Next Article in Journal
Legal and Safety Aspects of the Application of Automated and Autonomous Vehicles in the Republic of Croatia
Next Article in Special Issue
Driving Sustainability: Analyzing Eco-Driving Efficiency Across Urban and Interurban Roads with Electric and Combustion Vehicles
Previous Article in Journal / Special Issue
Economic Sustainability of Scrapping Electric and Internal Combustion Vehicles: A Comparative Multiple Italian Case Study
 
 
Font Type:
Arial Georgia Verdana
Font Size:
Aa Aa Aa
Line Spacing:
Column Width:
Background:
Article

Adoption of Electric Vehicles and Forecasting Air Emissions in the Metropolitan Area of Mexico City by 2050

by
Rodolfo Sosa Echeverría
1,
Graciela Velasco Herrera
2,*,
Pablo Sánchez Álvarez
1,
Elías Granados Hernández
1,
Gilberto Fuentes García
1,
Victor Manuel Velasco Herrera
3,
Rogelio González Oropeza
4,
William Vicente Rodríguez
5,
Jaime Gandarilla Ibarra
4 and
Rodrigo Rivera Rivera
4
1
Instituto de Ciencias de la Atmósfera y Cambio Climático, Universidad Nacional Autónoma de México, Circuito Exterior, C.U., Coyoacán, Mexico City 04510, Mexico
2
Instituto de Ciencias Aplicadas y Tecnología, Universidad Nacional Autónoma de México, Ciudad Universitaria, Coyoacán, CDMX, Mexico City 04510, Mexico
3
Instituto de Geofísica, Universidad Nacional Autónoma de México, Circuito Exterior, C.U., Coyoacán, CDMX, Mexico City 04510, Mexico
4
Facultad de Ingeniería, Universidad Nacional Autónoma de México, Circuito Exterior, C.U., Coyoacán, CDMX, Mexico City 04510, Mexico
5
Instituto de Ingeniería, Universidad Nacional Autónoma de México, Circuito Exterior, C.U., Coyoacán, CDMX, Mexico City 04510, Mexico
*
Author to whom correspondence should be addressed.
World Electr. Veh. J. 2025, 16(1), 33; https://doi.org/10.3390/wevj16010033
Submission received: 29 November 2024 / Revised: 4 January 2025 / Accepted: 9 January 2025 / Published: 10 January 2025

Abstract

Densely populated urban megacities, such as the Metropolitan Area of Mexico City, face the ongoing deterioration of air quality. Emissions from industrail factories and internal combustion vehicles are the main sources of pollutants. We have evaluated different transition trends from internal combustion engine vehicles as bus, truck and van, and motorcycle to electric vehicles through 2050. The total vehicle growth follows a second-degree polynomial trend. Bus growth exhibits a linear trend. Truck and van growth display a second-degree polynomial trend. Motorcycle growth also follows a second-degree polynomial trend. We found that the most significant reductions in transportation emissions are observed in C O 2 , followed by N O x , volatile organic compound (VOC), and particulate matter, with light and heavy vehicles being the primary contributors to total emissions. Mexico City serves as a pilot laboratory where both the challenges and potential solutions to an issue affecting millions of citizens can be observed. If proven effective and practical, these solutions could be applied to other megacities.

