miR-155-Induced Activation of Pro-Inflammatory Stat1/TBX21 Pathway and M1-Signature Genes Incite Macrophage Apoptosis and Clearance of Mycobacterium fortuitum in Zebrafish
Abstract
1. Introduction
2. Materials and Methods
2.1. Ethics Statement
2.2. Animal Care and Maintenance
2.3. Isolation of ZFKM
2.4. Bacterial Growth Conditions and Infection Assay
2.5. Inhibitors and miRNA Mimics
2.6. Isolation of Total RNA and Synthesis of cDNA
2.7. cDNA Library Preparation
2.8. Poly A Tailing and Reverse Transcription
2.9. RT–qPCR
2.10. Enumeration of Intracellular Bacteria
2.11. Apoptotic Studies
2.11.1. Annexin V-FITC and Propidium Iodide Staining
2.11.2. Casp3a Assay
2.12. Statistical Analysis
3. Results
3.1. M. fortuitum-Induced ZFKM Death Is Apoptotic
3.2. miR-155 Is Up-Regulated in Response to M. fortuitum Infection
3.3. tlr-2–irak-4–traf-6–nf-κb Signaling Axis Regulates miR-155 Expression in M. fortuitum-Infected ZFKM
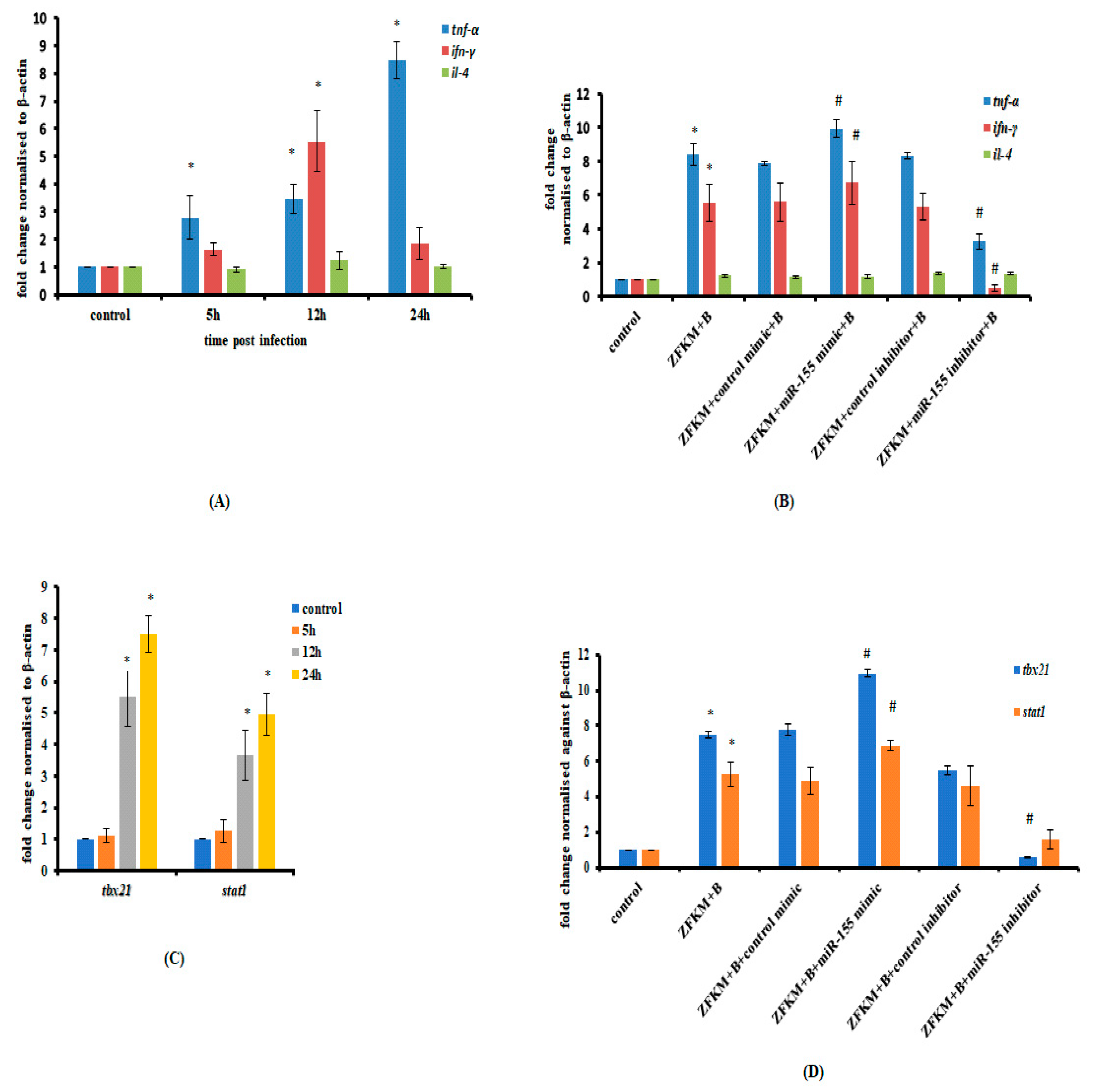
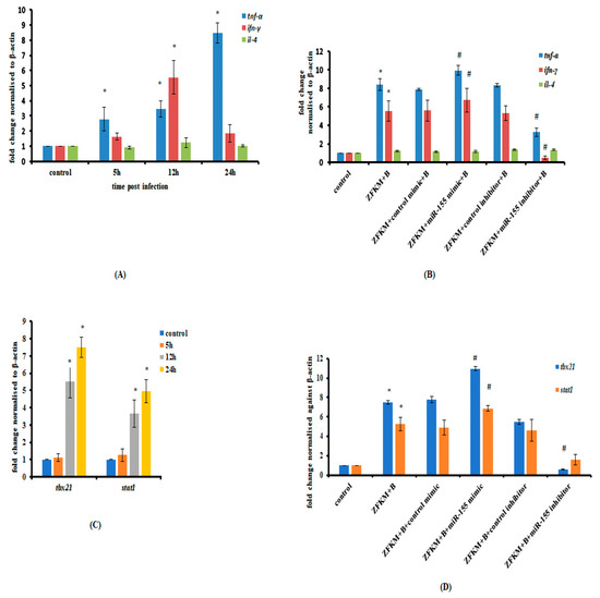
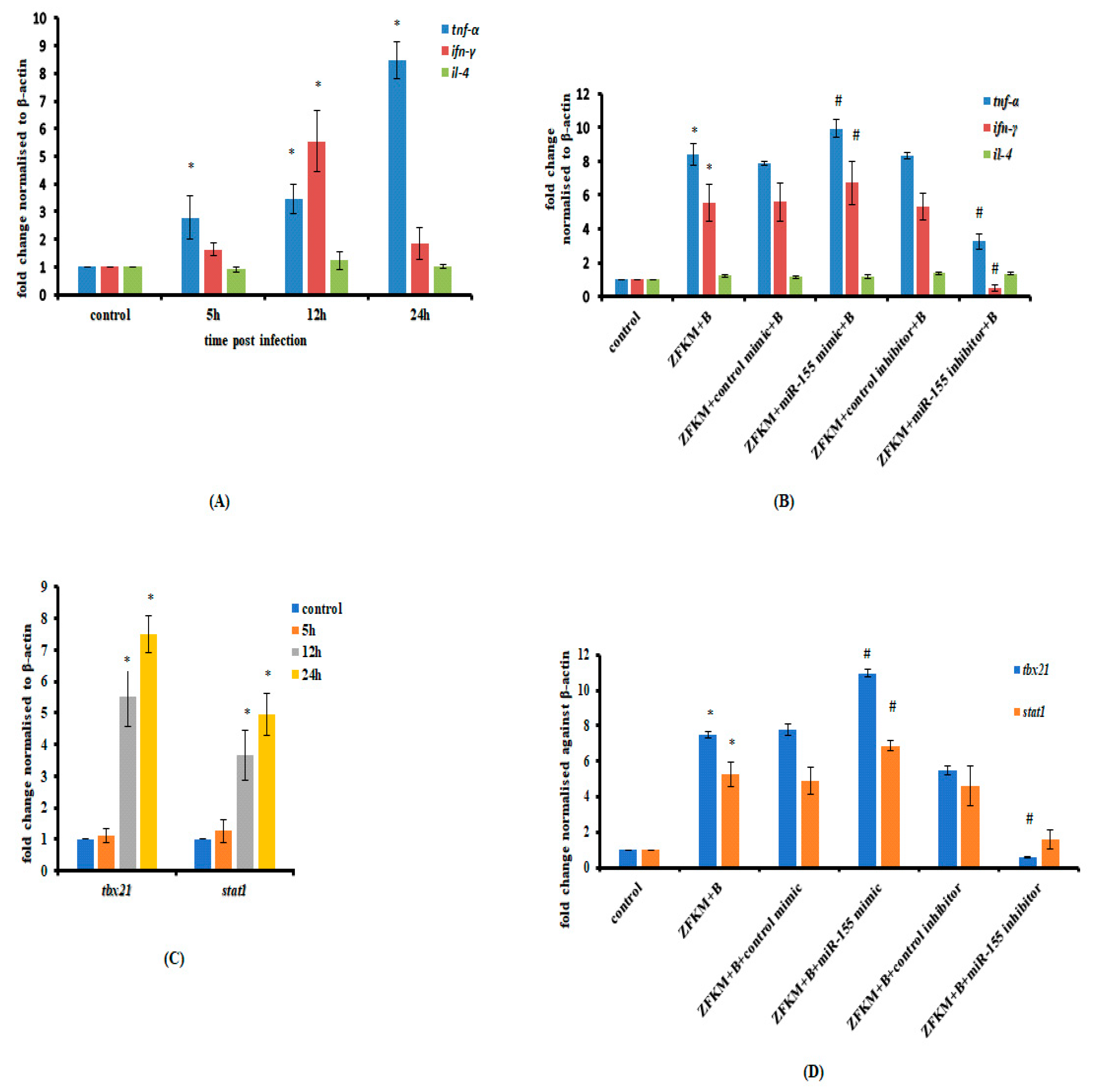
3.4. miR-155 Augments Pro-Inflammatory Cytokine Expression in M. fortuitum-Infected ZFKM
3.5. miR-155 Promotes the Development of M1 Macrophages
3.6. miR-155 Targets socs1 Expression
3.7. miR-155 Contributes to ZFKM Apoptosis and Clearance of M. fortuitum
4. Discussion
5. Conclusions
Supplementary Materials
Author Contributions
Funding
Institutional Review Board Statement
Data Availability Statement
Acknowledgments
Conflicts of Interest
References
- Gcebe, N.; Rutten, V.P.; Van Pittius, N.G.; Naicker, B.; Michel, A. Mycobacterium komaniense sp. nov., a rapidly growing non-tuberculous Mycobacterium species detected in South Africa. Int. J. Syst. Evol. Microbiol. 2018, 68, 1526–1532. [Google Scholar] [CrossRef] [PubMed]
- Decostere, A.; Hermans, K.; Haesebrouck, F. Piscine mycobacteriosis: A literature review covering the agent and the disease it causes in fish and humans. Veter. Microbiol. 2004, 99, 159–166. [Google Scholar] [CrossRef] [PubMed]
- Johansen, M.D.; Kremer, L. CFTR Depletion Confers Hypersusceptibility to Mycobacterium fortuitum in a Zebrafish Model. Front. Cell. Infect. Microbiol. 2020, 10, 357. [Google Scholar] [CrossRef] [PubMed]
