Next Article in Journal
A Method to Assess and Reduce Pollutant Emissions of Logistic Transportation under Adverse Weather
Previous Article in Journal
The Factors Affecting the Environmental Practices of Companies: The Case of Serbia
 
 
Font Type:
Arial Georgia Verdana
Font Size:
Aa Aa Aa
Line Spacing:
Column Width:
Background:
Article

Integrated and Participatory Design of Sustainable Development Strategies on Multiple Governance Levels

Institute of Environmental Systems Research, Osnabrück University, Barbarastr. 12, 49076 Osnabrück, Germany
*
Author to whom correspondence should be addressed.
Sustainability 2019, 11(21), 5931; https://doi.org/10.3390/su11215931
Submission received: 4 September 2019 / Revised: 18 October 2019 / Accepted: 22 October 2019 / Published: 26 October 2019

Abstract

An increasing number of sustainable development strategies (SDS) is being developed for cities, municipalities and countries. The design of such strategies is inherently complex. This is a result from intricate relationships between different SDS on different levels, and a large number of requirements that need to be addressed in strategy implementation. A particular challenge is the integration of strategies across different governance levels (e.g., city, federal, and national levels). Methodologies are currently lacking to systematically design SDS which take the full complexity of the dependencies of the strategies into account. In this article, we propose a participatory requirements analyses approach to support strategy building across governance levels. Experience from systems engineering (SE) has shown, that requirements are the basis for designing systems or strategies. We elicit requirements by applying a participatory modeling approach with causal-loop diagrams in an individual interview setting. To illustrate our approach, we test the developed design approach and focus on the interdependencies between SDS at the city level (i.e., the cities of Berlin and Hamburg) and the German national SDS. The design process reveals critical factors which are needed for the overall success of the strategies. The resulting causal models reveal that despite coordination activities of the regional objectives with the national targets, trade-offs exist between the strategies regarding the underlying conditions for their implementation (e.g., national law, federal and state law). In addition, the level of detail of requirements for certain objectives at the national level and across sectors is too general. This hinders the emergence of system-wide co-benefits of possible solution strategies. Requirements analysis can highlight interdependencies, such as trade-offs and synergies, between strategies at multiple governance levels and, based upon this, can support a more coherent strategy design.

1. Introduction

Strategies for sustainable development have a long tradition aiming at the transformation of organizations, cities, regions and nations to transform towards a more sustainable state. These sustainable development strategies (SDS) exist on different governance levels, such as the Paris agreement from 2015 between several states on a supra-national level [1], the EU Agenda 2030 which acts as a guiding framework for the implementation of more specific measures in several EU member states [2], and the resulting national strategies such as the German SDS [3].
SDS are relevant guiding documents for political decision-makers in all areas of the government (e.g., food and agriculture, water management, energy supply, markets, social capital, or education). They are important guiding frameworks for coping with challenges such as climate change, food and water safety, and many others.
Like many other nations, the German sustainable strategy landscape is very diverse. Overarching objectives such as the Sustainable Development Goals (SDGs) exist which can guide strategies on all levels and connect several different objectives with each other [4]. The guiding framework on the German national level, the German SDS, has been revised in January 2017, and states that the German Government has to implement the objectives of the EU Agenda 2030, including the SDGs, and adopt them on the German national level [3]. Nevertheless, the EU sustainability objectives regarding the proportion of renewable energy (18% in 2020), and many of the specific German sub-objectives, will not be achieved until 2030. However, many cities, including Hamburg and Berlin, as well as regions (e.g., the State of Lower Saxony, North-Rhine Westphalia, or the metropolitan region of Bremen-Oldenburg), have adopted their own SDS to assist in the implementation of the national directive and to integrate regionally important issues and resources into the implementation of their own SDS [5,6,7,8,9,10,11]. Regional issues are a significant part of the strategies. For example, the resources of water, energy and food have different significance in the respective cities and regions, and the potential for technological innovations is different due to infrastructural constraints. SDS on different levels need to be coherent and designed in line with each other because their implementations often depend on each other. Therefore, SDS cannot be implemented in isolation, and their outcome and feasibility depend on other strategies. In particular, strategy integration across multiple governance levels as well as sufficient stakeholder engagement are major obstacles of all strategies. Therefore, the importance of multi-level governance approaches and participatory approaches for strategy design should not be underestimated. Although methods exist to compare national SDS with each other [12], more focused feasibility studies are important to guide local decision-making processes.
Several feasibility studies, such as the feasibility study of the Berlin Energy and Climate Protection Program 2030 (BEK) by the Potsdam Institute for Climate Impact Research (PIK), have already demonstrated the complexity of strategy documents or action plans in Germany [11]. After 2009 and 2013, the Federal Government has again commissioned the German Council for Sustainable Development to organize a peer review on the German sustainability policy [13]. The group suggests 11 recommendations based on the revised German SDS and on what has been done so far. These recommendations include but are not limited to the call for more multi-stakeholder approaches to guide stakeholders in implementing the German SDS, “strengthening the science/society interface”, develop “innovative dialogue-based processes” which include economic and social perspectives into strategy development with the aim to generate more relevance of the German SDS for low-level stakeholders, link the German SDS more to regions and cities, enhance policy coherence, “address more directly the challenges of achieving sustainable consumption and production”, and enhance “capacity for systems thinking” [13] (p. 25).
The objectives of a strategy are usually achieved by developing and implementing innovations or by re-designing existing projects. Innovations can be institutionalized by developing policy instruments, measures, or projects on a local level. In this context, small and medium sized private and public companies as well as well-known and connected experts play a major role. Several methods exist which help actors and organizations promote sustainable behavior. These methods include design thinking approaches (e.g., knowledge co-production and vision modeling), participatory approaches (e.g., user based design of solutions with focus groups or card-sorting), and many other frameworks with the aim to guide the production of sustainable behavior, products, and services (e.g., smart meters) [14,15,16,17].
To design the complex interrelations of the strategies among each other as well as their implications for the environment, society and industry, an integrated and participatory approach is required. System science can support the development of such an integrated perspective, for example, by providing tools to understand causal relationships between elements included in SDS (e.g., relationships between SDGs) [4]. This creates a simplified structure, a “systems model”, which allows for a better understanding of the dynamic complexity of systems (i.e., structures and processes that determine the system’s dynamics). To collectively model such systems, participatory modeling as a widely applied approach can be used to combine integrated systems analysis and stakeholder engagement. In particular, conceptual modeling using causal-loop diagrams has been found to be a powerful approach to investigate complex problems in a participatory process [18]. While causal-loop diagrams are helpful to deal with the dynamic complexity, issues with a high detailed complexity (i.e., a high number of variables) can render these models unwieldly. The design of SDS at various governance levels requires such a method in order to be able to investigate specific links in between, such as measures and objectives. A methodological framework is currently lacking that allows for an integrated and participatory design of SDS that can deal with this detailed complexity of strategy documents and the description of related requirements.
This article aims at the development of such a methodological framework for the integrated and participatory design of SDS across multiple governance levels (i.e., the national and city level). To deal with the detailed complexity of SDS (resource dependencies, environmental performance, functions, etc.) which could challenge participatory modeling as a method, we use a System-of-Systems Engineering approach (SoSE) to frame the system in a more structured and process-oriented way. SoSE can contribute to the better understanding and inclusion of multi-level complexity into system design [19]. Originally, SoSE is a widely applied engineering approach which is mainly used in a technological context for complex adaptive system design such as software development, distributed systems management, airplane service design, infrastructural design (e.g., public bus networks), or military command and control systems [20,21,22]. In general, SoSE supports simplification of a system with high detailed complexity through systematic analysis based on system requirements.
Requirements are “the descriptions of properties, attributes, services, functions, and/or behaviors needed in a product to accomplish the goals and purposes of the system” [23] (p. 401). In addition, requirements enable the system engineer to include a user oriented perspective into the system design task [24,25]. Therefore, we develop a methodological approach based on the requirements engineering approach from SE.
Applying SoSE on SDS requires a translation and interpretation of SoSE frameworks for natural resource management contexts. In our proposed methodology, we adapt requirement elicitation and modeling as a part of SE to the specific challenges of designing SDS. This includes broadening the scope of requirements to environmental System-of-Systems (SoS), re-defining SoSE elements such as concept of operations (CONOPS) or requirement quality criteria, and defining new requirement types and integrating these elements into a participatory modeling framework. An example application of this methodology is provided in this paper by designing integrated and requirement-based solutions to existing problems in the energy domain in the SDS of the two largest German cities, Berlin and Hamburg, and their links to the German national strategy, whereas the conceptual foundation is explained in [19]. This underlying conceptual framework is called “FRESCO” (Functions, Requirements, Evaluation, Structures, Constraints, and Outputs) and “is a general process design framework for application on environmental SoS. The framework is derived from SoSE concepts but uses narratives from the resource management domain. By following the process of the framework, the complexity of environmental SoS can be included into a system design task.” [19] (p. 6).
Berlin and Hamburg are both federal states and cities at the same time which has consequences with respect to the institutional conditions for implementing environmental measures. This implies that each city is responsible for the achievement of its own regional sustainability goals. Although the regional objectives are specifically targeted towards local issues, some measures also correspond to the national strategy i.e., are officially and directly targeted towards the objectives of the German Agenda 2030 implementation.
This article is structured as follows. In Section 2, we give an overview on the methodological background, including SoSE and requirements analysis. Section 3 presents the structure of our methodological framework, whereas Section 4 describes our suggestions on how each step of the methodological approach should be carried out. Section 5 offers the results of an example application to the German sustainability strategy landscape. Section 6 provides a discussion of the results, before the article closes with the conclusions and possible future work in Section 7 and Section 8.

