Next Article in Journal
Role of Social Media Marketing Activities (SMMAs) in Apparel Brands Customer Response: A Moderated Mediation Analysis
Previous Article in Journal
Future Grain Consumption Trends and Implications on Grain Security in China
 
 
Font Type:
Arial Georgia Verdana
Font Size:
Aa Aa Aa
Line Spacing:
Column Width:
Background:
Article

Environmental and Health Risks of Heavy Metals in Farmland Soils of Drinking Water Protection Areas and a Contaminated Paddy Field in Taiwan

1
Institute of Environmental Engineering and Management, National Taipei University of Technology, Taipei 106, Taiwan
2
Graduate Institute of Environmental Engineering, National Taiwan University, Taipei 106, Taiwan
3
School of Public Health, Taipei Medical University, Taipei 110, Taiwan
4
Department of Agricultural Chemistry, National Taiwan University, Taipei 106, Taiwan
*
Author to whom correspondence should be addressed.
Sustainability 2019, 11(19), 5166; https://doi.org/10.3390/su11195166
Submission received: 17 August 2019 / Revised: 13 September 2019 / Accepted: 16 September 2019 / Published: 20 September 2019
(This article belongs to the Special Issue Environmental Restoration of Contaminated Soil)

Abstract

This study assessed heavy metal contents and their mobility, bioaccessibility, environmental risk, and health effects in the farmland soils of Drinking Water Source Quality Protection (DWSQP) areas contaminated by livestock manure and a paddy field contaminated by co-use of irrigation and drainage canals in Taiwan. The risk assessment code (RAC) and synthesis toxicity index (STI) for the soils were obtained. The potential health effects caused from soil direct ingestion by hand-to-mouth activity and dermal contact frequently occurring to farmers were further evaluated. The Cu, Zn, and Cr levels in DWSQP areas and the Changhwa (CH) paddy field exceeded the standards promulgated by Taiwan Environmental Protection Administration (EPA). Nevertheless, RAC in DWSQP areas was in low risk levels. In contrast, RAC from Cu and Zn in CH paddy soils was in medium levels. Non-carcinogenic risks for farmers based on the total and bioaccessible metals in DWSQP areas and CH soils were all <1. However, carcinogenic risks based on bioaccessible Cr still exceeded 10−6 in several soils, indicating that the potential impacts on environmental and human health due to direct and indirect exposures to these contaminated soils should be concerned.

1. Introduction

Organic waste is increasingly produced each year in industrialized countries due to the increase in anthropogenic activities. Reuse of organic waste as soil fertilizers provides several advantages, because it not only reduces the amount of chemical fertilizers used, but also eliminates the necessity of subsequent treatment or disposal [1,2]. Livestock manure is the most common organic waste applied, either raw or composted, into farmland. The application of such waste to soil provides nutrients, increases organic matter in soil, improves soil structure, and enhances nutrient absorption by plants [3,4]. However, a number of studies have demonstrated that livestock manure contains a considerable amount of heavy metals [5]; application of organic waste to agricultural fields represents a significant input of nutrients, but also of metals. Some of the metals are toxic, like cadmium (Cd) or lead (Pb) [6,7,8,9]. This disposal process leads to soil and groundwater contamination, as well as potential damage like heavy metal leaching, increasing the risk of contamination (decreasing the quality of crop) [8].
Earlier studies have typically evaluated the risk of exposure to heavy metals in soil based on their total concentrations [10,11], but they cannot well represent the actual availability and toxicity of heavy metals in the environment. Therefore, the sequential extraction procedure (SEP) was firstly employed to understand the chemical form of metals and thus assess the mobility of metals in soil [12]. SEP, firstly developed by Tessier et al. [13], including metal extractions sequentially by various chemical reagents, has been proved as a successful method for fractionation of heavy metals in various environmental samples [14]. After that, the Community Bureau of Reference (BCR) extraction method has also been used to assess different chemical fractions of heavy metals in soil, sediment, and ash [15,16]. The fractionation results of heavy metals demonstrate that soluble and exchangeable fractions are mobile, while residual fraction is relatively immobilized, even under the weathering conditions [17].
Based on the sequential extraction approach, Perin et al. [18] proposed an index named risk assessment code (RAC) for environmental toxicity determination of heavy metals. RAC can be used to assess availability of metals by applying a scale to the percentage of metals in acid soluble fraction (F1) from the BCR extraction method, and is widely used to estimate the environmental risk in various media [19,20]. Using F1 for estimation of the environmental risk is reasonable because this fraction is generally introduced into environmental media by anthropogenic activities, and is typified by the adsorptive, exchangeable, and bind to carbonate fraction. These fractions are weakly-bonded metals that can equilibrate with the aqueous phase and thus become more rapidly bioavailable. Previous studies have also showed that there are several toxicity assessment models of heavy metals, such as the toxic unit (TU) model, the geo-accumulation index (Igeo), and the potential ecological index (PEI) [21]. However, deficiencies are still found from these models due to lack of consideration of accumulative effects, biological toxicity, and pre-industrial concentration determination [22,23,24,25,26].
In order to reduce the uncertainty in estimating risk associated with incidental ingestion of soil contaminated by heavy metals, several studies have related bioaccessibility to different chemical forms of the metals and metalloids present in the soils [27,28,29]. One of the most widely used in vitro methods is the physiologically based extraction test (PBET) [30,31]. Various studies have demonstrated that there is a high correlation between the gastric phase of PBET with in vivo studies [32,33]. Also, a single-step extraction proposed by Drexler and Brattin [34] has been optimized, named simple bioaccessibility extraction test (SBET), for the estimation of bioaccessible Pb in the gastric phase. This method also showed a great correlation with the gastric bioaccessibility of PBET for various metals in soils [35,36]. Mingot et al. [36] showed that, for As, PBET was significantly correlated to SBET, with a correlation coefficient of 0.776. These methods are often used to determine the bioaccessibility of heavy metal contamination due to their time efficiency in analysis and their lower cost compared to those of in vivo methods [30,37].
In Taiwan, livestock manure is frequently utilized as soil fertilizer alternatives to reduce the use of chemical fertilizers. However, livestock manure contains significant amounts of copper (Cu), zinc (Zn), and chromium (Cr), and the levels of these metals in some farmland soils in several Drinking Water Source Quality Protection (DWSQP) areas are found to exceed the monitoring standard or control standard promulgated by the Taiwan Environmental Protection Administration (EPA) for non-agricultural or agricultural soils. Excessive Cu and Zn may cause respiratory tract and stomach and intestinal irritation, while Cr could lead to pulmonary and nervous system damage [38,39,40,41]. Nevertheless, the potential impacts of the presence of these metals in these soils from a risk-based perspective have not been identified but are crucial because these farmlands are located at drinking water protection areas. Therefore, the main objective was to assess the levels of heavy metals in soils from the DWSQP areas, to understand the metal fractionation in soils via the BCR sequential extraction procedure, and then to apply the results to RAC and the synthesis toxicity index (STI) model of the soils to comprehend the combination form and total enrichment of heavy metals, which has been used to evaluate the potential environmental risk [42]. The same evaluation was also conducted to soils from a paddy field contaminated by irrigation water due to co-use of irrigation and drainage canals for comparison. Moreover, PBET and SBET were used to estimate the proportion of metals potentially absorbed by the gastrointestinal tract through direct soil ingestion by humans to understand the health effects due to hand-to-mouth activity, which is important to the farmers during their farmland activity. The risk from soil dermal contact was also taken into account, owing to the long working hours every day for the farmers. The hypotheses in this study were: (1) The fractionation and bioaccessibility of heavy metals in soils would be influenced by different polluted sources, including fertilization by livestock manure or irrigation by wastewater; and (2) the results of the health risk assessment would decrease when considering the bioaccessibility in the exposure route of soil ingestion.

