Next Article in Journal
Optimizing Multimodal Transportation Routes Considering Container Use
Next Article in Special Issue
Supply Chain Contracts under New Product Development Uncertainty
Previous Article in Journal
The Spatial and Temporal Evolution of Logistics Enterprises in the Yangtze River Delta
 
 
Font Type:
Arial Georgia Verdana
Font Size:
Aa Aa Aa
Line Spacing:
Column Width:
Background:
Article

Evolutionary Game Analysis on Knowledge-Sharing Behavior in the Construction Supply Chain

1
School of Economics and Management, Chang’an University, Xi’an 710064, China
2
Center for Green Engineering and Sustainable Development, Xi’an 710064, China
*
Author to whom correspondence should be addressed.
Sustainability 2019, 11(19), 5319; https://doi.org/10.3390/su11195319
Submission received: 29 August 2019 / Revised: 21 September 2019 / Accepted: 24 September 2019 / Published: 26 September 2019
(This article belongs to the Special Issue Collaborative Supply Chain Networks)

Abstract

:
With the increasingly fierce global competition, supply chain members have to collaborate to respond to constant changes. Efficient knowledge sharing is the basis for the collaborative operation of the supply chain. Combined with evolutionary game theory, this paper studies the evolution path and stable strategies of knowledge-sharing behavior between construction supply chain enterprises, analyzing the factors that influence the establishment of a knowledge-sharing alliance. A numerical simulation is conducted to verify theoretical results and the effects of parameter adjustments on behavioral evolution. The results indicate that under different income relationships, knowledge-sharing behavior in construction supply chains presents different evolutionary trajectories. In addition, the probability of accepting the sharing strategy is positively correlated with the penalty coefficient, incentive coefficient, trust level, and synergy coefficient and negatively correlated with cost. This study provides a new perspective and theoretical guidance for establishing stable knowledge collaboration between enterprises and promoting the sustainable development of the construction supply chain.

1. Introduction

With increasingly fierce market competition, supply chain participants have been unable to respond to market changes and meet consumer needs on their own. Collaboration has become an increasingly important concept in supply chains, because enterprises have realized that collaboration is essential to maintaining a sustainable competitive advantage in a volatile market environment [1]. The core problem of supply chain management is how to coordinate independent participants so that they can become a whole and achieve the goal of optimizing market conditions. Therefore, enterprises usually cooperate with other enterprises in order to obtain external knowledge more effectively, trying to combine and coordinate the knowledge flow of a supply chain. [2,3,4]. The essence of supply chain collaboration is the combination and coordination of objects such as knowledge, goals, and funds, to optimize supply chain performance [5]. The rational use of existing assets to share knowledge to achieve coordinated supply chain operations is important for maintaining supply chain sustainability [6]. The collaborative operation of supply chain enterprises is inseparable from the support of knowledge. If efficient knowledge circulation among supply chain enterprises can be guaranteed, it is possible to improve the overall performance of the supply chain through an accurate understanding of the market environment and avoid risks. Ultimately, strategies to improve predictability are seen as key factors to ensure sustainable competitive advantage [7]. Unlike general supply chains, the temporary and fragmentary characteristics of the construction supply chain increase the difficulty of information flow. Therefore, how to achieve effective collaboration and knowledge sharing in the construction supply chain have attracted wide attention [8].
The construction industry is one of the pillar industries of China’s national economy. Together with the transportation industry, it bears an important responsibility to promote sustainable social development [9]. As the most direct living environment of the construction industry, the continuous and stable development of the supply chain is related to the prosperity of the country. Due to the occlusion of information, it is more difficult for the parties in the supply chain to coordinate operations, mainly represented by the independent closed structure among the owners, contractors, suppliers, designers and supervisory entities [10]. The fragmentation of the construction supply chain will have a negative impact on the efficiency of knowledge dissemination, which will hinder the collaboration of all parties [11]. However, information uncertainty and asymmetry are ubiquitous in construction supply chains [12]. For example, the owner knows little about the technical characteristics required by the designer and the contractor, which leads to an increase in the difficulty of the modification work and an extension of the construction period. The designer often does not know enough about the credibility and ability level of the construction unit. Therefore, in order to ensure the quality and safety of the project, the amount of material input may increase, which leads to waste in the supply chain. The supervisory unit does not know enough about the technology and capabilities of the construction unit, so often cannot reach the expected goals of the owners. The reason for all these problems is the inefficient circulation and utilization of knowledge in the construction supply chain, which makes the whole supply chain redundant and unhealthy. In addition, for the sake of safeguarding its own interests, the members of the supply chain are often willing to accept the knowledge shared by others rather than share their own knowledge with others. This “free-riding” behavior also hinders supply chain members from establishing knowledge cooperation.
In order to optimize the communication mechanism between construction supply chain members and improve the efficiency of coordinated operations, effective knowledge sharing is essential [13]. Through effective knowledge-sharing activities, the enterprises can create products and services that are valuable to the supply chain such as environmentally-friendly products, thereby promoting sustainable supply chain development [14]. The essence of sustainable supply chain management is to manage resources such as knowledge to achieve the goal of maximizing economic profit and minimizing environmental pollution [15]. Through the effective management of logistics, knowledge flow and capital flow, a coordinated supply chain can be created to meet the requirements of stakeholders and improve the sustainability of the organization [14]. In particular, efficient knowledge flow is the key to maintaining the sustainable competitive advantage of a supply chain. The in-depth cooperation of knowledge creation subjects can condense member companies and promote the sustainable development of the supply chain [16]. Therefore, optimizing the knowledge sharing mechanism among nodal enterprises is of great significance for promoting coordinated operations and realizing the sustainable development of the supply chain.
Most of the existing studies systematize knowledge-sharing behavior, ignoring the interaction of knowledge sharing among enterprises in the supply chain. However, behavioral interactions between node enterprises have an important impact on the entire supply chain. In addition, these studies are mainly based on static and qualitative perspectives. It is of great practical significance to analyze the evolution process and influencing factors of the knowledge-sharing behavior of supply chain members from dynamic and quantitative perspectives. Due to these gaps in the literature, the main contributions of our research are twofold. First, intending to analyze the dynamic evolution path and influencing factors of knowledge-sharing behavior in supply chain nodes from the micro level, providing a new perspective for optimizing supply chain knowledge sharing mechanism. Second, combing evolutionary game theory with numerical simulation methods to analyze and simulate the process of knowledge-sharing strategy selection among supply chain enterprises, enriching present research results. In short, we try to provide a new perspective and theoretical guidance for optimizing the knowledge coordination mechanism and enhancing capacity for the sustainable development of the construction supply chain.
The remainder of this paper is organized as follows. Section 2 reviews a selection of relevant literature informing the research questions and the design of the research approach. In Section 3, an evolutionary game model is established to study knowledge-sharing strategies in construction supply chains, and we analyze the evolutionary stability point in two different situations based on the Jacobian matrix and the evolutionary phase diagram. Section 4 includes a numerical simulation with an analysis of the results. Finally, conclusions and implications are offered in Section 5.