2. Conceptual Background: SoSE for Understanding Links between SDS at Multiple Governance Levels

SoS are commonly applied and studied in various engineering disciplines [26]. A SoS can be defined as a collective system, which has autonomous and heterogeneous elements that are connected dynamically with each other and have their own goals which contribute to the overall goal of the whole system [27]. We already showed the potential of the SoS concept to contribute also to the integrative management of natural resource issues [19]. More precisely, it can be summarized that the SoS concept helps to “include multi-level complexity” into decision making processes, and “to gain an advanced understanding of complex relationships” in a system [19] (p. 17). The German SDS landscape, which is subject of discussion in this paper, is implemented on different governance levels, and represents a special SoS-type, an “acknowledged” SoS: The subsystems (i.e., urban SDS) follow a high-level objective (i.e., are aligned to the national SDS) which is often through the share of resources (i.e., share of institutions or multi-level actors). Nevertheless, subsystems maintain their own identity and goals (i.e., urban SDS pursue specific regional goals, and the national SDS follows national interest) [28]. Therefore, applying SoSE on SDS is a new and innovative field. The following capabilities underline the suitability of SoSE to strategy design and development. SoSE provides: (1) a structured design approach to develop, implement, test and evaluate systems; (2) methodological tools to apply each system design step (e.g., requirements elicitation and analysis, functional analysis and risk assessments); (3) a user oriented design approach which ensures a system design which fulfils the user requirements on the system; (4) combined design and project management methods which help to guide also larger design processes; and (5) standard procedures for evaluating to what degree the user requirements are represented in the actual system. Already existing methods for the application in systems design and examples for environmental design are described in Table 1.
Challenges for the application of SoSE on the design of SDS are (1) the multi-level governance nature of political systems where the strategies are embedded in; (2) the need to represent complexity in a detailed manner to be able to understand and cope with this complexity; (3) and the need for an integrated and solution oriented approach because isolated analysis and design of system parts may have negative effects on other parts of the overall system. Particularly the latter issue requires a holistic approach which designs not only the sub-systems in isolation but takes their interactions into account. These challenges are also met in SoSE, although, up to now, mainly technical systems have been taken into account. The engineering process of a technical SoS mainly focuses on the design of soft- and hardware systems and services, whereas the design of SoS for SDS requires also consideration of social, institutional and environmental aspects.
In this paper, we present a novel requirements engineering approach to design SDS. Up to now, requirements engineering is mainly applied to technical systems design [23] although it is commonly perceived as the most important step in systems design in general [23,26,31]. Therefore, the standard requirements approach needs to be adapted to the complexity of SDS to be able to also represent social, institutional and ecological aspects. This means that, in addition to multiple possible levels of requirements (i.e., hierarchies, priorities, relative importance), and two existing standard types of requirements (i.e., functional and non-functional requirements), several new requirement types need to be defined.
Functional requirements are understood as tasks the system must accomplish. Non-functional requirements or constraints are considered to be constraining conditions for system design [23]. For example, a functional requirement is the development of a sufficient power grid management system which is able to handle the increasing amount of renewable energy supply fed into the energy grid. A non-functional requirement is to allow renewable energy providers to feed in only a specific amount of energy per time unit into the existing energy grid. In addition to these technical requirements, SDS include social, economic, nature environmental, and institutional requirements. This makes the requirements elicitation process more complex compared to technical systems design. Because the dependencies between requirements (high-level and low-level requirements) are also important, these links become more complex with a higher number of requirement types. We adapted the traditional requirements analysis approach by defining new types of requirements. We also complement the requirements analysis approach by using causal-loop modeling as a method to develop the conceptual system models. Causal-loop modeling and requirements analysis both describe a system in terms of hierarchies, i.e., multi-level relationships between the system variables, provide a framework for modeling these relationships, have participatory elements such as involving stakeholders, model the concept of a system which then can be further specified, and both provide an actor-oriented perspective on the system. The latter point is particularly important for the development of an actor-oriented system design. These overlaps are illustrated in Figure 1.
Table 2 illustrates the variable types we suggest considering when analyzing SDS. This includes the following requirements types: Economic, financial, generic, policy, social, and technological. Interactions between these variables and requirements are usually path dependencies. This means that the link of one requirement to another is defined as a uni-directional causal-relationship (i.e., A leads to B), bi-directional relationship (A leads to B and vice versa), or dependency (B is dependent on A). We adopt this approach from Carr (2000) and Nuseibeh and Easterbrook (2000).
Economic requirements are defined as economically related user needs formulated as requirements such as “reduction of final energy demand”. Financial requirements are defined as monetary requirements, for example “investment costs”. Policy requirements are requirements which describe policies or aspects of policies which should be part of the system design, such as “Amendment to climate protection act in Hamburg” or “Energy turn around act”. Social requirements are societal requirements such as changes in sustainable consumption patterns. Technological requirements describe technological system or system parts such as “power to gas applications” or “thermal insulation of new buildings”. Generic requirements are defined as all requirements which do not fit the definition of the other requirement types.
In the following, we explain our detailed methodological framework.

3. Methodological Framework

The proposed methodological framework aims at the integrated and participatory analysis and design of SDS across multiple governance levels.
To inform the current sustainability discussions, this methodology follows a holistic approach from the field of SoSE to successfully design and redesign policy processes, strengthen the integrated management of heterogeneous strategy objectives and enhance cooperation between actors from different sectors. This systematic approach is a counterpart to linear thinking which often has been found in policy making [54].
Our methodological framework includes six steps (see Figure 2):
  • Literature review: Literature review of available strategy documents to define possible scopes of the design process.
  • Expert interviews: Individual expert interviews are conducted to elicit requirements. This is done by applying an enhanced participatory modeling approach using causal-loop diagrams. By this means, we include stakeholders in the development of a systems model to develop a user-oriented baseline for SDS development and implementation.
  • Digitalization of interview data: This step includes translating and digitalizing diagrams from the interviews as adjacency matrices [55] and visualizing them with available software for further analysis, e.g., with “Gephi” [56].
  • Coding of interview data: Specification of variables mentioned in the interviews. This includes the specification of attributes such as requirements types as exemplified in chapter 5.
  • Statistics: This includes the computation of different network measures, i.e., betweenness-centrality (BC) and node degree.
  • Filter and analysis: The outputs include diagrams, tables, and other information which may be helpful to support further steps of the overall system design process.
The application of the methodological framework follows an iterative process that includes three loops (Figure 2):
  • Requirements Loop: Requirements are developed and specified throughout the interview. This means that all necessary information should be documented early in the design process (i.e., during the interview). If information is missing, the already digitalized data may be complemented also in the specification phase. It may happen that the specification phase reveals some missing and important information from the interview phase. In this case, the interviewee could be asked to provide additional information to the process. This bi-directional relationship between interviews and specification is called a “Requirements Loop”.
  • Design Loop: The design loop is the bi-directional relationship between digitalization and analysis. During the analysis, the relationships among the requirements and other variables as well as the result of their implementation and system functions are analyzed. As these findings are maybe interesting to publish or communicate in a digitalized form and fed back into the design process, these steps need to be connected. The digitalized form may work as a direct input for the analysis if a second specification is not necessary.
  • Verification Loop: The verification loop directly connects the analysis step with the interview step. As new insights from the analysis phase may lead to the need to conduct additional interviews, or to “verify” the results with the help of the stakeholders, information between the two steps may be exchanged directly.
In the following, we explain how each step of the methodological framework should be applied in general. Here, we also provide some examples. The results and content-specific application is presented in Section 5.

4. Methodological Application of the Framework

4.1. Literature Review

The first step of our framework is a comprehensive literature review on the overall sustainability landscape. If the focus of the case study lies on a specific city or region, information on other levels should also be considered to understand the embeddedness of local strategies in the overall strategy landscape. Often, reviewed documents refer to additional sub-strategies, more specific implementation strategies or related projects or initiatives. It is particularly important to additionally review different types of literature such as strategies, reports, white papers, protocols, administrative sources, grey literature, e.g., newspaper articles, or results from participatory processes such as project workshops. This will enable the project to get a more detailed picture of the underlying case and allow a systematic selection of stakeholders for the interview process in Step 2.
As part of Step 1, stakeholders should be selected which are invited to participate in the interview process. The outcome of this step is a list of participants who are willing to participate in the research process, as well as an overview on the overall strategy landscape. Applied criteria for the selection of actors are (1) representation of diversity, (2) willingness to contribute, and (3) number of participants [57]. During the stakeholder selection process, we made sure to include several different types of stakeholders in the process to be able to collect more diverse knowledge during the process and therefore to develop more detailed models. Actors came from research institutes, public and private consultancy organizations, the senate-administration, the craft association and political parties, scientific research organizations, and citizenship representative organizations. We found many stakeholders embedded in tight working schedules. Therefore one selection criterion was also availability and willingness to contribute. For our exploratory case, we made sure to conduct a minimum of 10 interviews. However, in future studies this number should be increased to derive more precise insights from the system design models.