2. Materials and Methods

2.1. Sample Collection and Pretreatment

The examined soils were sampled from (1) the farmlands in three DWSQP Areas in Taiwan, and each area was larger than 1000 ha and the altitude higher than 1000 m, including Cijiawan River (CJ), Mulan Bridge of Hehuan River (HH), and Bazhang River (BZ) areas; and (2) a paddy field in Changhwa (CH), Central Taiwan (Figure 1). These sites were chosen due to their relatively high concentrations of Cr, Cu, and Zn in soils enriched by either livestock manure application to increase fertility or by irrigation water due to the co-use of irrigation and drainage canals. At each sampling site, five sub-samples were collected by shovel using the method of simple random sampling, combined to form one composite sample, and stored in a polyethylene bag. Samples were then air-dried, ground, homogenized, passed through a 10 mesh (2 mm) nylon sieve in the laboratory, and put into dry glassware for substantial soil property analysis. In addition, soils were also passed through a 60 mesh (250 μm) nylon sieve for bioaccessibility extraction, because this fraction is prone to adhering to hands and entering bodies via hand-to-mouth behavior [43,44].

2.2. Soil Physicochemical Property and Heavy Metal Concentration Analysis

Soil physical and chemical parameters such as pH, cation exchange capacity (CEC), total organic carbon (TOC), and soil texture were analyzed to understand the properties of the soils (<2 mm). pH was analyzed by the glass electrode method [45]. CEC was determined by soil extraction using excessive 1 M ammonium acetate (NH4OAc) at pH 7.0 to exchange exchangeable cations for ammonium ion. Sodium chloride (NaCl) was then added to substitute ammonium ion for sodium ion, and followed by measurement of the content of ammonium ion for obtaining CEC [46]. TOC was analyzed by the Walkley–Black titration method [47]. Soil texture was determined by the hydrometer method [48]; the weight of sand, silt, and clay was obtained and the determination of the texture grade was based on the United States Department of Agriculture (USDA) definition. The total concentration of heavy metal was analyzed by microwave-assisted aqua regia digestion [49].

2.3. Sequential Extraction Procedure

The modified BCR sequential extraction procedure was used to assess the fractionations of heavy metals in the soils [50]. Details of the extracting process are shown in Table S1. Briefly, 2.0 g soil (<250 μm), which was prone to enter the body through hand-to-mouth behavior [44], was placed in each 85 mL centrifuge tube, and then different extraction solution of each step was added. After every extraction, the solid and liquid phase separation was progressed by centrifuging and filtering the supernatant through Whatman No. 42 filter paper. The concentration and distribution of heavy metals in each fraction were determined by ICP-OES. The recovery of the metal was also calculated by the following, Equation (1), for quality assurance (shown in Table S2):
Recovery ( % ) = F 1 + F 2 + F 3 + F 4 Total metal concentration × 100 %

2.4. The Risk and Toxicity Assessment Models of Heavy Metals

Risk assessment code (RAC) is a method used for evaluating the potential environmental risk of heavy metals leaching from the sample matrix [20]. The percentage of metals in acid soluble fraction (F1) in the BCR extraction method is a simple index applied to do it. When the percent ratio of F1 to the total metal concentration (i.e., RAC) is <1%, the heavy metal is considered to have no adverse impact on the environment. If the ratio is between 1 and 10%, a low risk is defined, while medium risk is defined within 11–30%, and 31‒50% indicates a high risk. A ratio higher than 50% indicates that the hazard risk to the environment is very high, because the heavy metal is readily released from the sample matrix. RAC was obtained based on the following, Equation (2):
RAC = F 1 Total metal concentration × 100 %
Additionally, the combination form and total enrichment of different heavy metals, including Cd, Cu, Zn, Pb, nickel (Ni), and Cr, were also comprehensively evaluated by a synthesis toxicity index (STI) model, which has been used to estimate the potential environmental risk corresponding to the actual condition of incineration fly ash and molten slag [42]. The model expression is shown in Equation (3) and the corresponding parameters are clearly defined in Table S3.
STI = i = 1 n T i j = 1 m E j Q i j / C N i

2.5. In Vitro Bioaccessibility Method

Physiologically based extraction test (PBET) has been validated against animal models and is commonly used to determine the bioaccessibility of heavy metals in soils [30]. The composition and analysis parameters in the gastric phase (GP) and the intestinal phase (IP) are listed in Table S4 [51]. For gastric phase extraction, 1.0 g soil (<250 μm) was weighed into a wide-mouth high-density polyethylene bottle and 100 mL of gastric solution (pH 2.5) was added. Then, the bottles were put into a hybridization oven at 37 °C for 1 h at 30 rpm. At the end of the extraction, the solution was stood for a while, and supernatant was filtered through a 0.45 μm syringe filter with cellulose acetate and transferred into polyethylene tubes for storage at 4 °C before being analyzed by ICP-OES. The rest of the gastric phase solution was adjusted to pH of 7.0 with saturated sodium carbonate (Na2CO3). Then, bile and pancreatin were added for conducting the intestinal phase extraction. After shaking in a hybridization oven at 37 °C, 30 rpm for 4 h, samples were stood, filtered, and transferred into polyethylene tubes for storage at 4 °C before being analyzed by ICP-OES. The bioaccessibility of the gastric and intestinal phases in soils was then calculated by dividing extractable Cu, Zn, and Cr by their total contents in soils.
According to U.S. EPA [52], the experimental procedure of the simple bioaccessibility extraction test (SBET) was shown as follows: 1.0 g soil (<250 μm) was placed in a labeled wide-mouth high-density polyethylene bottle and mixed with 100 mL of gastric solution (30.03 g/L glycine adjusted to pH 1.5 with concentrated HCl). This mixture was rotated in a hybridization oven at 37 °C for 1 h at 30 rpm, and then the supernatant was filtered through the syringe filter (0.45 μm). After determination of post-test pH, the gastric phase samples were stored in a refrigerator at 4 °C before being analyzed by ICP-OES.

2.6. Quality Assurance and Quality Control

Quality assurance (QA) and quality control (QC) were checked by analyzing triplicate samples in each experiment of this study [53]. The method detection limits (MDL), accuracy obtained from recovery of QC sample (NIST SRM 2710a), and precision expressed as relative standard deviation (RSD) for total content of arsenic (As), mercury (Hg), Cd, Cr, Cu, Ni, Pb, Zn, iron (Fe), and manganese (Mn) are shown in Table S2. The accuracy was within 82.1‒120% and the precision was within 0.09–14.9%. The MDL, precision, and recovery calculated by dividing the sum of each fraction by total content for SEP of Cd, Cr, Cu, Ni, Pb, and Zn are also shown in Table S2. The precision was within 0.01‒3.51% and the recovery was within 80.0‒120%. In addition, the precision for SBET and PBET of Cr, Cu, and Zn was within 0.16‒6.74% and 0.05‒7.73%, respectively.

