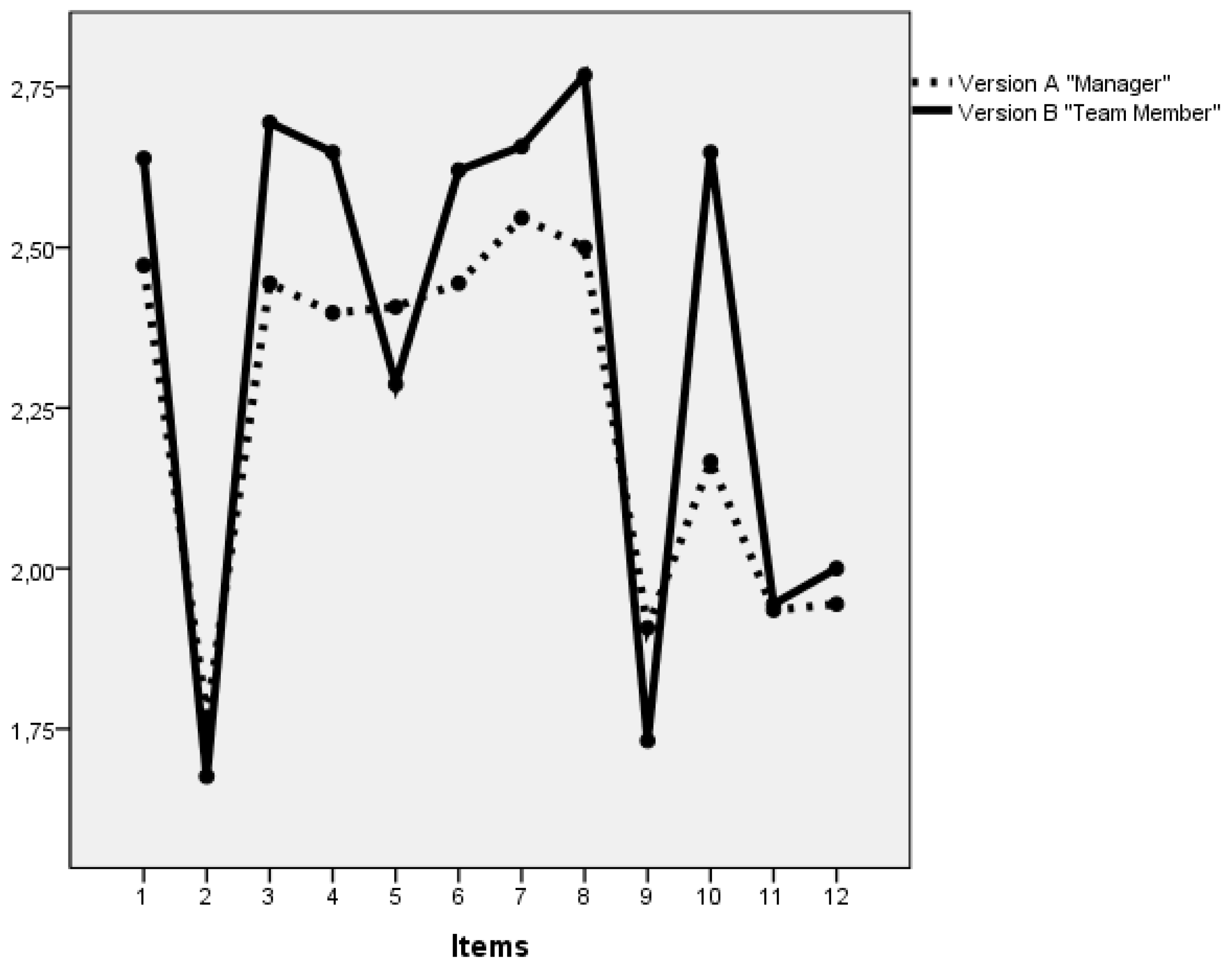
Figure 1 provides the mean differences among each pair of versions (A and B), showing graphically the level of symmetry obtained regarding each one of the CWQ items. In Table 4, we can observe the convergent validity of both versions when we applied the Spearman correlation coefficient. The results show a relative degree of independence between the two scales. Significant correlations (p < 0.001) were found in each of the four factors of the two versions (manager–coach versus team member).
