Next Article in Journal
The Association Between Crohn’s Disease and Patient Response to Yeast: A Review of the Literature
Previous Article in Journal
Non-Alcoholic Fatty Liver Disease, Awareness of a Diagnostic Challenge—A Clinician’s Perspective
 
 
Font Type:
Arial Georgia Verdana
Font Size:
Aa Aa Aa
Line Spacing:
Column Width:
Background:
Article

A Convenience Sample Looking at Microbiome Differences Between Anxious and Non-Anxious Patients in a GI Clinic

by
Sabine Hazan
1,2,*,
Mathilda von Guttenberg
3,
Adriana C. Vidal
1,2,
Norman M. Spivak
3,4 and
Alexander Bystritsky
3
1
Microbiome Research Foundation, 1845 Knoll Drive, Ventura, CA 93003, USA
2
ProgenaBiome, LLC, Ventura, CA 93003, USA
3
Semel Institute for Neuroscience and Human Behavior, Department of Psychiatry, University of California, Los Angeles, CA 90095, USA
4
Department of Neurosurgery, University of California, Los Angeles, CA 90095, USA
*
Author to whom correspondence should be addressed.
Gastroenterol. Insights 2024, 15(4), 1054-1063; https://doi.org/10.3390/gastroent15040072
Submission received: 22 October 2024 / Revised: 5 December 2024 / Accepted: 5 December 2024 / Published: 9 December 2024
(This article belongs to the Section Gastrointestinal Disease)

Abstract

Background: The gut–brain axis, significantly influenced by the gut microbiome, is a growing focus in mental health research. This study aimed to investigate gut microbiome differences between anxious and non-anxious participants. Methods: A convenience sample of 119 participants consisted of 56 participants with self-assessed low to zero levels of anxiety and 63 with self-assessed mild to severe levels of anxiety, using the self-rated Generalized Anxiety Disorder 7-item (GAD-7) test. Fresh stool samples were collected for bacterial DNA extraction. DNA library preparation was performed using shotgun methodology, sequenced with the NextSeq 500/550 High Output v2.5 300 cycle kit, and mapped using minimap2. Bioinformatics analysis was conducted using One Codex. Results: The study participants were all of white race/ethnicity and the mean age, 54 (anxious group) vs. 55 (non-anxious) yr old, was not different between groups (p = 0.75). In the anxious group, 33% were females versus 25% in the non-anxious group, p = 0.46. Six percent of the anxious group reported a prior diagnosis of depression and 8% had irritable bowel syndrome, compared to none in the non-anxious group (p = 0.02, p = 0.006, respectively). Mann–Whitney tests revealed higher relative abundances of the genera Clostridioides (p = 0.011) and Bacteroides (p = 0.002) in the anxious group. Conversely, the anxious group had lower levels of the genera Bifidobacterium (p = 2.118 × 10−10), Faecalibacterium (p = 0.020), and the Phylum Actinobacteria (p = 1.516 × 10−8). Conclusions: Our findings corroborate previous studies, showing significant gut microbiome differences between anxious individuals and their non-anxious counterparts. These results support further exploration of microbiome-centric anxiety research.

1. Introduction

Anxiety is the most prevalent mental health condition worldwide, affecting an estimated 301 million people in 2019 [1]. The COVID-19 pandemic has further exacerbated these conditions. Kupcova et al. (2023) reported that the effects of the COVID-19 pandemic were significantly linked to mental health challenges globally [2]. Furthermore, the World Health Organization (WHO) has reported a 25% global increase in the prevalence of anxiety and depression since the outbreak of COVID-19 [1]. This underscores the urgent need to deepen our understanding of the biological mechanisms behind anxiety, to identify novel and more effective therapeutic options. The exploration of the microbiota–gut–brain axis is emerging as a particularly promising field of study, offering potential insights into common underlying pathologies [3].
The concept of the “Gut–Brain Axis”, introduced by Carabotti and colleagues in 2015, illuminates a complex bidirectional communication network linking the gut microbiota and the central nervous system [3,4,5,6]. This emerging body of research suggests that variations in the composition of gut microbiota—whether a reduction in diversity or an overrepresentation of certain bacterial groups—could play a pivotal role in the development of anxiety. Understanding the influence of gut dysbiosis on the psychopathology of this condition is paramount for improving patient care and addressing a growing mental health challenge in the United States.
Moreover, a wealth of studies has highlighted how changes in the gut microbiota can affect the bidirectional communication between the gut and the brain [2]. This insight emphasizes the critical need to prioritize gut microbiota health as a key component in the treatment and management of anxiety. Additionally, it has been noted that conventional psychiatric medications, such as antidepressants, antipsychotics, and anxiolytics, may exhibit antibacterial effects that could potentially shift the balance of the microbiome [7]. This new microbial equilibrium might interfere with the medications’ pharmacological intentions, adding a nuanced layer of complexity to the treatment of anxiety and underscoring the importance of considering the gut microbiome in holistic patient care strategies.
Building on the established correlation between dysbiosis and anxiety, research extends into the specific roles of various bacterial genera in influencing health outcomes. Among these, gut Bifidobacterium stands out due to its notable decline as age and body mass index (BMI) increase [8]. These gram-positive bacteria have been shown, through in vitro research, to offer a range of health advantages, including the promotion of ATP production, the enhancement of immune system modulation and effectiveness, the maintenance of mucosal barrier integrity, and the limitation of harmful bacterial adherence and invasion within the intestinal epithelium [9,10,11,12,13,14]. They also play a role in modulating the activity of the central nervous system [15,16]. For example, studies revealed that a probiotic formulation containing Bifidobacterium decreases anxiety-related behaviors in healthy volunteers [16]. Driven by the emerging understanding of the gut–brain axis and its impact on mental health, along with the increased levels of anxiety during the COVID pandemic, our interest in exploring gut dysbiosis in relation to symptoms of anxiety emerged. This aligns with the idea that gut microbiota, such as Bifidobacterium, may play a significant role in gut–brain communication, highlighting the interconnectedness of microbiota health and a broad spectrum of mental disease manifestations. This study aimed to determine if the dysbiosis patterns observed in previous anxiety studies [16] and other mental health conditions, such as autism spectrum disorder [17], were present in patients with anxiety, determined by using the Generalized Anxiety Disorder 7-item (GAD-7) scale, at the ProgenaBiome GI clinic in Ventura, CA. Through this exploration, we sought to deepen our understanding of the microbiome–mental health connection. The objective of this preliminary study is to lay the groundwork for larger confirmatory studies that may eventually lead to improved diagnosis and treatment of anxiety.