2.7. Health Risk Assessment Model

Risk assessment is a multi-step procedure, including hazard identification, dose-response assessment, exposure assessment, and risk characterization [54]. This study mainly focused on Cr, Cu, and Zn-contaminated farmland soils due to the adverse effects of these elements. Cu is a non-carcinogenic metal that causes the critical effects of gastrointestinal tract injury through oral exposure [55]. Besides, excess ingestion of Zn sulfate, Zn oxide, and Zn gluconate would also impact on the gastrointestinal system and cause the non-carcinogenic symptoms of nausea and vomiting, epigastric pain, abdominal cramps, and diarrhea [56]. In comparison, Cr could lead to non-carcinogenic and carcinogenic risks via the oral route of exposure [43,57].
Farmers exposed to these contaminated soils through soil ingestion considering bioaccessibility and dermal contact when they work in the farmlands are the main exposure routes. Both non-carcinogenic and carcinogenic risks of these exposure routes were considered. The average daily dose (ADD) of heavy metals from soil direct ingestion and dermal contact was calculated as the following formula (i.e., Equations (4)–(6)):
ADD oral-soil = C soil × BA × IR oral-soil × ED × EF × CF BW × AT
DA event = C soil × AF × ABS d × CF
ADD dermal-soil = DA event × EV × SA × ED × EF × f sa BW × AT
where ADDoral-soil and ADDdermal-soil are the average daily doses from soil ingestion and dermal contact (mg/kg/day), respectively; Csoil is the metal concentration in soils (mg/kg); BA is the bioaccessibility of soils (dimensionless); IRoral-soil is the ingestion rate of soils (mg/day); ED is exposure duration (year); EF is exposure frequency (day/year); CF is conversion factor (kg/mg); BW is body weight (kg); AT is averaging time (day); DAevent is absorbed dose per event (mg-event/cm2); AF is adherence factor (mg-event/cm2); ABSd is the fraction of chemical absorbed dermally (dimensionless); EV is the exposure frequency of the event (event/day); SA is the surface area of body (cm2); and fsa. is the ratio between the surface area of the upper arms and the body (dimensionless). The values of the above-mentioned parameters are shown in Tables S5 and S6. As shown in Equation (7), ADD subsequently divided by reference dose (RfD) makes the non-carcinogenic hazard quotient (HQ) of Cr, Cu, and Zn. Then, the hazard index (HI) can be calculated by HQoral plus HQdermal (Equation (8)). The equation of ADD multiplied by slope factor (SF) was used to calculate carcinogenic risk (CR) of Cr (Equation (9)). The RfD and SF values are also shown in Tables S5 and S6:
HQ = ADD / RfD
HI = HQ oral + HQ dermal
CR = ADD × SF

3. Results and Discussion

3.1. Soil Physicochemical Characterization

The physicochemical characterization of the tested soils is presented in Table 1. The soils in the Cijiawan River (CJ), Bazhang River (BZ), and Changhwa (CH) areas were acidic, with pH of 4.1 to 6.3, while those of Mulan Bridge of Hehuan River (HH) had neutral pH of 7.0 to 7.7. The cation exchange capacity (CEC) of soils was between 18.8 and 27.8 cmolc/kg. Total organic carbon (TOC) in soils from the three DWSQP areas was between 5.4 and 8.9 wt%, while TOC was in the range of 2.6 to 2.7 wt% in the CH samples. The soil texture showed extremely different distribution in these four areas. In contrast to the soils from the HH and BZ areas predominated by sand fraction with the soil types of clay loam (CL), sandy clay loam (SCL), loam (L), and sandy loam (SL), the soil type from the CJ area was predominated by clay (C). In addition, the soil type in the CH area was loam (L). Overall, the most significant difference between the soils from the DWSQP areas and the CH farmlands was TOC, which could be resulted from the addition of livestock manure in the former, as shown by Liang et al. [58].

3.2. Total Concentrations of Heavy Metals

The total concentrations of heavy metals in soils from the DWSQP areas and the CH farmlands are shown in Table 2. The ranges of total metal concentrations of the three DWSQP areas for As, Hg, Cd, Ni, and Pb were within 9.57–15.5 (12.0 ± 1.71), 0.07‒0.19 (0.12 ± 0.03), ND‒0.99 (0.55 ± 0.27), 18.4‒50.2 (26.9 ± 9.59), and 20.3‒39.0 (25.1 ± 5.75) mg/kg, respectively. The concentrations of these metals were all lower than the control standards promulgated by Taiwan EPA for both agricultural and non-agricultural soils. However, the concentrations of Cr, Cu, and Zn were within the ranges of 44.7‒396 (115 ± 126), 22.7‒149 (92.7 ± 34.3), and 74.0‒606 (390 ± 159) mg/kg, respectively. The levels of Cr in farmlands of the CJ area (CJSA01: 396 mg/kg) and the BZ area (BZSA24: 302 mg/kg) exceeded the control standard promulgated by Taiwan EPA for non-agricultural soils (i.e., Cr: 250 mg/kg). Additionally, Cu and Zn in soil samples from sampling site HHSA01 (i.e., 149 and 606 mg/kg, respectively) of the HH area exceeded the monitoring standard (i.e., 120 mg/kg for Cu) and the control standard (i.e., 600 mg/kg for Zn) for agricultural soils. The reason causing the high concentrations of Cr, Cu, and Zn in these farmlands can be attributed to the fertilization by livestock manure [59].
Two agricultural soils contaminated by irrigation water due to co-use of irrigation and drainage canals, collected from Changhwa (CH), Central Taiwan, were also studied to compare with the results from soils in the aforementioned DWSQP areas. The concentrations of Cr, Cu, and Zn were 438, 576, and 1010 mg/kg, respectively, in sampling site CH2202, while they were 245, 309, and 1010 mg/kg, respectively, in CH2424 (Table 2). In addition, the level of Cr was close (i.e., 245 mg/kg) to or exceeded (i.e., 438 mg/kg) the Taiwan EPA control standard (i.e., 250 mg/kg for Cr) for non-agricultural soils. Furthermore, both Cu and Zn concentrations in these two sites exceeded the control standard (200 mg/kg for Cu and 600 mg/kg for Zn) for agricultural soils. The concentrations of Cr and Zn in this study were similar to the results shown by Lai et al. [60] (the maximum concentration of Cr and Zn in farmland soils polluted by irrigation water collected from central Taiwan was 463 mg/kg and 958 mg/kg, respectively). These results suggest that the levels of heavy metals in the paddy field of CH contaminated by irrigation water were higher than those in the DWSQP areas contaminated by livestock manure, implying a higher risk from the former. Importantly, paddy field contamination due to co-use of some irrigation and drainage canals still remains unresolved in Taiwan and needs to be further addressed.