1. Introduction

The reintroduction of electric vehicles (EVs) as new technologies in the first decade of the 21st century worldwide as a means of transportation, represents a significant response to the current demands of the global population, which is now covering approximately 8 billion people [1,2,3]. Among these demands are the improvement of air quality, especially in megacities characterized by high population density with more than 10 million residents. Currently, among the urban areas with high population density are the Tokyo metropolitan area in Japan with 37 million residents, New Delhi in India with over 32 million residents, Shanghai in China with more than 29 million residents, Dhaka in Bangladesh with over 23 million residents, the São Paulo metropolitan area with more than 23 million residents, and the Metropolitan Area of Mexico City (MAMC) with 22 million residents [3,4,5,6,7].
In the context of increasing population density and its immediate needs, including vehicular transport and air quality improvement, the development of emerging technologies represents a new era of clean energy utilization [3]. These technologies are crucial for meeting global sustainability demands, particularly in the study and advancement of energy storage systems, such as lithium-ion batteries with higher energy density and efficiency [8,9]. The trend and recommendation for the adoption of EVs is presented as a strategic initiative for the short, medium, and long term, significantly contributing to the reduction of atmospheric emission of air pollutants. This transitional technology is anticipated to have a positive impact on air quality in major metropolitan areas worldwide [10].
At the international level, air pollution studies initially focused on recognized criterion pollutants [11]. These concerns evolved to include toxic pollutants [12], particularly in developed countries, and now encompass greenhouse gases and specific compounds such as reactive nitrogen species ( N r ). Nitrogen compounds are present both in ambient air and in wet atmospheric deposition. In ambient air, oxidized forms such as N O , N O 2 , and N O x are studied, while in wet deposition, both oxidized and reduced forms, including nitrate ( N O 3 ) and ammonium ( N H 4 + ), are considered.
We set out to study and evaluate the growth in vehicular emissions and atmospheric emissions from mobile sources over a specific period in densely populated metropolitan areas, such as the MAMC, with a current population of 22 million residents according to the 2020 Population and Housing Census by the National Institute of Statistics and Geography [7]. Such in-depth analyses are critical for identifying patterns, trends, and future projections related to air quality. This study can also provide valuable insights for implementing planning strategies aimed at reducing air emissions in the short, medium, and long term through the adoption of cleaner transportation technologies, such as EVs.
Identifying patterns and trends of the fleet of internal combustion engine vehicles (ICEVs), as well as documenting emissions from this source during specific periods, helps us understand abrupt changes and the factors that arose due to historical, political, and social contexts at each stage. In response to these national and global changes, each region must adapt to the evolving needs of transition, transformation, growth, and gradual development, which are reflected in the progressive integration of emerging technologies of each era.
In the case of the MAMC, the period of analysis is from 1980 to 2022 covering the transitions between the third (1914–1980) and the fourth (1980–) industrial revolution, respectively. The periods acquire particular relevance for the adoption of EVs and transition away from ICEVs, as well as in the resurgence of the former with the adaptation of new emerging technologies. The third revolution was characterized by electrification, automation, and the development of information technology. The fourth revolution marks the digital era, vehicle connectivity, artificial intelligence applied to autonomous driving and renewed electrification, once again boosting the use or proliferation of EVs [13,14].
Mexico has historically integrated EVs into its transportation system since the last decade of the 19th century, influenced by various industrial revolutions, with a particular emphasis on public transportation. As the industrial revolution progressed, ICEVs began to displace electric transport by 1920. Despite this, Mexico continued to use EVs, with Mexico City (CDMX) adopting electric trams as a key part of urban transportation in 1900, followed by the introduction of electric trolley buses in 1951, which became integral components of the urban transport network [15]. By 1960, the rise in private ICEVs and the expansion of the motor bus system led to a decline in the use of electric-powered trams and trolleybuses. However, in 1969, CDMX inaugurated its underground electric transportation system known as “El Metro”, which has played a crucial role in alleviating traffic congestion with its fleet of electric trains [13].
Since 1986, CDMX has also implemented the Light Rail system, extending connectivity between urban areas and suburbs with electric-powered trains operating on elevated and surface tracks. It is important to note that since 1990, the resurgence of clean energy and technologies has sparked renewed interest in the adoption and expansion of EVs and transportation networks, driven simultaneously by environmental concerns and technological advancements. Currently, EVs have become crucial elements in the strategy to reduce emissions of air pollutants and to promote environmental sustainability in public transportations. Densely populated cities such as MAMC are obvious examples of creative and technological adaptation to meet the challenges of a growing metropolis, as well as the country’s continued commitment to the utilization of clean energy. An assessment is needed to analyze trends and projections and propose strategies and plans for the use of clean technologies and energy, the reduction of atmospheric emissions, and more sustainable mobility [16,17].
EVs are once again being integrated as the main means of transport, due to their potential independence from oil and the reduction in the emission of greenhouse gases and air pollutants. This new boom leads to aborting new operational needs for the sake of widespread adoption of the technology. Research that delves into the evolution of EVs over time often emphasizes their benefits, such as reducing carbon emissions and mitigating air pollution. But it also explores the challenges and hurdles in its adoption, such as the high cost of infrastructure, a shortage of charging stations, limited range, and range anxiety, along with concerns about battery performance. Proposed solutions to overcome these challenges include improving charging infrastructure, increasing the number of charging stations, implementing battery swapping techniques, and improving battery technology to address and reduce charging times [17,18].
The expansion of EVs can provide a pathway to mitigate both carbon-dioxide emissions and air pollution from road transportation. The benefits of this technological adoption for climate, air quality, and health have been widely documented [17].
EVs have some limitations in terms of battery life cycle when charged quickly. This restriction can reduce battery life and increase the weight of the vehicle, resulting in higher weight compared to gasoline-powered vehicles. This increased weight can cause increase in emissions of small particles into the air from the wears of braking and tire. While the use of regenerative braking can mitigate this problem, the extra weight is a major contributor to the emission of airborne particles [19].
We identify two key factors that influence spatial distributions. First, cross-sectoral linkages may have unintended effects elsewhere. For example, generating electricity to charge EVs and producing batteries and other materials could increase emissions and pollution in places other than where these vehicles are adopted. Second, since air pollution and health are local issues, other location-specific factors may play a role in determining spatial distribution, such as the transport of air and even water pollutions, and the size and vulnerability of exposed populations [20].
In the study by [21], the role of electrification in reducing transportation sector emissions is examined, highlighting that while EVs produce no direct tailpipe emissions, significant emissions can still arise from battery and electricity generation. The research assesses the greenhouse gas (GHG) mitigation potential of EVs in North America, comparing their life-cycle emissions to ICEVs across Canada, Mexico, and the United States. Results indicate that the environmental benefits of EVs are realized after traveling 18,000 km in Canada, 25,100 km in the U.S., and 25,600 km in Mexico, respectively, with variations depending on regional electricity grid carbon intensity. Quebec shows the lowest emissions for EVs, while Iowa exhibits the highest. The study emphasizes that decarbonizing the grid should take precedence over the rapid adoption of EVs, particularly in regions with high GHG-intensive power sources. These findings offer one of the first regional and international evaluations of EV environmental break-even points, factoring in various trade-offs.
The study in [22] investigates the critical distinctions between EVs and ICEVs, alongside an analysis of how the rapid expansion of EVs could influence the established geography of automotive production in North America, which includes Canada, Mexico, and the United States. The research suggests that the location of battery electric vehicle (BEV) production is shaped by factors such as agglomeration of economies and economies of scale, similar to those that have historically dictated the placement of ICEV production facilities.
There is exceptional and continued growth in EV sales, with a particular focus on China’s leadership in this emerging trend. Despite inherent challenges such as supply chain disruptions and geopolitical uncertainty, EV sales reached a record high in 2022, exceeding 10 million units, representing a 55% increase compared to 2021. This quantitative milestone exceeds the total of vehicle sales in the European Union and constitutes a considerable proportion of car sales in China during 2022. The temporal analysis reveals an exponential evolution, with a notable increase in EV sales over a five-year period, from 2017 to 2022, emphasizing the accelerated growth dynamics in this sector. The market share of EVs, relative to total vehicle sales, saw a substantial increase, rising from 9% in 2021 to 14% in 2022. At the same time, the total number of EVs on the road exceeded 26 million in 2022, a 60% increase from the previous year, with battery electric vehicles (BEVs) making up more than 70% of the total annual growth. Despite a considerable absolute increase in sales from 2021 to 2022, indicative of the strength of the market, relative growth showed a slowdown, suggesting a possible post-pandemic normalization after the exceptional increase in 2021. Compared to previous periods, the annual growth rate of EV sales in 2022 aligned with the average rate over the 2015–2018 period, indicating a resilient recovery in the EV market expansion to pre-pandemic levels [2].
In recent decades, a study was developed in order to address the growing problem of air pollution in CDMX, which has had detrimental effects on the ecosystem [23]. As the transportation sector responds to this challenge by adopting new sustainable technologies to curb polluting emissions, a research gap arises: the absence of studies that carry out a techno-economic analysis of the environmental impact of EVs, specifically in the sub-sector of for-hire taxis in Mexico. The aim was to fill this gap by conducting an environmental impact assessment of the introduction of electric taxis in CDMX. To do this, the Life Cycle Cost (LCC) methodology and the GHG emissions assessment were utilized. The results reveal key insights, such as the higher life-cycle cost of EVs compared to ICEVs, with a notable contribution from acquisition and maintenance costs. Despite global variations in research results, the need to address the acquisition or battery costs to promote EV adoption is emphasized. In addition, the environmental analysis indicates only a marginal reduction in GHG emissions with the introduction of electric taxis, underscoring the importance of adopting cleaner renewable energy sources to achieve substantial reductions and to be able to more fully capitalize on the benefits of EV [23].
The study [24] emphasizes that the light vehicle fleet in megacities represents a significant source of emissions, particularly from light commercial vehicles (CVs) responding to the increasing demand for delivery services. It assesses greenhouse gas (GHG) emissions using the Well-To-Wheel (WTW) approach across various transportation modes, including electric vans and electric cargo bicycles (i.e., E-bikes). The findings indicate that an electric van combined with E-bikes produces 24% fewer GHG emissions compared to a diesel transportation van, highlighting the critical role of electrification in emission mitigation strategies.
The purpose of this study is to identify and evaluate the comprehensive reduction of motor vehicle emissions in megacities such as the MAMC through the widespread adoption of electric transportation. The study will consider various projections for replacing conventional ICEVs with EVs. It will also consider criteria pollutants, toxic pollutants, greenhouse gases, and reactive nitrogen compounds, among others.
The evaluation indicates that integrating and utilizing low-emission vehicle technologies is a crucial and necessary step to reducing atmospheric pollutant levels in megacities. The adoption of EVs presents a viable solution to the air pollution challenges faced by these large cities.
The manuscript is organized as follows: In Section 2, the methodology used to estimate emissions in CDMX through 2050, based on vehicle fleet projections is provided. In Section 3, the outlines for the growth trends of vehicle types in CDMX is provided. The section shows that cars dominate the fleet, while buses, trucks, and motorcycles represent smaller but increasing portions. Projections indicate exponential growth in the total vehicle fleet by 2050, with cars and motorcycles leading the increase. A heat map visualizes these trends, highlighting the steady expansion of private vehicles is given. In Section 4, we offer some recommendations and in Section 5 we provide summary and conclusion of the study.