Figure 1.
Asymmetry between the two Versions (A and B) for each CWQ item.
Table 4.
Convergent validity between Versions A and B using the Spearman correlation coefficient.
Although the magnitude of the correlations was low, it is also important to highlight the greater weight of Factors 1 and 2 in both versions, since these factors were the only ones that correlated significantly with the total questionnaire values. Also, the correlation found between the total score of the A and B versions was r = 0.42 (p < 0.001), which reveals a quite moderate degree of relationship.
In Figure 2, we can observe the relationship between the mean values of the A and B versions of the CWQ expressed through their symmetrical relationship and calculated for each factor, as well as for the total CWQ score. We found an almost symmetrical situation for the two factors Team Personal Growing and Conditioned Cooperation. We also found a relatively midsized asymmetry in Emotional Cooperation and a greater asymmetry in the two additional global values of Cooperative Global Teamwork factor and total CWQ scale.
Figure 2.
Asymmetry between the two Versions A and B for each CWQ factor and the total CWQ score.
The findings from Table 5 indicate that the Team Personal Growth and Emotional Cooperation factors showed a “true symmetry” index close to the “expected symmetry” index (“0”). Therefore, the “Asymmetry” value of these factors is at a minimum. However, the two remaining factors (Conditional Cooperation and Cooperative Global Teamwork) and the total CWQ score demonstrated larger asymmetry values. Figure 3 graphically represents the actual and expected symmetry values in respect to each one of the CWQ four factors and the total score of the Scale, which is presented in Table 5.
Table 5.
Real and expected symmetry values for Versions A and B of the CWQ.
Figure 3.
Graphic representation of the comparison between expected and real symmetry and congruence regarding the four CWQ factors and the Global Scale.
5. Discussion
On the basis of the findings from this study, we can conclude that the concepts of congruence and fit within a working team environment [2,3] can be partially explained in accordance with the level of congruence in the beliefs of each team member in relation to the perspectives of the manager and team member. In fact, this internal adjustment is consistent with the theory of cognitive dissonance [26] and modulated towards the congruence between the value of work and the perceived possible personal and team success [24].
The use of an instrument to measure the internal psychological dynamics of the performance team that unifies the most relevant theoretical frameworks recognized by the literature has contributed to the understanding of the relationships obtained. This instrument allows for the measurement of a more global, synthesized assessment of the work team. The combination of multiple recent perspectives of group performance is one of the values of this study.
The descriptive results indicate that there is a statistically significant difference in the overall views from both the team members and managers about the expectations regarding their two possible positions within the team. This difference is relevant for the factors of Emotional Cooperation and Global Cooperation, whereas it has not been found to be significant for the other two factors: Conditioned Cooperation and Personal Growth within the team. This point will be discussed more broadly when the depth of analysis increases with the symmetry analysis. However, it can be anticipated that cognitive dissonance or lack of congruence [2,29] is much greater when the psychological burden of group work is perceived as global or when there is an emotional component associated with this “double” perception.
From an applied point of view, this study provides new tools with which to better understand the dynamics of performance teams, such as knowledge of congruence and fit between team member and coach positions, and the degree of cognitive dissonance of each of the people studied. Secondly, in our understanding, there are no previous studies that establish this type of theoretical relationship between the FIT theory (including the Cognitive Dissonance Theory) and a team’s psychological dynamics considered in whole. Therefore, this study overcomes the simple views imposed by the current and predominant mono-theoretical studies.
Finally, the future developments that can be derived from this study are several, but two must be prioritized: a) A theoretical expansion of the reductionist conceptual framework of performance team dynamics, from the approach currently present in the paradigm to one that is more global and comprehensive and b) Work to design and validate systematic psychological interventions to reduce cognitive dissonance within performance teams and optimize their possible performance in association with the psychological well-being of the team [8].