2. Literature Review

This section focuses on the literature related to collaboration and knowledge sharing in the construction supply chain. The concept of collaboration in supply chains has been described by related research. Narus and Anderson [17] argued that collaboration is the cooperation between two independent companies to share competency information. Phillips and Lawrence [18] hold that supply chain collaboration is an organizational relationship in which companies are willing to share knowledge with other participants to solve problems together. Cannella and Ciancimino state that supply chain collaboration involves translating individual suboptimal solutions into integrated solutions by sharing knowledge [19]. At present, supply chain collaboration has become a research hotspot in the field of supply chain management and has been extensively focused on. Mounkes and Paul [20] found that effective collaboration requires the integration of knowledge scattered and scientifically identified order parameters that affect the collaborative operation of the supply chain. Chatzoglou and Maria [21] proposed a model to evaluate the contribution of knowledge sharing to supply chain collaboration. The research results show that knowledge sharing and supply chain design have an important impact on supply chain collaborative management. Per [22] studied the project supply chain collaboration and considered that the supply chain in the project is a whole, including the dimensions of strength, scope, time and depth, and there is a strong connection among them. Maridke and Vincent [23] studied collaboration in the construction supply chain, indicating that supply chain collaboration is influenced by factors such as strategic objectives, information sharing and trust. Usha [24] analyzed the impact of supply chain collaboration on operational success through empirical research, indicating that whether the company considers long-term cooperation depends on the current state of collaboration.
The construction supply chain is project-oriented; thus, the end of the project may cause instability in the supply chain, which greatly reduces the efficiency of knowledge sharing. In addition, the construction supply chain is less informative, and information flows slowly in the supply chain, resulting in unnecessary resource consumption. The lag of knowledge flow in the supply chain affects the ability of supply chain coordination, increases the cost of supply chain operations, thereby hindering the sustainable development of the supply chain. Therefore, one of the key issues of improving operational efficiency of the construction supply chain involves carrying out efficient knowledge-sharing activities among members. Hari et al. [25] point out that there is a need for a coherent and fruitful approach between construction companies to exploit existing knowledge. Khalfan et al. [26] hold that knowledge activities, including knowledge sharing, are able to enhance the performance level of construction supply chain node enterprises and facilitate the coordination of various nodes. Lin et al. [27] and Woo et al. [28] hold that knowledge sharing and management in a construction supply chain can continuously promote the integration and utilization of tacit knowledge in the construction supply chain by establishing a dynamic knowledge management map platform. Knowledge sharing and integration in the construction supply chain can maximize supply chain knowledge resources as intellectual capital and realize value-added knowledge [10,29].
Evolutionary game theory has evolved into an active field of research that combines the concepts of biology, evolution, nonlinear dynamics, and game theory, intuitively reflecting the relationship between policy changes and evolutionary results [30]. Evolutionary game theory combines game analysis and evolution dynamics organically, and examines economic phenomena based on bounded rationality, which is able to explain the longer-term economic and trading relationships between a large number of individuals with unfixed objects in the biological world. There are many articles use the game model to study knowledge sharing. Bandyopadhyay and Pathak [31] established a game model between contractors, concluding that sharing heterogeneous knowledge can improve organizational performance. Samieh and Wahba [32] used the game model to study knowledge sharing in virtual communities, indicating that multiparty games can express the benefits of knowledge sharing among individuals. Ding and Huang [33] came to conclusions that facilitate knowledge creation by building a game framework, claiming that a certain proportion of leaders and followers may lead to unstable cooperation. Shih et al. [34] believe that learning types and stimuli have an impact on knowledge sharing in collaborative teams. Li and Jhang [35] hold that investment in information technology and incentive mechanisms are conducive to improving knowledge benefits. Cai and Kock [36] use game theory to study electronic co-evolution and propose strategies to boost joint performance. The reason for using the evolutionary game method to study knowledge-sharing behavior in the construction supply chain lies mainly in the attributes of the knowledge sharing. The bounded rationality hypothesis in evolutionary game theory is consistent with the rules of knowledge-sharing behavior among enterprises. In the process of knowledge sharing, the decision-making behavior of an enterprise is a random and repetitive game process; thus, replicator dynamics can be used to simulate the process of individual strategy adjustment. Meanwhile, the number of members in the supply chain is variable, and there is a long-term cooperative competition relationship between them. Therefore, it is appropriate to use evolutionary game theory to analyze knowledge-sharing behavior and influencing factors of supply chain enterprises.
By reviewing the relevant literature, this paper collates the factors affecting knowledge sharing in the construction industry and ultimately selects the key influencing factors to construct the knowledge income matrix. Ni [37] demonstrates that the factors affecting knowledge sharing in the construction industry include trust, cost and incentive mechanisms. Fong [38] believes that the factors affecting knowledge sharing in the construction industry mainly include trust and incentive collaboration. Lin [32] argues that the factors influencing knowledge sharing include trust, coercion, incentives, costs, and the willingness to share knowledge. Zhang [39] proposes that from the environmental and object perspectives, the factors affecting knowledge sharing in construction projects are trust, motivation and interpersonal relationship. Mary and Helena [34] hold that incentives can promote knowledge sharing in the construction industry. Feng [40] believes that supply chain knowledge collaboration can promote knowledge sharing. Wasan’s [41] findings show that there are six key factors that affect the knowledge management of construction industries: visionary leadership, rewards or incentives, collaboration, trust, information technology, and individual competency or skills.
Existing research on supply chain collaboration mainly focuses on structural optimization, relationship maintenance between enterprises, and performance evaluation. However, supply chain members have increasingly started to notice the importance of knowledge sharing. At present, research on knowledge sharing in construction supply chains mainly focuses on mechanisms, influencing factors and decision making of knowledge sharing. These studies are mainly based on static research, and most of them focus on qualitative analysis, with dynamic quantitative analysis being relatively rare. From the perspective of evolutionary game theory, this paper studies the dynamic evolution of knowledge-sharing behavior among the members of construction supply chains, analyzes how knowledge sharing factors affect knowledge-sharing behavior, and puts forward measures to optimize knowledge sharing, which can provide guidance for improving the degree of enterprise collaboration and promoting the sustainable development of supply chains.