- Gauthier, D.T.; Rhodes, M.W. Mycobacteriosis in fishes: A review. Veter- J. 2009, 180, 33–47. [Google Scholar] [CrossRef] [PubMed]
- Whipps, C.M.; Lieggi, C.; Wagner, R. Mycobacteriosis in Zebrafish Colonies. ILAR J. 2012, 53, 95–105. [Google Scholar] [CrossRef]
- Bohsali, A.; Abdalla, H.; Velmurugan, K.; Briken, V.; Bohsali, A.; Abdalla, H.; Velmurugan, K.; Briken, V. The non-pathogenic mycobacteria M. smegmatis and M. fortuitum induce rapid host cell apoptosis via a caspase-3 and TNF dependent pathway. BMC Microbiol. 2010, 10, 237. [Google Scholar] [CrossRef] [PubMed]
- Datta, D.; Khatri, P.; Singh, A.; Saha, D.R.; Verma, G.; Raman, R.; Mazumder, S. Mycobacterium fortuitum-induced ER-Mitochondrial calcium dynamics promotes calpain/caspase-12/caspase-9 mediated apoptosis in fish macrophages. Cell Death Discov. 2018, 4, 30. [Google Scholar] [CrossRef]
- Dahiya, P.; Datta, D.; Hussain, A.; Verma, G.; Shelly, A.; Mehta, P.; Mazumder, S. The coordinated outcome of STIM1-Orai1 and superoxide signalling is crucial for headkidney macrophage apoptosis and clearance of Mycobacterium fortuitum. Dev. Comp. Immunol. 2021, 114, 103800. [Google Scholar] [CrossRef]
- Ghorpade, D.S.; Leyland, R.; Kurowska-Stolarska, M.; Patil, S.A.; Balaji, K.N. MicroRNA-155 Is Required for Mycobacterium bovis BCG-Mediated Apoptosis of Macrophages. Mol. Cell. Biol. 2012, 32, 2239–2253. [Google Scholar] [CrossRef]
- Mehta, P.; Ray, A.; Mazumder, S. TLRs in Mycobacterial Pathogenesis: Black and White or Shades of Gray. Curr. Microbiol. 2021, 78, 2183–2193. [Google Scholar] [CrossRef]
- Queval, C.J.; Brosch, R.; Simeone, R. The Macrophage: A Disputed Fortress in the Battle against Mycobacterium tuberculosis. Front. Microbiol. 2017, 8, 2284. [Google Scholar] [CrossRef] [PubMed]
- Nilsen, N.J.; Vladimer, G.I.; Stenvik, J.; Orning, M.P.A.; Zeid-Kilani, M.V.; Bugge, M.; Bergstroem, B.; Conlon, J.; Husebye, H.; Hise, A.G.; et al. A Role for the Adaptor Proteins TRAM and TRIF in Toll-like Receptor 2 Signaling. J. Biol. Chem. 2015, 290, 3209–3222. [Google Scholar] [CrossRef] [PubMed]
