Potential Toxicity of Nine Rare Earth Elements (REEs) on Marine Copepod Tigriopus fulvus
Abstract
1. Introduction
2. Materials and Methods
2.1. Preparation of Test Medium, Rare Earth Elements (REE)
2.2. Experimental Design and Conditions
2.3. Test Procedures
2.4. Data Analyses
3. Results and Discussion
3.1. Chemical Data
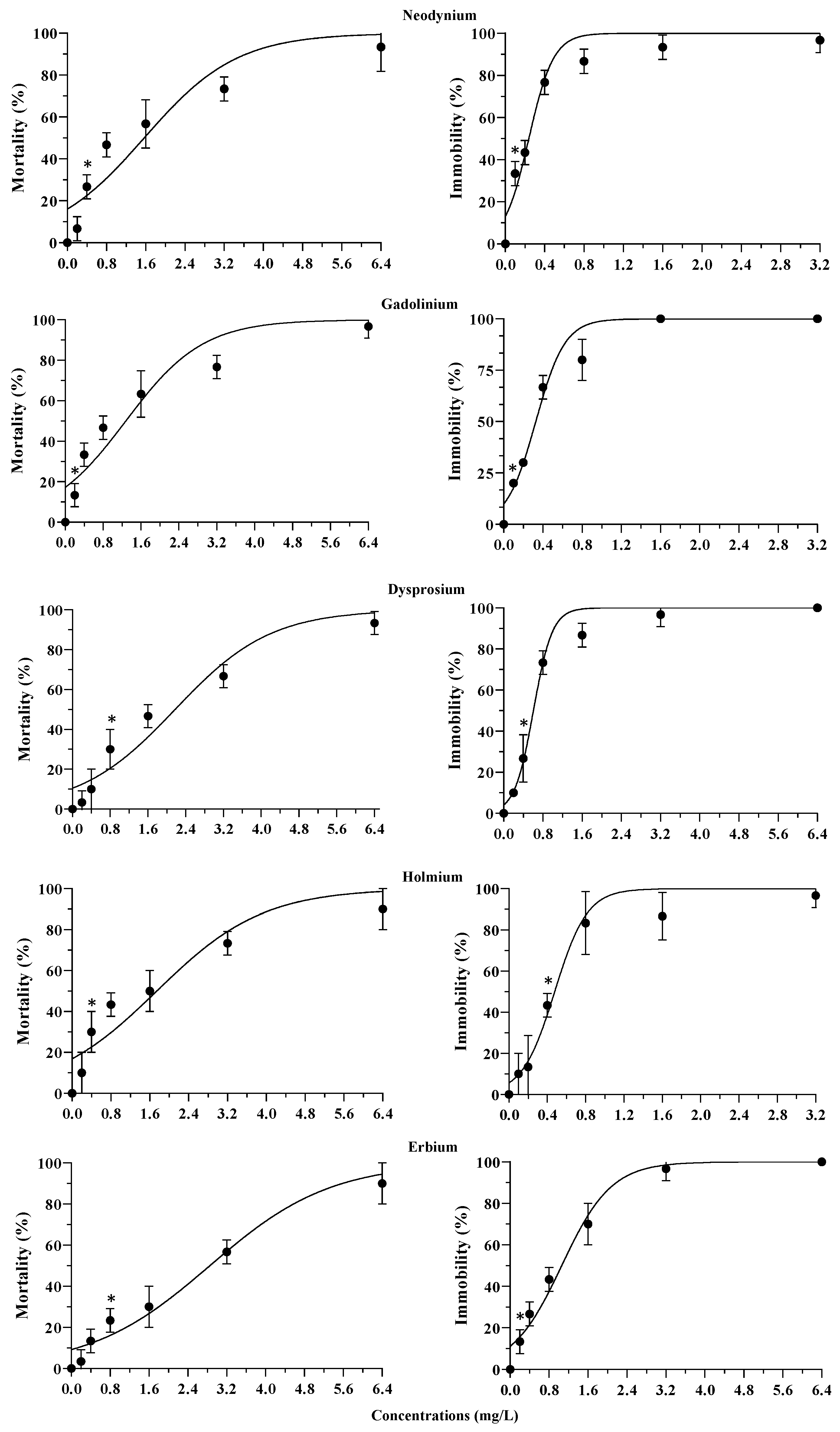
3.2. Acute Toxicity Test
4. Conclusions
Author Contributions
Funding
Institutional Review Board Statement
Informed Consent Statement
Data Availability Statement
Conflicts of Interest
References
- Xie, F.; Zhang, T.A.; Dreisinger, D.; Doyle, F. A critical review on solvent extraction of rare earths from aqueous solutions. Miner. Eng. 2014, 56, 10–28. [Google Scholar] [CrossRef]
- Charalampides, G.; Vatalis, K.I.; Apostoplos, B.; Ploutarch-Nikolas, B. Rare earth elements: Industrial applications and economic dependency of Europe. Procedia Econ. Financ. 2015, 24, 126–135. [Google Scholar] [CrossRef]
- Balaram, V. Rare earth elements: A review of applications, occurrence, exploration, analysis, recycling, and environmental impact. Geosci. Front. 2019, 10, 1285–1303. [Google Scholar] [CrossRef]
- U.S. Geological Survey. Rare Earth Elements-Critical Resources for High Technology. Available online: http://geopubs.wr.usgs.gov/fact-sheet/fs087-02/ (accessed on 10 July 2024).
- Massari, S.; Ruberti, M. Rare earth elements as critical raw materials: Focus on international markets and future strategies. Resour. Policy 2013, 38, 36–43. [Google Scholar] [CrossRef]
- U.S. Geological Survey. Mineral Commodity Summaries 2023; U.S. Geological Survey: Reston, VA, USA, 2023; 201p, ISSN 0076-8952. [Google Scholar] [CrossRef]
- Liu, W.S.; Guo, M.N.; Liu, C.; Yuan, M.; Chen, X.T.; Huot, H.; Zhao, C.-M.; Tang, Y.T.; Morel, J.L.; Qiu, R.L. Water, sediment and agricultural soil contamination from an ion-adsorption rare earth mining area. Chemosphere 2019, 216, 75–83. [Google Scholar] [CrossRef]
- Li, X.; Chen, Z.; Chen, Z.; Zhang, Y. A human health risk assessment of rare earth elements in soil and vegetables from a mining area in Fujian Province, Southeast China. Chemosphere 2013, 93, 1240–1246. [Google Scholar] [CrossRef]
- Zhuang, M.; Wang, L.; Wu, G.; Wang, K.; Jiang, X.; Liu, T.; Xiao, P.; Yu, L.; Jiang, Y.; Song, J.; et al. Health risk assessment of rare earth elements in cereals from mining area in Shandong, China. Sci. Rep. 2017, 7, 9772. [Google Scholar] [CrossRef]