3. Methodology

In the process of knowledge sharing, each participant will first consider his/her own knowledge-sharing investment and benefits, and other participants’ decisions. If an enterprise participates in knowledge-sharing activities, in addition to estimating its own investment and benefits, it must also consider whether the knowledge shared by the other party is valuable. Participants, through access to information and experience, adjust their decision-making strategy, and this complex dynamic process of adjusting their strategy aids in continuous learning and finally determines the optimal stability strategy in line with the core idea of evolutionary game theory. Accordingly, it is rational to study the evolution mechanism of knowledge sharing among construction supply chain nodes combined with evolutionary game theory.
The game theory model often consists of three essential factors: the pay-off matrix, players and strategy spaces. Combining the characteristics of supply chain knowledge sharing, we build the following game model.

3.1. System Model

3.1.1. Players

Suppose that the enterprises participating in knowledge-sharing activities of supply chain enterprises are enterprise A and enterprise B. A and B represent up-river and down-river enterprises involved in knowledge sharing.

3.1.2. Strategy Space

The companies involved in knowledge-sharing activities can choose to share knowledge or not. Hence, there are four different combinations of strategies: (share, no share), (no share, share), (share, share) and (no share, no share).

3.1.3. Pay-Off Matrix

In view of the characteristics of supply chain knowledge-sharing activities, we assume a series of pay-off parameters, as shown below. The subscript ‘‘i’’ is used throughout to represent the index for the game parties, ‘‘i’’ = A, B. In addition, the symbols and parameters utilized throughout the paper are listed in Table 1.
Knowledge absorption ability refers to the ability of enterprises to transform and utilize external knowledge. In addition, knowledge-sharing behavior inevitably generates costs, including time, labor, and technical costs. In a construction industry supply chain, the basic premise is that trust will have a positive impact on the success of activities [42]. Additionally, Urszula [43] believes that, in construction supply chains, trust can promote the exchange of knowledge, facilitates the settlement of conflicts and the increase in working efficiency, and promotes the formulation of efficient work programs. In a construction supply chain, knowledge collaboration refers to the integration of the information systems in the supply chain through certain information technologies based on knowledge exchange among enterprises in the supply chain, realizing the real-time, accurate and efficient sharing of information on, for example, engineering projects and engineering material logistics. Knowledge collaboration can produce synergistic effects of 1+1>2. Supply chain members have different goals and are often reluctant to share core knowledge that represents their own competitive advantage; therefore, they are always willing to obtain the knowledge provided by others but are reluctant to share their own knowledge. Such behavior is called free-riding behavior, and this behavior will dampen the enthusiasm of the knowledge-sharing party and eventually lead to the disintegration of the knowledge-sharing alliance. To avoid this situation, an effective punishment mechanism should be established; thus, the penalty coefficient is introduced for discussion.
In the evolutionary game model, two players play games with limited rationality and uncertainty, and the model presented here takes into account the pure strategy for each player. The pure strategies of the supplier are as follows: (1) sharing: willing to share knowledge with the manufacturer; and (2) no sharing: unwilling to share knowledge with the manufacturer. The manufacturer’s pure strategies are as follows: (1) sharing: willing to share knowledge with the supplier; and (2) no sharing: unwilling to share knowledge with the supplier. Table 1 describes the income matrix of the game parties. Among suppliers, some adopt the sharing strategy, while others adopt the no-sharing strategy.
According to the above parameters and assumptions, we obtain payment matrix as shown in Table 2.
Let x represents the probability that upstream enterprises are willing to share knowledge, and 1 − x represents the probability that upstream enterprises are unwilling to share knowledge. Similarly, y represents the probability that downstream enterprises are willing to share knowledge, while 1 − y represents the probability that downstream companies are unwilling to share knowledge Therefore, (x, y)ϵ[0,1]*[0,1]. When two players are dissatisfied with the level of revenue, the player (enterprise A and enterprise B) will adjust his/her strategy in the process of game; thus, x and y will change.
Let U A S and U A N be the pay-offs of enterprise A when taking the two different strategies (share, no share). According to Table 1, U A S and U A N are as follows.
U A S = y R s 1 + ( 1 y ) R s 2
U A N = y R s 3 + ( 1 y ) R s 4
R s 1 = D K A + K B T A α β
R s 2 = C A
R s 3 = K B P K B
R s 4 = 0
Similarly, the pay-off of enterprise B with the two different strategies (share, no share) are U B S and U B N .
U B S = x R m 1 + ( 1 x ) R m 2
U B N = x R m 3 + ( 1 x ) R m 4
R m 1 = D K B + K A T B α β C B
R m 2 = K A T B P K A
R m 3 = C B
R m 4 = 0
According to the above pay-off analysis, the average pay-off of enterprise A (UA) and enterprise B (UB) can be defined as follows.
U A = x U A S + ( 1 x ) U A N
U B = y U B S + ( 1 y ) U B N