2. Data and Methods

The estimate of MAMC emissions was made based on the reference year 2020, according to the latest report published by the Ministry of the Environment of the Government of CDMX [25], considering a forecast for the replacement by fully EVs until 2050. To estimate the emissions, the scenario presented in [26] was employed.
To estimate the reduction in emissions from private vehicles due to the increase in zero-emission vehicles (electric battery), the following steps were used:
  • Step 1: Battery Electric Vehicle Screening The percentages of BEVs projected for the study area were established in relation to the total number of vehicles in each year shown by the IEA, 2017, and in relation to the global technological penetration of light vehicles for the period 2015–2060. These include: gasoline, diesel, natural gas/liquefied petroleum gas, conventional hybrids, plug-in hybrids, electric battery and hydrogen fuel cells, the total for the years 2026, 2031, 2039 and 2050 stood at 954, 1022, 1139, 1342 million, while for EVs it was recorded at 48, 105, 279 and 670 million, corresponding to 5%, 10%, 25% and 50% respectively.
  • Step 2 Private Car Emissions Inventory Source in the Year 2020 For the year 2020, according to the emissions inventory released by the Ministry of the Environment (SEDEMA), a total of 23,797,210 tons of P M 10 , S O 2 , C O , N O x , V O C , N H 3 and C O 2 pollutants were released from mobile sources, especially private vehicles, with corresponding numbers of 4905, 439, 435,639, 68,640, 57,598, 1281 and 23,228,654.
  • Step 3 Calculating emission reductions by pollutant type Finally, the reduction of emissions in the ZMCM was obtained by applying the following operation:
R E = E c E c · P t = E c ( 1 P t ) ,
where:
  • R E : Emission Reduction,
  • E: Issuance in 2020,
  • P: Percentage of battery-electric vehicles,
  • c: Contaminante ( P M 10 , S O 2 , C O , N O x , C O V , N H 3 , C O 2 ),
  • t: Year (2026, 2031, 2039, 2050)
We used the spectral wavelet transform [27] to analyzed non-stationary times series [28] and to identify patterns that underscore the necessity to redesign mobility and sustainability policies.

3. Results

3.1. Vehicle Increase and Atmospheric Emissions in the MAMC Period 1980–2022

The motor vehicle fleet has been increasing over the years in the MAMC, as shown in Figure 1. According to information issued by the National Institute of Statistics, Geography, and Informatics (2023), there are currently more than 6 million vehicles of the Cars, Trucks and Vans, Buses, and Motorcycles type [29]. The total number of vehicles during the period 1980–2022 is strongly related to the increase in Cars, while the growth of the rest of the vehicles maintains a stationary trend.
The contribution of each vehicle type as a percentage of growth over the past five decades has been predominantly characterized by cars. Furthermore, unlike buses, trucks, and vans, motorcycles have exhibited a gradual increase in growth during the last decade, while the numbers of trucks and vans have experienced a decline. Conversely, buses have maintained a stable percentage in comparison to the other categories, as illustrated in Figure 2.
On the other hand, the heatmap of vehicle types from 1980 to 2022 (see Figure 3) provides an accurate visualization of the evolution in the number of total vehicles and by category (cars, buses, trucks and vans, and motorcycles) over time. Each cell in the heatmap corresponds to a specific year and vehicle type, with color intensity representing the magnitude of the number of vehicles or their growth in that year.
The observed trends across vehicle categories display marked differences:
  • Total vehicles and cars have demonstrated a persistent upward trajectory over the decades, progressively shifting from blue hues (denoting lower quantities) to red hues (indicative of higher magnitudes) in more recent years. This trend signifies a steady and consistent expansion in vehicle numbers, particularly from the 2000s onward, where figures surpass 4 million, culminating at over 6 million in the 2020s.
  • Conversely, buses and trucks remain confined to the lower end of the color spectrum, reflecting minimal variation in their numbers compared to cars. Throughout the entirety of the analyzed period, these categories exhibit stable trends, with values fluctuating between approximately 10,000 and 200,000, showing no significant growth.
  • Motorcycles, in contrast, display a more heterogeneous pattern, with fluctuating values that have moderately increased, particularly from the 2000s onward, though without approaching the substantial growth evident in automobiles.
This visual analysis offers a comprehensive representation of the vehicle fleet’s evolution, underscoring the pronounced rise in the car category over the past two decades, in stark contrast to the relative stasis observed in other vehicle types. This heatmap enables the identification of distinct growth patterns among vehicle categories and underscores the dominance of cars in the overall vehicular landscape during the studied period.
Based on the identification of patterns through a heatmap, the matrix generated from scatter plots, histograms, density curves, and correlation analyses offers a detailed representation of the interrelationships among various vehicle categories: Total, Cars, Buses, Trucks and Vans, and Motorcycles. This analysis reveals significant correlations that provide insights into the underlying behavioral patterns in vehicular traffic dynamics (see Figure 4).
A strong positive correlation exists between the Total number of vehicles and the categories of Cars (0.86), Trucks and Vans (0.89), and Motorcycles (0.89), suggesting that increases in the overall vehicle volume are predominantly driven by these three types. This finding highlights the coexistence of private vehicles and light-duty trucks, emphasizing their dominance in high-mobility environments. In contrast, the negative correlation with Buses (−0.64) indicates a substitution effect, wherein an increase in the total number of vehicles is associated with a decline in public transport utilization, particularly in bus services. Such patterns may be influenced by urban factors and prevailing mobility policies.
The analysis of histograms, particularly along the diagonal of the matrix, reveals left-skewed distributions in the categories of Total, Trucks and Vans, and Motorcycles, indicating that most data points cluster around lower values, with some outliers present at higher values. This phenomenon may reflect concentrated usage of these vehicles in less congested areas, interspersed with episodic spikes in demand. Conversely, the distribution of Cars appears more symmetric, suggesting greater uniformity in their usage across different contexts. The correlation between Cars and Trucks and Vans (0.87) further supports the hypothesis of their concurrent presence in similar urban settings.
Notably, the strong negative correlation between Buses and Trucks and Vans (−0.81) illustrates an inverse relationship between freight transport and public transportation utilization. The bimodal distribution observed in the histogram for Buses suggests a dual behavioral pattern, likely influenced by urban infrastructure and public transport policies implemented in both metropolitan and rural areas.
This analysis elucidates the distinct interactions among various vehicle types, characterized by substitution patterns between cars and buses, and coexistence between cars and trucks. The implications of these findings are critical for informing future research on roadway infrastructure planning and the development of urban mobility policies aimed at optimizing the integration of public and private transportation systems, particularly in contexts characterized by high vehicular density.
Conversely, Figure 5 illustrates the distribution of vehicles based on fuel type and the technology employed in the vehicular fleet of the MAMC, as derived from the 2020 emissions inventory [25]. This inventory provides a comprehensive overview of the composition of the vehicular fleet within the region.
The left chart in Figure 5 shows the total composition of the vehicular fleet classified by fuel type. The analysis reveals that the majority of vehicles run on gasoline (represented in purple), with a total of 6,070,889 units, comprising the dominant portion of the fleet. Vehicles that operate on diesel (in orange) account for 116,550 units, representing a significantly smaller proportion compared to gasoline-powered vehicles. Furthermore, in the “Others” category (in gray), vehicles powered by Liquefied Petroleum Gas (LPG), Natural Gas (NG), as well as hybrid and electric technologies, are grouped, totaling 57,157 units. This category constitutes a smaller fraction of the overall fleet, indicating that alternative technologies have yet to achieve significant penetration in the MAMC vehicular market.
The right chart in Figure 5 provides a more detailed breakdown of the “Others” category. The majority of vehicles in this category utilize LPG, with 40,877 units (yellow). EVs (blue) amount to 57,157 units, representing a considerable proportion within the set of alternative technologies. Hybrid vehicles (red) represent a minority, with only 1612 units. Lastly, vehicles powered by Natural Gas (NG) and other alternative fuels total 13,576 and 1092 units, respectively.
This analysis underscores that, although technologies based on traditional fossil fuels, such as gasoline and diesel, remain predominant in the MAMC fleet, there is an emerging yet growing adoption of cleaner technologies, such as electric and hybrid vehicles. However, to achieve a significant reduction in greenhouse gas emissions and air pollution, it will be crucial for the proportion of vehicles powered by cleaner energy sources to increase substantially in the coming years. This shift must be accompanied by robust public policies that incentivize technological transitions and foster greater market penetration of these cleaner technologies within the automotive sector.