- Zhuang, M.; Zhao, J.; Li, S.; Liu, D.; Wang, K.; Xiao, P.; Yu, L.; Jiang, Y.; Song, J.; Zhou, J.; et al. Concentrations and health risk assessment of rare earth elements in vegetables from mining area in Shandong, China. Chemosphere 2017, 168, 578–582. [Google Scholar] [CrossRef]
- Li, X.; Chen, Z.; Chen, Z. Distribution and fractionation of rare earth elements in soil–water system and human blood and hair from a mining area in southwest Fujian Province, China. Environ. Earth Sci. 2014, 72, 3599–3608. [Google Scholar] [CrossRef]
- Khan, A.M.; Behkami, S.; Yusoff, I.; Md Zain, S.B.; Bakar, N.K.A.; Bakar, A.F.A.; Alias, Y. Geochemical characteristics of rare earth elements in different types of soil: A chemometric approach. Chemosphere 2017, 184, 673–678. [Google Scholar] [CrossRef]
- Rogowska, J.; Olkowska, E.; Ratajczyk, W.; Wolsk, L. Gadolinium as a new emerging contaminant of aquatic environments. Environ. Toxicol. Chem. 2018, 37, 1523–1534. [Google Scholar] [CrossRef] [PubMed]
- MacMillan, G.A.; Chételat, J.; Heath, J.P.; Mickpegak, R.; Amyot, M. Rare earth elements in freshwater, marine, and terrestrial ecosystems in the eastern. Environ. Sci. Process. Impacts 2017, 19, 1336–1345. [Google Scholar] [CrossRef]
- Romero-Freire, A.; Minguez, L.; Pelletier, M.; Cayer, A.; Caillet, C.; Devin, S.; Gross, E.M.; Guérold, F.; Pain-Devin, S.; Vignati, D.A.L.; et al. Assessment of baseline ecotoxicity of sediments from a prospective mining area enriched in light rare earth elements. Sci. Total Environ. 2018, 612, 831–839. [Google Scholar] [CrossRef]
- Bau, M.; Dulski, P. Anthropogenic origin of positive gadolinium anomalies in river waters. Earth Planet. Sci. Lett. 1996, 143, 245–255. [Google Scholar] [CrossRef]
- Birka, M.; Wehe, C.A.; Hachmoller, O.; Sperling, M. Tracing gadolinium-based contrast agents from surface water drinking water by means of speciation analysis. J. Chromatogr. 2016, 1440, 105–111. [Google Scholar] [CrossRef]
- Raju, C.S.K.; Cossmer, A.; Scharf, H.; Panne, U.; Lück, D. Speciation of gadolinium based MRI contrast agents in environmental water samples using hydrophilic interaction chromatography hyphenated with inductively coupled plasma mass spectrometry. J. Anal. At. Spectrom. 2010, 25, 55–61. [Google Scholar] [CrossRef]
- Merschel, G.; Bau, M. Rare earth elements in the aragonitic shell of freshwater mussel Corbicula fluminea and the bioavailability of anthropogenic lanthanum, samarium and gadolinium in river water. Sci. Total Environ. 2015, 533, 91–101. [Google Scholar] [CrossRef] [PubMed]