- Thada, S.; Horvath, G.; Müller, M.; Dittrich, N.; Conrad, M.; Sur, S.; Hussain, A.; Pelka, K.; Gaddam, S.; Latz, E.; et al. Interaction of TLR4 and TLR8 in the Innate Immune Response against Mycobacterium Tuberculosis. Int. J. Mol. Sci. 2021, 22, 1560. [Google Scholar] [CrossRef] [PubMed]
- Nie, L.; Cai, S.-Y.; Sun, J.; Chen, J. MicroRNA-155 promotes pro-inflammatory functions and augments apoptosis of monocytes/macrophages during Vibrio anguillarum infection in ayu, Plecoglossus altivelis. Fish Shellfish. Immunol. 2018, 86, 70–81. [Google Scholar] [CrossRef] [PubMed]
- Hussain, M.A.; Datta, D.; Singh, R.; Kumar, M.; Kumar, J.; Mazumder, S. TLR-2 mediated cytosolic-Ca2+ surge activates ER-stress-superoxide-NO signalosome augmenting TNF-α production leading to apoptosis of Mycobacterium smegmatis-infected fish macrophages. Sci. Rep. 2019, 9, 12330. [Google Scholar] [CrossRef]
- Liang, S.; Song, Z.; Wu, Y.; Gao, Y.; Gao, M.; Liu, F.; Wang, F.; Zhang, Y. MicroRNA-27b Modulates Inflammatory Response and Apoptosis during Mycobacterium tuberculosis Infection. J. Immunol. 2018, 200, 3506–3518. [Google Scholar] [CrossRef]
- Bettencourt, P.; Pires, D.; Anes, E. Immunomodulating microRNAs of mycobacterial infections. Tuberculosis 2016, 97, 1–7. [Google Scholar] [CrossRef]
- Zhou, X.; Li, X.; Wu, M. miRNAs reshape immunity and inflammatory responses in bacterial infection. Signal Transduct. Target. Ther. 2018, 3, 14. [Google Scholar] [CrossRef]
- Chandan, K.; Gupta, M.; Sarwat, M. Role of Host and Pathogen-Derived MicroRNAs in Immune Regulation During Infectious and Inflammatory Diseases. Front. Immunol. 2020, 10, 3081. [Google Scholar] [CrossRef]
- Wright, K.; de Silva, K.; Plain, K.M.; Purdie, A.C.; Blair, T.A.; Duggin, I.G.; Britton, W.J.; Oehlers, S.H. Mycobacterial infection-induced miR-206 inhibits protective neutrophil recruitment via the CXCL12/CXCR4 signalling axis. PLoS Pathog. 2021, 17, e1009186. [Google Scholar] [CrossRef]
- Silwal, P.; Kim, Y.S.; Basu, J.; Jo, E.-K. The roles of microRNAs in regulation of autophagy during bacterial infection. In Seminars in Cell & Developmental Biology; Academic Press: Cambridge, MA, USA, 2019; Volume 101, pp. 51–58. [Google Scholar] [CrossRef]
- Testa, U.; Pelosi, E.; Castelli, G.; Labbaye, C. miR-146 and miR-155: Two Key Modulators of Immune Response and Tumor Development. Non-Coding RNA 2017, 3, 22. [Google Scholar] [CrossRef] [PubMed]