2. Methods

2.1. Study Participants

One hundred and nineteen GI patients at ProgenaBiome signed an informed consent under IRB Salus protocol #002. Patients gave consent for their gut microbiome to be assessed and unidentified data to be published. This convenience sample consisted of omnivores with no significant dietary differences to control for individual differences in microbiome. Anxiety levels were assessed by trained staff using the Generalized Anxiety Disorder 7-item (GAD-7) test, with scores equal to or above 5 classified as mild to severe anxiety and scores below 5 classified as low to no anxiety. The seven items assess (1) feeling nervous, anxious, or on edge; (2) not being able to stop or control worrying; (3) worrying too much about different things; (4) trouble relaxing; (5) being restless; (6) becoming easily annoyed or irritable; and (7) feeling afraid as if something awful might happen. The GAD-7 is increasingly used as a measure for general anxiety.

2.2. Microbiome Sequencing

Subjects were instructed (and educated on the procedure and sterile methods) to collect 1 mL of fresh stool and place it directly in a DNA/RNA Shield Fecal Collection Tube (Zymo Research, Tustin, CA, USA) and then mix sample thoroughly. Here, 1 mL of faeces is more than sufficient to capture the microflora of the gut accurately and consistently. This method was chosen to eliminate the need for whole stool mixing and aliquoting. The solution in the Fecal Collection Tube is designed to preserve samples at ambient temperature (4 °C–25 °C) for >2 years, or below −20 °C indefinitely.
Once the samples reached our laboratory, they were immediately frozen at −20 °C.
Following faecal collection, each individual sample DNA was extracted and purified with the Qiagen PowerFecal Pro DNA extraction kit, Qiagen, Beverly MA 01915, United States. The isolated DNA was then quantitated using the Quantus Fluorometer with the QuantFluor ONE dsDNA kit, Promega Corporation, Madison, WI 53711 USA. After DNA quantification, the DNA was normalized, that is, all samples began library preparation (following DNA extraction and purification) with 100 ng of input DNA. Libraries were then prepared using shotgun methodology with Illumina’s Nextera Flex kit, Illumina, San Diego, CA 92122. Samples then underwent the shotgun metagenomic processing procedure of tagmentation, amplification, indexing and purification. Following the completion of this shotgun metagenomic standard protocol, purified libraries were again normalized to standardize sequencing depth during the next-generation sequencing (NGS) run on the NextSeq 500/550. We achieved consistency of sequencing depth (i.e., number of reads) by normalizing the samples’ pooling concentrations (i.e., molarity), loading the same number of samples per sequencing run, consistently using the same NextSeq High Output kits, Illumina, San Diego, CA 92122.
After completion of sequencing on the Illumina NextSeq with 500/550 High-Output Kits V.2.5 (300 cycles), the raw data were streamed in real time to Illumina’s BaseSpace cloud for FASTQ (Fast Quality, a standard text file type for storing biological sequence information) conversion. The FASTQ files were then sent through One Codex’s bioinformatics pipeline for metagenomic annotation and analyses to elucidate the microflora composition and relative abundances of the top genera and species for all patients and controls.

3. Statistical Analysis

Statistical calculations included Fisher’s Exact Test for categorical variables and Student’s T-tests for all continuous variables. For the microbiome comparison, the Mann–Whitney U test was used. Statistics on bacterial abundance and microbiome employ non-parametric tests as data are non-normally distributed. p-values < 0.05 were considered significant and were calculated using GraphPad Prism v. 8.0 based on Wilcoxon matched-pairs signed-rank test. Multiple comparisons were accounted for using the false discovery rate. Statistical software R 4.4.2 (November, 2024) with package MOTE was used to calculate effect size.