- Olías, M.; Cerón, J.C.; Fernández, I.; De La Rosa, J. Distribution of rare earth elements in an alluvial aquifer affected by acid mine drainage: The Guadiamar aquifer (SW Spain). Environ. Pollut. 2005, 135, 53–64. [Google Scholar] [CrossRef]
- Sultan, K.; Shazili, N.A. Rare earth elements in tropical surface water, soil and sediments of the Terengganu River Basin, Malaysia. J. Rare Earths 2009, 27, 1072–1078. [Google Scholar] [CrossRef]
- Migaszewski, Z.M.; Gałuszka, A. The characteristics, occurrence, and geochemical behavior of rare earth elements in the environment: A review. Crit. Rev. Environ. Sci. Technol. 2015, 45, 429–471. [Google Scholar] [CrossRef]
- Uchida, S.; Tagami, K.; Tabei, K.; Hirai, I. Concentrations of REEs, Th and U in river waters collected in Japan. J. Alloys Compd. 2006, 408, 525–528. [Google Scholar] [CrossRef]
- González, V.; Vignati, D.A.; Pons, M.N.; Montarges-Pelletier, E.; Bojic, C.; Giamberini, L. Lanthanide ecotoxicity: First attempt to measure environmental risk for aquatic organisms. Environ. Pollut. 2015, 199, 139–147. [Google Scholar] [CrossRef]
- Lachaux, N.; Otero-Fariña, A.; Minguez, L.; Sohm, B.; Rétif, J.; Châtel, A.; Poirier, L.; Devin, S.; Pain-Devin, S.; Gross, E.M.; et al. Fate, subcellular distribution and biological effects of rare earth elements in a freshwater bivalve under complex exposure. Sci. Total Environ. 2023, 905, 167302. [Google Scholar] [CrossRef]
- Mayfield, D.; Fairbrother, A. Examination of rare earth element concentration patterns in freshwater fish tissues. Chemosphere 2014, 120, 68–74. [Google Scholar] [CrossRef] [PubMed]
- Blinova, I.; Muna, M.; Heinlaan, M.; Lukjanova, A.; Kahru, A. Potential Hazard of Lanthanides and Lanthanide-Based Nanoparticles to Aquatic Ecosystems: Data Gaps, Challenges and Future Research Needs Derived from Bibliometric Analysis. Nanomaterials 2020, 10, 328. [Google Scholar] [CrossRef] [PubMed]
- Malhotra, N.; Hsu, H.-S.; Liang, S.-T.; Roldan, M.J.M.; Lee, J.-S.; Ger, T.-R.; Hsiao, C.-D. An Updated Review of Toxicity Effect of the Rare Earth Elements (REEs) on Aquatic Organisms. Animals 2020, 10, 1663. [Google Scholar] [CrossRef]
- Blaise, C.; Gagné, F.; Harwood, M.; Quinn, B.; Hanana, H. Ecotoxicity responses of the freshwater cnidarian Hydra attenuata to 11 rare earth elements. Ecotoxicol. Environ. Saf. 2018, 163, 486–491. [Google Scholar] [CrossRef]
- Blinova, I.; Lukjanova, A.; Muna, M.; Vija, H.; Kahru, A. Evaluation of the potential hazard of lanthanides to freshwater microcrustaceans. Sci. Total Environ. 2018, 642, 1100–1107. [Google Scholar] [CrossRef]