- Ruiz-Tagle, C.; Naves, R.; Balcells, M.E. Unraveling the Role of MicroRNAs in Mycobacterium tuberculosis Infection and Disease: Advances and Pitfalls. Infect. Immun. 2020, 88, e00649-19. [Google Scholar] [CrossRef] [PubMed]
- Kutty, R.K.; Nagineni, C.N.; Samuel, W.; Vijayasarathy, C.; Jaworski, C.; Duncan, T.; Cameron, J.E.; Flemington, E.K.; Hooks, J.J.; Redmond, T.M. Differential regulation of microRNA-146a and microRNA-146b-5p in human retinal pigment epithelial cells by interleukin-1β, tumor necrosis factor-α, and interferon-γ. Mol. Vis. 2013, 19, 737. [Google Scholar] [PubMed]
- Li, S.; Yue, Y.; Xu, W.; Xiong, S. MicroRNA-146a Represses Mycobacteria-Induced Inflammatory Response and Facilitates Bacterial Replication via Targeting IRAK-1 and TRAF-6. PLoS ONE 2013, 8, e81438. [Google Scholar] [CrossRef]
- Sullivan, C.; Kim, C.H. Zebrafish as a model for infectious disease and immune function. Fish Shellfish. Immunol. 2008, 25, 341–350. [Google Scholar] [CrossRef]
- Ray, A.; Bhaduri, A.; Srivastava, N.; Mazumder, S. Identification of novel signature genes attesting arsenic-induced immune alterations in adult zebrafish (Danio rerio). J. Hazard. Mater. 2017, 321, 121–131. [Google Scholar] [CrossRef]
- Underhill, D.M.; Ozinsky, A.; Smith, K.D.; Aderem, A. Toll-like receptor-2 mediates mycobacteria-induced proinflammatory signaling in macrophages. Proc. Natl. Acad. Sci. USA 1999, 96, 14459–14463. [Google Scholar] [CrossRef]
- He, X.; Jing, Z.; Cheng, G. MicroRNAs: New Regulators of Toll-Like Receptor Signalling Pathways. BioMed Res. Int. 2014, 2014, 945169. [Google Scholar] [CrossRef]
- Hirschberger, S.; Hinske, L.C.; Kreth, S. MiRNAs: Dynamic regulators of immune cell functions in inflammation and cancer. Cancer Lett. 2018, 431, 11–21. [Google Scholar] [CrossRef]
- Stavast, C.J.; Leenen, P.J.; Erkeland, S.J. The interplay between critical transcription factors and microRNAs in the control of normal and malignant myelopoiesis. Cancer Lett. 2018, 427, 28–37. [Google Scholar] [CrossRef]
- Kimura, A.; Naka, T.; Nagata, S.; Kawase, I.; Kishimoto, T. SOCS-1 suppresses TNF-alpha-induced apoptosis through the regulation of Jak activation. Int. Immunol. 2004, 16, 991–999. [Google Scholar] [CrossRef] [PubMed]