4.2. Expert Interviews

We developed a semi-structured participatory interview approach to record different types of variables during the interviews. The interview approach is illustrated in Figure 3. As a formalization approach, we used causal-loop diagrams (CLDs) to illustrate the connection of the requirements inside (subsystem level) and in between the subsystems (SoS-level). The resulting data basis of the diagrams consists of the variables mentioned during the interviews. Variables have been formalized as “nodes”. The nodes are connected through “edges”. Each edge represents a logical connection between two elements. As our focus lies on the requirements, we call the resulting diagram a detailed requirements diagram.
The interviews are structured as follows, whereas Steps 1–3 are preparatory and may be communicated to the interviewee prior to the interview. We suggest to plan 90 min for each interview. Explaining the interview method takes approximately 15 min time. Formulating requirements should not exceed 60 min in order to have enough time for formulating constraints and validating the model in the end of the interview (~15 min).
The interviewee is told how the provided information is handled. Depending on actual institutional regulations, interviewees may have to sign a form in which they agree with the processing of the provided information. Additionally, the interview may be recorded for internal use during later digitalization, coding and merging processes if some aspects of the interview turn out to be unclear for the modeler.
The structure of the interview (Figure 3) is provided to the interviewee. All steps are explained and questions answered. It is particularly important to make clear that the applied interview technique may provide a structure for the interview but does not include pre-defined questions which may constrain the information the interviewee could provide. It should be stated that the participatory modeling approach aims at capturing the individual and unbiased mental model of the interviewee. No statements are “wrong” or “insignificant” to the process.
Causal models in personal interviews can be drawn by using pen and paper. Online interviews can be developed by a browser-based online app such as the app “Participate” by Simon Hötten. (At the time of submission, the app has not been made available to the general public.) The app allows the user to interactively draw causal diagrams via a web-browser. If the interview will be carried out via pen and paper, this requires enough space (e.g., a big table or a pin-wall). We suggest clarifying the space requirements before the interview. If insufficient space is available because of logistical reasons, software could be used to draw the diagrams directly in a digitalized form.
In the beginning, the interview material should be prepared by providing material (paper, pen, moderator cards and others) to the interviewee. The central topic of the interview should be written in the middle of the paper (e.g., reduction of CO2-emissions according to the Paris agreements by 85% by 2030). The topic could be an objective, a solution, or the main design goal. Depending on the experts’ expertise, this central variable can be further specified by defining sub-topics or concrete measures to which the interview is able to provide detailed information.
Requirements are elicited. We suggest providing a list of possible requirement types to the interviewee to support this step of the interview process. As time constraints are often the limiting factor for such interviews, effective time-management is essential. The requirements are directly connected to the central variable or the derived sub-variables. If the interviewee struggles with this process, we suggest to first collect a few requirements on sticky-notes on the side and connect them afterwards. Requirements can also be further defined or connected. For example, requirement “A” may be required to achieve objective “X”, and requirement “B” may be required for requirement “A”. The links originating from requirements should be marked with a “+” symbol which defines a positive relationship from the originating variable (i.e., requirement) to the targeted variable (e.g., requirement, objectives)
After requirements have been derived, the moderator should ask the interviewee to name some possible constraints which could hinder the achievement of the objectives. These constraints are connected to other variables with a negative causal relationship (“-” symbol). These relationships help to directly trace back and identify constraints.
Next, the causal model may be complemented by adding other variable types (Table 2). This step results in a more detailed mental model and helps to bring the requirements and constraints in an overall context. This is helpful if, for example, the models are communicated back to the interviewees after the analysis. Some requirements also do not make sense if they are not connected to other variable types. For example, leadership may be a requirement for achieving the goals of a specific project, but it may has to be further specified by connecting it to a specific actor or organization which should provide this leadership. In this case, this actor or organization would be one variable of the type “actor” which is connected to the requirement “provisioning of leadership”.
Although the focus of the causal diagram lies on the derived requirements, it is important that the interviewee is satisfied with the diagram in the end of the interview. Therefore, each interviewed person should be asked to validate the model in the end (e.g., by asking the question: “Do you think that this model reflects your point of view?”), as the personal viewpoint of each participant will be part of the final interpretation of all merged models. Additionally, during the interview, the moderator needs to check for coherence of the model itself. This means that the model should not include requirements which contradict themselves.
As next steps, the interview data is digitalized, individual causal models merged, statistical analysis applied, and the network data is filtered for presenting it to the stakeholders.

4.3. Digitalization of Interview Data

Digitalizing the interviews is particularly important for further analysis of central variables such as requirements or constraints. Because of the large amount of variables, a digitalized version of the data helps to structure, understand, analyze and interpret the resulting CLDs. Another aim of the participatory approach is to report the results back to the stakeholders. We found that Gephi, CMapTools or yEd are helpful tools to illustrate the data and to communicate findings in an easy and understandable way. Gephi is a tool which helps to model, visualize, and analyze causal models. CMapTools and yEd can be used to manually draw models or diagrams and export them into a vector graphic file.
In addition, digitalizing interview data includes translation of CLDs into adjacency matrices, coding of the interviews (i.e., specification by adding different attributes to each variable) and merging individual causal models to one overall model. In the following we will explain each step in more detail.

Adjacency Matrices

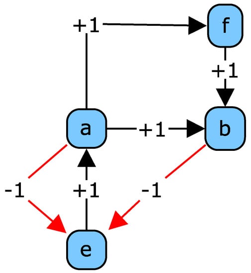
As shown in Figure 4, graph H consists of 4 variables (a, b, e, and f). “a” and “b” have a negative effect on “e”. The graph can be represented as a 4 × 4 matrix, whereas “a” represents the variable “a” in the graph, and “b” the variable “b”. “a” has a positive causal relationship to “b”. This is represented with a “1” in the matrix.
Each interview is represented as one matrix using Microsoft® Excel® (Microsoft Corporation, Redmond, USA). In a second step, each matrix can be imported into “Gephi” [56].

4.4. Coding of Interview Data

Each table can now be specified by adding additional rows which include further information from the interviews, e.g., variable type, governance level, actor who mentioned the variable etc. This information may be helpful in subsequent steps of the analysis. Documenting all information related to one requirement or variable in general is important to maintain traceability of requirements throughout the design process and is part of the requirements management task [58]. In SE, it is usually realized by documenting information in the requirements allocation sheet [25]. Because the software Gephi already provides the function to document variable attributes, we used this platform to keep all available information at one place.

4.5. Merging

The process of merging the different causal-models results in the overall requirements diagram. Each interview is complemented by information from the other interviews. We suggest a three-step approach: (1) Interviews from the same level should be merged. For example, if several interviews in one city have been conducted, these interviews are merged first. Then, (2) the resulting model of each city is combined with the merged causal model of other cities. If also other governance levels are included, such as regional or national levels, these levels are merged in the last step. We suggest saving each step individually to be able to design more specific measures or solutions for stakeholders on each level. As an illustration for the process of merging the causal-model, we define the following graphs (Figure 5, Figure 6 and Figure 7).:
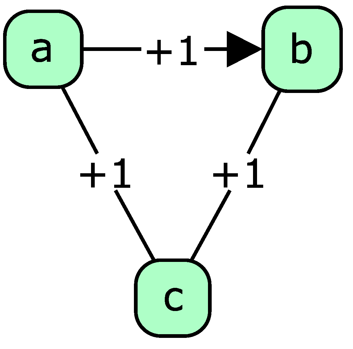
Graph G (Figure 5) consists of three variables (a, b, and c). They all have a positive effect on each other. As described above, graph H (Figure 6) consists of 4 variables (a, b, e, and f). “a” and “b” have a negative effect on “e”. We see that graph J (Figure 7) is the sum of G and H. Let A ( G ) be the adjacency matrix of graph G, and A ( H ) the adjacency matrix of graph H. Therefore, the sum of A ( G )   a n d   A ( H ) = A ( G ) + A ( H ) .
A ( G ) = [ a b c a 0 1 1 b 0 0 1 c 0 0 0 ]
A ( G ) = [ a b c a 0 1 1 b 0 0 1 c 0 0 0 ]
A ( G ) + A ( H ) = [ a b c e f a 0 2 1 1 1 b 0 0 1 1 0 c 0 0 0 0 0 e 1 0 0 0 0 f 0 1 0 0 0 ]
It could be especially challenging, to combine two variables which mean the same, but are formulated differently. For example, the variables “Coal Phase-Out” and “No Coal” which have been mentioned by two different actors could mean the same but are formulated in two different ways. To be able to combine these variables in one variable, clarification of the underlying meaning of the variable should be ensured with the stakeholder who mentioned this variable. If available, a recording of the interview could help to understand the underling meaning from the context.
After importing the matrices into Gephi, each node has the following attributes: “Label” and “id”, whereas the “id” is the final identifier for Gephi, and the “label” can be edited by the user. By applying statistical analysis on the CLDs, Gephi adds additional nodes to the table which include the results of the analysis (e.g., clustering coefficient, In –and Out-Degree, total degree, eccentricity, closeness-centrality, and BC). Although Gephi has an option to merge two nodes with the same name, this option is only helpful if the same string is used for two variables. However, this is often not the case. Therefore, manually merging two nodes and then renaming the merged node in Gephi is the best option we identified (not at least because the edges will be added/complemented during the automated merging process by Gephi which makes the automatic merging process intransparent).

4.6. Statistics

With analyzing requirements diagrams, it is possible to gain an advanced understanding of the underlying data, e.g., identify indicators on what requirements are most important, what linkages are most significant, and to what degree specific requirements types are represented in the diagram. We suggest calculating the BC to be able to compare the embeddedness of each node in the network [59,60], as well as the degree distribution of the network to see how many nodes are included with an either high or low number of links. Although the results of this analysis may suggest to prioritize the implementation of specific requirements, an interpretation should be done with care. The high centrality of one specific reuirement is not neccesarily an indicator for a low importance of other requirements. However, a high centrality of one node always indicates that this node has been mentioned by many stakeholders during the elicitation process. This insight can be helpful to concetrate on a topic or theme during the implementation phase and to bring stakeholders with different perceptions of a problem perspective together.
If different CLDs are combined, a normalized BC should be calculated to identify important nodes which link different CLDs. “The normalized betweenness centrality is the betweenness divided by the maximum possible betweenness expressed as a percentage” [61] (p. 85). Calculating the degree distribution could be helpful to identify the centrality of the CLDs or communities inside each CLD.
For the spatial topology of our CLDs, we applied the “ForceAtlas2” algorithm. The algorithm organizes a CLD by repelling its nodes while the edges pull the nodes towards each other. The result may help to better understand the visualized CLD data [62].