4. Results

Table 1 shows the characteristics of the 119 study participants in this convenience sample, divided into two groups based on the Generalized Anxiety Disorder 7-item (GAD-7) scale scores. Overall, the GAD-7 score was 6.345 (SEM: 0.56). The non-anxious group consisted of 56 participants with a mean GAD-7 score of 1.57 (SEM: 0.22), indicating minimal to no anxiety symptoms. The anxiety group included 63 participants with a mean GAD-7 score of 10.587 (SEM: 0.70), which is indicative of moderate to severe anxiety symptomatology. Demographically, the anxious and non-anxious groups were of homogenous racial background, with 100% of participants identifying as White. Statistical analyses revealed no significant disparities in age or gender between the groups (p = 0.75, p = 0.46, respectively). Within the Anxiety group, there was a statistically significant greater prevalence of a history of Depression (p = 0.02). Additionally, this group also exhibited a higher frequency of co-occurring Irritable Bowel Syndrome (IBS) when compared to the non-anxious group (p = 0.01). Regarding additional conditions, our analysis did not reveal any significant statistical differences between the groups. Specifically, the incidence rates of Ulcerative Colitis (p = 0.75), non-specific autoimmune disorders (p = 0.63), Lyme Disease (p = 0.073), Crohn’s Disease (p = 0.10), Hypothyroidism (p = 0.63), and Hashimoto’s disease (p = 0.09) were comparable across the Anxious and the Non-Anxious groups (Table 1).

Compositional Differences in the Gut Microbiota of the Anxiety Group

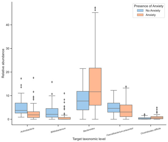
The gut microbiota composition was different between the Anxious and the Non-Anxious groups. The analysis underscored a significantly lower relative abundance of the genus Faecalibacterium (p = 0.020; effect size = 0.220), Bifidobacterium (p = 2.118 × 10−10; effect size = 0.660), a genus that belongs to the Phylum Actinobacteria, which abundance was also lower (p = 1.516 × 10−8; effect size = 0.590) in the Anxious group compared to the Non/Low-Anxious (Table 2(a)). Conversely, there was a significantly greater abundance of the genera Clostridioides (p = 0.011; effect size = −0.243) and Bacteroides (p = 0.002; effect size = −0.310) within the Anxious group, compared to the non-Anxious group (Table 2(b)).
Figure 1 shows the differences in relative microbiota abundance between the Anxiety and No Anxiety Group by target taxonomic level.