3.3. Sequential Extraction Procedure Results

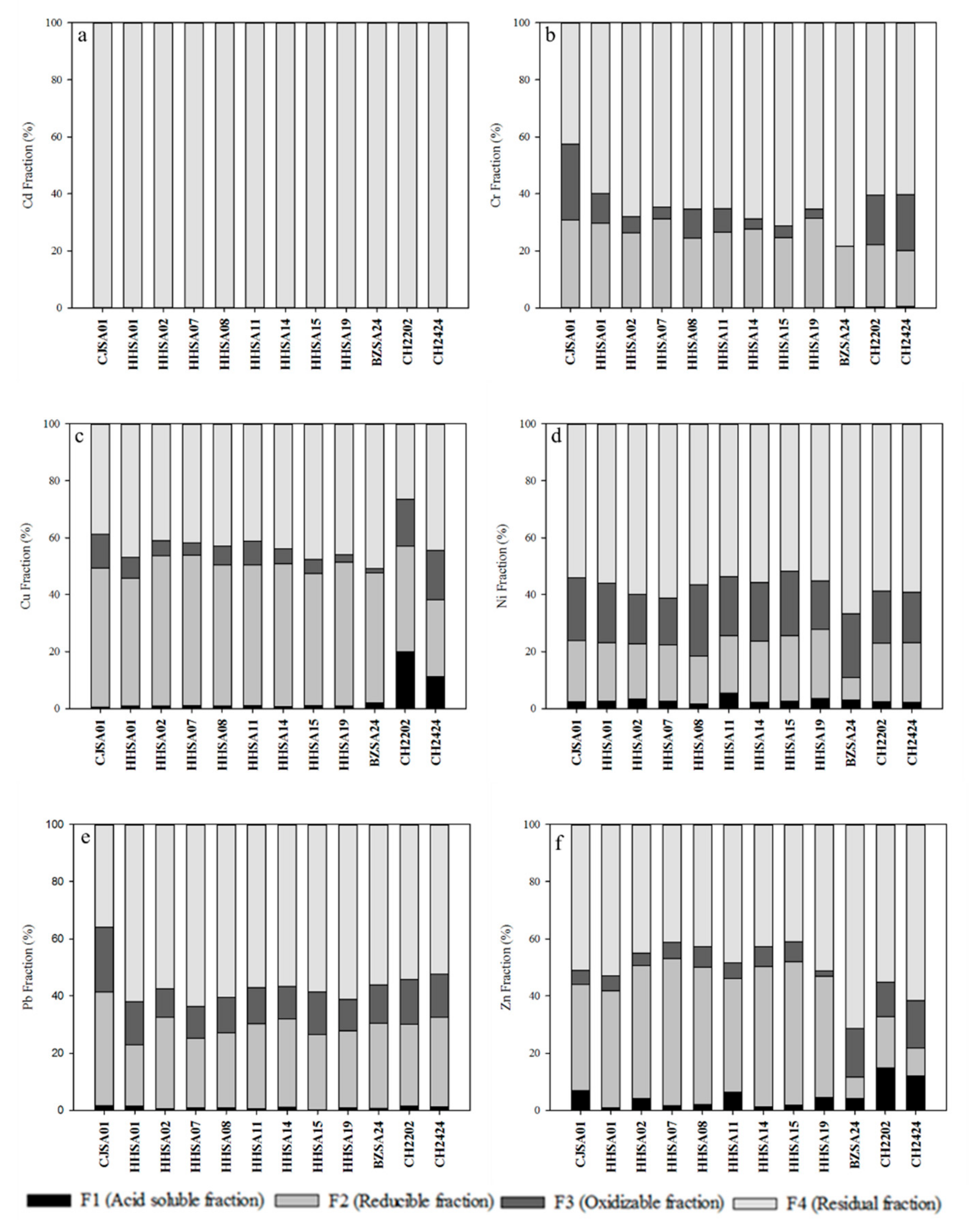
Figure 2 shows the percent distribution of Cr, Ni, Zn, Cu, and Pb in different chemical forms in the soils. Cd in this study was only found in the residual fraction (F4), while other fractions were all lower than the method detection limit (MDL) (i.e., 0.08 mg/kg, Table S2). Cr and Pb were predominantly distributed in F4 with the range of 42.5‒78.4% and 35.9‒63.7%, respectively, followed by reducible fraction (F2) with the range of 19.6‒31.4% and 21.4‒39.9%, respectively. Ni had a similar fraction distribution in all samples that was mainly in F4 in the range of 51.8‒66.7%, followed by the metal bound to the oxidizable fraction (F3) in the range of 16.5‒25.11% and by F2 (7.80‒24.3%). In the case of Cu and Zn, the metal fractions in the farmland of the DWSQP areas were mainly dominated by F2 (44.9‒52.7% for Cu and 7.68‒51.6% for Zn) and F4 (38.7‒50.8% for Cu and 41.0‒71.3% for Zn). In contrast, the soluble fraction (F1) of Cu and Zn in CH soils contaminated by irrigation was relatively higher (11.2‒19.9%) than that in the DWSQP areas, indicating that Cu and Zn in CH soils may be more mobile and bioavailable [61]. Cu and Zn with more available phase (F1) than the other metals also suggest that their mobility and bioavailability in short-term, intensive leaching should be further noticed [12].

3.4. Environmental Risk Assessment

Based on the RAC classification [20,62], calculated results of RAC suggest that only Cu and Zn in the CH soils possessed medium environmental risk (Figure 3). In contrast, heavy metals, including Cu, Cr, Zn, Ni, and Pb, in the soils of the DWSQP areas exhibited a low environmental risk. Notably, even though the total concentrations of Cr and Zn of some samples from the DWSQP areas were large and exceeded the Taiwan EPA control standard for agricultural soil, they posed no instant environmental risk because their leachabilities of acid soluble/exchangeable (i.e., by CH3COOH) phase were too small to cause high risk. By means of STI model calculation, it was also obvious that we should take more concerns about the potential deterioration effects to the aquatic ecosystem and plants around CH2202 and CH2424 (Table 3) paddy fields, which were the soils contaminated by irrigation, especially for Cu and Zn. Because of the potential threat to human health affected by heavy metal ions that enter into the biosphere, it was not proper to place the contaminated soil without any further action of remediation.

3.5. Bioaccessibility Assessment of Cr, Cu, and Zn in Contaminated Soils by PBET and SBET

The bioaccessible Cr, Cu, and Zn obtained by using two in vitro chemical extraction methods are shown in Figure 4. The bioaccessibility was expressed as the percentage of Cr, Cu, and Zn contents extracted by in vitro experiments with respect to their total content in the soils. For Cr, the extraction results indicate that the bioaccessible values obtained by SBET (range: ND‒6.53%; average: 2.42%) were significantly greater than those obtained by gastric extraction of PBET (range: ND‒3.84%; average: 0.61%). The different pH, with values of 1.5 for SBET and 2.5 for gastric PBET, was the main factor to explain the different results of bioaccessibility. However, the extraction proportion of intestinal extraction (pH = 7.0) of PBET (range: 0.79‒13.1%; average: 3.87%) was relatively larger than those of the gastric phase (pH = 2.5) and SBET, showing the reason of formation of oxo-species in the neutral condition [63]. For Cu, the average value of bioaccessibility of SBET (range: 21.7‒60.4%; average: 37.6%) was larger than those of gastric extraction (range: ND‒72.2%; average: 12.8%) and intestinal extraction of PBET (range: 5.88‒70.6%; average: 22.6%). The proportion of intestinal extraction of PBET was larger than the gastric phase, due to the greater affinity of metal to the gastric solution and to metal binding competition between the gastric solution and sodium carbonate [64]. In addition, the bioaccessibility of Cu in the CH soils was relatively larger than those in the DWSQP areas, suggesting that the bioaccessibility of metals could be higher when their corresponding total content was also larger. For Zn, the experimental results show that the bioaccessible values of SBET (range: 5.37‒67.3%; average: 45.4%) were significantly larger than those obtained by gastric extraction of PBET (range: 5.00‒31.4%; average: 20.7%). In contrast, the proportion of intestinal extraction (pH = 7.0) of PBET (range: 0.93‒10.5%; average: 4.55%) was relatively smaller than those in the gastric phase extraction of SBET and PBET (pH = 1.5 and 2.5, respectively). These results suggest that Zn is more easily dissolved in an acidic condition, which is in consistence with the findings of a previous work [65].
Overall, this study showed positive correlation between SBET and gastric PBET for Cr (r = 0.728, p = 0.007) and Cu (r = 0.834, p = 0.001), which was also displayed in previous studies [35,36]. However, for Zn, negative correlation was found between SBET and intestinal PBET (r = −0.798, p = 0.002) that was also shown by Mendoza et al. [66]. SBET and PBET results further suggest that the bioaccessibility of Cu and Zn could be up to 72.2 and 67.3%, respectively, for the contaminated soils, which may cause instantly adverse health effects to humans if the soils were directly ingested by sensitive populations such as farmers through hand-to-mouth activities when they work in the farmland. In addition, we also investigated the drinking water protection areas not contaminated with livestock manure and irrigation practices, which can be regarded as the reference control. The total concentrations of Cr, Cu, and Zn were 29.0 ± 7.82, 16.9 ± 8.22, and 86.4 ± 28.2 mg/kg, while their SBET were ND, 15.0 ± 6.73, and 9.17 ± 6.40%, respectively (data was not shown). The values of contaminated DWSQP areas and the farmlands are clearly higher than the results of the reference control, which could be attributed to the anthropogenic activities. On the other hand, soil dermal contact is also another important exposure route for farmers. To better understand the actual exposure hazard for farmers, carcinogenic and non-carcinogenic risks were estimated and elaborated in the next section.