3.2. Mobile Source Emission Control Strategies

The California Air Resources Board (CARB, 2020) [30] has implemented a Mobile Source Strategy that employs scenario planning to identify technological trajectories and programmatic concepts aimed at achieving criteria pollutant reduction goals, greenhouse gas reductions, and the mitigation of toxic air pollutants from mobile sources. Emissions from these sources are influenced by several factors, including automotive technology, fuel quality, mobility conditions, driving cycles, and inspection and maintenance practices. The State of California has garnered international recognition for its efforts to improve air quality, highlighting the importance of analyzing its strategies. Furthermore, it is imperative to optimize mobile source control programs to maximize the reduction of emissions of all types of air pollutants, thereby contributing to multiple public health objectives and environmental sustainability.
Densely populated megacities, such as CDMX, São Paulo, New Delhi, Beijing, and Tokyo, are proactively tackling air pollution through comprehensive environmental policies and the promotion of clean technologies. These urban centers are enhancing public transport systems while gradually integrating alternative modes of transportation, such as bicycles and EVs, to mitigate reliance on fossil fuels. Concurrently, sustainable cities like Copenhagen, Amsterdam, and Vancouver are making significant investments in renewable energy technologies to meet their ambitious net-zero objectives. In the specific case of CDMX, recent decades have seen the implementation of various measures to combat air pollution, including restrictions on private vehicle circulation, periodic vehicle inspections, and the promotion of EVs [3,6,31].
The authors of the paper [32] have analyzed air quality inventories, indicating that there are important caveats to be taken into account when comparing the temporal evolution of AMCM emissions. Differences in data quality protocols during emission estimates can also affect the comparison between past and current inventories [32]. In addition to assessing trends in S O 2 , N O x , and N O x / S O 2 emissions, they considered the precursors of acid rain and the weaknesses of different emission inventories [33].
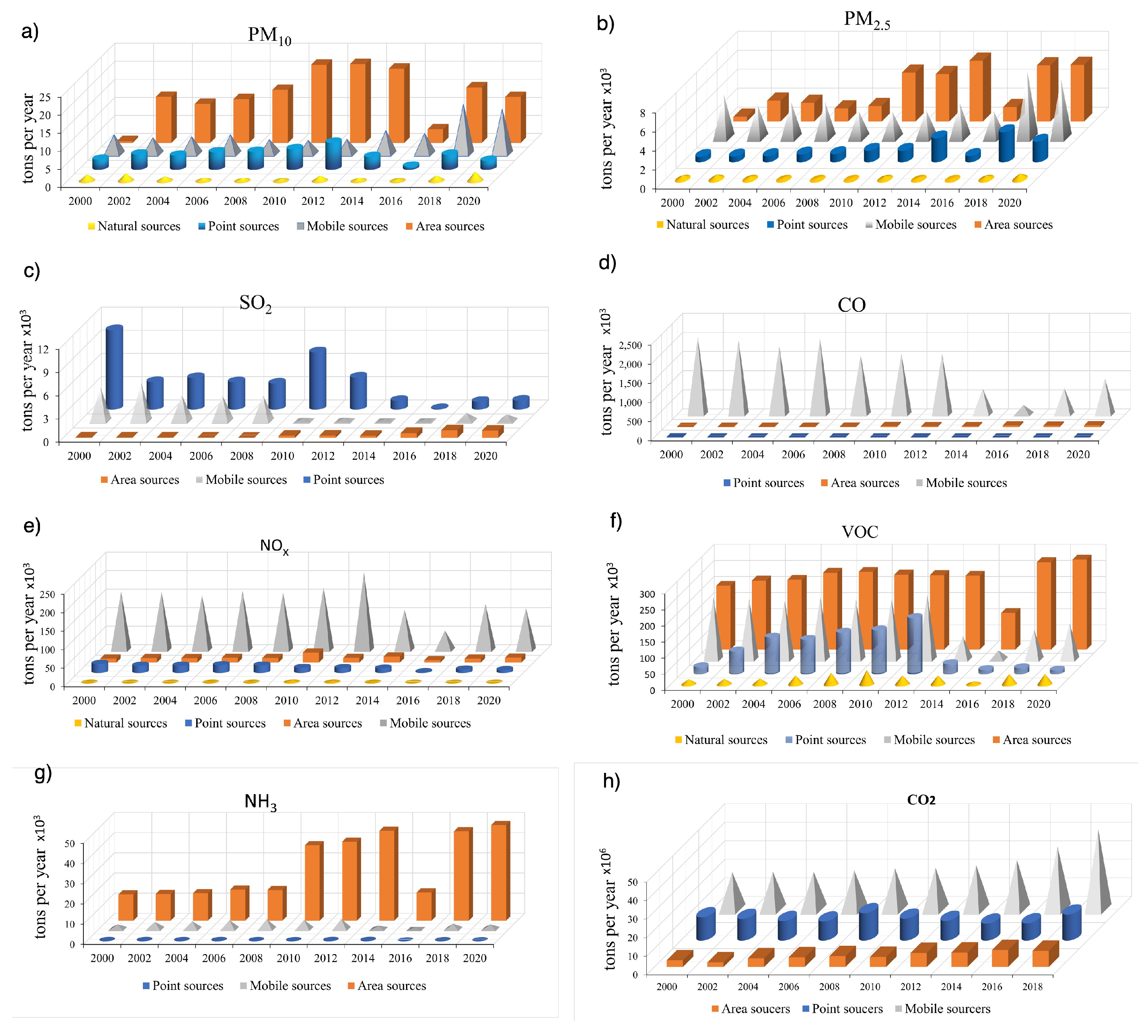
Figure 6 shows the atmospheric emissions from 2000 to 2020 by emission sources and pollutants of 10 micrometers, particles of 2.5 micrometers, sulfur dioxide ( S O 2 ), carbon monoxide ( C O ), nitrogen oxides ( N O x ), volatile organic compound (VOC), ammonia ( N H 3 ) and C O 2 as a greenhouse gas in MAMC [33].
The report of the MAMC’s emissions inventories, made up of 16 municipalities and 59 municipalities in the State of Mexico, as well as the municipality of Tizayuca Hidalgo, are caused by different activities grouped into four emission sources:
  • Area sources: Refers to numerous and dispersed facilities that collectively produce significant emissions. This category includes domestic sources, unregulated businesses and services, fuel distribution and storage, solvent use, waste management, fires, agricultural activities, livestock operations, and non-road sources such as aircraft and construction machinery.
  • Mobile sources: Encompasses any motor vehicle that operates on public roads.
  • Stationary sources: Includes fixed-location facilities, such as industrial, commercial, or service processes, that generate air emissions and are subject to environmental regulation at the federal or local level.
  • Natural sources: Consist of natural processes that lead to atmospheric emissions.
A greater decrease in S O 2 is shown due to the reduction of emissions in both point and mobile sources. It is observed that the pollutants that were emitted by mobile sources are in descending order: C O 2 , C O , N O x , V O C and P M 2.5 , taking as an example the last year (Figure 7) of information that corresponds to 2018 [25].