The Personal Growth and Conditioned Cooperation factors are those in which the correlation is almost exactly the same in both versions, while the other two factors show lower and even divergent values when the four factors are combined. A more sophisticated mathematical analysis than the difference of means, the correlation analysis, supported the levels of adjustment and mismatch between the factors of the CWQ in relation to team manager and team member beliefs.
The third level of mathematical sophistication in the study of the fit–symmetry was achieved through the use of an algorithm developed to compare the expected values of congruence with the actual values obtained. In addition to confirming the previous findings, this study of symmetry allows us to more clearly understand the efforts that, according to the FIT, must be carried out by a manager or team member as a result of asymmetric beliefs in order to reduce the cognitive dissonance level [2,3,30]. The resulting “iceberg profile” shows the different levels of symmetry within cooperative global work and indicates that, from the applied point of view, the design and strategies of intervention for the performance enhancement of a work team must take into account the variations in perceptions of managers and team members.
Regarding this profile, and from an applied point of view, it seems clear that it can be very complex to resolve the existing asymmetry in emotional cooperation between the two points of view due to the difficulty of working with emotions within a performance team. However, the existence of the Global Cooperation asymmetry, which reflects the five original frameworks of a team’s psychological dynamics, supports the view that the reduction of cognitive dissonance should be a priority in our intervention efforts, perhaps using techniques such as Team Building to promote the improvement of the internal dynamics of teams [35,36].
Finally, the main limitations of the present study concern the way in which the data were obtained. The data were obtained through the Google forms questionnaire, and this somehow affected the results. On the other hand, it enabled us to obtain a more heterogeneous sample. Furthermore, we cannot forget that our results can be mediated by individual differences [37,38]. This fact should be kept in mind when designing future studies based on the obtained results. There are reasons why we cannot generalize our results, but they do serve as a starting point for future research.
Author Contributions
A.G.-M. and A.O. designed the study as a whole. A.G.-M. and R.R.-B. introduced the concepts of FIT theory and Congruence (Cognitive Dissonance). A.N.P. and E.C. carried out the data collection. R.R.-B. and A.O. were in charge of the statistical analyzes. A.G.-M., A.O. and E.C. prepared the first draft of the discussion, contributing all the c-authors to the final version and revisions. A.N.P. introduced the concept of anxiety derived from In-congruence.
Funding
This study was funded in part thanks the Erasmus+ ELIT-in Project 590520-EPP-1-2017-1-ES-SPO-SCP, “Integration of Elite Athletes in to the labor market through the valorization of their transversal competences”. Furthermore, this research is also supported in part by the Murcia (Spain) Regional Football Association’s, Football Project, (Grant FFRM-UMU-04 0092 321B 64502 14704).
Acknowledgments
The authors wish to express their gratitude to the various companies and people, especially from the Human Resources sections that have contributed to the data collection.
Conflicts of Interest
The authors declare no conflict of interest.
References
- Gilbert, G.R.; Myrtle, R.C.; Sohi, R.S. Relational behavior of leaders: A comparison by vocational context. J. Leadersh. Organ. Stud. 2015, 22, 149–160. [Google Scholar] [CrossRef]