5. Discussion

In this study, we found a clear compositional difference in the gut microbiota of anxious individuals compared to non-anxious ones. Notably, we observed a significant decrease in the relative abundance of Bifidobacterium and Actinobacteria, coupled with decreased levels of Faecalibacterium in the anxiety group. Conversely, this group exhibited an increased abundance of Clostridioides and Bacteroides compared to the non-anxious group. These findings, if confirmed in larger studies, may shed light to further explore microbiome-centric anxiety research, to potentially provide targeted and effective interventions for individuals with anxiety in the future.
The decrease in the relative abundance of Bifidobacterium in anxious individuals found in this study echoes observations from COVID-19 research, where Bifidobacterium was consistently found at reduced levels among patients with post-acute COVID-19 syndrome (PACS) compared to non-COVID-19 controls. PACS, often called long COVID, involves symptoms that persist for weeks or months beyond the acute phase of COVID-19 infection. Symptoms can include fatigue, cognitive issues (“brain fog”), muscle pain, sleep problems, and neuropsychiatric symptoms like anxiety and depression. In a study by Liu et al. (2022), which investigated 106 COVID-19 patients with varying degrees of illness severity and 68 non-COVID-19 controls, 76% of COVID-19 patients experienced PACS six months after infection [18]. The gut microbiome composition at admission correlated with PACS occurrence, and patients with PACS showed persistently low levels of Bifidobacterium, among other changes [18]. Interestingly, PACS is characterized by symptoms that can overlap with or contribute to feelings of anxiety, such as fatigue, cognitive impairment, and sleep disturbances [19]. This understanding is further emphasized by previous research that points to a link between gut microbiota and mental health, showing that lower levels of Bifidobacterium are associated with anxiety symptoms, complementing our results [20,21]. Given the increase in anxiety levels post-pandemic and the consistent accompanying trend of reduced Bifidobacterium, our findings emphasize the importance of further research in this area.
The complex interplay between stress and anxiety extends to the psychological and physiological domains, with emerging evidence pointing to its influence on gut microbiota. Our observed decrease in Actinobacteria levels among anxious individuals compared to the non-anxious group, compounded by stress-induced reductions in this genus, as shown by Jang et al. (2019), suggests that microbial changes may serve as both a consequence and mediator of the stress-anxiety complex [22]. This suggests a broader implication for Actinobacteria in the interplay between psychological stress, immune responses, and microbial health, reinforcing the likely importance of considering microbial health when evaluating the pathophysiology of the stress axis in anxiety and other stress-related conditions.
In parallel, our study identified a reduction in Faecalibacterium levels in anxious individuals, paralleling past studies that have identified a negative correlation between the levels of Faecalibacterium and the severity of depressive symptoms [23]. Faecalibacterium is recognized as a bacterial species with implications beyond mental health, as its levels are also diminished in irritable bowel syndrome (IBS) [24]. A study by Ou et al. (2024) identified a Faecalibacterium-depleted gut microbiota cluster among a group of 14-year-old children and adolescents that was associated with elevated social anxiety. This study followed 193 children over time and found that those in the Faecalibacterium-depleted cluster at age 14 exhibited significantly higher social anxiety compared to those in other microbial clusters [25]. Additionally, according to Hoa et al. (2019), administration of F. prausnitzii in rats can have preventive and therapeutic effects on anxiety-like behaviors induced by Chronic Unpredicted Mild Stress [26]. The potential for therapeutic effects observed in rats, compounded with the consistent correlational evidence found in human studies, sheds light on Faecalibacterium as a possible therapeutic target.
The increase in Clostridioides observed in the anxiety group in this study also parallels past findings. A study by Hengel et al. (2022) investigated the impact of recurrent Clostridioides difficile infection (CDI) on patient-reported health-related quality of life (HrQOL), with a particular focus on anxiety-related outcomes [27]. The research revealed that patients with recurrent CDI reported significantly worsened anxiety-related HrQOL when compared to those without recurrences. This suggests that Clostridioides may play a role in exacerbating psychological symptoms and thus, this association is worth further investigation.
Lastly, our study noted an increased abundance of Bacteroides in the anxious group compared to the non-anxious one. The potential association between Bacteroides levels and psychiatric symptoms is further evidenced by a study by Yang et al. (2023), in which they evaluated the effects of fecal microbiota transplantation (FMT) on patients with functional constipation and psychiatric symptoms [28]. The study showed that FMT led to a decreased relative abundance of Bacteroides. This change coincided with clinical improvements in both constipation and psychiatric symptoms, suggesting a potential association between Bacteroides levels and these conditions [28]. Henceforth, our outcome complements previous research, suggesting that the role of Bacteroides in modulating psychiatric symptoms is worth further investigation.
Building upon our findings of differential microbial compositions associated with anxiety, the presence of Irritable Bowel Syndrome (IBS) and depression in the anxiety group further elucidates the complex interplay between gut microbiota and mental health. Indeed, although our sample size was limited, we observed that individuals with higher anxiety were statistically significantly more likely to have a history of depression and to suffer from IBS compared to those with lower anxiety. This correlation supports existing research, which suggests that gut dysbiosis may be a contributing factor to the pathophysiology of both anxiety and depression [29]. For example, the high prevalence of IBS in the anxiety group aligns with previous findings from a comprehensive meta-analysis by Staudacher et al., which reported that a significant proportion of individuals with anxiety also presented with IBS [29]. The prevailing theory posits that the gut microbiota plays a crucial role in supplying vital inflammatory mediators to the immune system. Therefore, prolonged dysbiosis, as observed in conditions like IBS, may trigger ongoing immune system activation, leading to brain dysfunction and the emergence of anxiety [30,31]. Moreover, the relationship between gut microbiota and depression, as evidenced by the higher incidence of history of depression in the anxiety group, complements the observed microbial patterns. This dual presence of IBS and depression among the more anxious individuals underscores the need for a holistic approach in the treatment strategies that consider the gut–brain axis as a continuum influencing a spectrum of psychological and gastrointestinal disorders. Integrating these insights, our study contributes to the growing understanding of how modifications in gut microbiota can influence not just isolated conditions but a broader array of interconnected health outcomes. Future research should explore the causal relationships and underlying mechanisms at play.
The bidirectional nature of the gut–brain axis means it remains unclear whether anxiety symptoms lead to dysbiosis of the microbiome or if dysbiosis contributes to the development of anxiety symptoms. The mechanisms by which the gut microbiota could adversely impact mental health; particularly anxiety; may involve multiple biological pathways. For example, the reduction in Bifidobacterium and Actinobacteria could influence the gut–brain axis via their roles in producing short-chain fatty acids (SCFAs). Jiang and colleagues (2018) discovered a decreased occurrence of Faecalibacterium; Eubacterium rectale; Lachnospira; Butyricicoccus; and Sutterella in individuals diagnosed with Generalized Anxiety Disorders, which are significant contributors to the production of short-chain fatty acids (SCFA) [32,33]. Short-chain fatty acids (SCFAs) have been associated with promoting a pro-inflammatory response, leading into neural feedback loops. This proinflammatory state is crucial as it inhibits the enzyme tetrahydrobiopterin, which is essential for synthesizing dopamine, serotonin, and norepinephrine [34]. The reduced levels of bacteria responsible for SCFA production constitutes the basis of the monoamine hypothesis regarding anxiety and depression [35]. Additionally, the increase in Bacteroides might contribute to an altered metabolic profile that predisposes individuals to anxiety through changes in the gut barrier integrity and subsequent immune activation [36]. This evidence aligns with recent studies highlighting the influence of microbial-derived metabolites on brain function and behavior.
Several limitations must be acknowledged in our study, which may affect the interpretation of our findings. Notably, the abundance of Bifidobacterium and Faecalibacterium can be influenced by various factors, including age and body mass index (BMI). Given that in this study the age range spanned from 18 to 75 years, it is possible that older ages within this spectrum contributed to an overall lower observed abundance of Bifidobacterium [15,27,28]. The complexity of the human microbiome also presents a significant challenge, as it varies greatly between individuals and is influenced by a multitude of factors including diet, lifestyle, and medication intake. For example, the impact of psychotropic and other medications on the microbiota composition was not accounted for, which could significantly influence the results [37,38]. The Human Microbiome Project has documented extensive variability in the microbiome across different individuals, highlighting the difficulty in controlling for these differences plus the multifactorial effects of inflammation [39]. The effect of diet in the microbiome is an important one as many studies have demonstrated how different nutrients affect the gut microbiome [40,41,42]. Furthermore, we have not measured bowel frequency/habits as a factor in the associations between gut microbes and anxiety. Thus, both participants’ diet and bowel transit time ought to be measured in future studies. Future research is also needed to measure alpha and beta diversity, as well as differential analyses designed to control for specific features of gut microbes. Moreover, SFCAs were not measured in blood to confirm a correlation between gut microbes that produce SFCAs, such as Bifidobacterium, Bacteroides, and Lachnospiraceae. Future studies are needed to confirm this.
Our study’s limitations also include its limited sample size and the cross-sectional nature of the data collection, which restricts our ability to establish causal relationships. We have not corrected for multiple comparisons in the analyses, which may have affected the statistical significance in the association between Clostridioides and anxiety. Furthermore, the study participants were patients at a private gastrointestinal clinic and were not evaluated by a psychiatrist; consequently, they did not receive a formal diagnosis of an anxiety disorder. Instead, their anxiety levels were assessed using the self-administered GAD-7 scale, which while highly suggestive of the presence of an anxiety disorder, does not establish a diagnosis of one. This precludes the formation of any clinical inference regarding anxiety diagnoses and symptoms, which were not available for the study analysis. Furthermore, affective disorders are known to be highly comorbid with anxiety disorders, but no measure of depressive symptoms was made in this study.
Additionally, the racial homogeneity of the sample limits its generalizability to the larger public. As this study serves as a pilot, future research will incorporate samples from other ethnicities to enhance the generalizability and robustness of the findings. Finally, it remains unclear whether the dysbiosis patterns observed are a cause or an effect of anxiety, underscoring the need for longitudinal studies with more diverse populations to better understand these associations.
In summary, this study adds to the growing evidence linking gut microbiome dysbiosis with anxiety, highlighting significant differences in specific bacterial taxa between anxious and non-anxious individuals. Given the preliminary nature of this study, it serves as a valuable basis for further research. Future studies with larger, more diverse populations and clinical diagnoses of anxiety are necessary to confirm these findings and to better understand the potential mechanisms at play. This research underscores the importance of continued investigation into the gut–brain axis and its role in mental health, offering a foundation for more definitive studies that may lead to improved strategies for managing anxiety.