3.3. Reactive Nitrogen (Nr)

Most emission estimates, both from fixed and mobile sources, have been evaluated taking into account toxic criteria and pollutants, however, it is important to evaluate N H 3 as part of the reactive nitrogen in the atmosphere.
The presence of nitrogenous compounds is present in ambient air, as well as in wet atmospheric deposition, having studied extensively in ambient air the oxidized forms such as N O , N O 2 and N O x , while in humid atmospheric deposition, both the oxidized and reduced forms, nitrate and ammoniac, respectively, have been studied. Therefore, it is a priority to evaluate ammonia in ambient air to establish measures to prevent and control its emissions, with mobile sources in urban areas being a potential source of this pollutant [33,34]. In the MAMC, based on the determination of the chemical composition of wet atmospheric deposition, an ammonium/nitrate ratio ( N H 4 + / N O 3 ) has been found to be around 2, which indicates a significant contribution of reactive nitrogen in its reduced form and consequently the presence of ammonia ( N H 3 ) in the atmosphere [33]. Although N H 3 can be emitted by stationary sources such as: wastewater treatment plants, landfills or landfills, its use as fertilizer in agriculture, etc., it also has potential sources of emissions from vehicles using catalytic converters. These converters have the objective in the reduction stage, to transform N O x into molecular nitrogen ( N 2 ). However, due to a malfunction, this reduction can lead to nitrogenous compounds of up to N H 3 , which constitutes a great challenge in the control of vehicle emissions.

3.4. Forecasting Air Emissions in the Metropolitan Area of Mexico City by 2050

Based on the analyses of Figure 1, Figure 2, Figure 3 and Figure 4, the observed trends in the vehicle fleet are delineated, with projections extending through the year 2050 (see Figure 8). These projections indicate a substantial increase in the total number of vehicles on the road, primarily driven by the accelerated growth of cars and motorcycles. In contrast, the growth rate of buses is anticipated to be more moderate, while the quantity of trucks and vans exhibits a declining trend.
The projected trends of the vehicle fleet toward 2050, as illustrated in Figure 8, indicate the following:
The total vehicle growth follows a second-degree polynomial trajectory, modeled by the equation
y = 3858.20 x 2 15326935.51 x ,
with a coefficient of determination R 2 = 0.98 , indicating a highly accurate fit to historical data. It is projected that by 2050, over 17 million vehicles will be in circulation. This expansion underscores the urgent need to develop comprehensive strategies to mitigate the associated impacts on traffic congestion, air pollution, and increased energy consumption.
Cars will follow a similar polynomial trajectory, described by the equation
y = 3169.21 x 2 2576396.78 x + 247887879.49 ,
with an R 2 = 0.97 . Based on this trend, it is projected that by 2050, the number of automobiles will reach approximately 15 million, representing a sizable portion of the overall vehicle fleet.
Buses show a linear growth trend, modeled by the equation
y = 652.11 x 1283583.03 ,
with an R 2 = 0.74 . By 2050, the number of buses is expected to rise to approximately 50,000 units. Although this growth is more modest compared to cars, the stable projection for buses reflects the continued importance of public transportation in urban mobility, especially if policies are implemented to enhance its efficiency and attractiveness.
Conversely, trucks and vans exhibit a downward trend, modeled by the equation
y = 33.806 x 2 138376 x + 1 × 10 8 ,
with an R 2 = 0.6542 , indicating a significant reduction in these vehicles by 2050. This decline could be linked to the adoption of more efficient technologies and changes in logistics modalities, providing opportunities to optimize transport through greener and more advanced technological solutions.
Finally, motorcycles show accelerated growth, modeled by a polynomial equation
y = 627.58 x 2 250176.24 x + 249323580.83 ,
with an R 2 = 0.90 . It is estimated that by 2050, the number of motorcycles will exceed 2 million, reinforcing their role as a preferred mode of transportation, particularly in densely populated urban areas where traffic congestion and the cost of private vehicles are determining factors.
Collectively, these trends demonstrate the need to redesign mobility and sustainability policies to efficiently manage the expanding vehicle fleet, especially in large metropolitan areas such as the MAMC. Simultaneously, it is crucial to promote more sustainable transportation alternatives to mitigate the environmental impacts resulting from the growing vehicular circulation.

Spectral Analysis Wavelet

Based on these trends, a time-frequency analysis is presented to identify patterns that underscore the necessity to redesign mobility and sustainability policies. This analysis aims to effectively manage the expanding vehicle fleet, particularly in large metropolitan areas such as the MAMC. Simultaneously, it is imperative to promote more sustainable transportation alternatives to mitigate the environmental impacts resulting from the increasing vehicular circulation Figure 9.
Figure 9 shows an analysis of the vehicular fleet behavior in Mexico City from 1980 to 2022, utilizing time series analysis and continuous Wavelet transform (CWT) [27]. This study investigates the evolution of vehicle numbers in the MAMC over the specified period, employing a time series-based approach. Techniques for trend decomposition and frequency analysis are implemented through the CWT to identify both the overarching growth trend and recurring cycles within the time series. The findings reveal a sustained increase in the number of vehicles, accompanied by cyclical fluctuations that exhibit significant patterns across various temporal scales. The growth of the vehicular fleet represents a critical phenomenon in metropolitan areas due to its implications for mobility, air quality, and urban planning. In this context, the MAMC has experienced consistent growth in vehicle numbers over recent decades, highlighting the necessity for a more profound understanding of its temporal evolution and the potential cycles of growth and decline that influence vehicular dynamics.
In the first graph of Figure 9, the original data time series is illustrated (blue line) alongside a polynomial fit (dashed red line) that captures the general trend. The results indicate a continuous increase in the vehicular fleet, with minor fluctuations prior to the year 2000. From that point onwards, the series demonstrates a more pronounced growth trajectory, suggesting an acceleration in vehicle usage.
To delve deeper into the analysis of fluctuations, a detrending technique was applied, as represented in the second graph. This approach facilitates the visualization of variations in vehicle numbers devoid of long-term growth influences. The graph reveals significant oscillations, particularly between 1990 and 2010. Notably, a decline in vehicle numbers is observed towards the end of the 1990s, followed by a marked rebound during the 2000s. These fluctuations may be associated with several factors, including changes in economic policy, the introduction of vehicular regulations, or variations in automotive market behavior.
To analyze temporal cycles and fluctuations across different periods, the CWT was employed, with results displayed in the third graph. This analysis uncovers the existence of variation cycles across different temporal scales, allowing for the identification of recurrent cyclical patterns in vehicle numbers. Between 1985 and 2000, significant cycles ranging from 5 to 10 years are observed, whereas in the period from 2005 to 2020, shorter cycles with an approximate periodicity of 5 years are highlighted. Warm colors (red and yellow) indicate a greater intensity of these cycles, particularly in regions corresponding to shorter periods toward the end of the time series. This cyclical behavior suggests a potential influence of macroeconomic events, government policies, and fluctuations in vehicle demand within the MAMC.
This analysis provides deeper insights into the trends and cycles present in the time series, which may be instrumental in formulating public policies aimed at traffic management and urban planning within the MAMC.