- Round, J.; Dawis, R.; Lofquist, L. Measurement of person-environment fit and prediction of satisfaction in the theory of work adjustment. J. Vocat. Behav. 1987, 31, 297–318. [Google Scholar] [CrossRef]
- Edwards, J.A. Person job-fit: A conceptual integration, literature review and methodological critique. In International Review of Industrial and Organizational Psychology; Cooper, C.L., Robertson, I.T., Eds.; John Wiley: Oxford, UK, 1991; pp. 283–357. [Google Scholar]
- Li, Z.F. Mutual Monitoring and Corporate Governance. J. Bank. Financ. 2014, 45, 255–269. [Google Scholar]
- Li, Z.F. Mutual Monitoring and Agency Problems. SSRN Electron. J. 2014, 1–40. [Google Scholar] [CrossRef]
- Taylor, D.M.; Brown, R.J. Towards a more social psychology? Br. J. Soc. Clin. Psychol. 1979, 18, 173–180. [Google Scholar] [CrossRef]
- Araújo, D.; Davids, K. Team Synergies in Sport: Theory and Measures. Front. Psychol. 2016. [Google Scholar] [CrossRef]
- Li, Z.F.; Thibodeau, C. CSR-Contingent Executive Compensation Incentive and Earnings Management. Sustainability 2019, 11, 3421. [Google Scholar] [CrossRef]
- Olmedilla, A.; Garcia-Mas, A.; Luo, Y.; Llaneras, C.; Ruiz-Barquín, R.; Fuster-Parra, P. Multilevel psychological analysis for cooperative work teams. In Proceedings of the International Conference on Cooperative Design, Visualization and Engineering, Sydney, Australia, 24–27 October 2016; pp. 322–331. [Google Scholar]
- Lausic, D.; Razon, S.; Tenenbaum, G. Nonverbal sensitivity. Verbal communication and team coordination in tennis doubles. Int. J. Sport Exerc. Psychol. 2015, 13, 398–414. [Google Scholar] [CrossRef]
- López, C.J.; Mohamed, K.M.; El Yousfi, M.M.; Zurita, F.; Martínez, A. Communicative features in basketball coaches from different levels. A Case study. Cult. Cienc. Deporte 2011, 6, 199–206. [Google Scholar]
- Carron, A.V.; Brawley, L.R. Cohesion: Conceptual and measurement issues. Small Group Res. 2000, 31, 89–106. [Google Scholar] [CrossRef]
- Carless, S.A.; De Paola, C. The measurement of cohesion in work teams. Small Group Res. 2000, 31, 78–88. [Google Scholar] [CrossRef]
- Carron, A.V.; Brawley, R.L.; Widmeyer, W.N. The measurement of cohesiveness in sport groups. In Advances in Sport and Exercise Psychology Measurement; Duda, J.L., Ed.; Fitness Information Technology: Morgantown, WV, USA, 1998; pp. 214–226. [Google Scholar]
- García-Mas, A. Cooperation and competition in sportive teams. A preliminary study. An. Psicol. 2001, 1, 115–130. [Google Scholar]
- Rabbie, J.M. Determinants of the intra-group instrumental cooperation. In Cooperation and Prosocial Behavior; Hinde, E.H., Groebel, J., Eds.; Visor Aprendizaje: Madrid, Spain, 1995; pp. 97–131. [Google Scholar]
- Ponseti, F.J.; Garcia-Mas, A.; Palou, P.; Cantallops, J.; Fuster-Parra, P. Self-determined motivation and types of sportive cooperation among players on competitive teams: A Bayesian network analysis. Int. J. Sport Psychol. 2016, 47, 428–442. [Google Scholar]
- Topa-Cantisano, G.; Morales-Domínguez, F. Burnout and team identification: Role of social support in a model of structural equations. Int. J. Clin. Health Psychol. 2006, 7, 337–348. [Google Scholar]
- Rivas, C.; Ponzanelli, R.; De la Llave, A.; Pérez-Llantada, M.C.; Garcia-Mas, A. Individualismo y colectivismo en la relación a la eficacia colectiva percibida en jugadores de fútbol (Individualism and collectivism in relationship with perceived collective efficacy in football players). Rev. Mex. Psicol. 2015, 32, 68–80. [Google Scholar]
- Scandroglio, B.; López-Martínez, J.S.; San José Sebastián, M.C. La Teoría de la Identidad Social: Una síntesis crítica de sus fundamentos, evidencias y controversias (The Social Identity Theory: A critical synthesis of its foundations and controversies). Psicothema 2008, 20, 80–89. [Google Scholar] [PubMed]