3.2. Analysis of the Evolutionarily Stable Strategy

The strategy will be used by the majority of the population that gains expected pay-offs that are greater than the average pay-off. In the evolutionary game theory concept, replicator dynamics equations are used to study which strategies will be chosen by majority of enterprises at a certain point in time. The replicator dynamic equation of enterprises can be calculated as follows:
f ( x ) = d x / d t = x ( U A S U A ) = x ( 1 x ) [ y ( D K A +   K B T A α β K B T A + P K B ) C A ]
f ( y ) = d y / d t = y ( U B S U B ) = y ( 1 y ) [ x ( D K B +   K A T B α β K A T B + P K A ) C B ]
In equilibrium, f(x) = 0 and f(y) = 0. Based on the dynamic Equations (15) and (16), we can get the replicated dynamic equilibrium points:
( 0 ,   0 ) ,   ( 0 ,   1 ) ,   ( 1 ,   0 ) ,   ( 1 ,   1 ) , ( C B D K B +   K A T B α β K A T B + P K B , C A D K A +   K B T A α β K B T A + P K A )
Friedman (1998) pointed out that the local asymptotic stability method can be used for the Jacobian matrix to ascertain whether the evolutionary system’s equilibrium point is asymptotically stable [44]. To that end, we require the following:
J = [ F ( x ) / x F ( x ) / y F ( y ) / x F ( y ) / y ] = [ J 11 J 12 J 21 J 22 ]
For the model described above, J 11 , J 12 , J 21 , and J 22 can be calculated as follows:
J 11 = ( 1 2 x ) [ y ( D K A +   K B T A α β K B T A + P K B ) C A ]
J 12 = x ( 1 x ) ( D K A +   K B T A α β K B T A + P K B )
J 21 = y ( 1 y ) ( D K B +   K A T B α β K A T B + P K A )
J 22 = y ( 1 2 y ) [ x ( D K B +   K A T B α β K A T B + P K A ) C B ]
And the stability implies that det ( J ) > 0 and   tr ( J ) < 0.
det ( J ) = J 11 J 22 J 12 J 22 > 0
tr ( J ) = J 11 + J 22 < 0
The game parties can earn revenue through knowledge-sharing or free-riding behavior. The size relationship between these types of income is uncertain. The two income scenarios are as follows.
Condition (1): The benefit of free-riding behavior is more than that of sharing knowledge with cooperative enterprises.
Condition (2): The benefit of free-riding behavior is less than that of sharing knowledge with cooperative enterprises.
Therefore, based on the local stability analysis method of the Jacobian matrix, we analyze the local stability of five equilibrium points acquired under these two income scenarios. The specific results are shown in Table 3 and Table 4.
The phase diagram for the evolutionary process in the first case is shown in Figure 1.
In Figure 1, point O is the game’s stable point. Figure 1 shows that the system converges to O from the unstable points A and C. This convergence indicates that both sides of the game are gradually inclined to be a “free-rider” when the income from this strategy is greater than that from sharing knowledge. Therefore, point O is the stable point of the system.
The phase diagram of the evolution process in the first case is illustrated in Figure 2.
According to the solution of the replication dynamic equation and the Jacobian matrix, (0, 0) and (1, 1) are asymptotically stable points, (0, 1) and (1, 0) are unstable points, and D is a saddle point. Figure 2 depicts the dynamic evolution process of knowledge sharing under condition 2. The area of ADBC indicates the probability for game participants to adopt a "share" strategy. Similarly, the area of ADBO indicates the probability that game participants adopt a "no share" strategy. Therefore, the final result of system evolution depends on the area of ADBC and ADBO. When the area of ADBC is larger than ADBO, the probability of the system converges to C (1, 1) is greater, (share, share) is the final stable strategy. Conversely, the probability of the system converges to O (0, 0) is greater, (no share, no share) is the ultimate stability strategy. To make the system evolve to one in which all members adopt the strategy of “share knowledge” along the boundary line BD, the location of the saddle point D should be close to the point O to expand the area of ADBC. The area of the area ADBC is SADBC = 1 − (x* + y*)/2, and from the above expression of saddle point and area, the influence direction of parameters on ADBC area can be indicated.

4. Numerical Simulation Analysis

The calculations presented so far are completely derived. To visually verify the evolutionary stability of both knowledge-sharing strategies (i.e., share or no share) and explain how influential factors affect the evolution path of the system, MATLAB R2016 is used to simulate the dynamic evolutionary process by assigning a value to each parameter. Although the parameter assignment has a certain randomness, it does not affect the simulation result. This paper mainly discusses the impact of the income relationship, penalty coefficient, incentive coefficient, synergy coefficient, degree of trust and sharing cost on the evolutionary result.

4.1. Numerical Simulation Analysis of Condition (1)

First, assign the parameters of the pay-off matrix in the game model as shown below: KA=100, KB = 110, TA = 0.3, TB = 0.2, CA = 55, CB = 60, D = 0.1, α = 0.2, β = 2, and P = 0.5. Under the conditions of the above initial setting, the initial value of p is randomly selected within the threshold, and the initial values of the remaining parameters are fixed. The above parameter values satisfy the first benefit relationship, i.e., they conform to condition (1). As shown in Figure 3a,b, the probability of knowledge sharing between the game parties decreases as the number of steps in the evolution iteration increases, and the stable point of the evolution is (0,0). It can be seen that “free-riding” behavior is the reason for hindering knowledge sharing. In condition (1), as long as the free-riding behavior has a greater profit, no matter how the parameters are adjusted, the system finally converges to the (0,0) point. Due to shared knowledge being viewed as public goods, the consumption of public goods will have external spillover effects, which makes it inevitable for enterprises to have the “free-riding” mentality when they consume shared knowledge. In addition, opportunism is facilitated by the fact that the other party’s knowledge input is difficult to observe. In order to promote knowledge sharing, regulators and reasonable incentive and punishment mechanisms should be established.