3.6. Health Risk Assessment

Non-carcinogenic and carcinogenic risks of Cr and Cu of the three DWSQP and the CH areas are shown in Figure 5 (non-carcinogenic risks of Zn through soil ingestion and dermal contact were not shown here because calculated values were both smaller than 0.01). For non-carcinogenic hazards, the results of HQoral and HI based on the total content (TC) and bioaccessibility of Cr and Cu were both less than 1. However, the contribution of two exposure routes for Cr and Cu was different. The HQoral based on total content (0.030–0.214) and HQdermal (0.036–0.259) of Cr were quiet close, while Cu was mainly from soil ingestion (HQoral: 0.037–0.684; HQdermal: 0.0001–0.0014).
For carcinogenic hazards of Cr, CR based on the total content in the three DWSQP and the CH areas were higher than 10−6 with one even more than 10−4 in the CJ area. Although CR decreased when considering the bioaccessibility, the risk in the CJ, BZ, and CH areas was still higher than 10−6. Therefore, the issue of heavy metals in soils contaminated by inadequate irrigation and fertilization of livestock manure needs to be further considered. Proper control strategies, or limiting use of livestock manure as a soil fertilizer alternative, should be implemented, especially for the farmlands located in drinking water protection areas.
Notably, the limitations in this study were: (1) The limited number of soil samples collected from Cijiawan River (CJ), Bazhang River (BZ), and the paddy field in Changhwa (CH), which would increase the uncertainty of risk estimation; (2) the fractions of Cr speciation were not investigated—Cr(VI) is considered to be more toxic than Cr(III) [67], and using total Cr concentration would overestimate the actual human health risk for farmers; and (3) Oluyemi et al. [68] indicated that Cu and Zn in the dry season were more toxic than in the wet season, which may be due to the runoff effect that is capable of leaching of heavy metals from the farmland soils. However, seasonal effects were not investigated in this study.

4. Conclusions

This study evaluated the potential environmental and health risks caused by the utilization of livestock manures as a soil fertilizer and by inadequate irrigation. The results suggest that the environmental risk from the fertilization of livestock manure was in a low level. However, Cu and Zn in the Changhwa paddy soils contaminated by irrigation posed medium risk. Notably, although the environmental risk was considered low in the DWSQP areas, the long-term influence from the enrichment in Cu, Zn, and Cr concentrations in these farmlands to the water quality due to fertilization of livestock manure should be monitored. We also found that the carcinogenic risk of Cr in the Cijiawan River, Bazhang River, and Changhwa areas was still higher than the acceptable value (10−6) when considering the bioaccessibility. Therefore, the potential impacts on environmental and human health due to direct and indirect exposures to the soils contaminated by inappropriate discharge of wastewater should be greatly considered and immediate action should be taken to limit the release of heavy metals from soils. These results also imply that the health risk to farmers who are exposed to the soils in the DWSQP areas polluted by fertilization of livestock manure cannot be ignored as well.

Supplementary Materials

The following are available online at https://www.mdpi.com/2071-1050/11/19/5166/s1: Table S1: Detailed information of the modified BCR sequential extraction procedure. Table S2: The method detection limit, accuracy, and precision for heavy metals in various experiments. Table S3: The model parameter of modified synthesis toxicity index (STI). Table S4: Composition and in vitro parameters for PBET and SBET assays. Table S5: Values of parameters used to calculate the human exposure risk through soil ingestion. Table S6: Values of parameters used to calculate the human exposure risk through soil dermal contact.

Author Contributions

Conceptualization, S.-H.H. and H.-C.H.; methodology, Y.-L.W. and S.-S.L.; formal analysis, S.-H.H., Y.-L.W., and S.-S.L.; resources, Z.-Y.H.; writing—original draft preparation, S.-H.H., Y.-L.W., and S.-S.L.; writing—review and editing, L.-C.C., T.-C.C., and H.-C.H.

Funding

This work was financially supported by the Environmental Protection Administration, Taiwan under Grant no. EPA-103-GA11-03-A318.

Acknowledgments

The authors would like to thank Chen-chi Tsai from National Ilan University, Taiwan for providing the soil samples.

Conflicts of Interest

The authors declare no conflicts of interest.