- Sousa, C.; Torregrosa, M.; Viladrich, C.; Villamarín, F.; Cruz, J. The commitment of young soccer players. Psicothema 2007, 19, 256–262. [Google Scholar] [PubMed]
- García-Mas, A.; Palou, P.; Gili, M.; Ponseti, X.; Borrás, P.A.; Vidal, J.; Cruz, J.; Torregrosa, M.; Villamarín, F.; Sousa, C. Commitment, enjoyment and motivation in young soccer competitive players. Span. J. Psychol. 2010, 13, 609–616. [Google Scholar] [CrossRef]
- Parsons, F. Choosing a Vocation; Houghton Mifflin Co.: New York, NY, USA; Boston, MA, USA, 1909. [Google Scholar]
- Dawis, R.V.; England, G.; Lofquist, L.H. A Theory of Work Adjustment; University of Minnesota, Industrial Relations Center: Minneapolis, MN, USA, 1964. [Google Scholar]
- Dawis, R.V.; Lofquist, L.H. A Psychological Theory of Work Adjustment: An Individual Differences Model and Its Applications; University of Minnesota Press: Minneapolis, MN, USA, 1984. [Google Scholar]
- Kristof-Brown, A.L. Person-organization fit: An integrative review of its conceptualizations, measurement, and implications. Pers. Psychol. 1996, 49, 1–49. [Google Scholar] [CrossRef]
- Festinger, L. A Theory of Cognitive Dissonance; Stanford University Press: Palo Alto, CA, USA, 1962. [Google Scholar]
- Wingreen, S.C.; Blanton, J.E.; Kittner, M.L.; Fentriss, R.A. Toward a social cognitive basis for the IT professional’s person-organization fit research-in-progress. In Proceedings of the 2003 ACM SIGMIS CPR Conference, Philadelphia, PA, USA, 10–12 April 2003; pp. 179–182. [Google Scholar]
- Erdogan, B.; Kraimer, M.L.; Liden, R.C. Work value congruence and intrinsic career success: The compensatory roles of leader-member exchange and perceived organizational support. Pers. Psychol. 2004, 57, 305–332. [Google Scholar] [CrossRef]
- Kristof-Brown, A.L.; Zimmerman, R.D.; Johnson, E.C. Consequences of individuals’ fit at work: A meta-analysis of person-job, person-organization, person-group, and person-supervisor fit. Pers. Psychol. 2005, 58, 281–342. [Google Scholar] [CrossRef]
- Van Vianen, J.A.E.M. Person-organization fit: The match between newcomer’s and recruiters’ preferences for organizational cultures. Pers. Psychol. 2000, 53, 113–149. [Google Scholar] [CrossRef]
- Wayne, S.J.; Shore, L.M.; Liden, R.C. Perceived organizational support and leader-member exchange: A social exchange perspective. Acad. Manag. J. 1997, 40, 82–111. [Google Scholar] [CrossRef]
- García-Mas, A.; Olmedilla, A.; Morilla, M.; Rivas, C.; García-Quinteiro, E.; Ortega, E. A new model of sportive cooperation and its evaluation with a questionnaire. Psicothema 2006, 18, 425–432. [Google Scholar] [PubMed]
- Tasa, K.; Taggar, S.; Saijts, G.H. The development of collective efficacy in teams: A multilevel and longitudinal perspective. J. Appl. Psychol. 2007, 92, 17–27. [Google Scholar] [CrossRef] [PubMed]
- Ruiz-Barquín, R.; Olmedilla, A.; Fuster-Parra, P.; Ponseti, F.X.; Luo, Y.; Garcia-Mas, A. Team cooperation and its factors: A confirmatory analysis. In Cooperative Design, Visualization and Engineeering CDVE2017; Luo, Y., Ed.; Volume 10451 Series Lecture Notes in Computer Science; Springer: Basel, Switzerland, 2017; pp. 278–289. [Google Scholar]
- Senécal, J.; Loughead, T.M.; Bloom, G.A. A Season-long team-building intervention: Examining the effect of team goal setting on cohesion. J. Sport Exerc. Psychol. 2008, 30, 186–189. [Google Scholar] [CrossRef] [PubMed]
- Coles, J.; Li, Z.F. Managerial Attributes, Incentives, and Performance. SSRN Electron. J. 2013. [Google Scholar] [CrossRef]
- Coles, J.; Li, Z.F. An Empirical Assessment of Empirical Corporate Finance. SSRN Electron. J. 2012. [Google Scholar] [CrossRef]
© 2019 by the authors. Licensee MDPI, Basel, Switzerland. This article is an open access article distributed under the terms and conditions of the Creative Commons Attribution (CC BY) license (http://creativecommons.org/licenses/by/4.0/).