4.2. Numerical Simulation Analysis of Condition (2)

Based on the previous theoretical derivation, in condition (2), the system has two evolutionarily stable states: (0, 0) and (1, 1). The factors that determine the position of the saddle point will affect the strategy choice of the game parties. In this section, a numerical example is provided to study the influence of variation in the parameters on the game’s stable state. This paper mainly discusses the impact of the income relationship, penalty coefficient, incentive coefficient, synergy coefficient, degree of trust and sharing cost on the evolutionary results. Factor assignment satisfies condition (2), and the specific assignment process is omitted. In addition, in all the following figures, “(a)”is the evolution path diagram of enterprise A, and “(b)” is the evolution path diagram of enterprise B.
As Figure 4 shows, the influence of penalty coefficient p on game evolution and its results is analyzed. In the case of the initial condition x = 0.5, y = 0.5, with the parameter p changing from 0.3 to 0.5, the probability that the game parties will ultimately choose knowledge sharing is x = 0, y = 0, and the steady state of the game is unexpected—that is, it eventually converges to the point (1, 1). When the value of p changes from 0.6 to 0.8, the probability that the game parties will ultimately choose knowledge sharing is x = 1, y = 1, and the final evolution result is desirable of knowledge-sharing activities. It can be seen, even if the benefits of sharing knowledge are greater, it also requires reasonable punishment to maintain the cooperative relationship. It is worth noting that as p increases, the acceleration of the system converges to the (1, 1) point is decreasing. This may be because the excessive punishment reduces the average expected return of knowledge sharing, thus inhibiting the enthusiasm of enterprises to share knowledge to a certain extent, which may lead to the reduction of the marginal effect of punishment measures. Therefore, the punishment mechanism should be reasonable to ensure the full magnitude of its “positive incentive” effect.
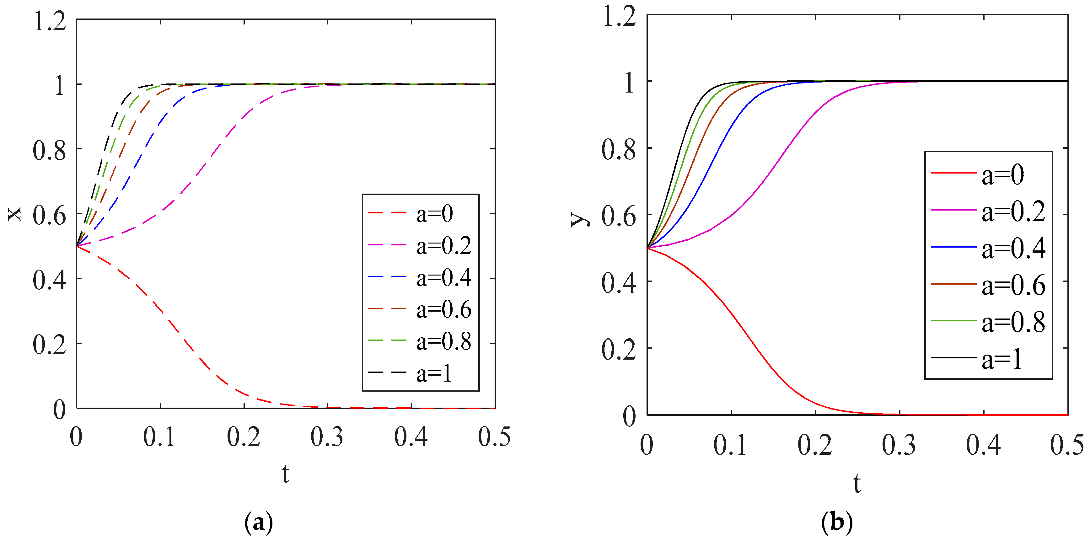
The impact of incentive coefficient D on system evolution is analyzed, with D changing from 0.2 to 0.7, as shown in Figure 5. In the case of an initial probability of x = 0.5, y = 0.5, as the value of D changes, the system gradually changes from a non-ideal evolutionarily stable state to an ideal stable state. In addition, when d = 0.5, the speed at which the system reaches the stable point is obviously faster than that at d = 0.4; when d = 0.7, the speed at which the system reaches the stable point is not obvious compared with when d = 0.6. It can be seen that the government’s increased incentives within a certain scope can effectively promote the cooperative knowledge sharing behavior. This may be due to the fact that as the intensity increases, rewards may become an important driving force for enterprises to establish knowledge cooperation, and sharing knowledge is difficult to translate into corporate conscious behavior. When the expectation of receiving more rewards is not met, the willingness to share knowledge among enterprises will decrease. The “negative effect” of incentive measures corresponds to a gradual slowing in the evolution acceleration of the system. Therefore, if the incentive is excessive, the incentive effect is not significant, and the government will bear greater financial pressure in the evolutionary path.
Figure 6 is the simulation result of the influence of B’s knowledge-sharing cost on the final evolution of the system under the condition that other parameters are unchanged. As shown in Figure 5, the final values of x and y both change from 1 to 0 as C increases. It can be seen from the figure that when c = 20, the evolution speed of the system is faster than c = 10; when c = 0, the change in the evolution speed of the system is not obvious compared with c = 10. This is may be due to short-term dynamics by which enterprises increase revenue by reducing the cost of knowledge sharing. These potentially perverse outcomes in cost reductions in turn increase the cost of knowledge processing or storage. In addition, although A’s cost has not changed, its probability of choosing a knowledge-sharing strategy is the same as that of B. The reason is that the increase in the cost of knowledge sharing of member B will affect B’s revenue in knowledge sharing, which, in turn, will affect the willingness of member A to share knowledge with enterprise B. It is difficult to carry out knowledge sharing without cost, and the disadvantage of pursuing low cost may be greater than profit, but too high a cost will inhibit the enthusiasm of enterprises. Therefore, enterprises should control the cost within a reasonable range according to their own conditions.
The impact of the degree of trust α on system evolution is analyzed, changing from 0 to 1, as shown in Figure 7. As the degree of trust increases, the probability that the game parties will ultimately choose the knowledge-sharing strategy will undergo a change process from 0 to 1, which indicates that a good trust mechanism is conducive to the establishment of a knowledge-sharing alliance. It can be seen that although the increase in trust accelerates the convergence speed of the system to (1, 1), its marginal effect is decreasing. This may be because trust helps organizations understand the knowledge of partners and promote knowledge sharing, but excessive trust will also lead to collective blindness and restrict knowledge exchange. In addition, maintaining a high level of trust requires a cost, while excessive costs may reduce the willingness of enterprises to share knowledge. Therefore, the trust mechanism should be formulated reasonably.
The impact of the synergistic coefficient β on system evolution is analyzed, with β changing from 0 to 1, as shown in Figure 8. When the synergy coefficient is low, the evolutionary stability point of the system is (0, 0), and the smaller the coefficient is, the faster the system converges to the non-ideal steady state. In contrast, when the synergy coefficient is large, the probability that the game parties will ultimately choose knowledge sharing is x = 1, y = 1; that is, the point (1,1) is the stable point of the system, and the larger the coefficient is, the faster the system converges to the ideal steady state. This is because good synergy helps the enterprise to transform and absorb external knowledge. Knowledge differences between enterprises have an important impact on synergies. Knowledge differences have prevented the occurrence and deepening of knowledge-sharing activities; the small difference in knowledge will reduce the enthusiasm of enterprises to acquire external knowledge. Therefore, the knowledge subjects should not only maintain certain knowledge differences, but also have certain similarities, so as to create the necessary conditions for the occurrence of knowledge sharing.