- Cui, J.; Zhang, Z.; Bai, W.; Zhang, L.; He, X.; Ma, Y.; Liu, Y.; Chai, Z. Effects of rare earth elements la and yb on the morphological and functional development of zebrafish embryos. J. Environ. Sci. 2012, 24, 209–213. [Google Scholar] [CrossRef]
- Mestre, N.C.; Sousa, V.S.; Rocha, T.L. Ecotoxicity of rare earths in the marine mussel Mytilus galloprovincialis and a preliminary approach to assess environmental risk. Ecotoxicology 2019, 28, 294–301. [Google Scholar] [CrossRef]
- Freitas, R.; Costa, S.; Cardoso, C.E.; Morais, T.; Moleiro, P.; Matias, A.C.; Pereira, A.F.; Machado, J.; Correia, B.; Pinheiro, D.; et al. Toxicological effects of the rare earth element neodymium in Mytilus galloprovincialis. Chemosphere 2020, 244, 125457. [Google Scholar] [CrossRef] [PubMed]
- Pagano, G.; Guida, M.; Siciliano, A.; Oral, R.; Koçbas, F.; Palumbo, A.; Castellano, I.; Migliaccio, O.; Thomas, P.J.; Trifuoggi, M. Comparative toxicity of selected rare earth elements: Sea urchin embryogenesis and fertilization damage with redo and cytogenetic effect. Environ. Res. 2016, 147, 453–460. [Google Scholar] [CrossRef] [PubMed]
- Siciliano, A.; Guida, M.; Serafini, S.; Micillo, M.; Galdiero, E.; Carfagna, S.; Salbitani, G.; Tommasi, F.; Lofrano, G.; Suarez, E.G.P.; et al. Long-term multi-endpoint exposure of the microalga Raphidocelis subcapitata to lanthanum and cerium. Sci. Total Environ. 2021, 790, 148229. [Google Scholar] [CrossRef] [PubMed]
- Sun, D.; He, N.; Chen, Q.; Duan, S. Effects of Lanthanum on the photosystem II energy fluxes and antioxidant system of Chlorella vulgaris and Phaeodactylum tricornutum. Int. J. Environ. Res. Public Health 2019, 16, 2242. [Google Scholar] [CrossRef]
- Tai, P.; Zhao, Q.; Su, D.; Li, P.; Stagnitti, F. Biological toxicity of lanthanide elements on algae. Chemosphere 2010, 80, 1031–1035. [Google Scholar] [CrossRef]
- Faraponova, O.; Giacco, E.; Biandolino, F.; Prato, E.; Del Prete, F.; Valenti, A.; Sarcina, S.; Pasteris, A.; Montecavalli, A.; Comin, S.; et al. Tigriopus fulvus: The interlaboratory comparison of the acute toxicity test. Ecotoxicol. Environ. Saf. 2016, 124, 309–314. [Google Scholar] [CrossRef]
- UNICHIM 2396: 2014. Qualità Dell’acqua—Determinazione Della Tossicità Letale a 24 h, 48 h e 96 h di Esposizione con Naupli di Tigriopus Fulvus (Fischer, 1860). (Crustacea:Copepoda). 2014. Available online: https://pubblicazioni.unichim.it/metodi (accessed on 11 July 2024).