4.7. Filter and Analysis

The process of filtering the variables in the CLD has the main objective to prepare the data for presentation to the stakeholders or publishing it in an understandable and focused manner. We encourage to filter the CLDs by using the measures from the statistical analysis such as BC or node degree to only visualize nodes with a high BC or node degree larger than zero. Particularly studies with a large N would profit from this approach, because large CLDs are maybe inconvenient to display or to discuss with stakeholders.
For communication purposes, we suggest to take advantage of additional visualization tools. For example, “yEd” will enable the user to present parts of a graph for as a discussion baseline which is easy to understand also in presentations (https://www.yworks.com/products/yed). Figure 8 represents the multi-level nature of a causal-loop model using yEd. National goals (i.e., 95% “CO2 reduction” and “Coal phase-out”) are linked to requirements on other levels (e.g., “Use of renewables in heating grids” or “Expansion of solar energy use”).

5. Results of the Methodology to Energy-Related Parts of SDS in Germany

To illustrate our methodological approach, we modeled user requirements of the energy-related parts of the SDS of Berlin and Hamburg and their links to the national directive of Germany and reveal critical factors needed for the overall success of the strategies. In particular, we investigated how the national target to reduce CO2-emissions, according to the Paris agreement, by 80–95% until 2050 compared to 1990 can be addressed on the national and urban levels.
On the urban and national level, we conducted (1) a literature review on available strategies and inherent objectives, measures, and requirements with a focus on the energy sector (Section 4.1); (2) conducted individual expert interviews where we apply our semi-structured participatory interview approach (Section 4.2); and (3) applied requirements analysis on our data. Requirements analysis included the collection and analysis of the requirements of the cities needed to achieve the regional SDS as well as a comparison with the national requirements (top-level vs. low-level requirements) (Section 4.3, Section 4.4, Section 4.5 and Section 4.6).
In the following, we show how we applied each step from our methodological framework and present the detailed results.

5.1. Literature Review

The German SDS provides a conceptual framework that aims at providing guidance for a sustainability transformation in Germany. The German SDS includes information on further development of the overall strategy, the role high level actors (federate level) responsible for coordination of the strategy implementation and development, and strategic pathways of the federal government for sustainable development. It describes 63 key indicators which are monitored every two years. According to Singh et al. (2012), the German SDS has some shortcomings, as it does not provide: (1) specific tools or instruments to be implemented, (2) important actors needed to implement the strategy, (3) responsibilities of actors who are needed for the strategy implementation, nor (4) a comprehensive framework for contributing towards more diverse and comparable indicator sets [63].
We reviewed strategy documents on the sustainability agenda of Germany, and the cities of Hamburg and Berlin. This includes but is not limited to official SDS of Germany [3], Berlin [9] and Hamburg [8], older versions of the national strategy [64], and several sub-strategies, such as the German plan on energy efficiency (NAPE) [65]. In a second step, we focused on related projects in each city.
In the case of Hamburg, this particularly includes the NEW4.0 project, a joined project by the city of Hamburg and the federal state of Schleswig-Holstein with the objective “to have a safe, cost-efficient, environmentally compatible and socially accepted regenerative power supply by 2035, based entirely on renewable energies [in the study region].” [66]. In addition, we reviewed key documents on the implementation strategy of the SDGs in Hamburg, which has been published by the senate of Hamburg. More specific information on the citizens’ viewpoints on this topic was gathered from reports of a broad participation process on the SDG implementation. This process was conducted as part of an inter-agency project group which has set itself the goal to develop an evaluation scheme of the Hamburg government program, to discuss and identify requirements for taking action, and to identify approaches for the implementation of the SDGs. For Berlin, we particularly reviewed the draft and the final BEK [9,10], ideas for the implementation of measures [67], as well as the results of the BEK feasibility study [11] and plans for adaptive management in the field of climate change [68].
Our original plan was to also compare the strategies with available indicators of each city. Therefore, we reviewed existing indicator reports and found that indicators are not coherent across cities. We thus advocate to use our interview approach to get a knowledge baseline for comparing different strategies which is formulated in terms of variable types as defined in Table 2.
With respect to the variable types in the underlying strategy documents, we found a strong focus on the formulation of overall visions and general objectives, rather than on actor requirements. This becomes particularly clear in the German SDS: Whereas the role of specific actors as well as their interdependencies only plays a minor role, the general pathway for sustainable development as well as the dependencies of the different objectives and measures are elaborated in detail. This may be particularly important for finding common ground among participating stakeholders during the implementation phase. Often, this common ground is necessary for coordination and cooperation of actors and more helpful then discussing the importance of single variables or individual attributes [69]. On the other side, the reviewed urban strategies include in addition to several objectives, measures and indicator-sets also specific instruments, actors, requirements, and constraints. These measures are grouped into different fields of action such as energy, buildings, mobility, economy, or education. The BEK defines two fields of action types: fields of action for climate safety, and for adaptation to the effects of climate change.

5.2. Interviews

From May to July 2018, the first author of this paper conducted a series of 10 expert interviews (3 on the national level and 7 on the urban level). In these interviews, 322 variables were collected. To assess requirements and constraints in detail, we conducted these interviews with experts from research institutes, public and private consultancy organizations, the senate-administration of Berlin, the craft association and political parties, scientific experts and citizenship representatives. Interviewees were provided with a flyer with information on the motivation and importance of the process.
All interviews took 60 to 120 min. Seven interviews were conducted personally via pen and paper. Three interviews were conducted via telephone, using the software Participate to draw causal diagrams online.
The focus of the interviews in all cases was the national target of reducing CO2-emissions according to the Paris agreement by 80% to 95% until 2050, compared to 1990. Depending on the interview partner, this target was further specified by adding sub-objective variables such as “coal phase-out” or sub-strategies such as the BEK. As the interview partners were experts from diverse fields, it was important to allow everyone to formulate requirements according to his/her field of expertise. Therefore, on the one hand, we made sure to keep the connection to the national target, while, on the other hand, draw specific diagrams according to the experts’ field of expertise. These fields were: Sustainable energy systems, consultancy of the craftsmanship, energy policy and governance, energy grids, civil society and sustainable energy production, political sciences, sustainable energy policy and multi-level governance, city administration, political consulting, climate change adaptation, future energy -and mobility structures, sustainability indicators, and SDG implementation.

5.3. Digitalization

After conducting each interview, we digitalized the resulting CLDs.
Digitalizing the causal-models helped us to sort und specify the nodes, and understand and interpret the causal relationships between them. We found that the easiest way of digitalizing the written diagrams is to first translate them individually into adjacency matrices and afterwards into Gephi. All variables of the digitalized interviews can be found in the Supplementary Materials.
Our methodological framework suggests defining several variable types which all could be identified during the interviews (Table 2). As the main focus of this paper are the requirements and their connection to objectives and actors, we included requirements, constraints, objectives, actors, and external variables in our graphs.
These graphs include 114 requirements, 45 objectives, 40 constraints, 36 actors, 19 general variables, and others (Figure 9 and Figure 10). The focus of the interviews was the derivation of requirements which are needed for strategy implementation from the experts’ point of view. Therefore, in each interview, one CLD has been developed by the interview partner. These CLDs are coupled to other variable types, as described above. To support a systematic requirements derivation, we define different types of requirements and constraints according to our FRESCO framework: economical, financial, general, policy, social, and technical requirements.
To understand the role of each field of action in the strategy documents of Hamburg and Berlin for reducing CO2-emissions, we linked the fields of action to the variable types gained in the interviews. The resulting CLDs revealed the variables with the highest importance for reducing CO2 emissions from the stakeholders’ point of view (Figures 13–16). For example, in Berlin, the high importance of the city administration for coordinating the implementation of related measures stands out. Additionally, civil society and science are seen as major actors for implementing the BEK and are related to all mentioned fields of action. In Hamburg, the Environmental Partnership and regional projects such as the “NEW4.0” or the “Coal goodbye” initiative are seen as important actors for implementing energy related measures.
As described above, the resulting CLDs from the interviews were quite complex, revealing a high complexity of the German sustainability landscape. In the following, we illustrate how coding and filtering of such CLDs can help to better understand the most important content.

5.4. Coding

We added the following attributes to the interview data tables: “source” for identifying the governance-level the variable originates from (Hamburg, Berlin or national level) combined with actor information (anonymized for publication); “actor” for identifying the actor who mentioned the variable (anonymized for publication); “type” which is defining the variable type (Table 2), “level”, which defines the level of the variable (urban or national) and the city, i.e., “Urban_Hamburg” and “Urban_Berlin”. It also identifies if the variable was mentioned by different actors (“Actor_Interface”); “type_interface” which helps to filter variables of the type “interface”; “level_interface” for identifying variables which have been mentioned on the city level and national level.

5.5. Merging

Next, we merged the resulting individual models of the interviews and developed one overall causal model, the requirements diagram. In some cases, actors used different explanations for one requirement but with the same meaning. For clarification, we used the recordings made of the interviews and analyzed the context where the variable was mentioned. Finally, we decided whether we merge the two variables or not. We found that first importing the matrices into Gephi and then editing the nodes-tables was the best order to have the most productive merging process.