5. Conclusions and Implications

5.1. Conclusions

In this paper, evolutionary game theory is utilized to analyze the evolutionary process of the knowledge-sharing behavior of members in a construction supply chain. The evolution process and the factors affecting knowledge-sharing behavior under two different income situations are studied in detail, and numerical simulation analysis is conducted. This study draws the following conclusions:
(1) First, through model deduction and numerical simulation, the influence of different income relations on the game equilibrium results is revealed—that is, the various checks and balances of free-riding behavior on the game system. It was found that the relationship of revenue has an important impact on the evolution of group cooperation and the choice of path strategy. A reasonable initial threshold of income can promote a faster convergence of the game into an ideal state. When the income of “free riding” is greater than the benefit of cooperation, the game party chooses to cooperate, and on the contrary, choose to defect. Therefore, reasonable reward and punishment measures should be taken to guide the knowledge cooperation of supply chain enterprises, reward enterprises that are willing to cooperate, punish free-riding enterprises, ensuring the reasonable income of active enterprises.
(2) Second, a favorable mechanism can effectively increase the proportion of companies in the group that are willing to share knowledge. We found that the convergence speed and steady state of the system are different under different parameter settings. A reasonable reward mechanism (penalty mechanism (P)) can effectively guide corporate behavior and increase the probability of successful cooperation. In the long run, the choice of sharing strategy is a dynamic process of linkage changes based on continuous adjustment. The sensitivity analysis of the influencing effects of various factors shows that improving the degree of trust, incentive coefficient, and synergy coefficient of the return as well as cost reduction will help both parties choose (share, share) stability strategies, and increasing the government punishment is conducive to avoiding free-riding behavior.
(3) Third, under any income relationship, (0, 1) and (1, 0) are not the ultimate stable points of the game. Based on Equations (15), (16), and the local stability analysis of the evolutionary strategy, it can be clearly seen that there are many factors that influence the strategic choice of the game parties. The change in factors will prompt the game parties to adjust their strategy choices, leading the state of the model to become unstable.

5.2. Implications

In order to promote the efficient circulation of knowledge in the construction supply chain and thus improve the sustainability of the supply chain, we present several managerial implications for decision makers.
(1) First, according to the internal and external environment of supply chain enterprises, the government should adopt appropriate macro-control strategy—that is, formulate flexible reward and punishment mechanism. In addition, with the development of building industrialization, green supply chain management with environmental performance as the core has received much attention. By fully sharing knowledge, the utilization of green knowledge in the supply chain can be improved, providing knowledge support for enterprises dealing with environmental issues. Therefore, enterprises that are committed to innovative knowledge should be given additional incentives (development of green technologies, etc.) to increase their willingness to share knowledge, leveraging the environmental value derived from knowledge sharing to improve the sustainability of the construction supply chain.
(2) A stable trust relationship between members in the construction supply chain is critical to knowledge sharing. In order to achieve supply chain knowledge cooperation, the enterprise should use the contract as the link to clarify the responsibilities and interests of both parties, so as to prevent the opportunistic behavior of the member companies. And advanced construction project management models can be introduced by supply chain members, such as the “Partnering model”, to establish a cooperative management team between the participants, transforming isolated companies into a community of interests that pursues common goals. In addition, it is suggested that the relevant state departments establish a credit supervision and evaluation system for each node in the supply chain to circumvent behaviors that violate credit covenants. An enduring trust relationship among members of the supply chain helps enterprises to grasp market changes by sharing knowledge and adjust resource allocation in a timely manner, thereby improving the sensitivity and promoting the sustainable development of the supply chain.
(3) Building a sound communication platform will promote knowledge sharing and reduce communication barriers between enterprises. At present, enterprises can fully utilize the social collaboration platform to support the sustainable development of the supply chain from the perspective of knowledge based on effective communication. For example, BIM (Building Information Modeling) can be used to provide a favorable platform for members in the supply chain to share knowledge. Node enterprises can use such a platform to exchange knowledge on the green planning and design of supply chains, in order to reduce the overall energy consumption and environmental impact.

Author Contributions

Conceptualization, Q.D.; Methodology, C.H.; Writing—Original Draft Preparation, C.H.; Writing—Review and Editing, Q.D. and C.H.; Formal Analysis, Y.H.; Investigation, L.S. and Y.Y.

Acknowledgments

The work was supported by the National Social Science Foundation of China [Grant No. 16CJY028]; the Central Universities [Grant No. 300102238303]; Research Projects on Major Theoretical and Practical Problems in Social Sciences of Shaanxi Province [Grant No. 2019TJ039].

Conflicts of Interest

The authors declare no conflict of interest.