3.5. Challenges in the Implementation of Electric Vehicles

The transition to EVs presents considerable challenges, particularly concerning the cost and limited lifespan of lithium-ion batteries, which restrict the operational range and introduce safety concerns, such as overheating and fire hazards. Despite these challenges, lithium-ion batteries are essential for renewable energy storage, highlighting the imperative to improve their efficiency and safety to foster a sustainable energy system. Investigating the failure mechanisms of lithium-ion batteries offers significant opportunities for renewable energy applications and large-scale energy storage, especially given Mexico’s substantial lithium reserves. Moreover, a novel methodology employing wavelet spectral analysis for the early detection of battery failures is proposed, facilitating the proactive identification of issues, and potentially reducing the risks of explosions and fires [35,36,37,38].
The electric vehicle (EV) market, including hybrid electric vehicles (HEVs), plug-in hybrids (PHEVs), and fully battery-powered vehicles, is expected to experience significant growth in the coming decades. In 2013, EVs accounted for approximately 1.44% of vehicle sales in Canada, 0.09% in Mexico, and 3.81% in the United States. This growth presents critical opportunities for recovering materials such as nickel and cobalt from end-of-life (EOL) batteries. Projections suggest that about 276,000 EOL EV batteries will be generated in North America by 2015, with nearly 1.5 million expected by 2030, half of which will be lithium-based. While current infrastructure for managing EOL batteries is limited, future expansions and second-life applications for energy storage are promising avenues for sustainability [39].
Based on the International Energy Agency (IEA, 2017) document and taking the strictest scenario in carbon reduction (B2DS), for an urban area, a projection was made by interpolating the global penetration data by type of powertrain for light vehicles [26]. With the information obtained, the percentages of the number of vehicles by type of technology for each year were calculated, obtaining 5%, 10%, 25% and 50% for the years 2026, 2031, 2039 and 2050, respectively. The percentages present the number of EVs that will be circulating with respect to the total in the MAMC in the coming decades, as well as the reduction of emissions in the study area that is directly proportional to zero-emission vehicles. As an example calculation the CO2 emissions are shown (see results in Table 1):
( C O 2 ) 2026 = 23797210 ( 23797210 0.05 ) = 22607350
( C O 2 ) 2031 = 23797210 ( 23797210 0.10 ) = 21417489
( C O 2 ) 2039 = 23797210 ( 23797210 0.25 ) = 17847908
( C O 2 ) 2050 = 23797210 ( 23797210 0.25 ) = 11898605
When estimating vehicular emissions (private and taxis) for the different scenarios carried out in this study, a linear reduction was observed, the trend of which is presented in Figure 10.

4. Recommendations

Prior to the implementation of the proposed new low-emission transportation technologies, an environmental impact assessment must be carried out, considering all possible negative aspects that may contaminate water, soil, as well as the generation of hazardous and non-hazardous wastes.
The impact assessment must take into account, in addition to determining the air pollutant emissions of EVs, C O 2 and other emissions produced in power plants during their operation to generate the electrical energy necessary to supply this type of vehicle.
It is recommended that a review of all existing emissions inventories should be carried out in order to unify criteria and to generate a single uniform standard for all.
Additional studies, based on simultaneous spectral analysis of several key variables, are being carried out to try to establish a practical time for early detection of dangerous battery failures. Importantly, this identified pattern could be used to establish risk levels associated with signs of battery overcharge failure, when a high or low standard deviation is detected. This is the first time that battery failures have been anticipated by spectral analysis. These new results could be the key to early detection of battery failures to reduce or minimize risks in lithium-ion batteries.
It is also recommended that the assessment of ammonia in ambient air should be considered in order to establish measures to prevent and control its emissions. It is now known that mobile sources in urban areas are a potential and significant source of this air pollutant.

5. Conclusions

We offer the following findings and conclusions:
  • The MAMC faces ongoing deterioration of air quality. Emissions from factories and ICEVs are the main sources of pollutants in densely populated megacities such as CDMX.
  • We have made some projections of the main pollutants in the MAMC as the number of electric cars increases. For the projected years between 2026 and 2050, the estimated emissions of the different air pollutants by mobile sources are forecasted in descending order as follow: C O 2 > C O > N O x > V O C > P M 10 > N H 3 > S O 2 .
  • Our analysis utilized data from the 2020 emissions inventory to derive the total emissions estimates for the vehicle category comprising of private cars, SUVs, and taxis. Four projections were formulated for the years 2026, 2031, 2039, and 2050, reflecting participation rates of 4.5%, 9.3%, 22.5%, and 47.2%, respectively. It is noteworthy that the aforementioned vehicle categories are identified as viable candidates for transition to EVs.
  • It is observed that the trend, for the ratio of EVs compared to the total number of vehicles of all types, in Mexcio is growing linearly, which contrasts with the exponential growth worldwide for the years 2020, 2021 and 2022, where the percentages in Mexico are 0.09, 0.06 and 0.06 respectively.
  • Emissions from mobile sources considering light vehicles and taxis in 2020 corresponded to 289,802 tons for N O x and 2878 tons for N H 3 ; or a ratio 100 between oxidized and reduced forms of reactive nitrogen.

Author Contributions

Conceptualization, G.V.H. and R.S.E.; Methodology, G.V.H., R.S.E. and E.G.H.; Software, G.V.H., E.G.H. and V.M.V.H.; Validation, G.V.H., R.S.E. and V.M.V.H.; Formal Analysis, G.V.H., R.S.E. and V.M.V.H.; Investigation, G.V.H., R.S.E., P.S.Á., E.G.H., G.F.G., R.G.O., W.V.R. and V.M.V.H.; Resources, G.V.H. and R.S.E.; Data Curation, G.V.H., R.S.E., P.S.Á., J.G.I. and R.R.R.; Writing original draft preparation, R.S.E., G.V.H. and P.S.Á.; Writing review and editing, G.V.H., R.S.E. and V.M.V.H.; Visualization, G.V.H. and V.M.V.H.; Supervision, G.V.H.; Project Administration, V.M.V.H. and G.V.H.; Funding Acquisition, G.V.H., R.S.E., R.G.O. and W.V.R. All authors have read and agreed to the published version of the manuscript.

Funding

PAPIIT IG100222: “Modificaciones estimadas del parque vehicular en la Ciudad de México hacia las décadas 30’s y 40’s, así como su impacto en las emisiones de contaminantes atmosféricos criterio y gases de efecto invernadero”. G. Velasco Herrera thanks to the support grant. UNAM Specific Collaboration Agreement Registration No. 61191-221-24-II-23.

Institutional Review Board Statement

Not applicable.

Informed Consent Statement

Not applicable.

Data Availability Statement

The original contributions presented in this study are included in the article. Further inquiries can be directed to the corresponding author.

Acknowledgments

The authors are grateful for all institutional supports from: (1) Instituto de Ciencias de la Atmósfera y Cambio Climático, Universidad Nacional Autónoma de México, (2) Instituto de Ciencias Aplicadas y Tecnología, Universidad Nacional Autónoma de México, (3) Instituto de Ciencias Aplicadas y Tecnología, Universidad Nacional Autónoma de México. The authors are grateful for all the support of: PAPIIT IG100222: “Estimated modifications of the vehicle fleet in CDMX towards the 30’s and 40’s, as well as its impact on the emissions of atmospheric pollutants criterion and greenhouse gases”.

Conflicts of Interest

The authors declare no conflict of interest.