- Galindo-Villegas, J.; García-Moreno, D.; de Oliveira, S.; Meseguer, J.; Mulero, V. Regulation of immunity and disease resistance by commensal microbes and chromatin modifications during zebrafish development. Proc. Natl. Acad. Sci. USA 2012, 109, E2605–E2614. [Google Scholar] [CrossRef]
- Li, Y.; Li, Y.; Cao, X.; Jin, X.; Jin, T. Pattern recognition receptors in zebrafish provide functional and evolutionary insight into innate immune signaling pathways. Cell. Mol. Immunol. 2016, 14, 80–89. [Google Scholar] [CrossRef]
- Lee, J.; Remold, H.G.; Ieong, M.H.; Kornfeld, H. Macrophage Apoptosis in Response to High Intracellular Burden of Mycobacterium tuberculosis Is Mediated by a Novel Caspase-Independent Pathway. J. Immunol. 2006, 176, 4267–4274. [Google Scholar] [CrossRef] [PubMed]
- Rodrigues, M.F.; Barsante, M.M.; Alves, C.C.; Souza, M.A.; Ferreira, A.P.; Amarante-Mendes, G.P.; Teixeira, H.C. Apoptosis of macrophages during pulmonary Mycobacterium bovis infection: Correlation with intracellular bacillary load and cytokine levels. Immunology 2009, 128 Pt 2, e691–e699. [Google Scholar] [CrossRef] [PubMed]
- Roca, F.J.; Ramakrishnan, L. TNF Dually Mediates Resistance and Susceptibility to Mycobacteria via Mitochondrial Reactive Oxygen Species. Cell 2013, 153, 521–534. [Google Scholar] [CrossRef] [PubMed]
- Pattabiraman, G.; Panchal, R.; Medvedev, A.E. The R753Q polymorphism in Toll-like receptor 2 (TLR2) attenuates innate immune responses to mycobacteria and impairs MyD88 adapter recruitment to TLR2. J. Biol. Chem. 2017, 292, 10685–10695. [Google Scholar] [CrossRef]
- Meijer, A.H.; Gabby Krens, S.F.; Medina Rodriguez, I.A.; He, S.; Bitter, W.; Ewa Snaar-Jagalska, B.; Spaink, H.P. Expression analysis of the Toll-like receptor and TIR domain adaptor families of zebrafish. Mol. Immunol. 2003, 40, 773–783. [Google Scholar] [CrossRef]
- Boom, W.H.; Schaible, U.E.; Achkar, J.M. The knowns and unknowns of latent Mycobacterium tuberculosis infection. J. Clin. Investig. 2021, 131, e136222. [Google Scholar] [CrossRef]