Author Contributions

S.H. designed the study and collected the data. M.v.G. and A.C.V. drafted the manuscript. N.M.S. contributed to the data analysis and A.B. supervised the work. All authors have read and agreed to the published version of the manuscript.

Funding

Funding Sources: NIH grant 5T32GM008042 (to N.M.S.).

Institutional Review Board Statement

Patients at ProgenaBiome signed an in-formed consent under IRB Salus protocol #002. Patients gave consent for their gut microbiome to be assessed and for unidentified data to be published.

Informed Consent Statement

Informed consent was obtained from all subjects involved in the study.

Data Availability Statement

Data are available upon reasonable request.

Conflicts of Interest

Dr. Sabine Hazan is the CEO of Progenabiome and the owner of Microbiome Research Foundation. All other authors reported no COI.

References

  1. World Health Organization. Anxiety Disorders; World Health Organization: Geneva, Switzerland, 2023; Available online: https://www.who.int/news-room/fact-sheets/detail/anxiety-disorders (accessed on 6 December 2024).
  2. Kupcova, I.; Danisovic, L.; Klein, M.; Harsanyi, S. Effects of the COVID-19 pandemic on mental health, anxiety, and depression. BMC Psychol. 2023, 11, 108. [Google Scholar] [CrossRef]
  3. Spivak, N.M.; Haroon, J.; Swenson, A.; Turnbull, S.A.; Dang, N.; Ganeles, M.; Price, C.; Distler, M.; Nurmi, E.; Lavretsky, H.; et al. Microbiome in Anxiety and Other Psychiatric Disorders. Med. Clin. N. Am. 2023, 107, 73–83. [Google Scholar] [CrossRef]
  4. Carabotti, M.; Scirocco, A.; Maselli, M.A.; Severi, C. The gut-brain axis: Interactions between enteric microbiota, central and enteric nervous systems. Ann. Gastroenterol. 2015, 28, 203–209. [Google Scholar] [PubMed Central]
  5. O’Mahony, S.M.; Clarke, G.; Dinan, T.G.; Cryan, J.F. Early-life adversity and brain development: Is the microbiome a missing piece of the puzzle? Neuroscience 2017, 342, 37–54. [Google Scholar] [CrossRef]
  6. Rieder, R.; Wisniewski, P.J.; Alderman, B.L.; Campbell, S.C. Microbes and mental health: A review. Brain Behav. Immun. 2017, 66, 9–17. [Google Scholar] [CrossRef]
  7. Tomizawa, Y.; Kurokawa, S.; Ishii, D.; Miyaho, K.; Ishii, C.; Sanada, K.; Fukuda, S.; Mimura, M.; Kishimoto, T. Effects of Psychotropics on the Microbiome in Patients With Depression and Anxiety: Considerations in a Naturalistic Clinical Setting. Int. J. Neuropsychopharmacol. 2021, 24, 97–107. [Google Scholar] [CrossRef]
  8. De Vuyst, L.; Moens, F.; Selak, M.; Rivière, A.; Leroy, F. Summer Meeting 2013: Growth and physiology of bifidobacteria. J. Appl. Microbiol. 2014, 116, 477–491. [Google Scholar] [CrossRef]
  9. Marsland, B.J.; Trompette, A.; Gollwitzer, E.S. The Gut-Lung Axis in Respiratory Disease. Ann. Am. Thorac. Soc. 2015, 12 (Suppl. S2), S150–S156. [Google Scholar] [CrossRef]
  10. Janda, L.; Mihalčin, M.; Šťastná, M. Is a healthy microbiome responsible for lower mortality in COVID-19? Biologia 2021, 76, 819–829. [Google Scholar] [CrossRef]
  11. Tiwari, S.K.; Dicks, L.M.T.; Popov, I.V.; Karaseva, A.; Ermakov, A.M.; Suvorov, A.; Tagg, J.R.; Weeks, R.; Chikindas, M.L. Probiotics at War Against Viruses: What Is Missing From the Picture? Front. Microbiol. 2020, 11, 1877. [Google Scholar] [CrossRef]
  12. Bozkurt, H.S.; Quigley, E.M. The probiotic Bifidobacterium in the management of Coronavirus: A theoretical basis. Int. J. Immunopathol. Pharmacol. 2020, 34, 2058738420961304. [Google Scholar] [CrossRef]
  13. Jin, X.; Lian, J.S.; Hu, J.H.; Gao, J.; Zheng, L.; Zhang, Y.M.; Hao, S.R.; Jia, H.Y.; Cai, H.; Zhang, X.L.; et al. Epidemiological, clinical and virological characteristics of 74 cases of coronavirus-infected disease 2019 (COVID-19) with gastrointestinal symptoms. Gut 2020, 69, 1002–1009. [Google Scholar] [CrossRef]
  14. Gu, S.; Chen, Y.; Wu, Z.; Chen, Y.; Gao, H.; Lv, L.; Guo, F.; Zhang, X.; Luo, R.; Huang, C.; et al. Alterations of the Gut Microbiota in Patients With Coronavirus Disease 2019 or H1N1 Influenza. Clin. Infect. Dis. Off. Publ. Infect. Dis. Soc. Am. 2020, 71, 2669–2678. [Google Scholar] [CrossRef]
  15. Marras, L.; Caputo, M.; Bisicchia, S.; Soato, M.; Bertolino, G.; Vaccaro, S.; Inturri, R. The Role of Bifidobacteria in Predictive and Preventive Medicine: A Focus on Eczema and Hypercholesterolemia. Microorganisms 2021, 9, 836. [Google Scholar] [CrossRef]
  16. Messaoudi, M.; Violle, N.; Bisson, J.F.; Desor, D.; Javelot, H.; Rougeot, C. Beneficial psychological effects of a probiotic formulation (Lactobacillus helveticus R0052 and Bifidobacterium longum R0175) in healthy human volunteers. Gut Microbes 2011, 2, 256–261. [Google Scholar] [CrossRef]