References

  1. Morrakot, R.; William, G. Ferrell. Information sharing in supply chain collaboration. Comput. Ind. Eng. 2018, 126, 269–281. [Google Scholar]
  2. Caridi, M.; Cigolini, R.; De Marco, D. Improving supply-chain collaboration by linking intelligent CPFR. Int. J. Prod. Res. 2005, 43, 4191–4218. [Google Scholar] [CrossRef]
  3. Lejeune, N.; Yakova, N. On characterizing the 4C’s in supply chain management. J. Oper. Manag. 2005, 23, 81–100. [Google Scholar] [CrossRef]
  4. Verwaal, E.; Hesselmans, M. Drivers of supply network governance: An explorative study of the Dutch chemical industry. Eur. Manag. J. 2004, 22, 442–451. [Google Scholar] [CrossRef]
  5. Simatupang, T.; Wright, M.; Sridharan, R. The knowledge of coordination for supply chain integration. Bus. Process Manag. 2002, 8, 289–308. [Google Scholar] [CrossRef]
  6. Jin, Z.; Navare, J.; Lynch, R. The Relationship between Innovation Culture and Innovation Outcomes: Exploring the Effects of Sustainability Orientation and Firm Size; R D Manag.: New York, NY, USA, 2018. [Google Scholar]
  7. Kashav, S.; Cerchione, R.; Centobelli, P.; Shabani, A. Sustainability Orientation, Supply Chain Integration, and SMEs Performance: A Causal Analysis. Benchmark. Int. J. 2018, 25, 3679–3701. [Google Scholar]
  8. Vrijhoef, R. Co-Makership in Construction: Towards Construction Supply Management. Master’s Thesis, Delft University of Technology, Espoo, Finland, 1999. [Google Scholar]
  9. Li, Y.; Du, Q.; Lu, X.R.; Wu, J.; Han, X. Relationship between the development and CO2 emissions of transport sector in China. Transp. Res. Part D 2019, 74, 1–14. [Google Scholar] [CrossRef]
  10. Rezgui, Y.; Hopfe, C.J.; Vorakulpipat, C. Generations of knowledge management in the architecture, engineering and construction industry: An evolutionary perspective. Adv. Eng. Inform. 2010, 24, 219–228. [Google Scholar] [CrossRef]
  11. Vrijhoef, R.; Koskela, L. The four roles of supply chain management in construction. Eur. J. Purch. Supp. Manag. 1999, 6, 169–178. [Google Scholar] [CrossRef]
  12. Shan, Y.H.; Li, Z.F. Evolutionary Game Analysis of Knowledge-sharing Mechanism of Construction Supply Chain towards Construction Industrialization. J. Eng. Manag. 2015, 29, 1–5. [Google Scholar]
  13. Cheng, J.H.; Wang, N.M.; Yang, T. Knowledge management in supply chain. Sci. Res. Manag. 2002, 23, 126–138. [Google Scholar]
  14. Ahi, P.; Searcy, C. A comparative literature analysis of definitions for green and sustainable supply chain management. J. Clean. Prod. 2013, 52, 329–341. [Google Scholar] [CrossRef]
  15. Hassini, E.; Surti, C.; Searcy, C. A literature review and a case study of sustainable supply chains with a focus on metrics. Int. J. Prod. Econ. 2012, 140, 69–82. [Google Scholar] [CrossRef]
  16. Bellamy, M.A.; Soumen, G.; Hora, M. The influence of supply network structure on firm innovation. J. Oper. Manag. 2014, 32, 357–373. [Google Scholar] [CrossRef]
  17. Narus, J.; Anderson, J. Rethinking distribution: Adaptive channels. Harv. Bus. Rev. 1996, 74, 112–120. [Google Scholar]
  18. Phillips, N.; Lawrence, T.; Hardy, C. Inter-organizational collaboration and the dynamics of institutional fields. J. Manag. Stud. 2000, 37, 23–44. [Google Scholar] [CrossRef]
  19. Cannella, S.; Ciancimino, E. On the bullwhip avoidance phase: Supply chain collaboration and order smoothing. Int. J. Prod. Res. 2010, 48, 6739–6776. [Google Scholar] [CrossRef]
  20. Mounkes, P. Supply chain collaboration. Circuits Assem. 2004, 15, 30–35. [Google Scholar]
  21. Prodromos, D.; Chatzoglou, P.D.; Maria, K. Knowledge sharing and supply chain design strategies their contribution to supply chain collaboration. Int. J. Appl. Syst. Stud. 2009, 2, 134–136. [Google Scholar]
  22. Per, E.E. Partnering in engineering projects: Four dimensions of supply chain integration. J. Purch. Supply Manag. 2015, 20, 38–50. [Google Scholar]
  23. Maridke, V.; Vincent, G. Implementing supply chain partnering in the construction industry: Work floor experiences within a Dutch housing association. J. Purch. Supply Manag. 2015, 3, 1–8. [Google Scholar]
  24. Usha, R. Supply chain collaboration: Impact of success in long-term partnerships. Int. J. Prod. Econ. 2014, 1, 252–259. [Google Scholar]
  25. Hari, S.; Egbu, C.; Kumar, B. A knowledge capture awareness tool: An empirical study on small and medium enterprises in the construction industry. Eng. Constr. Archit. Manag. 2005, 12, 533–567. [Google Scholar] [CrossRef]
  26. Khalfan, M.M.A.; Kashyap, M.; Li, X.; Abbott, C. Knowledge management in construction supply chain integration. Int. J. Netw. Virtual Organ. 2010, 7, 207–221. [Google Scholar] [CrossRef]
  27. Lin, Y.; Wang, L.; Tserng, H.P. Enhancing knowledge exchange through web map-based knowledge management system in construction: Lessons learned in Taiwan. Autom. Constr. 2006, 15, 693–705. [Google Scholar] [CrossRef]
  28. Woo, J.; Clayton, M.J.; Johnson, R.E.; Flores, B.E.; Ellis, C. Dynamic Knowledge Map: Reusing experts’ tacit knowledge in the AEC industry. Autom. Constr. 2004, 13, 203–207. [Google Scholar] [CrossRef]
  29. Yoo, S.B.; Kim, Y. Web-based knowledge management for sharing product data in virtual enterprises. Int. J. Prod. Econ. 2002, 75, 173–183. [Google Scholar] [CrossRef]
  30. Nowak, M.A.; Sigmund, K. Evolutionary dynamics of biological games. Science 2004, 303, 793–799. [Google Scholar] [CrossRef]
  31. Bandyopadhyay, S.; Pathak, P. Knowledge sharing and cooperation in outsourcing projects–A game theoretic analysis. Decis. Support Syst. 2009, 43, 349–358. [Google Scholar] [CrossRef]
  32. Samieh, H.M.; Wahba, K. Knowledge Sharing Behaviour from Game Theory and Socio-Psychology Perspectives. In Proceedings of the 40th Annual Hawaii International Conference on System Sciences, Waikoloa, HI, USA, 3–6 January 2007. [Google Scholar]
  33. Ding, X.H.; Huang, R.H. Effects of knowledge spill over on inter-organizational resource sharing decision in collaborative knowledge creation. Eur. J. Oper. Res. 2010, 201, 949–959. [Google Scholar] [CrossRef]
  34. Shih, M.H.; Tsai, H.T.; Wu, C.C.; Lu, C.H. A holistic knowledge sharing framework in high-tech firms: Game and co-opetition perspectives. Int. J. Technol. Manag. 2006, 36, 354–367. [Google Scholar] [CrossRef]
  35. Li, Y.M.; Jhin, H.; Jhang, L. Knowledge sharing in communities of practice: A game theoretic analysis. Eur. J. Oper. Res. 2010, 207, 1052–1064. [Google Scholar] [CrossRef]
  36. Cai, G.S.; Kock, N. An evolutionary game theoretic perspective on e-collaboration: The collaboration effort and media relativeness. Eur. J. Oper. Res. 2009, 194, 821–833. [Google Scholar] [CrossRef]
  37. Ni, G.D.; Huang, F.S.; Lu, F.Y.; Chen, Z.H.; Du, Y. Identification of influencing factors of knowledge sharing within engineering management organization under multi-project environment. J. Eng. Manag. 2015, 2, 96–100. [Google Scholar]
  38. Fong, P.S.; Chu, L. Exploratory study of knowledge sharing in contracting companies: A sociotechnical perspective. J. Constr. Eng. Manag. 2006, 132, 928–939. [Google Scholar] [CrossRef]
  39. Zhang, P.; Ng, F.F. Explaining knowledge-sharing intention in construction teams in Hong Kong. J. Constr. Eng. Manag. 2013, 139, 280–293. [Google Scholar] [CrossRef]
  40. Feng, C.L. An evolutionary game model of knowledge sharing behavior between supply chain members. J. Intell. 2012, 31, 270–281. [Google Scholar]
  41. Wasan, T.; Chotchai, C.; Piyanut, W. Key knowledge factors in Thai construction practice. Int. J. Proj. Manag. 2009, 27, 833–839. [Google Scholar]
  42. Bresnen, M.; Marshall, N. Partnering in construction: A critical review of issues, problems and dilemmas. Constr. Manag. Econ. 2000, 18, 229–237. [Google Scholar] [CrossRef]
  43. Urszula, R. Identification of Factors Related to Trust Formation in Construction Supply Chains. Procedia Eng. 2017, 182, 627–634. [Google Scholar]
  44. Friedman, D. Evolutionary game in economics. Econ. Erica 1991, 59, 637–666. [Google Scholar] [CrossRef]
Figure 1. Evolution phase diagram in the first case.
Figure 1. Evolution phase diagram in the first case.
Sustainability 11 05319 g001
Figure 2. Evolution phase diagram in the first case.
Figure 2. Evolution phase diagram in the first case.
Sustainability 11 05319 g002
Figure 3. The dynamic evolution in condition (1).
Figure 3. The dynamic evolution in condition (1).
Sustainability 11 05319 g003
Figure 4. The impact of p on the evolutionary results. (a)The evolution path diagram of enterprise A, and (b) the evolution path diagram of enterprise B.
Figure 4. The impact of p on the evolutionary results. (a)The evolution path diagram of enterprise A, and (b) the evolution path diagram of enterprise B.
Sustainability 11 05319 g004
Figure 5. The impact of D on the evolutionary results. (a)The evolution path diagram of enterprise A, and (b) the evolution path diagram of enterprise B.
Figure 5. The impact of D on the evolutionary results. (a)The evolution path diagram of enterprise A, and (b) the evolution path diagram of enterprise B.
Sustainability 11 05319 g005
Figure 6. The impact of C on the evolutionary results. (a)The evolution path diagram of enterprise A, and (b) the evolution path diagram of enterprise B.
Figure 6. The impact of C on the evolutionary results. (a)The evolution path diagram of enterprise A, and (b) the evolution path diagram of enterprise B.
Sustainability 11 05319 g006
Figure 7. The impact of α on the evolutionary results. (a)The evolution path diagram of enterprise A, and (b) the evolution path diagram of enterprise B.
Figure 7. The impact of α on the evolutionary results. (a)The evolution path diagram of enterprise A, and (b) the evolution path diagram of enterprise B.
Sustainability 11 05319 g007
Figure 8. The impact of β on the evolutionary results. (a)The evolution path diagram of enterprise A, and (b) the evolution path diagram of enterprise B.
Figure 8. The impact of β on the evolutionary results. (a)The evolution path diagram of enterprise A, and (b) the evolution path diagram of enterprise B.
Sustainability 11 05319 g008
Table 1. Parameters’ symbol descriptions.
Table 1. Parameters’ symbol descriptions.
K i The Amount of Knowledge Invested by the Enterprise (i = A,B)
T i The ability of enterprises to absorb and transform each other’s knowledge, 0 < T i < 1
D Incentive coefficient for enterprises when both parties are willing to share knowledge
α The level of trust between cooperative enterprises
β Increase in the value of knowledge resulting from knowledge sharing, β > 1
C i Cost of enterprises in the process of knowledge sharing
PPenalty coefficient for free-riding enterprises
Table 2. Pay-off matrix.
Table 2. Pay-off matrix.
B
ShareNo share
AShareRs1, Rm1Rs2, Rm2
No shareRs3, Rm3Rs4, Rm4
Table 3. Stability analysis of the equilibrium point.
Table 3. Stability analysis of the equilibrium point.
Condition (1) d e t ( J ) t r ( J ) Stability
(0,0)+-stable
(0,1)++unstable
(1,0)++unstable
(1,1)+-stable
(x*,y*) 0saddle point
Table 4. Stability analysis of the equilibrium point.
Table 4. Stability analysis of the equilibrium point.
Condition (2) d e t ( J ) t r ( J ) Stability
(0,0)+-stable
(0,1)-Nsaddle point
(1,0)-Nsaddle point
(1,1)++unstable