- Wajant, H.; Siegmund, D. TNFR1 and TNFR2 in the Control of the Life and Death Balance of Macrophages. Front. Cell Dev. Biol. 2019, 7, 91. [Google Scholar] [CrossRef]
- Wang, J.; Deng, Z.; Wang, Z.; Wu, J.; Gu, T.; Jiang, Y.; Li, G. MicroRNA-155 in exosomes secreted from helicobacter pylori infection macrophages immunomodulates inflammatory response. Am. J. Transl. Res. 2016, 8, 3700–3709. [Google Scholar] [PubMed]
- Koul, A.; Herget, T.; Klebl, B.; Ullrich, A. Interplay between mycobacteria and host signalling pathways. Nat. Rev. Genet. 2004, 2, 189–202. [Google Scholar] [CrossRef] [PubMed]
- Park, M.; Choi, S.; Kim, S.; Kim, J.; Lee, D.K.; Park, W.; Kim, T.; Jung, J.; Hwang, J.Y.; Won, M.H.; et al. NF-κB-responsive miR-155 induces functional impairment of vascular smooth muscle cells by downregulating soluble guanylyl cyclase. Exp. Mol. Med. 2019, 51, 1–12. [Google Scholar] [CrossRef] [PubMed]
- Momen-Heravi, F.; Bala, S. Emerging role of non-coding RNA in oral cancer. Cell. Signal. 2018, 42, 134–143. [Google Scholar] [CrossRef]
- Koch, M.; Mollenkopf, H.-J.; Klemm, U.; Meyer, T.F. Induction of microRNA-155 is TLR- and type IV secretion system-dependent in macrophages and inhibits DNA-damage induced apoptosis. Proc. Natl. Acad. Sci. USA 2012, 109, E1153–E1162. [Google Scholar] [CrossRef]
- Garo, L.P.; Beynon, V.; Murugaiyan, G. MicroRNA and T Helper Cell-Mediated Immune Responses. In The Epigenetics of Autoimmunity; Academic Press: Cambridge, MA, USA, 2018; pp. 87–105. [Google Scholar] [CrossRef]
- Ashfaq, H.; Soliman, H.; Saleh, M.; El-Matbouli, M. CD4: A vital player in the teleost fish immune system. Veter. Res. 2019, 50, 1–11. [Google Scholar] [CrossRef]
- Curtale, G.; Rubino, M.; Locati, M. MicroRNAs as Molecular Switches in Macrophage Activation. Front. Immunol. 2019, 10, 799. [Google Scholar] [CrossRef]
- Jablonski, K.A.; Gaudet, A.D.; Amici, S.A.; Popovich, P.G.; Guerau-De-Arellano, M. Control of the Inflammatory Macrophage Transcriptional Signature by miR-155. PLoS ONE 2016, 11, e0159724. [Google Scholar] [CrossRef]
- Chaput, C.; Sander, L.E.; Suttorp, N.; Opitz, B. NOD-like receptors in lung diseases. Front. Immunol. 2013, 4, 393. [Google Scholar] [CrossRef]