References

  1. Bruun, S.; Hansen, T.L.; Christensen, T.H.; Magid, J.; Jensen, L.S. Application of processed organic municipal solid waste on agricultural land—A scenario analysis. Environ. Model. Assess. 2006, 11, 251–265. [Google Scholar] [CrossRef]
  2. Hargreaves, J.; Adl, M.; Warman, P. A review of the use of composted municipal solid waste in agriculture. Agric. Ecosyst. Environ. 2008, 123, 1–14. [Google Scholar] [CrossRef]
  3. Weber, J.; Karczewska, A.; Drozd, J.; Licznar, M.; Licznar, S.; Jamroz, E.; Kocowicz, A. Agricultural and ecological aspects of a sandy soil as affected by the application of municipal solid waste composts. Soil Biol. Biochem. 2007, 39, 1294–1302. [Google Scholar] [CrossRef]
  4. Singh, R.; Agrawal, M. Potential benefits and risks of land application of sewage sludge. Waste Manag. 2008, 28, 347–358. [Google Scholar] [CrossRef] [PubMed]
  5. Eneji, A.E.; Honna, T.; Yamamoto, S.; Masuda, T.; Endo, T.; Irshad, M. The relationship between total and available heavy metals in composted manure. J. Sustain. Agric. 2003, 23, 125–134. [Google Scholar] [CrossRef]
  6. Pichtel, J.; Anderson, M. Trace metal bioavailability in municipal solid waste and sewage sludge composts. Bioresour. Technol. 1997, 60, 223–229. [Google Scholar] [CrossRef]
  7. Pinamonti, F.; Stringari, G.; Gasperi, F.; Zorzi, G. The use of compost: Its effects on heavy metal levels in soil and plants. Resour. Conserv. Recycl. 1997, 21, 129–143. [Google Scholar] [CrossRef]
  8. Lipoth, S.L.; Schoenau, J.J. Copper, zinc, and cadmium accumulation in two prairie soils and crops as influenced by repeated applications of manure. J. Plant Nutr. Soil Sci. 2007, 170, 378–386. [Google Scholar] [CrossRef]
  9. Madrid, F.; Lopez, R.; Cabrera, F. Metal accumulation in soil after application of municipal solid waste compost under intensive farming conditions. Agric. Ecosyst. Environ. 2007, 119, 249–256. [Google Scholar] [CrossRef]
  10. Aubert, J.E.; Husson, B.; Vaquier, A. Use of municipal solid waste incineration fly ash in concrete. Cem. Concr. Res. 2004, 34, 957–963. [Google Scholar] [CrossRef]
  11. Shim, Y.S.; Rhee, S.W.; Lee, W.K. Comparison of leaching characteristics of heavy metals from bottom and fly ashes in Korea and Japan. Waste Manag. 2005, 25, 473–480. [Google Scholar] [CrossRef]
  12. Sungur, A.; Soylak, M.; Ozcan, H. Investigation of heavy metal mobility and availability by the BCR sequential extraction procedure: Relationship between soil properties and heavy metals availability. Chem. Spec. Bioavailab. 2015, 26, 219–230. [Google Scholar] [CrossRef]
  13. Tessier, A.; Campbell, P.G.; Bisson, M. Sequential extraction procedure for the speciation of particulate trace metals. Anal. Chem. 1979, 51, 844–851. [Google Scholar] [CrossRef]
  14. Filgueiras, A.V.; Lavilla, I.; Bendicho, C. Chemical sequential extraction for metal partitioning in environmental solid samples. J. Environ. Monit. 2002, 4, 823–857. [Google Scholar] [CrossRef]
  15. Bruder-Hubscher, V.; Lagarde, F.; Leroy, M.; Coughanowr, C.; Enguehard, F. Application of a sequential extraction procedure to study the release of elements from municipal solid waste incineration bottom ash. Anal. Chim. Acta 2002, 451, 285–295. [Google Scholar] [CrossRef]
  16. Smeda, A.; Zyrnicki, W. Application of sequential extraction and the ICP-AES method for study of the partitioning of metals in fly ashes. Microchem. J. 2002, 72, 9–16. [Google Scholar] [CrossRef]
  17. Huang, S.J.; Chang, C.Y.; Chang, F.C.; Lee, M.Y.; Wang, C.F. Sequential extraction for evaluating the leaching behavior of selected elements in municipal solid waste incineration fly ash. J. Hazard. Mater. 2007, 149, 180–188. [Google Scholar] [CrossRef]
  18. Perin, G.; Craboledda, L.; Lucchese, M.; Cirillo, R.; Dotta, L.; Zanette, M.L.; Orio, A.A. Heavy metal speciation in the sediments of northern Adriatic Sea—A new approach for environmental toxicity determination. Heavy Met. Environ. 1985, 2, 454–456. [Google Scholar]
  19. González, A.; Palma, M.; Ziegler, K.; González, E.; Álvarez, M. Contamination and risk assessment of heavy metals in bottom sediments from Lake Valencia, Venezuela. In Proceedings of the 16th International Conference on Heavy Metals in the Environment, Rome, Italy, 23–27 September 2012; EDP Sciences: Paris, France, 17 June 2013; Volume 1. [Google Scholar] [CrossRef]
  20. Pan, Y.; Wu, Z.; Zhou, J.; Zhao, J.; Ruan, X.; Liu, J.; Qian, G. Chemical characteristics and risk assessment of typical municipal solid waste incineration (MSWI) fly ash in China. J. Hazard. Mater. 2013, 261, 269–276. [Google Scholar] [CrossRef]
  21. An, Y.J.; Kim, Y.M.; Kwon, T.I.; Jeong, S.W. Combined effect of copper, cadmium, and lead upon Cucumis sativus growth and bioaccumulation. Sci. Total Environ. 2004, 326, 85–93. [Google Scholar] [CrossRef]
  22. Davidson, C.M.; Duncan, A.L.; Littlejohn, D.; Ure, A.M.; Garden, L.M. A critical evaluation of the three-stage BCR sequential extraction procedure to assess the potential mobility and toxicity of heavy metals in industrially-contaminated land. Anal. Chim. Acta 1998, 363, 45–55. [Google Scholar] [CrossRef]
  23. Van der Oost, R.; Beyer, J.; Vermeulen, N.P. Fish bioaccumulation and biomarkers in environmental risk assessment: A review. Environ. Toxicol. Pharmacol. 2003, 13, 57–149. [Google Scholar] [CrossRef]
  24. Holmstrup, M.; Maraldo, K.; Krogh, P.H. Combined effect of copper and prolonged summer drought on soil microarthropods in the field. Environ. Pollut. 2007, 146, 525–533. [Google Scholar] [CrossRef] [PubMed]
  25. Qian, H.; Li, J.; Sun, L.; Chen, W.; Sheng, G.D.; Liu, W.; Fu, Z. Combined effect of copper and cadmium on Chlorella vulgaris growth and photosynthesis-related gene transcription. Aquat. Toxicol. 2009, 94, 56–61. [Google Scholar] [CrossRef] [PubMed]
  26. Straatsma, M.W.; van der Perk, M.; Schipper, A.M.; de Nooij, R.J.W.; Leuven, R.S.E.W.; Huthoff, F.; Middelkoop, H. Uncertainty in hydromorphological and ecological modelling of lowland river floodplains resulting from land cover classification errors. Environ. Modell. Softw. 2013, 42, 17–29. [Google Scholar] [CrossRef]
  27. Williams, T.; Rawlins, B.; Smith, B.; Breward, M. In-vitro determination of arsenic bioavailability in contaminated soil and mineral beneficiation waste from Ron Phibun, southern Thailand: A basis for improved human risk assessment. Environ. Geochem. Health 1998, 20, 169–177. [Google Scholar] [CrossRef]
  28. Smith, E.; Naidu, R.; Alston, A. Chemistry of arsenic in soils: I. Sorption of arsenate and arsenite by four Australian soils. J. Environ. Qual. 1999, 28, 1719–1726. [Google Scholar] [CrossRef]
  29. Sarkar, D.; Datta, R. A modified in-vitro method to 28, 1719–1726.assess bioavailable arsenic in pesticide-applied soils. Environ. Pollut. 2003, 126, 363–366. [Google Scholar] [CrossRef]
  30. Ruby, M.V.; Davis, A.; Schoof, R.; Eberle, S.; Sellstone, C.M. Estimation of lead and arsenic bioavailability using a physiologically based extraction test. Environ. Sci. Technol. 1996, 30, 422–430. [Google Scholar] [CrossRef]
  31. Li, Y.; Zhang, M.K. A comparison of physiologically based extraction test (PBET) and single-extraction methods for release of Cu, Zn, and Pb from mildly acidic and alkali soils. Environ. Sci. Pollut. Res. Int. 2013, 20, 3140–3148. [Google Scholar] [CrossRef]
  32. Wragg, J.; Cave, M. In-Vitro Methods for the Measurement of the Oral Bioaccessibility of Selected Metals and Metalloids in Soils: A Critical Review; Environment Agency: Bristol, UK, 2003.
  33. Deshommes, E.; Tardif, R.; Edwards, M.; Sauvé, S.; Prévost, M. Experimental determination of the oral bioavailability and bioaccessibility of lead particles. Chem. Cent. J. 2012, 6, 138. [Google Scholar] [CrossRef] [PubMed]
  34. Drexler, J.; Brattin, W. An in vitro procedure for estimation of lead relative bioavailability: With validation. Hum. Ecol. Risk Assess. 2007, 13, 383–401. [Google Scholar] [CrossRef]
  35. Li, J.; Wei, Y.; Zhao, L.; Zhang, J.; Shangguan, Y.; Li, F.; Hou, H. Bioaccessibility of antimony and arsenic in highly polluted soils of the mine area and health risk assessment associated with oral ingestion exposure. Ecotoxicol. Environ. Saf. 2014, 110, 308–315. [Google Scholar] [CrossRef] [PubMed]
  36. Mingot, J.; de Miguel, E.; Chacón, E. Assessment of oral bioaccessibility of arsenic in playground soil in Madrid (Spain): A three-method comparison and implications for risk assessment. Chemosphere 2011, 84, 1386–1391. [Google Scholar] [CrossRef] [PubMed]
  37. Basta, N.T.; Rodriguez, R.R.; Casteel, S.W. Bioavailability and risk of arsenic exposure by the soil ingestion pathway. In Environmental Chemistry of Arsenic; Frankenberger, W.T., Ed.; Marcel Dekker, Inc.: New York, NY, USA, 2001; pp. 137–160. [Google Scholar]
  38. Duda-Chodak, A.; Blaszczyk, U. The impact of nickel on human health. J. Elementol. 2008, 13, 685–696. [Google Scholar]
  39. Mahurpawar, M. Effects of heavy metals on human health. Int. J. Res. Granthaalayah. 2015, 530, 1–7. [Google Scholar]
  40. Plum, L.M.; Rink, L.; Haase, H. The essential toxin: impact of zinc on human health. Int. J. Environ. Res. Public Health 2010, 7, 1342–1365. [Google Scholar] [CrossRef]
  41. Singh, J.; Kalamdhad, A.S. Effects of heavy metals on soil, plants, human health and aquatic life. Int. J. Res. Chem. Environ. 2011, 1, 15–21. [Google Scholar]
  42. Luan, J.; Chai, M.; Li, R. Heavy metal migration and potential environmental risk assessment during the washing process of MSW incineration fly ash and molten slag. Procedia Environ. Sci. 2016, 31, 351–360. [Google Scholar] [CrossRef]
  43. Stanek, E.J.; Calabrese, E.J.; Barnes, R.M. Soil ingestion estimates for children in Anaconda using trace element concentrations in different particle size fractions. Hum. Ecol. Risk Assess. 1999, 5, 547–558. [Google Scholar] [CrossRef]
  44. Chien, L.C.; Tsou, M.C.; Hsi, H.C.; Beamer, P.; Bradham, K.; Hseu, Z.Y.; Jien, S.H.; Jiang, C.B.; Dang, W.; Özkaynak, H. Soil ingestion rates for children under 3 years old in Taiwan. J. Expo. Sci. Environ. Epidemiol. 2017, 27, 33–40. [Google Scholar] [CrossRef] [PubMed]
  45. Mclean, E. Soil pH and lime requirement. In Methods of Soil Analysis, Part 2. Chemical and Microbiological Properties, 2nd ed.; Page, A.L., Ed.; American Society of Agronomy/Soil Science Society of America: Madison, WI, USA, 1982; pp. 199–224. [Google Scholar]
  46. Taiwan Environmental Protection Administration (Taiwan EPA). The Cation Exchange Capacity in Soils Extracted by Ammonium Acetate (NIEA S201.61C). 2011. Available online: https://www.niea.gov.tw/niea/SOIL/S20161C.htm (accessed on 5 August 2019).
  47. Nelson, D.W.; Sommers, L.E. Total carbon, organic carbon and organic matter. In Methods of Soil Analysis, Part 2. Chemical and Microbiological Properties; Page, A.L., Ed.; American Society of Agronomy/Soil Science Society of America: Madison, WI, USA, 1982; pp. 539–579. [Google Scholar]