  17. Hazan, S.; Haroon, J.; Jordan, S.; Walker, S.J. Improvements in Gut Microbiome Composition and Clinical Symptoms Following Familial Fecal Microbiota Transplantation in a Nineteen-Year-Old Adolescent With Severe Autism. J. Med. Cases 2024, 15, 82–91. [Google Scholar] [CrossRef]
  18. Liu, Q.; Mak, J.W.Y.; Su, Q.; Yeoh, Y.K.; Lui, G.C.; Ng, S.S.S.; Zhang, F.; Li, A.Y.L.; Lu, W.; Hui, D.S.; et al. Gut microbiota dynamics in a prospective cohort of patients with post-acute COVID-19 syndrome. Gut 2022, 71, 544–552. [Google Scholar] [CrossRef]
  19. Parotto, M.; Gyöngyösi, M.; Howe, K.; Myatra, S.N.; Ranzani, O.; Shankar-Hari, M.; Herridge, M.S. Post-acute sequelae of COVID-19: Understanding and addressing the burden of multisystem manifestations. Lancet Respir. Med. 2023, 11, 739–754. [Google Scholar] [CrossRef]
  20. Lee, H.J.; Hong, J.K.; Kim, J.K.; Kim, D.H.; Jang, S.W.; Han, S.W.; Yoon, I.Y. Effects of Probiotic NVP-1704 on Mental Health and Sleep in Healthy Adults: An 8-Week Randomized, Double-Blind, Placebo-Controlled Trial. Nutrients 2021, 13, 2660. [Google Scholar] [CrossRef]
  21. Zhu, R.; Fang, Y.; Li, H.; Liu, Y.; Wei, J.; Zhang, S.; Wang, L.; Fan, R.; Wang, L.; Li, S.; et al. Psychobiotic Lactobacillus plantarum JYLP-326 relieves anxiety, depression, and insomnia symptoms in test anxious college via modulating the gut microbiota and its metabolism. Front. Immunol. 2023, 14, 1158137. [Google Scholar] [CrossRef]
  22. Bystritsky, A.; Kronemyer, D. Stress and anxiety: Counterpart elements of the stress/anxiety complex. Psychiatr. Clin. N. Am. 2014, 37, 489–518. [Google Scholar] [CrossRef] [PubMed]
  23. Jiang, H.; Ling, Z.; Zhang, Y.; Mao, H.; Ma, Z.; Yin, Y.; Wang, W.; Tang, W.; Tan, Z.; Shi, J.; et al. Altered fecal microbiota composition in patients with major depressive disorder. Brain Behav. Immun. 2015, 48, 186–194. [Google Scholar] [CrossRef] [PubMed]
  24. Rajilić-Stojanović, M.; Biagi, E.; Heilig, H.G.; Kajander, K.; Kekkonen, R.A.; Tims, S.; de Vos, W.M. Global and deep molecular analysis of microbiota signatures in fecal samples from patients with irritable bowel syndrome. Gastroenterology 2011, 141, 1792–1801. [Google Scholar] [CrossRef]
  25. Ou, Y.; Belzer, C.; Smidt, H.; de Weerth, C. Development of the gut microbiota in the first 14 years of life and its relations to internalizing and externalizing difficulties and social anxiety during puberty. Eur. Child Adolesc. Psychiatry 2024, 33, 847–860. [Google Scholar] [CrossRef]
  26. Hao, Z.; Wang, W.; Guo, R.; Liu, H. Faecalibacterium prausnitzii (ATCC 27766) has preventive and therapeutic effects on chronic unpredictable mild stress-induced depression-like and anxiety-like behavior in rats. Psychoneuroendocrinology 2019, 104, 132–142. [Google Scholar] [CrossRef]
  27. Hengel, R.L.; Schroeder, C.P.; Jo, J.; Ritter, T.E.; Nathan, R.V.; Gonzales-Luna, A.J.; Obi, E.N.; Dillon, R.J.; Van Anglen, L.J.; Garey, K.W. Recurrent Clostridioides difficile infection worsens anxiety-related patient-reported quality of life. J. Patient-Rep. Outcomes 2022, 6, 49. [Google Scholar] [CrossRef]
  28. Yang, C.; Hu, T.; Xue, X.; Su, X.; Zhang, X.; Fan, Y.; Shen, X.; Dong, X. Multi-omics analysis of fecal microbiota transplantation’s impact on functional constipation and comorbid depression and anxiety. BMC Microbiol. 2023, 23, 389. [Google Scholar] [CrossRef] [PubMed]
  29. Staudacher, H.M.; Black, C.J.; Teasdale, S.B.; Mikocka-Walus, A.; Keefer, L. Irritable bowel syndrome and mental health comorbidity—Approach to multidisciplinary management. Nat. Rev. Gastroenterol. Hepatol. 2023, 20, 582–596. [Google Scholar] [CrossRef]
  30. Takeda, K.; Akira, S. TLR signaling pathways. Semin. Immunol. 2004, 16, 3–9. [Google Scholar] [CrossRef]
  31. Zhu, C.; Xu, J.; Lin, Y.; Ju, P.; Duan, D.; Luo, Y.; Ding, W.; Huang, S.; Chen, J.; Cui, D. Loss of Microglia and Impaired Brain-Neurotrophic Factor Signaling Pathway in a Comorbid Model of Chronic Pain and Depression. Front. Psychiatry 2018, 9, 442. [Google Scholar] [CrossRef]
  32. Jiang, H.Y.; Zhang, X.; Yu, Z.H.; Zhang, Z.; Deng, M.; Zhao, J.H.; Ruan, B. Altered gut microbiota profile in patients with generalized anxiety disorder. J. Psychiatr. Res. 2018, 104, 130–136. [Google Scholar] [CrossRef] [PubMed]
  33. Morris, G.; Berk, M.; Carvalho, A.; Caso, J.R.; Sanz, Y.; Walder, K.; Maes, M. The Role of the Microbial Metabolites Including Tryptophan Catabolites and Short Chain Fatty Acids in the Pathophysiology of Immune-Inflammatory and Neuroimmune Disease. Mol. Neurobiol. 2017, 54, 4432–4451. [Google Scholar] [CrossRef] [PubMed]