- Prato, E.; Biandolino, F.; Parlapiano, I.; Grattagliano, A.; Rotolo, F.; Buttino, I. Historical control data of ecotoxicological test with the copepod Tigriopus fulvus. Chem. Ecol. 2023, 39, 881–893. [Google Scholar] [CrossRef]
- Morel, E.; Cui, L.; Zerges, W.; Wilkinson, K.J. Mixtures of rare earth elements show antagonistic interactions in Chlamydomonas reinhardtii. Environ. Pollut. 2021, 287, 117594. [Google Scholar] [CrossRef]
- Huang, Z.; Gao, N.; Zhang, S.; Xing, J.; Hou, J. Investigating the toxically homogenous effects of three lanthanides on zebrafish. Comp. Biochem. Physiol. Part C Toxicol. Pharmacol. 2022, 253, 109251. [Google Scholar] [CrossRef]
- Lachaux, N.; Cossu-Leguille, C.; Poirier, L.; Gross, E.M.; Giamberini, L. Integrated environmental risk assessment of rare earth elements mixture on aquatic ecosystems. Front. Environ. Sci. 2022, 10, 974191. [Google Scholar] [CrossRef]
- Lin, Y.T.; Liu, R.X.; Audira, G.; Suryanto, M.E.; Roldan, M.J.M.; Lee, J.S.; Ger, T.R.; Hsiao, C.D. Lanthanides toxicity in zebrafish embryos are correlated to their atomic number. Toxics 2022, 10, 336. [Google Scholar] [CrossRef] [PubMed]
- Gu, Y.G.; Wang, Y.S.; Jordan, R.W.; Su, H.; Jiang, S.J. Probabilistic ecotoxicological risk assessment of heavy metal and rare earth element mixtures in aquatic biota using the DGT technique in coastal sediments. Chemosphere 2023, 329, 138592. [Google Scholar] [CrossRef] [PubMed]
- Siciliano, A.; Sabatino, M.; Paone, A.; Padilla Suarez, E.G.; Toscanesi, M.; Brouziotis, A.A.; Gambino, E.; Saviano, L.; Trifuoggi, M.; Guida, M.; et al. A first attempt to evaluate the toxicity to Phaeodactylum tricornutum Bohlin exposed to rare earth elements. Front. Environ. Sci. 2022, 10, 957943. [Google Scholar] [CrossRef]
- Markich, S.J.; Hall, J.P.; Dorsman, J.M.; Brown, P.L. Toxicity of rare earth elements (REEs) to marine organisms: Using species sensitivity distributions to establish water quality guidelines for protecting marine life. Environ. Res. 2024, 261, 119708. [Google Scholar] [CrossRef]
- Borgmann, U.; Couillard, Y.; Doyle, P.; Dixon, D.G. Toxicity of sixty-three metals and metalloids to Hyalella azteca at two levels of water hardness. Environ. Toxicol. Chem. 2005, 24, 641–652. [Google Scholar] [CrossRef]
- Manusadžianas, L.; Vitkus, R.; Gylytė, B.; Cimmperman, R.; Džiugelis, M.; Karitonas, R.; Sadauskas, K. Ecotoxicity Responses of the Macrophyte Algae Nitellopsis obtusa and freshwater Crustacean Thamnocephalus platyurus to 12 Rare Earth Elements. Sustainability 2020, 12, 7130. [Google Scholar] [CrossRef]