  48. Gee, G.W.; Bauder, J.W.; Klute, A. Particle size analysis. In Methods of Soil Analysis, Part 1. Physical and Mineralogical Methods, Agronomy Monograph No. 9, 2nd ed.; Klute, A., Ed.; American Society of Agronomy/Soil Science Society of America: Madison, WI, USA, 1986; pp. 383–411. [Google Scholar]
  49. Taiwan Environmental Protection Administration (Taiwan EPA). The Total Content of Heavy Metal in Soils Analyzed by Microwave-Assisted Aqua Regia Digestion (NIEA S301.60B). 2015. Available online: https://www.niea.gov.tw/niea/pdf/SOIL/S30160B.pdf (accessed on 5 August 2019).
  50. Sutherland, R.A.; Tack, F.M.G. Fractionation of Cu, Pb and Zn in certified reference soils SRM 2710 and SRM 2711 using the optimized BCR sequential extraction procedure. Adv. Environ. Res. 2003, 8, 37–50. [Google Scholar] [CrossRef]
  51. Li, S.W.; Li, J.; Li, H.B.; Naidu, R.; Ma, L.Q. Arsenic bioaccessibility in contaminated soils: Coupling in vitro assays with sequential and HNO3 extraction. J. Hazard. Mater. 2015, 295, 145–152. [Google Scholar] [CrossRef] [PubMed]
  52. U.S. Environmental Protection Agency (U.S. EPA). Standard Operating Procedure for an in Vitro Bioaccessibility Assay for Lead in Soil (EPA 9200.2-86); U.S. Environmental Protection Agency (U.S. EPA): Washington, DC, USA, 2012.
  53. Taiwan Environmental Protection Administration (Taiwan EPA). Guide to Quality Control of Analysis of Environmental Samples (NIEA-PA104); Taiwan Environmental Protection Administration (Taiwan EPA): Taipei, Taiwan, 2004.
  54. National Research Council (NRC). Risk Assessment in the Federal Government: Managing the Process; NRC: New Hill, NC, USA, 1983.
  55. Araya, M.; Olivares, M.; Pizarro, F.; González, M.; Speisky, H.; Uauy, R. Gastrointestinal symptoms and blood indicators of copper load in apparently healthy adults undergoing controlled copper exposure. Am. J. Clin. Nutr. 2003, 77, 646–650. [Google Scholar] [CrossRef]
  56. Brown, M.A.; Thom, J.V.; Orth, G.L.; Cova, P.; Juarez, J. Food poisoning involving zinc contamination. Arch. Environ. Health 1964, 8, 657–660. [Google Scholar] [CrossRef]
  57. National Toxicology Program (NTP). NTP technical report on the toxicology and carcinogenesis studies of sodium dichromate dihydrate (CAS No. 7789-12-0) in F344/N rats and B6C3F1 mice (Drinking Water Studies). Natl. Toxicol. Program Tech. Rep. Ser. 2008, 1, 1–192. [Google Scholar]
  58. Liang, Q.; Chen, H.; Gong, Y.; Fan, M.; Yang, H.; Lal, R.; Kuzyakov, Y. Effects of 15 years of manure and inorganic fertilizers on soil organic carbon fractions in a wheat-maize system in the North China Plain. Nutr. Cycl. Agroecosys. 2012, 92, 21–33. [Google Scholar] [CrossRef]
  59. Zhang, F.; Li, Y.; Yang, M.; Li, W. Content of heavy metals in animal feeds and manures from farms of different scales in northeast China. Int. J. Environ. Res. Public Health 2012, 9, 2658–2668. [Google Scholar] [CrossRef] [PubMed]
  60. Lai, H.Y.; Hseu, Z.Y.; Chen, T.C.; Chen, B.C.; Guo, H.Y.; Chen, Z.S. Health risk-based assessment and management of heavy metals-contaminated soil sites in Taiwan. Int. J. Environ. Res. Public Health 2010, 7, 3595–3614. [Google Scholar] [CrossRef] [PubMed]
  61. Zimmerman, A.J.; Weindorf, D.C. Heavy metal and trace metal analysis in soil by sequential extraction: A review of procedures. Int. J. Anal. Chem. 2010, 2010, 71–76. [Google Scholar] [CrossRef]
  62. Zhou, Y.; Ning, X.A.; Liao, X.; Lin, M.; Liu, J.; Wang, J. Characterization and environmental risk assessment of heavy metals found in fly ashes from waste filter bags obtained from a Chinese steel plant. Ecotoxicol. Environ. Saf. 2013, 95, 130–136. [Google Scholar] [CrossRef]
  63. Eary, L.E.; Rai, D. Kinetics of chromium(III) oxidation to chromium(VI) by reaction with manganese dioxide. Environ. Sci. Technol. 1987, 21, 1187–1193. [Google Scholar] [CrossRef]
  64. Poggio, L.; Vrscaj, B.; Schulin, R.; Hepperle, E.; Ajmone Marsan, F. Metals pollution and human bioaccessibility of topsoils in Grugliasco (Italy). Environ. Pollut. 2009, 157, 680–689. [Google Scholar] [CrossRef] [PubMed]
  65. Li, Y.; Demisie, W.; Zhang, M.K. The function of digestive enzymes on Cu, Zn, and Pb release from soil in in vitro digestion tests. Environ. Sci. Pollut. Res. Int. 2013, 20, 4993–5002. [Google Scholar] [CrossRef]
  66. Mendoza, C.J.; Garrido, R.T.; Quilodrán, R.C.; Segovia, C.M.; Parada, A.J. Evaluation of the bioaccessible gastric and intestinal fractions of heavy metals in contaminated soils by means of a simple bioaccessibility extraction test. Chemosphere 2017, 176, 81–88. [Google Scholar] [CrossRef]
  67. Prado, F.E.; Hilal, M.; Chocobar-Ponce, S.; Pagano, E.; Rosa, M.; Prado, C. Chapter 6-Chromium and the Plant: A Dangerous Affair? A2-Ahmad, Parvaiz; Plant Metal Interaction; Elsevier: Amsterdam, The Netherlands, 2016; pp. 149–177. [Google Scholar]
  68. Oluyemi, E.A.; Feuyit, G.; Oyekunle, J.A.O.; Ogunfowokan, A.O. Seasonal variations in heavy metal concentrations in soil and some selected crops at a landfill in Nigeria. Afr. J. Environ. Sci. Technol. 2008, 2, 89–96. [Google Scholar]
Figure 1. Sampling sites of three Drinking Water Source Quality Protection (DWSQP) areas and Changhwa (CH), Taiwan.
Figure 1. Sampling sites of three Drinking Water Source Quality Protection (DWSQP) areas and Changhwa (CH), Taiwan.
Sustainability 11 05166 g001
Figure 2. Distribution of chemical forms of (a) Cd, (b) Cr, (c) Cu, (d) Ni, (e) Pb, and (f) Zn in soils of three Drinking Water Source Quality Protection areas as compared to those in CH soils contaminated by irrigation.
Figure 2. Distribution of chemical forms of (a) Cd, (b) Cr, (c) Cu, (d) Ni, (e) Pb, and (f) Zn in soils of three Drinking Water Source Quality Protection areas as compared to those in CH soils contaminated by irrigation.
Sustainability 11 05166 g002
Figure 3. Risk assessment code (RAC) of heavy metals in the soils of the three Drinking Water Source Quality Protection areas, as compared to CH soils.
Figure 3. Risk assessment code (RAC) of heavy metals in the soils of the three Drinking Water Source Quality Protection areas, as compared to CH soils.
Sustainability 11 05166 g003
Figure 4. Bioaccessibility of (a) Cr, (b) Cu, and (c) Zn in the soils of the three Drinking Water Source Quality Protection areas, as compared to the CH soils contaminated by irrigation.
Figure 4. Bioaccessibility of (a) Cr, (b) Cu, and (c) Zn in the soils of the three Drinking Water Source Quality Protection areas, as compared to the CH soils contaminated by irrigation.
Sustainability 11 05166 g004
Figure 5. Hazard quotient (HQ) or index (HI) of (a) Cr and (b) Cu, and cancer risk (CR) of (c) Cr in the soils of the three Drinking Water Source Quality Protection areas, as compared to the CH soils contaminated by irrigation.
Figure 5. Hazard quotient (HQ) or index (HI) of (a) Cr and (b) Cu, and cancer risk (CR) of (c) Cr in the soils of the three Drinking Water Source Quality Protection areas, as compared to the CH soils contaminated by irrigation.
Sustainability 11 05166 g005
Table 1. Physicochemical characterization for soils of the three Drinking Water Source Quality Protection areas and Changhwa (CH) soils.
Table 1. Physicochemical characterization for soils of the three Drinking Water Source Quality Protection areas and Changhwa (CH) soils.
LocationSample No.CoordinateDeep (cm)pHTOC (%)CEC (cmolc/kg)Sand (%)Silt (%)Clay (%)Soil Type a
XY
Cijiawan River (CJ)CJSA01281,1052,697,7480–155.48.927.8103951C
Mulan Bridge of Hehuan River (HH)HHSA01273,3682,676,6950–157.07.522.9422830CL
HHSA02273,1462,676,5230–157.65.419.4522622SCL
HHSA07273,3702,676,1260–157.36.821.9463618L
HHSA08272,9922,675,9280–157.68.318.8484012L
HHSA11273,0012,675,6530–157.46.424.8383428CL
HHSA14273,1102,675,4820–157.76.721.0523018SL
HHSA15272,9702,675,3090–157.66.820.6453421L
HHSA19273,1102,674,94315–307.25.919.3423424L
Bazhang River (BZ)BZSA24219,1792,596,86815–304.16.225.0542323SCL
Changhwa (CH)CH2202201,9172,666,1780–156.02.621.0324622L
CH2424197,9112,665,9590–156.32.720.2433522L
a C: Clay; CL: Clay loam; SCL: Sandy clay loam; L: Loam; SL: Sandy loam.
Table 2. The total concentration of heavy metals in the examined soil samples and the monitoring and control standard for non-agricultural soils and agricultural soils in Taiwan.
Table 2. The total concentration of heavy metals in the examined soil samples and the monitoring and control standard for non-agricultural soils and agricultural soils in Taiwan.
Sample No.As (mg/kg)Hg (mg/kg)Cd (mg/kg)Cr (mg/kg)Cu (mg/kg)Ni (mg/kg)Pb (mg/kg)Zn (mg/kg)Fe (mg/kg)Mn (mg/kg)
CJSA0115.50.070.58396 d66.122.839.023131,900777
HHSA0111.70.130.8471.6149 a18.420.5606 b32,500726
HHSA0212.40.190.3644.776.728.829.5338 a43,700650
HHSA0712.60.140.9948.410830.425.1521 a38,8001220
HHSA089.850.110.6961.811650.223.5552 a32,7001150
HHSA1111.90.140.5065.411932.626.3439 a41,800747
HHSA1413.20.110.4747.785.119.320.3384 a33,600841
HHSA159.570.110.6045.491.021.020.4432 a32,100688
HHSA1912.30.130.4462.793.426.225.1321 a37,900841
BZSA2410.80.09ND e302 d22.719.521.374.031,400474
CH22027.570.100.53438 d576 d350 d40.51010 c26,697192
CH242411.00.080.49245 c309 c304 d58.51010 c27,244155
Monitoring standard for agricultural soils f-2.02.5-120-300260--
Control standard for agricultural soils g-5.05.0-200-500600--
Monitoring standard for non-agricultural soils h30101017522013010001000--
Control standard for non-agricultural soils i60202025040020020002000--
a The concentration of heavy metal is larger than the monitoring standard for agricultural soils.; b The concentration of heavy metal is larger than the control standard for agricultural soils.; c The concentration of heavy metal is larger than the monitoring standard for non-agricultural soils.; d The concentration of heavy metal is larger than the control standard for non-agricultural soils.; e ND = Not detected.; f,h Heavy metals in soils with contents higher than the monitoring standard means the soils need to be monitored and are untillable.; g,i Heavy metals in soils with contents higher than the control standard means the soils needs to be remediated immediately.
Table 3. Toxicity assessment of heavy metals in soils by the synthesis toxicity index (STI) model.
Table 3. Toxicity assessment of heavy metals in soils by the synthesis toxicity index (STI) model.
Sample No.CdCrCuNiPbZnΣSTI
CJSA010.008.787.491.471.662.1721.57
HHSA010.000.464.361.150.505.1611.64
HHSA020.000.294.011.720.903.3910.31
HHSA070.000.274.161.750.635.6112.43
HHSA080.000.414.232.810.645.7013.79
HHSA110.000.555.642.260.784.1213.34
HHSA140.000.353.381.220.633.969.53
HHSA150.000.243.411.440.554.6110.25
HHSA190.000.573.871.820.682.889.81
BJSA240.004.211.030.790.640.296.95
CH22020.007.5084.1620.971.259.03122.91
CH24240.004.0335.1518.161.915.7665.01