Abbreviations

The following abbreviations are used in this manuscript:
VOCVolatile Organic Compound
MAMCMetropolitan Area of Mexico City
CDMXMexico City
LCCLife Cycle Cost
GHGGreenhouse Gas
ICEVsInternal Combustion EngineVehicles
ICEInternal Combustion Engine
EVElectric Vehicle
2DS2oC scenario
B2DSBeyond 2oC scenario
CWTContinuo Wavelet Transform
RTSReference Technology Scenario
EOLEnd-of-life
HEVHybrid electric vehicles
IEAInternational Energy Agency

References

  1. United Nations Human Settlements Programme (UN-Habitat). Word Cities Report 2022: Envisaging the Future of Cities; United Nations: New York, NY, USA, 2022.
  2. International Energy Agency. Global EV Outlook 2023; International Energy Agency: Paris, France, 2023.
  3. United Nations. The Sustainable Development Goals Report 2024; United Nations: New York, NY, USA, 2024.
  4. United Nations Department of Economic and Social Affairs, Population Division. Global Population Growth and Sustainable Development (UN DESA/POP/2021/TR/NO. 2); United Nations: New York, NY, USA, 2021.
  5. United Nations Department of Economic and Social Affairs, Population Division. The World’s Cities in 2018—Data Booklet (ST/ESA/SER.A/417); United Nations: New York, NY, USA, 2018.
  6. United Nations. World Statistics Pocketbook 2024 Edition (Series V, No. 48); United Nations: New York, NY, USA, 2024.
  7. Instituto Nacional de Estadística y Geografía (INEGI). Subsystem of Demographic and Social Information; Instituto Nacional de Estadística y Geografía (INEGI): Mexico City, Mexico, 2020.
  8. International Energy Agency. State of Energy Policy 2024; International Energy Agency: Paris, France, 2024.
  9. Bridle, R.; Bellmann, C.; Loyola, V.; Mostafa, M.; Moerenhout, T. Driving Demand: Assessing the Impacts and Opportunities of the Electric Vehicle Revolution on Cobalt and Lithium Raw Material Production and Trade; International Institute for Sustainable Development: Winnipeg, MB, Canada, 2021. [Google Scholar]
  10. United Nations Environment Programme. Emissions Gap Report 2023: Broken Record; United Nations Environment Programme: Nairobi, Kenya, 2023. [Google Scholar] [CrossRef]
  11. United States Environmental Protection Agency. National Ambient Air Quality Standards (NAAQS) Table; United States Environmental Protection Agency: Washington, DC, USA, 2024.
  12. United States Environmental Protection Agency. About Urban Air Toxics; United States Environmental Protection Agency: Washington, DC, USA, 2024.
  13. Quintanilla, J.; Bravo, G.F.; Reynoso, A.; Bauer, M.; Salazar, G.J. El Sistema de Transporte Eléctrico en el D. F: Metro. Rev. Mex. Sociol. 1990, 52, 15–34. [Google Scholar] [CrossRef]
  14. Cities Finance Facility and Carbon Trust México. Estrategia de Electromovilidad de la Ciudad de México 2018–2030; Carbon Trust: Mexico City, Mexico, 2018. [Google Scholar]
  15. de la Borda, J.Á. Estampas de los Tranvías de la Ciudad de México. In Dimension Antropológica; Instituto Nacional de Antropología e Historia: Mexico City, Mexico, 2015. [Google Scholar]
  16. Sánchez Vela, L.G.; Fabela Gallegos, M.J.; Hernández Jiménez, J.R.; Flores Centeno, O.; Vázquez Vega, D.; Cruz Acevedo, M.E. Estado del Arte de la Movilidad Eléctrica en México; Secretaría de Comunicaciones y Transportes Instituto Mexicano del Transporte: Mexico City, Mexico, 2020. [Google Scholar]
  17. Comisión de Derechos Humanos del Distrito Federal. Informe Especial Sobre el Derecho a la Movilidad en el Distrito Federal 2011–2012; Comisión de Derechos Humanos del Distrito Federal: Mexico City, Mexico, 2013.
  18. Alanazi, F. Electric Vehicles: Benefits, Challenges, and Potential Solutions for Widespread Adaptation. Appl. Sci. 2023, 13, 6016. [Google Scholar] [CrossRef]
  19. Núñez-Hernández, F.N.; Arcos-Vargas, A. Análisis Comparativo a Nivel Internacional de la Expansión del Vehículo Eléctrico. Econ. Ind. 2019, 411, 55–68. [Google Scholar]
  20. Sharma, A.; Shiwang, J.; Lee, A.; Peng, W. Equity Implications of Electric Vehicles: A Systematic Review on the Spatial Distribution of Emissions, Air Pollution and Health Impacts. Res. Lett. 2023, 18, 053001. [Google Scholar] [CrossRef]
  21. Rasbash, D.; Dillman, K.J.; Heinonen, J.; Ásgeirsson, E.I. A National and Regional Greenhouse Gas Breakeven Assessment of EVs across North America. Sustainability 2023, 15, 2181. [Google Scholar] [CrossRef]
  22. Klier, T.H.; Rubenstein, J. North America’s Rapidly Growing Electric Vehicle Market: Implications for the Geography of Automotive Production. Econ. Perspect. 2022. [Google Scholar] [CrossRef]
  23. Maciel Fuentes, D.A.; González, E.G. Technoeconomic Analysis and Environmental Impact of Electric Vehicle Introduction in Taxis: A Case Study of Mexico City. World Electr. Veh. J. 2021, 12, 93. [Google Scholar] [CrossRef]
  24. Vallarta-Serrano, S.; Galindo-Muro, A.; Cespi, R.; Bustamante-Bello, R. Analysis of GHG Emission from Cargo Vehicles in Megacities: The Case of the Metropolitan Zone of the Valley of Mexico. Energies 2023, 16, 4992. [Google Scholar] [CrossRef]
  25. Secretaría del Medio Ambiente (SEDEMA). Inventario de Emisiones de la Ciudad de México, 2020; Secretaría del Medio Ambiente (SEDEMA): Mexico City, Mexico, 2023. [Google Scholar]
  26. International Energy Agency. Energy Technology Perspectives 2017; International Energy Agency: Paris, France, 2017.
  27. Torrence, C.; Compo, G. A practical guide to wavelet analysis. Bull. Am. Meteorol. Soc. 1998, 79, 61. [Google Scholar] [CrossRef]
  28. Velasco Herrera, V.; Soon, W.; Knoska, S.; Perez-Peraza, J.; Cionco, R.; Kudryavtsev, S.; Qiu, S.; Connolly, R.; Connolly, M.; Svanda, M.; et al. The New Composite Solar Flare Index from Solar Cycle 17 to Cycle 24 (1937–2020). Sol. Phys. 2022, 297, 108. [Google Scholar] [CrossRef]
  29. Instituto Nacional de Estadística y Geografía (INEGI). Economy and Productive Sectors; Instituto Nacional de Estadística y Geografía (INEGI): Mexico City, Mexico, 2024.
  30. California Air Resources Board. 2020 Mobile Source Strategy; California Air Resources Board: Sacramento, CA, USA, 2021.
  31. Molina, L.T.; Molina, M.J. Improving Air Quality in Megacities: Mexico City Case Study. Ann. N. Y. Acad. Sci. 2004, 1023, 142–158. [Google Scholar] [CrossRef] [PubMed]
  32. Molina, L.T.; Velasco, E.; Retama, A.; Zavala, M. Experience from Integrated Air Quality Management in the Mexico City Metropolitan Area and Singapore. Atmosphere 2019, 10, 512. [Google Scholar] [CrossRef]
  33. Sosa Echeverria, R.; Alarcon Jimenez, A.L.; Torres Barrera, M.C.; Sanchez Alvarez, P.; Granados Hernandez, E.; Vega, E.; Jaimes Palomera, M.; Retama, A.; Gay, D.A. Nitrogen and Sulfur Compounds in Ambient Air and in Wet Atmospheric Deposition at Mexico City Metropolitan Area. Atmos. Environ. 2023, 292, 119411. [Google Scholar] [CrossRef]
  34. Walker, J.; Bachelet, G.; Amos, H.; Baron, J.; Bash, B.; Baumgardner, R.; Bell, M.; Benedict, K.; Chen, X.; Clow, D.; et al. Toward the improvement of total nitrogen deposition budgets in the United States. Sci. Total Environ. 2019, 691, 1328–1352. [Google Scholar] [CrossRef]
  35. Battye, W.; Aneja, V.P.; Schlesinger, W.H. Is Nitrogen the Next Carbon? Earth’s Future 2017, 5, 894–904. [Google Scholar] [CrossRef]