- Landes, M.B.; Rajaram, M.V.S.; Nguyen, H.; Schlesinger, L.S. Role for NOD2 in Mycobacterium tuberculosis-induced iNOS expression and NO production in human macrophages. J. Leukoc. Biol. 2015, 97, 1111–1119. [Google Scholar] [CrossRef]
- Kohanbash, G.; Okada, H. MicroRNAs and STAT interplay. Semin. Cancer Biol. 2012, 22, 70–75. [Google Scholar] [CrossRef] [PubMed]
- Zheng, X.; Huang, H.; Liu, J.; Li, M.; Liu, M.; Luo, T. Propofol attenuates inflammatory response in LPS-activated microglia by regulating the miR-155/SOCS1 pathway. Inflammation 2018, 41, 11–19. [Google Scholar] [CrossRef] [PubMed]







| Gene | Sense (5′-3′) | Antisense (5′-3′) | Accession No. |
|---|---|---|---|
| miR-155 | 5′-CGCCGTTAATGCTAATCGTGATAG-3′ | 5′-GCAGGGTCCGAGGTATTCCG-3′ | LM609208.1 |
| tlr-2 | 5′-ACCTGCTCCAATCTTCAGCTC-3′ | 5′-CTGCTTTCAAGCTCCCGTTC-3′ | NM_212812.1 |
| tlr-1 | 5′-CGGAGAATCAAGGGAGGTGT-3′ | 5′-TGTGCCGAAGGTTTAGGACT-3′ | NM_001130593.1 |
| myd88 | 5′-AGTTTGCGCTCAGTCTTTGC-3′ | 5′-ACAGATGGTCAGAAAGCGCA-3′ | NM_212814.2 |
| irak-4 | 5′-TACTGGACGAGGGTTTTGTGG-3′ | 5′-CGCACTCGAGCTATCCTTCATC-3′ | NM_200163.1 |
| traf-6 | 5′-ACTAGAGGAGAGCACCCGAG-3′ | 5′-GGAGGACAATAGGCTGACCG-3′ | NM_0010444752.1 |
| nf-κb | 5′-AAAAGATGGAGCCCTCACCC-3′ | 5′-ATCAGCCTTGCATCCCTACC-3′ | AY163839.1 |
| tnf-α | 5′-TGCTTCACGCTCCATAAGACC-3′ | 5′-CAAGCCACCTGAAGAAAAGG-3′ | NM_212859 |
| ifn-γ | 5′-ATGATTGCGCAACACATGAT-3′ | 5′-ATCTTTCAGGATTCGCAGGA-3′ | AB158361 |
| il-12 | 5′-AGCAGGACTTGTTTGCTGGT-3′ | 5′-TCCACTGCGCTGAAGTTAGA-3′ | AB183001 |
| il-1β | 5′-TGGACTTCGCAGCACAAAATG-3′ | 5′-CGTTCACTTCACGCTCTTGGATG-3′ | AY340959 |
| inos | 5′-CCAGAGCCTTCGTCTGG GA-3′ | 5′-TTAGAGCCTGGACGAGCGTG-3′ | NM_001104937 |
| il-6 | 5′-AAGGGGTCAGGATCAGCAC-3′ | 5′-GCTGTAGATTCGCGTTAGACATC-3′ | NM_001261449.1 |
| cd206 | 5′-TAGTAGGAGCACGACCAGAG-3′ | 5′-GTGAGTGAATGGGACTTGCT-3′ | NM_001310844.1 |
| arg-1 | 5′-ATCGGCTCAATCTCTGGTCA-3′ | 5′-CAGTCGGTGTGGTTAAAGGT-3′ | NM_001045197.1 |
| il-10 | 5′-ATTTGTGGAGGGCTTTCCTT-3′ | 5′-AGAGCTGTTGGCAGAATGGT-3′ | NM_001020785 |
| il-4 | 5′-CATCCAGAGTGTGAATGGGA-3′ | 5′-TTCCAGTCCCGGTATATGCT-3′ | AM403245.2 |
| stat1 | 5′-TTTTCGTGACTCCTCCACCG-3′ | 5′-AGGATCCGATGCCGCTTTAG-3′ | NM_131480.1 |
| tbx21 | 5′-ACACTGGCACTCACTGGATG-3′ | 5′-CTCCTTCACCTCCACGATGT-3′ | NM_001170599.1 |