5.6. Statistics

As the main objective of our method is to assess concepts and solutions to integrated management problems across multiple levels, we calculated the normalized BC of each node. The BC particularly helps to identify the nodes which connect different CLD clusters, i.e., nodes which connect the mental models of the interview partners the most. A high BC indicates these connecting nodes.
For visualizing the connectedness of the different interviews, we applied different colors to the nodes. Colors indicate from which level the variable originates (Hamburg, Berlin, or Germany). Cross-level variables (i.e., urban-national), are marked as orange. To access the importance of each node for the whole CLD, we calculated and visualized the BC of each node (the larger the node, the higher the BC) (Figure 9).
The final CLD was analyzed regarding normal distribution (Figure 11) of the CLD and normalized BC [0,1] of the nodes. Probability means the probability that any edge in the CLD has a specific number of edges, i.e., links to other nodes. For BC calculation, we used the algorithm by [70] and calculated the standard derivation of the BC for each node (Figure 12). The nodes with the highest BC are interpreted as the nodes which are most important in the CLD. For example, “Civil Society and Science” has a BC of 0.014755. Only 17 nodes have a BC higher than 0.005 (Figure 11). Therefore, the node has a high importance for the CLD compared to most of the other nodes.
Analyzing the BC distribution of the CLD, we find that 62 nodes are in the 80% quantile (19.25%), and 33 nodes are in the 95% quantile (10.25). The 80%-quantile equals 0.000438, the 90%-quantile equals 0.0028532.
We also applied a modularity optimization method to identify communities inside the CLD. The communities are defined through the strength of the relationships of each node to its neighbors [71]. By definition, nodes which have a high BC are more likely to link different communities of the CLD. Figure 9 illustrates the variables which are connecting different governance-levels, i.e., the urban with the national level. Although exploratory, the findings indicate that the BEK implements many of the requirements mentioned also in Hamburg and on the national level. Whereas the “Implementation of the BEK” is naturally very central, “forms of coordination” as an interface variable and “expansion of solar energy use” as an economical requirement connect the BEK to the requirements and objectives of other subsystems, such as to the coal phase-out on the national scale.
Thus, a preliminary conclusion might be that key requirements exist in the strategies that are not only needed to achieve certain objectives in the particular subsystem but also to provide an interface to other subsystems. This finding is particularly important to assess in future studies because interface variables could be significant factors for enhancing coordination and cooperation across governance-levels in strategy implementation. The latter is a necessary factor for a successful energy transition in Germany [3,13].

5.7. Filter

Figure 13, Figure 14 and Figure 15 show the most central variables from the 80%-quantile which are related to the implementation of energy related sub-objectives of each strategy. Figure 16 shows the complete 80%-quantile CLD (82 nodes and 130 edges).
All in all, we found that “innovativeness”, “reduction of final energy demand”, “expansion of solar energy use”, the “funding logic of renewables”, and “legitimation” are the variables which connect different governance-levels (i.e., city-national and city-city level). Therefore, these variables are most important for a cross-sectoral design of all analyzed strategies. These variables belong to the 86%-quantile of all variables, according to their BC. This underlines their importance for connecting different CLDs of strategies. In the following paragraph, we provide a detailed explanation of each of these key variables.
Innovativeness was described as important for promoting new heat sources, and for improving the technical potential of solar energy. Regional projects and municipal companies are the main drivers for innovativeness. This may be particularly important for the future use of the German pioneering role in promoting renewable energies. Reduction of final energy demand was perceived as important for CO2-reduction on the national level, heat turnaround and price security on the urban level and for expansion of solar energy use. Requirements for a successful reduction of the final energy demand are new building regulations, consultancy (e.g., for the craft sector), and thermal insulation of new buildings. The most central cross-sectoral variable was “Expansion of solar energy use”. It is seen as the main driver for implementing and developing new heat sources rather than decentralized energy production. This may be the result of decreasing subsidies for solar power by the national government, and its importance for hot water production. Expansion of solar energy use mainly depends on the social and economic acceptance of the renewable expansion. However, this finding ought to be interpreted with caution with respect to the low number of participants in our study. Another key requirement was “decreasing of electricity costs”.
Other important requirements were “accessibility of renewables for private households”, the “use of renewables on land owned by the state”, “utilization of economic potential of solar energy”, and the “financing of the energy grid in line with the Paris objectives”. According to one actor, decentralization cooperatives founded by small and medium sized companies or cooperatives are a significant source for providing stakeholder knowledge to the expansion of solar energy. However, the main constraint for solar energy expansion in general are still the lack of space (e.g., rooftops in cities) and high investment costs. In Berlin, a further constraint is the current tenant flow law which does not permit the indirect use of solar energy. However, a good network capacity of the energy grid in the city may lead to a faster energy transition. Although the “Funding logic of the renewables”, which refers to the subsidies by the state which is a significant factor for the actual usage of renewables, is described as important for reducing CO2-emissions in Germany [3], it only plays a minor role in our CLD because it was only mentioned by one actor. However, it is connected to a regional project “My Smart Life” in Hamburg, which develops and implements smart district heating systems in the city district of Hamburg Bergedorf. Sufficient funding of the used technology is a key requirement for these projects. Therefore, we find that this variable was underrepresented in our model. Legitimation is perceived as important for participation on the eye level of decision-makers in the process of promoting renewable energies in Germany. Legitimation requires fair structural change and a feasible coal exit in Germany. A one-sided focus on either climate or structural change might be a constraint for achieving legitimation in the political debate on climate change and renewables in Germany.

6. Discussion

We identified various interesting results which can inform different stakeholders on the German strategy landscape. These stakeholders are (1) the strategy development teams, (2) actors involved in strategy implementation, (3) experts, and (4) other stakeholders such as the civil society and other practitioners who are influenced by the strategies or its objectives.
When reviewing the German SDS, it becomes obvious that the central topics, for which specified measures were defined, are linked to the SDGs. We found however, that the SDGs do not represent most of the connecting variables based on the interviews. Our hypothesis is that they have been designed as a guiding framework on a global and national level and are originally not steered towards lower levels such as cities. Whereas the German sustainability agenda may provide helpful guidance to establish and implement a German Agenda 2030, the connection of the national directive to the urban level is still rather unspecific. Various themes could provide a basis for cooperation between state and city actors. For example, innovativeness, which is described as important by our interviewees for promoting new heat sources and for improving the technical potential of solar energy, has the potential to be a guiding topic for cooperation across governance levels. This can be achieved by coordinating the low-level requirements of urban actors with the high-level requirements of governmental actors. The actual political agenda could be designed in a way that it fulfils the needs of urban actors and, at the same time, the strategic requirements on the governance level.
Although exploratory, we can draw some first insights from our case study.
Whereas the literature review provided a good starting point for us to understand the situation, and to approach the correct experts for the interviews, the interviews were necessary to get more detailed and “hands-on” knowledge on the specific regional settings in Hamburg and Berlin.
All in all, we identified a strong dependency of the national strategy on the success of the urban strategies. Especially, the development and implementation of decentralized renewable energy sources such as CHP (combined heat and power) have been done by urban actors, such as municipal utilities, private energy suppliers, or innovative projects such as the NEW 4.0 project in Hamburg. However, financial support for these projects is often provided by the national ministries such as the Federal Ministry of Economics and Energy. Based on individual regional settings, the requirements of the cities are very different. Cities “demand” different functions and policy changes which lead to various implications for the implementation of the respective SDS.
Therefore, our findings strongly support the view that systematic and holistic approaches are important to consider for strategy development and communication across different strategies. Particularly in Germany, the federal governance system implies a multi-level policy system, where coordination across governance levels may be challenging. Participatory modeling can support this process by linking different viewpoints on these levels and building a foundation for learning and understanding different actor objectives. In addition, our methodology can help to report results from the process to the participating actors as well as inform the debate on strategy analysis while considering multiple inherent actor roles. We therefore advise policy makers of cities and on the national level, as well as responsible experts, to focus on shared key-requirements for strategy implementation and to collaboratively design holistic solutions.
During our interviews, we experienced that, with respect to our research approach, the interest for interactive, easy-to-use and structured participatory methods was very high. We responded to this need by developing and applying an enhanced participatory modeling method which combines elements from causal-loop modeling and requirements engineering. Regarding the study content, participating experts were most interested in our goal to describe multi-level government systems and strategy documents in terms of requirements based upon the individual viewpoints and objectives of actors who have a role in implementing the strategy (actor/user requirements). Thus, we found ourselves in the trade-off of structuring the interviews according to the requirements engineering literature, while not limiting the ability of stakeholders to provide their personal viewpoint in an open way. Therefore, we first introduced all interview partners to our set of different variable types, started the interviews by formulating objectives and measures together with the experts, and then derived requirements, followed by formulation of constraints, actors, objectives, and other variables. Future research might explore if the introduced variable types are sufficient to model the complexity of our type of systems. Although it was helpful to conduct most of the individual interviews face-to-face, it would be less time consuming to use an online platform for data collection. It might be considered to further develop and enhance such tools (i.e., to develop business models such as workshop formats), which also should incorporate helpful methodological guidance for the interviewee and moderators.
A comparison of SDS and monitoring their success usually requires comparable indicator-sets [72]. The revision of the German SDS as well as the poor coherence between the indicator sets of the strategies makes it very difficult to compare them. Therefore, an effective typology of comparable indicator sets is needed [73]. Alternatively, a different approach for comparing the success and the feasibility of current SDS in Germany could support more coherence inside the German strategy landscape and multi-level cooperation across governance-levels. In this paper, we have demonstrated such an approach to compare and link different SDS by applying a participatory requirements analysis method.
In political agendas and in private companies, prioritization of tasks plays a major role for success. For example, this is exemplified by election campaigns which often emphasize a central theme that has the potential to mobilize most undecided voters, or marketing campaigns of companies which manage the process of focusing on specific products in a specific time. Although prioritization may be helpful in setting a political agenda, our actual problems of climate change and already existing goals, such as the ambitious CO2 reduction goal of Germany, require fast changes in several aspects and dimensions. Many interviewees stated that if we do not follow all of the sub-objectives which are needed to achieve or goals, we might end up in a situation where trade-offs between these objectives hinder the effective and successful implementation of other planned measures. Therefore, based on our interviews, it may be advisable to step back from political prioritization of measures more to a trans-objective oriented approach with a focus on synergies of these objectives and related requirements and design integrated solutions based on these interlinked requirements.