Share and Cite

MDPI and ACS Style

Hao, C.; Du, Q.; Huang, Y.; Shao, L.; Yan, Y. Evolutionary Game Analysis on Knowledge-Sharing Behavior in the Construction Supply Chain. Sustainability 2019, 11, 5319. https://doi.org/10.3390/su11195319

AMA Style

Hao C, Du Q, Huang Y, Shao L, Yan Y. Evolutionary Game Analysis on Knowledge-Sharing Behavior in the Construction Supply Chain. Sustainability. 2019; 11(19):5319. https://doi.org/10.3390/su11195319

Chicago/Turabian Style

Hao, Chanchan, Qiang Du, Youdan Huang, Long Shao, and Yunqing Yan. 2019. "Evolutionary Game Analysis on Knowledge-Sharing Behavior in the Construction Supply Chain" Sustainability 11, no. 19: 5319. https://doi.org/10.3390/su11195319

APA Style

Hao, C., Du, Q., Huang, Y., Shao, L., & Yan, Y. (2019). Evolutionary Game Analysis on Knowledge-Sharing Behavior in the Construction Supply Chain. Sustainability, 11(19), 5319. https://doi.org/10.3390/su11195319

Note that from the first issue of 2016, this journal uses article numbers instead of page numbers. See further details here.

Article Metrics

Back to TopTop