Share and Cite

MDPI and ACS Style

Huang, S.-H.; Wang, Y.-L.; Li, S.-H.; Chien, L.-C.; Chang, T.-C.; Hseu, Z.-Y.; Hsi, H.-C. Environmental and Health Risks of Heavy Metals in Farmland Soils of Drinking Water Protection Areas and a Contaminated Paddy Field in Taiwan. Sustainability 2019, 11, 5166. https://doi.org/10.3390/su11195166

AMA Style

Huang S-H, Wang Y-L, Li S-H, Chien L-C, Chang T-C, Hseu Z-Y, Hsi H-C. Environmental and Health Risks of Heavy Metals in Farmland Soils of Drinking Water Protection Areas and a Contaminated Paddy Field in Taiwan. Sustainability. 2019; 11(19):5166. https://doi.org/10.3390/su11195166

Chicago/Turabian Style

Huang, Shih-Han, Ying-Lin Wang, Sheng-Hsien Li, Ling-Chu Chien, Tien-Chin Chang, Zeng-Yei Hseu, and Hsing-Cheng Hsi. 2019. "Environmental and Health Risks of Heavy Metals in Farmland Soils of Drinking Water Protection Areas and a Contaminated Paddy Field in Taiwan" Sustainability 11, no. 19: 5166. https://doi.org/10.3390/su11195166

APA Style

Huang, S.-H., Wang, Y.-L., Li, S.-H., Chien, L.-C., Chang, T.-C., Hseu, Z.-Y., & Hsi, H.-C. (2019). Environmental and Health Risks of Heavy Metals in Farmland Soils of Drinking Water Protection Areas and a Contaminated Paddy Field in Taiwan. Sustainability, 11(19), 5166. https://doi.org/10.3390/su11195166

Note that from the first issue of 2016, this journal uses article numbers instead of page numbers. See further details here.

Article Metrics

Back to TopTop