7. Conclusions

We present a novel approach to describe expert knowledge on strategic documents such as SDS with causal models in terms of requirements. The aim of our approach is to make complex relationships between measures, actors, and requirements available for decision makers and to reveal constraints on the implementation of specific measures inside strategy documents. To realize this, a solution and user-oriented design approach to develop, manage and understand SDS is required. The challenge of existing strategies to connect the inherent objectives with each other, to build up coherence and to cooperate across multiple governance levels, leads to a sub-optimal effectiveness of the German SDS in relation to urban strategies. To strengthen the interface between these strategies, we developed a methodological framework which describes the application of a combined participatory modeling and requirements analysis approach. The framework suggests using requirements analysis from the SE domain to understand existing SDS, to formulate requirements for achieving these strategies, and to define linkages among several different strategies. The outcome of this qualitative modeling process are causal-loop diagrams which represent the available knowledge from the user point of view on these strategies. Because these models can become very complex, we suggest defining different types of requirements which help to structure the existing knowledge. These are economic, financial, generic, policy, social, and technological requirements. In addition, we define in total 12 variable types (actor, constraint, external, function, generic, interface, objective, process, requirement, resource, structure) which should be considered during model development.
To exemplify our approach, we applied the framework in an exploratory case study in the context of the German sustainability landscape. In Germany, an overall sustainability strategy, the German SDS, exists as well as action plans for federal states and cities.
We chose to focus on the German strategy as well as the strategies of the cities Berlin and Hamburg. Berlin and Hamburg have long traditions in sustainable development. Many local initiatives exist which help to implement the cities objectives for sustainable development. These initiatives also provide a significant contribution to achieve the national agenda. The specific tasks and working packages of these strategies are explained in the strategy documents which have been reviewed before the interviews were carried out.
The results of this review indicate that although specific tasks are formulated on the urban level, the strategies are not sufficiently connected with each other. In addition, we identified that, despite the intended general character of the national strategy, the added value of the national directive for individual actors on the urban level remains low. One reason is that mainly urban SDS provide the tools and mechanisms to implement national sustainability goals which have been formulated in the German SDS. However, the concrete role of urban strategies is not mentioned in the German SDS. Secondly, the national strategy does not specify concrete approaches which could be implemented by urban actors because, in relation to many urban strategies, the national directive is formulated in more general terms. This may hinder the German SDS in becoming a guiding framework for some actors on the urban level. What makes the German sustainability landscape even more complicated are different sustainability indicators of cities, federal states, and the country for measuring the effectiveness of the strategies applied. Hence, this makes it very complicated to compare them. We argue that the German SDS could provide more effective guidance, if low- and high-level requirements and constraints of actors would be integrated more into the strategy itself. One specific example is the willingness of actors on the urban and national levels to cooperate. To build up more platforms and also to highlight the role of political consultancies to provide helpful methods for networking and linking actors on different levels is necessary. Another example are concrete themes and objectives which exists on all governance levels and which could act like bridges across these levels. We found that “Coal phase-out”, “expansion of solar energy use”, “innovativeness”, “reduction of final energy demand”, the “funding logic of renewables”, and “legitimation” are could work as such cross-governance themes.
Such cross-sectoral themes have also been identified in the BEK which implements many of the requirements mentioned also in Hamburg and on the national level. These themes are “forms of coordination” as an interface variable and “expansion of solar energy use” as an economical requirement. They connect the BEK to the requirements and objectives of other SDS, such as to the coal phase-out on the German national scale. We conclude that key requirements exist in the strategies that are not only needed to achieve certain objectives in the individual SDS but also to provide an interface to other strategies. Identifying these key requirements is one of our main contributions in this paper.
Even though scientifically grounded and well formulated SDS exist for specific sectors, they are often insufficiently linked to each other. However, coordination between SDS has to be ensured, as their success might depend upon each other (e.g., national CO2 reduction goals can only be achieved if cities implement specific instruments). Therefore, we suggest a requirements-based analysis approach to reveal missing links between SDS, to design these links together with stakeholders and, therefore, to come up with holistic and integrated solution strategies to deal with implementation challenges.

8. Future Work

Our methodological framework offers an innovative way on how to approach coordination deficits among multiple SDS. The framework is steered towards dealing with complex relationships between several requirements to achieve these SDS. For example, it can be used by governmental actors and policy makers to implement existing SDS more effectively, and to enhance collaboration and cooperation between important actors.
In SE terms, our methodological framework represents a conceptual system design approach. Conceptual design is usually followed by a specific or detailed design process. This means that requirements are translated into functions. By this means, their effect on the overall system can be assessed and the system can be analyzed, tested, and implemented. Therefore, the next step would be a functional analysis as it has been applied by Halbe et al. (2014). Functions are defined as elements which consist of at least one structure (e.g., policy or measure) and one process (e.g., actions by an actor). This results in a model of the overall system structure, processes, and functions. However, challenges of our approach are the high complexity of the design process and the resulting models. Therefore, an easy and transparent communication of the results to stakeholders who are not familiar with the approach should be provided.
Functional analysis, as well as later steps, i.e., systems analysis including cost analysis, risk analysis, interface analysis, and data analysis, have to be further examined. This also includes the development of management plans for designing or redesigning real systems and the definition of physical architectures, processes and interfaces. Additionally, future studies can also identify the above-mentioned interface variables as they could be significant factors for enhancing coordination and cooperation across governance-levels in strategy implementation. This coordination is required for a successful energy transition in Germany [13].

Supplementary Materials

The following are available online at https://www.mdpi.com/2071-1050/11/21/5931/s1.

Author Contributions

Conceptualization, F.H.; Data curation, F.H.; Formal analysis, F.H.; Funding acquisition, C.P.-W.; Investigation, F.H.; Methodology, F.H. and J.H.; Project administration, F.H.; Resources, F.H.; Supervision, C.P.-W.; Visualization, F.H.; Writing—original draft, F.H.; Writing—review & editing, F.H., J.H. and C.P.-W.

Funding

Funding for this research was provided by the Alexander von Humboldt-Foundation in the framework of the Alexander von Humboldt-Professorship endowed by the Federal Ministry of Education and Research.

Acknowledgments

We thank all participating experts and interview partners for their fundamental contribution to this research. We also thank Stefanie Engel and Fabian Thomas who provided helpful input to the methodological approach, as well as Simon Hötten for providing us with the software “participate” for carrying out the online interviews.

Conflicts of Interest

The authors declare no conflict of interest. The funders neither had a role in the design of the study, nor in the collection, analyses, or interpretation of data; in the writing of the manuscript, or in the decision to publish the results.