  34. Miller, A.H.; Raison, C.L. The role of inflammation in depression: From evolutionary imperative to modern treatment target. Nature reviews. Immunology 2016, 16, 22–34. [Google Scholar] [CrossRef] [PubMed]
  35. Winter, G.; Hart, R.A.; Charlesworth, R.P.G.; Sharpley, C.F. Gut microbiome and depression: What we know and what we need to know. Rev. Neurosci. 2018, 29, 629–643. [Google Scholar] [CrossRef]
  36. Lach, G.; Schellekens, H.; Dinan, T.G.; Cryan, J.F. Anxiety, Depression, and the Microbiome: A Role for Gut Peptides. Neurother. J. Am. Soc. Exp. Neurother. 2018, 15, 36–59. [Google Scholar] [CrossRef]
  37. Cussotto, S.; Clarke, G.; Dinan, T.G.; Cryan, J.F. Psychotropics and the Microbiome: A Chamber of Secrets… Psychopharmacology 2019, 236, 1411–1432. [CrossRef]
  38. Maier, L.; Pruteanu, M.; Kuhn, M.; Zeller, G.; Telzerow, A.; Anderson, E.E.; Brochado, A.R.; Fernandez, K.C.; Dose, H.; Mori, H.; et al. Extensive impact of non-antibiotic drugs on human gut bacteria. Nature 2018, 555, 623–628. [Google Scholar] [CrossRef]
  39. Human Microbiome Project Consortium. Structure, function and diversity of the healthy human microbiome. Nature 2012, 486, 207–214. [Google Scholar] [CrossRef]
  40. Waheed, A.; Ghaffar, M.; Mustafa, S.; Abbas, A.; Khan, S.; Waheed, A.; Naz, H. Nutrigenomics and neurological disorders: Exploring diet-brain interactions for cognitive health. Neurogenetics 2024, 26, 10. [Google Scholar] [CrossRef] [PubMed]
  41. Ribichini, E.; Scalese, G.; Mocci, C.; Severi, C. Gut-Brain Axis and Psychopathology: Exploring the Impact of Diet with a Focus on the Low-FODMAP Approach. Nutrients 2024, 16, 3515. [Google Scholar] [CrossRef]
  42. Merino Del Portillo, M.; Clemente-Suárez, V.J.; Ruisoto, P.; Jimenez, M.; Ramos-Campo, D.J.; Beltran-Velasco, A.I.; Martínez-Guardado, I.; Rubio-Zarapuz, A.; Navarro-Jiménez, E.; Tornero-Aguilera, J.F. Nutritional Modulation of the Gut-Brain Axis: A Comprehensive Review of Dietary Interventions in Depression and Anxiety Management. Metabolites 2024, 14, 549. [Google Scholar] [CrossRef]
Figure 1. Relative Microbiota Abundances in Anxious and Low/Non-Anxious Groups.
Figure 1. Relative Microbiota Abundances in Anxious and Low/Non-Anxious Groups.
Gastroent 15 00072 g001
Table 1. Characteristics of Study Participants.
Table 1. Characteristics of Study Participants.
Anxiety (n = 63)No Anxiety (n = 56)p-Value *
Age (years); mean (SD)53.71 (21.38)55.10 (24.13)0.75
Race White (n, %)100 (63)100 (56)
Gender
Female (n, %)52.38 (33)44.64 (25)0.4639
Male (n, %)47.62 (30)55.36 (31)
Comorbidity
Mental Comorbidity
GAD-7; mean (SEM)10.587 (0.70)1.57 (0.22)<0.001 *
Past History of Depression (n, %)9.52 (6)0 (0)0.01778 *
ALS (n, %)3.17 (2)0 (0)0.18024
Sleep Apnea (n, %)3.17 (2)0 (0)0.18024
Physical Comorbidity (n, %)
Ulcerative Colitis4.76 (3)3.17 (2)0.74896
Autoimmune (Non-Specific)3.17 (2)1.58 (1)0.63122
Irritable Bowel Syndrome12.70 (8)0 (0)0.00578 *
Lyme Disease9.52 (6)1.58 (1)0.07346
Crohn’s4.76 (3)0 (0)0.09894
Hypothyroidism3.17 (2)1.58 (1)0.63122
Hashimotos4.76 (3)0 (0)0.09894
Note. p-values based on Fisher’s exact test for categorical variables and Student’s t-tests for all continuous variables. p-values reaching statistical significance are accompanied by an asterisk.
Table 2. Relative Microbiota Abundances in the Anxious Group * vs. the Low/Non-Anxious group.
Table 2. Relative Microbiota Abundances in the Anxious Group * vs. the Low/Non-Anxious group.
(a)
Wp-Value *Rank-Biserial CorrelationSE Rank-Biserial Correlation
Actinobacteria2805.000** 1.516 × 10−80.5900.106
Bifidobacterium2929.000** 2.118 × 10−100.6600.106
Faecalibacterium2151.500** 0.0200.2200.106
(b)
Wp-Value *Rank-Biserial CorrelationSE Rank-Biserial Correlation
Bacteroides1217.000** 0.002−0.3100.106
Clostridioides1336.000** 0.011−0.2430.106
Note. * Compared to the Non-Anxious group; ** Means significant at p < 0.05; For the Mann–Whitney test, effect size is given by the rank biserial correlation; W In the context of the Mann–Whitney U test, “W” denotes the test statistic, which represents the sum of the ranks for one of the two groups being compared. Values in bold mean statistically significant associations.
Disclaimer/Publisher’s Note: The statements, opinions and data contained in all publications are solely those of the individual author(s) and contributor(s) and not of MDPI and/or the editor(s). MDPI and/or the editor(s) disclaim responsibility for any injury to people or property resulting from any ideas, methods, instructions or products referred to in the content.