- Moreira, A.; Bruno, H.; Leite, C.; Libralato, G.; Pereira, E.; Freitas, R. Potential impacts of lanthanum and yttrium through embryotoxicity assays with Crassostrea gigas. Ecol. Indic. 2020, 108, 105687. [Google Scholar] [CrossRef]
- Trifuoggi, M.; Pagano, G.; Guida, M.; Palumbo, A.; Siciliano, A.; Gravina, M.; Lyons, D.M.; Burić, P.; Levak, M.; Philippe, J.; et al. Comparative toxicity of seven rare earth elements in sea urchin early life stages. Environ. Sci. Pollut. Res. 2017, 24, 20803–20810. [Google Scholar] [CrossRef]
- Martino, C.; Bonaventura, R.; Byrne, M.; Roccheri, M.; Matranga, V. Effects of exposure to gadolinium on the development of geographically and phylogenetically distant sea urchin species. Mar. Environ. Res. 2017, 128, 98–106. [Google Scholar] [CrossRef]



| Nominal Concentrations (mg/L) | ||||||||
|---|---|---|---|---|---|---|---|---|
| 0.1 | 0.2 | 0.4 | 0.8 | 1.6 | 3.2 | 6.4 | ||
| LOD–LOQ (µg/L) | Measured concentrations (mg/L) | |||||||
| Sc | 0.066–0.220 | 0.08 ± 0.00 | 0.19 ± 0.01 | 0.36 ± 0.02 | 0.70 ± 0.02 | 1.20 ± 0.04 | 2.86 ± 0.06 | 5.57 ± 0.20 |
| Y | 0.003–0.010 | 0.09 ± 0.00 | 0.22 ± 0.02 | 0.39 ± 0.05 | 0.71 ± 0.02 | 1.45 ± 0.05 | 2.86 ± 0.03 | 5.89 ± 0.15 |
| La | 0.003–0.009 | 0.11 ± 0.01 | 0.18 ± 0.001 | 0.29 ± 0.002 | 0.94 ± 0.01 | 1.02 ± 0.00 | 3.43 ± 0.01 | 5.84 ± 0.09 |
| Ce | 0.003–0.011 | 0.09 ± 0.00 | 0.19 ± 0.01 | 0.37 ± 0.01 | 0.77 ± 0.03 | 1.48 ± 0.02 | 2.97 ± 0.05 | 5.60 ± 0.10 |
| Nd | 0.004–0.013 | 0.11 ± 0.00 | 0.17 ± 0.00 | 0.26 ± 0.01 | 0.61 ± 0.02 | 1.34 ± 0.01 | 2.70 ± 0.04 | 5.04 ± 0.10 |
| Gd | 0.003–0.009 | 0.08 ± 0.01 | 0.21 ± 0.03 | 0.38 ± 0.02 | 0.75 ± 0.04 | 1.60 ± 0.05 | 3.01 ± 0.06 | 5.79 ± 0.20 |
| Dy | 0.002–0.005 | 0.1 ± 0.01 | 0.21 ± 0.01 | 0.47 ± 0.03 | 0.93 ± 0.05 | 1.77 ± 0.10 | 3.72 ± 0.20 | 5.99 ± 0.20 |
| Ho | 0.002–0.006 | 0.12 ± 0.01 | 0.23 ± 0.01 | 0.42 ± 0.02 | 1.14 ± 0.05 | 1.12 ± 0.00 | 2.86 ± 0.08 | 6.40 ± 0.38 |
| Er | 0.001–0.005 | 0.12 ± 0.01 | 0.18 ± 0.01 | 0.33 ± 0.02 | 0.92 ± 0.01 | 1.10 ± 0.05 | 2.65 ± 0.01 | 5.73 ± 0.05 |
| REEs | LC50 | C.I. (95%) | LC20 | C.I. (95%) |
|---|---|---|---|---|
| Scandium | 1.33 bc | 1.85–0.95 | 0.44 c | 0.50–0.39 |
| Yttrium | 1.17 ab | 1.46–0.93 | 0.56 d | 0.61–0.50 |
| Lanthanum | 0.56 a | 0.74–0.43 | 0.23 a | 0.25–0.21 |
| Cerium | 1.53 bc | 2.08–1.13 | 0.63 de | 0.71–0.56 |
| Neodynium | 1.12 ab | 1.54–0.82 | 0.39 bc | 0.44–0.35 |