References

  1. UN FCCC. The Paris Agreement. In Proceedings of the Conference of the Parties (COP), Paris, France, 30 November–12 December 2015. [Google Scholar]
  2. United Nations. Transforming our world: The 2030 Agenda for Sustainble Development. In Proceedings of the General Assembley 70 Session, New York, NY, USA, 15 September 2015. [Google Scholar]
  3. Deutsche Bundesregierung. German Sustainable Development Strategy; Deutsche Bundesregierung: Berlin, Germany, 2016. [Google Scholar]
  4. Le Blanc, D. Towards integration at last? The sustainable development goals as a network of targets. Sustain. Dev. 2015, 23, 176–187. [Google Scholar] [CrossRef]
  5. Müller, M.; Reutter, O. Vision Development towards a Sustainable North Rhine-Westphalia 2030 in a Science-Practice-Dialogue. Sustainability 2017, 9, 1111. [Google Scholar] [CrossRef]
  6. Nordrhein-Westfalen, L. Nachhaltigkeitsstrategie für Nordrhein-Westfalen; Landesregierung Nordrhein-Westfalen: Düsseldorf, Germany, 2016. [Google Scholar]
  7. Niedersächsisches Ministerium für Umwelt Energie und Klimaschutz Nachhaltigkeitsstrategie für Niedersachsen; Niedersächsisches Ministerium für Umwelt, Energie und Klimaschutz: Hannover, Germany, 2017.
  8. Senat der Freien und Hansestadt Hamburg. Hamburger Klimaplan; Senat der Freien und Hansestadt Hamburg: Hamburg, Germany, 2015. [Google Scholar]
  9. Senat der Stadt Berlin. Berliner Energie- und Klimaschutzprogramm 2030 (BEK 2030); Senatsverwaltung für Umwelt, Verkehr und Klimaschutz: Berlin, Germany, 2018. [Google Scholar]
  10. Hirschl, B.; Reusswig, F.; Weiß, J.; Bölling, L.; Bost, M.; Flecken, U.; Haag, L.; Heiduk, P.; Klemm, P.; Lange, C.; et al. Entwurf für ein Berliner Energie- und Klimaschutzprogramm (BEK), Endbericht; by Order of Senatsverwaltung für Stadtentwicklung und Umwelt: Berlin, Germany, 2015. [Google Scholar]
  11. Reusswig, F.; Hirschl, B.; Lass, W. Climate-Neutral Berlin 2050: Results of a Feasibility Study; Senatsverwaltung für Stadtentwicklung und Umwelt: Berlin, Germany, 17 March 2014. [Google Scholar]
  12. Gubaidullina, T.; Ivanova, N.; Absalyamova, S.; Yerina, T. Analysis of national strategies for sustainable development with regard to fundamental conceptual premise. J. Phys. Conf. Ser. 2018, 1141, 9. [Google Scholar] [CrossRef]
  13. German Council for Sustainable Development. The 2018 Peer Review on the German Sustainability Strategy; Rat für Nachhaltige Entwicklung: Berlin, Germany, 2018. [Google Scholar]
  14. Baldassarre, B.; Calabretta, G.; Bocken, N.M.P.; Jaskiewicz, T. Bridging sustainable business model innovation and user-driven innovation: A process for sustainable value proposition design. J. Clean. Prod. 2017, 147, 175–186. [Google Scholar] [CrossRef]
  15. Daae, J.; Boks, C. A classification of user research methods for design for sustainable behaviour. J. Clean. Prod. 2015, 106, 680–689. [Google Scholar] [CrossRef]
  16. Shapira, H.; Ketchie, A.; Nehe, M. The integration of Design Thinking and Strategic Sustainable Development. J. Clean. Prod. 2017, 140, 277–287. [Google Scholar] [CrossRef]
  17. Kuo, T.C.; Tseng, M.L.; Lin, C.H.; Wang, R.W.; Lee, C.H. Identifying sustainable behavior of energy consumers as a driver of design solutions: The missing link in eco-design. J. Clean. Prod. 2018, 192, 486–495. [Google Scholar] [CrossRef]
  18. Halbe, J.; Pahl-Wostl, C.; Adamowski, J. A methodological framework to support the initiation, design and institutionalization of participatory modeling processes in water resources management. J. Hydrol. 2018, 556, 701–716. [Google Scholar] [CrossRef]
  19. Heitmann, F.; Pahl-Wostl, C.; Engel, S. Requirements Based Design of Environmental System of Systems: Development and Application of a Nexus Design Framework. Sustainability 2019, 11, 3464. [Google Scholar] [CrossRef]
  20. Weilkiens, T. Systems Engineering with SysML/UML; Elsevier: Amsterdam, The Netherlands, 2007; ISBN 9780123742742. [Google Scholar]
  21. Valerdi, R.; Ross, A.M.; Rhodes, D.H. A Framework for Evolving System of Systems Engineering. CrossTalk 2007, 20, 28–30. [Google Scholar]
  22. Jamshidi, M. System of Systems Engineering; Jamshidi, M., Ed.; John Wiley & Sons, Inc.: Hoboken, NJ, USA, 2008; ISBN 9780470403501. [Google Scholar]
  23. Carr, J.J. Requirements engineering and management: The key to designing quality complex systems. TQM Mag. 2000, 12, 400–407. [Google Scholar] [CrossRef]
  24. American National Standards Institute. Guide to the Preparation of Operational Concept Documents (ANSI/AIAA G-043A-2012); American National Standards Institute: New York, NY, USA, 2012. [Google Scholar]
  25. Department of Defense Systems Management College. Systems Engineering Fundamentals; Defense Acquisition University Press: Fort Belvoir, VA, USA, 2001. [Google Scholar]
  26. Crowder, J.A.; Carbone, J.N.; Demijohn, R. Multidisciplinary Systems Engineering; Springer International Publishing: Cham, Switzerland, 2016; ISBN 978-3-319-22397-1. [Google Scholar]
  27. Baldwin, W.C.; Sauser, B.J.; Boardman, J. Revisiting “The Meaning of of” as a Theory for Collaborative System of Systems. IEEE Syst. J. 2015, 11, 2215–2226. [Google Scholar] [CrossRef]
  28. Office of the Deputy under Secretary of Defense. For Acquisition and Technology Systems and Software Engineering Systems Engineering Guide for Systems of Systems; Office of the Deputy under Secretary of Defense: Washington, DC, USA, 2008.
  29. Kossiakoff, A.; Sweet, W.N.; Seymour, S.J.; Biemer, S.M. Systems Engineering Principles and Practice; John Wiley & Sons, Inc.: Hoboken, NJ, USA, 2011; ISBN 9781118001028. [Google Scholar]
  30. Ceschin, F.; Gaziulusoy, I. Evolution of design for sustainability: From product design to design for system innovations and transitions. Des. Stud. 2016, 47, 118–163. [Google Scholar] [CrossRef]
  31. Nuseibeh, B.; Easterbrook, S. Requirements engineering: A roadmap. In Proceedings of the Conference on The Future of Software—ICSE ’00, Limerick, Ireland, 4–11 June 2000; Volume 1, pp. 35–46. [Google Scholar]
  32. Halbe, J.; Adamowski, J.; Bennett, E.M.; Pahl-Wostl, C.; Farahbakhsh, K. Functional organization analysis for the design of sustainable engineering systems. Ecol. Eng. 2014, 73, 80–91. [Google Scholar] [CrossRef]
  33. Hipel, K.W.; Obeidi, A.; Fang, L.; Kilgour, D.M. Sustainable Environmental Management from a System of Systems Engineering Perspective. Syst. Eng. Innov. 21st Century 2008, 443–481. [Google Scholar] [CrossRef]
  34. Hipel, K.W.; Fang, L.; Heng, M. System of systems approach to policy development for global food security. J. Syst. Sci. Syst. Eng. 2010, 19, 1–21. [Google Scholar] [CrossRef]
  35. Hipel, K.W.; Obeidi, A.; Fang, L.; Kilgour, D.M. Adaptive Systems Thinking in Integrated Water Resources Management with Insights into Conflicts over Water Exports. INFOR Inf. Syst. Oper. Res. 2008, 46, 51–70. [Google Scholar] [CrossRef]
  36. Hipel, K.W. Tackling climate change: A system of systems engineering perspective a research seminar by. In Proceedings of the 2013 International Conference on System Science and Engineering (ICSSE), Budapest, Hungary, 4–6 July 2013; Volume 46, pp. 11–12. [Google Scholar]
  37. Hipel, K.W.; Fang, L.; Kilgour, M. Decision Support Systems in Water Resources and Environmental Management Societal and Physical Systems Modeling. J. Hydrol. Eng. 2008, 13, 761–770. [Google Scholar] [CrossRef]
  38. Hipel, K.W.; Walker, S.B. Conflict analysis in environmental management. Environmetrics 2011, 22, 279–293. [Google Scholar] [CrossRef]
  39. Kilgour, D.M.; Hipel, K.W. The graph model for conflict resolution: Past, present, and future. Group Decis. Negot. 2005, 14, 441–460. [Google Scholar] [CrossRef]
  40. Lockton, D.; Harrison, D.; Stanton, N.A.; Lockton, D.; Harrison, D.; Stanton, N.A. Behaviour Exploring Design Patterns for Sustainable Behaviour. Design J. 2013, 16, 431–459. [Google Scholar] [CrossRef]
  41. Halbe, J.; Adamowski, J. Modeling sustainability visions: A case study of multi-scale food systems in Southwestern Ontario. J. Environ. Manag. 2019, 231, 1028–1047. [Google Scholar] [CrossRef] [PubMed]
  42. Inam, A.; Adamowski, J.; Halbe, J.; Prasher, S. Using causal loop diagrams for the initialization of stakeholder engagement in soil salinity management in agricultural watersheds in developing countries: A case study in the Rechna Doab watershed, Pakistan. J. Environ. Manag. 2015, 152, 251–267. [Google Scholar] [CrossRef] [PubMed]
  43. Vennix, J. Group Model Building: Facilitating Team Learning Using System Dynamics; John Wiley & Sons Ltd.: Chichester, UK, 1996; Volome 49, ISBN 9780471953555. [Google Scholar]
  44. Wever, R.; van Kuijk, J.; Boks, C. User-centred design for sustainable behaviour. Int. J. Sustain. Eng. 2008, 1, 9–20. [Google Scholar] [CrossRef]
  45. Ludvig, J.; Daae, Z. Informing Design for Sustainable Behaviour; Norwegian University of Science and Technology: Trondheim, Norway, 2014; ISBN 9788232601745. [Google Scholar]
  46. Arnold, E.P. Systems Engineering and Project Management Intersects and Confusion. INCOSE Int. Symp. 2012, 22, 1207–1232. [Google Scholar] [CrossRef]
  47. Sharon, A.; de Weck, O.L.; Dori, D. Project management vs. systems engineering management: A practitioners’ view on integrating the project and product domains. Syst. Eng. 2011, 14, 427–440. [Google Scholar] [CrossRef]
  48. Xue, R.; Baron, C.; Esteban, P.; Zheng, L.; Jakjoud, A. Alignment of practices for an efficient management of Systems Engineering processes during the development of systems of systems. In Proceedings of the 2015 Third World Conference on Complex Systems (WCCS), Marrakech, Morocco, 23–25 November 2015; pp. 1–6. [Google Scholar]
  49. Egyed, A.; Grünbacher, P.; Heindl, M.; Biffl, S. Value-Based Requirements Traceability: Lessons Learned. In Proceedings of the 15th IEEE International Requirements Engineering Conference (RE 2007), Delhi, India, 15–19 October 2007; pp. 240–257, ISBN 0-7695-2935-6. [Google Scholar]
  50. Blanchard, B.S.; Blyler, J.E. System Engineering Management; John Wiley & Sons, Inc: Hoboken, NJ, USA, 2016; ISBN 9781119178798. [Google Scholar]
  51. Huz, S.; Andersen, D.F.; Richardson, G.P.; Boothroyd, R. A framework for evaluating systems thinking interventions: An experimental approach to mental health system change. Syst. Dyn. Rev. 1997, 13, 149–169. [Google Scholar] [CrossRef]