Share and Cite

MDPI and ACS Style

Hazan, S.; von Guttenberg, M.; Vidal, A.C.; Spivak, N.M.; Bystritsky, A. A Convenience Sample Looking at Microbiome Differences Between Anxious and Non-Anxious Patients in a GI Clinic. Gastroenterol. Insights 2024, 15, 1054-1063. https://doi.org/10.3390/gastroent15040072

AMA Style

Hazan S, von Guttenberg M, Vidal AC, Spivak NM, Bystritsky A. A Convenience Sample Looking at Microbiome Differences Between Anxious and Non-Anxious Patients in a GI Clinic. Gastroenterology Insights. 2024; 15(4):1054-1063. https://doi.org/10.3390/gastroent15040072

Chicago/Turabian Style

Hazan, Sabine, Mathilda von Guttenberg, Adriana C. Vidal, Norman M. Spivak, and Alexander Bystritsky. 2024. "A Convenience Sample Looking at Microbiome Differences Between Anxious and Non-Anxious Patients in a GI Clinic" Gastroenterology Insights 15, no. 4: 1054-1063. https://doi.org/10.3390/gastroent15040072

APA Style

Hazan, S., von Guttenberg, M., Vidal, A. C., Spivak, N. M., & Bystritsky, A. (2024). A Convenience Sample Looking at Microbiome Differences Between Anxious and Non-Anxious Patients in a GI Clinic. Gastroenterology Insights, 15(4), 1054-1063. https://doi.org/10.3390/gastroent15040072

Article Metrics

Back to TopTop