| socs1 | 5′-AGCACAGAGTTTGAGGTCGC-3′ | 5′-TCTGACAAACTCTCGTCGGC-3′ | AJ972922.1 |
| Casp3a | 5′-TTGTCGAGGAACAGAACTGGA-3′ | 5′-GAAGTCTGCTTCAACCGGG-3′ | MG957994.1 |
| β-actin | 5′-CGAGCAGGAGATGGGAAC-3′ | 5′-CAACGGAAACGCTCATTGC-3′ | AF057040 |
| u6 | 5′-TGCTCGCTACGGTGGCACA-3′ | 5′-AAAACAGCAATATGGAGCGC-3′ | NM_001003460.1 |
Disclaimer/Publisher’s Note: The statements, opinions and data contained in all publications are solely those of the individual author(s) and contributor(s) and not of MDPI and/or the editor(s). MDPI and/or the editor(s) disclaim responsibility for any injury to people or property resulting from any ideas, methods, instructions or products referred to in the content. |
© 2023 by the authors. Licensee MDPI, Basel, Switzerland. This article is an open access article distributed under the terms and conditions of the Creative Commons Attribution (CC BY) license (https://creativecommons.org/licenses/by/4.0/).
Share and Cite
Mehta, P.; Datta, D.; Dahiya, P.; Mazumder, S. miR-155-Induced Activation of Pro-Inflammatory Stat1/TBX21 Pathway and M1-Signature Genes Incite Macrophage Apoptosis and Clearance of Mycobacterium fortuitum in Zebrafish. Microbiol. Res. 2023, 14, 559-579. https://doi.org/10.3390/microbiolres14020039
Mehta P, Datta D, Dahiya P, Mazumder S. miR-155-Induced Activation of Pro-Inflammatory Stat1/TBX21 Pathway and M1-Signature Genes Incite Macrophage Apoptosis and Clearance of Mycobacterium fortuitum in Zebrafish. Microbiology Research. 2023; 14(2):559-579. https://doi.org/10.3390/microbiolres14020039
Chicago/Turabian StyleMehta, Priyanka, Debika Datta, Priyanka Dahiya, and Shibnath Mazumder. 2023. "miR-155-Induced Activation of Pro-Inflammatory Stat1/TBX21 Pathway and M1-Signature Genes Incite Macrophage Apoptosis and Clearance of Mycobacterium fortuitum in Zebrafish" Microbiology Research 14, no. 2: 559-579. https://doi.org/10.3390/microbiolres14020039
APA StyleMehta, P., Datta, D., Dahiya, P., & Mazumder, S. (2023). miR-155-Induced Activation of Pro-Inflammatory Stat1/TBX21 Pathway and M1-Signature Genes Incite Macrophage Apoptosis and Clearance of Mycobacterium fortuitum in Zebrafish. Microbiology Research, 14(2), 559-579. https://doi.org/10.3390/microbiolres14020039