  52. Hipel, K.W.; Ben-Haim, Y. Decision making in an uncertain world: Information-gap modeling in water resources management. IEEE Trans. Syst. Man Cybernet. Part C (Appl. Rev.) 1999, 29, 506–517. [Google Scholar] [CrossRef]
  53. Ackoff, R.L. Towards a System of Systems Concepts. Manag. Sci. 1971, 17, 661–671. [Google Scholar] [CrossRef]
  54. Sterman, J. Business Dynamics: System Thinking and Modeling for a Complex World; Irwin McGraw-Hill: Boston, MA, USA, 2000. [Google Scholar]
  55. Wasserman, S.; Faust, K. Social Network Analysis; Cambridge University Press: Cambridge, UK, 1994; ISBN 9780511815478. [Google Scholar]
  56. Bastian, M.; Heymann, S.; Jacomy, M. Gephi: An open source software for exploring and manipulating networks. BT—International AAAI Conference on Weblogs and Social. In Proceedings of the Third International AAAI Conference on Weblogs and Social Media, San Jose, CA, USA, 17–20 May 2009; pp. 361–362. [Google Scholar]
  57. Ridder, D.; Mostert, E.; Wolters, H.A. Learning Together to Manage Together—Improving Participation in Water Management; University of Osnabrueck, Institute of Environmental Systems Research: Osnabrück, Germany, 2005; ISBN 3000169709. [Google Scholar]
  58. Keating, C.; Rogers, R.; Unal, R.; Dryer, D.; Sousa-Poza, A.; Safford, R.; Peterson, W.; Rabadi, G. System of systems engineering. IEEE Eng. Manag. Rev. 2008, 36, 62. [Google Scholar] [CrossRef]
  59. Freeman, L.C. A Set of Measures of Centrality Based on Betweenness. Sociometry 1977, 40, 35. [Google Scholar] [CrossRef]
  60. Freeman, L.C. Centrality in social networks conceptual clarification. Soc. Netw. 1979, 1, 215–239. [Google Scholar] [CrossRef]
  61. Grebitus, C. Food Quality from the Consumer’s Perspective: An Empirical Analysis of Perceived Pork Quality; Universität Kiel: Göttingen, Germany, 2008. [Google Scholar]
  62. Jacomy, M.; Venturini, T.; Heymann, S.; Bastian, M. ForceAtlas2, a continuous graph layout algorithm for handy network visualization designed for the Gephi software. PLoS ONE 2014, 9, 98679. [Google Scholar] [CrossRef] [PubMed]
  63. Singh, R.K.; Murty, H.R.; Gupta, S.K.; Dikshit, A.K. An overview of sustainability assessment methodologies. Ecol. Indic. 2012, 15, 281–299. [Google Scholar] [CrossRef]
  64. Deutsche Bundesregierung. Nationale Nachhaltigkeitsstrategie, Fortschrittsbericht; Informationsamt Bundesregierung: Berlin, Germany, 2012. [Google Scholar]
  65. Bundesministerium für Wirtschaft und Energie (BMWi). Nationaler Aktionsplan Energieeffizienz (NAPE); BMWi: Berlin, Germany, 2014; p. 44. [Google Scholar]
  66. Capel, J.; Beba, W. NEW 4.0 Norddeutsche Energiewende: Innovation Alliance of Hamburg and Schleswig-Holstein for the Energy System of the Future; Project Management NEW 4.0: Hamburg, Germany, 2017. [Google Scholar]
  67. Senatsverwaltung für Umwelt, Verkehr und Klimaschutz. Berliner Energie- und Klimaschutzprogramm 2030 Umsetzungskonzept für den Zeitraum bis 2021; Senatsverwaltung für Umwelt, Verkehr und Klimaschutz: Berlin, Germany, 2016; p. 170. [Google Scholar]
  68. Reusswig, F.; Becker, C.; Lass, W.; Haag, L.; Hirschfeld, J.; Knorr, A.; Lüdeke, M.K.B.; Neuhaus, A.; Pankoke, C.; Rupp, J.; et al. Anpassung an die Folgen des Klimawandels in Berlin (AFOK): Klimaschutz Teilkonzept; Hauptbericht; in Order by Senatsverwaltung für Stadtentwicklung und Umwelt; Sonderreferat Klimaschutz und Energie (SRKE): Potsdam, Germany, 2016. [Google Scholar]
  69. Ostrom, E. A Behavioral Approach to the Rational Choice Theory of Collective Action: Presidential Address. Am. Polit. Sci. Assoc. 1997 1998, 92, 1–22. [Google Scholar]
  70. Brandes, U. A faster algorithm for betweenness centrality. J. Math. Sociol. 2001, 25, 163–177. [Google Scholar] [CrossRef]
  71. Blondel, V.D.; Guillaume, J.L.; Lambiotte, R.; Lefebvre, E. Fast unfolding of communities in large networks. J. Stat. Mech. Theory Exp. 2008. [Google Scholar] [CrossRef]
  72. Albert, C.; Bonn, A.; Burkhard, B.; Daube, S.; Dietrich, K.; Engels, B.; Frommer, J.; Götzl, M.; Grêt-Regamey, A.; Job-Hoben, B.; et al. Towards a national set of ecosystem service indicators: Insights from Germany. Ecol. Indic. 2016, 61, 38–48. [Google Scholar] [CrossRef]
  73. Smeets, E.; Weterings, R.; Centre, T.N.O.; Bosch, P.; Büchele, M.; Gee, D. Environmental indicators: Typology and overview Prepared by: Project Managers. Eur. Environ. Agency 1999, 25, 19. [Google Scholar]
Figure 1. Main aspects and overlaps between requirements analysis and causal-loop modeling.
Figure 1. Main aspects and overlaps between requirements analysis and causal-loop modeling.
Sustainability 11 05931 g001
Figure 2. Methodological framework for participatory requirements-based strategy design.
Figure 2. Methodological framework for participatory requirements-based strategy design.
Sustainability 11 05931 g002
Figure 3. Participatory System-of-Systems (SoS) modeling framework.
Figure 3. Participatory System-of-Systems (SoS) modeling framework.
Sustainability 11 05931 g003
Figure 4. Graph H.
Figure 4. Graph H.
Sustainability 11 05931 g004
Figure 5. Graph G.
Figure 5. Graph G.
Sustainability 11 05931 g005
Figure 6. Graph H.
Figure 6. Graph H.
Sustainability 11 05931 g006
Figure 7. Graph J (sum of G and H).
Figure 7. Graph J (sum of G and H).
Sustainability 11 05931 g007
Figure 8. Multi-level representation of a causal-loop model.
Figure 8. Multi-level representation of a causal-loop model.
Sustainability 11 05931 g008
Figure 9. Final overall CLD.
Figure 9. Final overall CLD.
Sustainability 11 05931 g009
Figure 10. Interview variable types.
Figure 10. Interview variable types.
Sustainability 11 05931 g010
Figure 11. Normal distribution of the requirements diagrams of Hamburg, Berlin, and Germany.
Figure 11. Normal distribution of the requirements diagrams of Hamburg, Berlin, and Germany.
Sustainability 11 05931 g011
Figure 12. Normal distribution of the betweenness-centrality of the nodes of Hamburg, Berlin, and Germany.
Figure 12. Normal distribution of the betweenness-centrality of the nodes of Hamburg, Berlin, and Germany.
Sustainability 11 05931 g012
Figure 13. Berlin.
Figure 13. Berlin.
Sustainability 11 05931 g013
Figure 14. Hamburg.
Figure 14. Hamburg.
Sustainability 11 05931 g014
Figure 15. Germany.
Figure 15. Germany.
Sustainability 11 05931 g015
Figure 16. 80%-quantile causal-loop diagram (CLD) (Hamburg, Berlin, Germany).
Figure 16. 80%-quantile causal-loop diagram (CLD) (Hamburg, Berlin, Germany).
Sustainability 11 05931 g016
Table 1. Strengths of System-of-Systems Engineering (SoSE) for sustainable development strategy (SDS) design.
Table 1. Strengths of System-of-Systems Engineering (SoSE) for sustainable development strategy (SDS) design.
Strength of SoSEExamples from the Engineering LiteratureExamples for SE in an Environmental Context
A structured design approach to develop, implement, test and evaluate systemsDetailed description of SoSE steps [26,29]Conceptual Nexus design framework “FRESCO” [19]; Sustainable system design concepts [16,30]
Provisioning of methodological tools to apply each system design step (e.g., requirements elicitation and analysis, functional analysis and risk assessments)Requirements analysis [25,31]; Functional analysis [25,32]; Risk assessments (e.g., [25])Systems Engineering and environmental management [33,34,35,36]; Decision-making tools [37,38,39]; Mental models (e.g., [40])
A user-oriented design approach ensuring a system design which fulfils the user requirements on the systemParticipatory modeling with causal-loop diagrams [18,41,42,43]User-oriented sustainable product design (e.g., [14,40,44,45])
Combined design and project management methods which help to guide also larger design processesProject management and systems engineering overlaps (e.g., [29,46,47,48])-
Standard procedures for evaluating to what degree the user requirements are represented in the actual systemTraceability principles (mainly technological) (e.g., [31,49,50] and frameworks for evaluating system interventions (e.g., [51])Dealing with high levels of uncertainty in water resources management [52]
Table 2. Variable types.
Table 2. Variable types.
TypeAbbreviationDefinition
ActorADescribes an actor or actor group which is part of the system design model
ConstraintCA variable which blocks, limits or mitigates the successful implementation of a system design, i.e., a non-functional requirement
ExternalEA variable which is beyond the defined system boundaries
FunctionF“Discrete actions necessary to achieve the system’s objectives.” [25]
GenericGVariables which cannot be defined as any other variable type
InterfaceI“An interface represents a crossing point of an object to other objects, or more generally to its environment.” [19]
ObjectiveOA goal or aim which may be implemented by the overall SoS or its subsystems
ProcessP“A process is a sequence of behavior that constitutes a system and has a goal producing function.” [53] (p. 666).
RequirementR“Requirements are defined as factors to be fulfilled for an actor to achieve an individual task in the operational environment.” [19] (p. 9)
ResourceRSA resource is a “source of supply or support” (Miriam-Webster dictionary). We refer to a resource as a nature environmental source.
StructureSThe structure of a system is specified by the relationships between system elements ([32]; in Heitmann et al., 2019b)

Share and Cite

MDPI and ACS Style

Heitmann, F.; Halbe, J.; Pahl-Wostl, C. Integrated and Participatory Design of Sustainable Development Strategies on Multiple Governance Levels. Sustainability 2019, 11, 5931. https://doi.org/10.3390/su11215931

AMA Style

Heitmann F, Halbe J, Pahl-Wostl C. Integrated and Participatory Design of Sustainable Development Strategies on Multiple Governance Levels. Sustainability. 2019; 11(21):5931. https://doi.org/10.3390/su11215931

Chicago/Turabian Style

Heitmann, Fabian, Johannes Halbe, and Claudia Pahl-Wostl. 2019. "Integrated and Participatory Design of Sustainable Development Strategies on Multiple Governance Levels" Sustainability 11, no. 21: 5931. https://doi.org/10.3390/su11215931

APA Style

Heitmann, F., Halbe, J., & Pahl-Wostl, C. (2019). Integrated and Participatory Design of Sustainable Development Strategies on Multiple Governance Levels. Sustainability, 11(21), 5931. https://doi.org/10.3390/su11215931

Note that from the first issue of 2016, this journal uses article numbers instead of page numbers. See further details here.

Article Metrics

Back to TopTop