| Gadolinum | 0.92 ab | 1.26–0.67 | 0.32 ab | 0.36–0.28 |
| Dysprosium | 1.56 bc | 2.15–1.13 | 0.62 de | 0.69–0.56 |
| Holmium | 1.15 ab | 1.67–0.79 | 0.33 b | 0.38–0.29 |
| Erbium | 1.99 c | 2.86–1.38 | 0.70 e | 0.80–0.61 |
| REEs | EC50 | C.I. (95%) | EC20 | C.I. (95%) |
|---|---|---|---|---|
| Scandium | 0.57 cde | 0.69–0.47 | 0.36 de | 0.38–0.35 |
| Yttrium | 0.49 cd | 0.67–0.36 | 0.20 b | 0.23–0.18 |
| Lanthanum | 0.37 bc | 0.51–0.27 | 0.17 b | 0.19–0.16 |
| Cerium | 0.74 e | 0.89–0.61 | 0.40 e | 0.42–0.37 |
| Neodynium | 0.19 ab | 0.28–0.12 | 0.06 a | 0.06–0.05 |
| Gadolinum | 0.15 a | 0.20–0.12 | 0.07 a | 0.08–0.06 |
| Dysprosium | 0.60 de | 0.75–0.48 | 0.28 c | 0.31–0.26 |
| Holmium | 0.44 cd | 0.58–0.34 | 0.19 b | 0.21–0.17 |
| Erbium | 0.71 e | 0.90–0.56 | 0.33 d | 0.36–0.30 |
Disclaimer/Publisher’s Note: The statements, opinions and data contained in all publications are solely those of the individual author(s) and contributor(s) and not of MDPI and/or the editor(s). MDPI and/or the editor(s) disclaim responsibility for any injury to people or property resulting from any ideas, methods, instructions or products referred to in the content. |
© 2024 by the authors. Licensee MDPI, Basel, Switzerland. This article is an open access article distributed under the terms and conditions of the Creative Commons Attribution (CC BY) license (https://creativecommons.org/licenses/by/4.0/).
Share and Cite
Biandolino, F.; Prato, E.; Grattagliano, A.; Libralato, G.; Trifuoggi, M.; Parlapiano, I. Potential Toxicity of Nine Rare Earth Elements (REEs) on Marine Copepod Tigriopus fulvus. J. Xenobiot. 2024, 14, 1919-1929. https://doi.org/10.3390/jox14040102
Biandolino F, Prato E, Grattagliano A, Libralato G, Trifuoggi M, Parlapiano I. Potential Toxicity of Nine Rare Earth Elements (REEs) on Marine Copepod Tigriopus fulvus. Journal of Xenobiotics. 2024; 14(4):1919-1929. https://doi.org/10.3390/jox14040102
Chicago/Turabian StyleBiandolino, Francesca, Ermelinda Prato, Asia Grattagliano, Giovanni Libralato, Marco Trifuoggi, and Isabella Parlapiano. 2024. "Potential Toxicity of Nine Rare Earth Elements (REEs) on Marine Copepod Tigriopus fulvus" Journal of Xenobiotics 14, no. 4: 1919-1929. https://doi.org/10.3390/jox14040102
APA StyleBiandolino, F., Prato, E., Grattagliano, A., Libralato, G., Trifuoggi, M., & Parlapiano, I. (2024). Potential Toxicity of Nine Rare Earth Elements (REEs) on Marine Copepod Tigriopus fulvus. Journal of Xenobiotics, 14(4), 1919-1929. https://doi.org/10.3390/jox14040102