  36. Carbono de la Rosa, M.; Velasco Herrera, G.; Nava, R.; Quiroga Gonzalez, E.; Sosa Echeverria, R.; Sanchez Alvarez, P.; Gandarilla Ibarra, J.; Velasco Herrera, V. A New Methodology for Early Fault Detection in Electric Vehicles. Energies 2023, 16, 1073. [Google Scholar] [CrossRef]
  37. Zhao, Y.; Liu, P.; Wang, Z.; Zhang, L.; Hong, J. Fault and Defect Diagnosis of Battery for Electric Vehicles Based on Big Data Analysis Methods. Appl. Energy 2017, 207, 354–362. [Google Scholar] [CrossRef]
  38. Ma, M.; Wang, Y.; Duan, Q.; Wu, T.; Sun, J.; Wang, Q. Fault Detection of the Connection of Lithium-Ion Power Batteries in Series for Electric Vehicles Based on Statistical Analysis. Energy 2018, 164, 745–756. [Google Scholar] [CrossRef]
  39. Commission for Environmental Cooperation. Environmentally Sound Management of End-of-Life Batteries from Electric-Drive Vehicles in North America; Commission for Environmental Cooperation: Montreal, QC, Canada, 2015; p. 103. [Google Scholar]
Figure 1. Vehicle evolution in the Metropolitan Area of Mexico City from 1980 to 2022. (a) Total Vehicles (blue line). (b) Cars (black line). (c) Trucks and Vans (violet line). (d) Motorcycles (green line). (e) Buses (yellow line). The increase in Buses, Trucks and Vans, and Motorcycles remains, throughout the period, below one million vehicles. For more details see the text of the manuscript.
Figure 1. Vehicle evolution in the Metropolitan Area of Mexico City from 1980 to 2022. (a) Total Vehicles (blue line). (b) Cars (black line). (c) Trucks and Vans (violet line). (d) Motorcycles (green line). (e) Buses (yellow line). The increase in Buses, Trucks and Vans, and Motorcycles remains, throughout the period, below one million vehicles. For more details see the text of the manuscript.
Wevj 16 00033 g001
Figure 2. The contribution of each vehicle type at the beginning of each decade is shown: (a) In the 1980’s, the growth of the vehicle fleet was dominated by cars, representing 86%. (b) In the 1990’s, cars continued to dominate the fleet, increasing to 89%. (c) By the 2000’s, cars accounted for 92% of the vehicle fleet. (d) In the 2010’s, cars reached a predominance of 94%. (e) In 2020, cars remained the dominant vehicle type, accounting for 90% of the flee. For more details see the text of the manuscript.
Figure 2. The contribution of each vehicle type at the beginning of each decade is shown: (a) In the 1980’s, the growth of the vehicle fleet was dominated by cars, representing 86%. (b) In the 1990’s, cars continued to dominate the fleet, increasing to 89%. (c) By the 2000’s, cars accounted for 92% of the vehicle fleet. (d) In the 2010’s, cars reached a predominance of 94%. (e) In 2020, cars remained the dominant vehicle type, accounting for 90% of the flee. For more details see the text of the manuscript.
Wevj 16 00033 g002
Figure 3. Heat map of the annual increase in the number of vehicles in the Metropolitan Area of Mexico City from 1980 to 2022, is shown. The color intensity indicates the magnitude of vehicle growth is shown adopting the red-green-blue (RGB) scales. For more details see the text of the manuscript.
Figure 3. Heat map of the annual increase in the number of vehicles in the Metropolitan Area of Mexico City from 1980 to 2022, is shown. The color intensity indicates the magnitude of vehicle growth is shown adopting the red-green-blue (RGB) scales. For more details see the text of the manuscript.
Wevj 16 00033 g003
Figure 4. The matrix of the correlation and the dispersion between total number of vehicles, Cars, Buses, Trucks and Vans and Motorcycles, is shown. The distribution between each type of vehicle is presented on the diagonal of the matrix. The correlation in normalized units is shown adopting the RGB scales. For more details see the text of the manuscript.
Figure 4. The matrix of the correlation and the dispersion between total number of vehicles, Cars, Buses, Trucks and Vans and Motorcycles, is shown. The distribution between each type of vehicle is presented on the diagonal of the matrix. The correlation in normalized units is shown adopting the RGB scales. For more details see the text of the manuscript.
Wevj 16 00033 g004
Figure 5. Distribution of vehicles in the vehicle fleet of the Metropolitan Zone of Mexico City [25]. (a) Number of vehicles fleet by fuel type and technology. (b) Number of vehicles by other vehicles type: LPG, NG, Hybrid and Electric. For more details see the text of the manuscript.
Figure 5. Distribution of vehicles in the vehicle fleet of the Metropolitan Zone of Mexico City [25]. (a) Number of vehicles fleet by fuel type and technology. (b) Number of vehicles by other vehicles type: LPG, NG, Hybrid and Electric. For more details see the text of the manuscript.
Wevj 16 00033 g005
Figure 6. Atmospheric emissions from the period 2000 to 2020. (a) 10 micrometers, (b) 2.5 micrometer particles, (c) sulfur dioxide ( S O 2 ), (d) carbon monoxide ( C O ), (e) nitrogen oxides ( N O x ), (f) volatile organic compound ( V O C ), (g) ammonia ( N H 3 ), and (h) C O 2 as greenhouse gases in MAMC [33]. For more details see the text of the manuscript.
Figure 6. Atmospheric emissions from the period 2000 to 2020. (a) 10 micrometers, (b) 2.5 micrometer particles, (c) sulfur dioxide ( S O 2 ), (d) carbon monoxide ( C O ), (e) nitrogen oxides ( N O x ), (f) volatile organic compound ( V O C ), (g) ammonia ( N H 3 ), and (h) C O 2 as greenhouse gases in MAMC [33]. For more details see the text of the manuscript.
Wevj 16 00033 g006
Figure 7. Tons per year that emitted the pollutants P M 10 , P M 2.5 , S O 2 , C O , N O x , V O C , N H 3 , and C O 2 in the year 2020. For more details see the text of the manuscript.
Figure 7. Tons per year that emitted the pollutants P M 10 , P M 2.5 , S O 2 , C O , N O x , V O C , N H 3 , and C O 2 in the year 2020. For more details see the text of the manuscript.
Wevj 16 00033 g007
Figure 8. Vehicle Growth Projections for the Year 2050 (a) The total vehicle growth follows a second-degree polynomial trend. (b) Bus growth exhibits a linear trend. (c) Truck and van growth display a second-degree polynomial trend. (d) Motorcycle growth also follows a second-degree polynomial trend. For more details see the text of the manuscript.
Figure 8. Vehicle Growth Projections for the Year 2050 (a) The total vehicle growth follows a second-degree polynomial trend. (b) Bus growth exhibits a linear trend. (c) Truck and van growth display a second-degree polynomial trend. (d) Motorcycle growth also follows a second-degree polynomial trend. For more details see the text of the manuscript.
Wevj 16 00033 g008
Figure 9. Time-frequency analysis of the total number of vehicles from 1980 to 2022. (a) The time series is shown along with a polynomial fit representing the general trend, depicted by the blue and dashed red lines, respectively. (b) The fluctuations in the number of vehicles are illustrated. (c) The continuous Wavelet transform analysis highlights recurring cyclical patterns in the fluctuations of the vehicle count. For more details see the text of the manuscript.
Figure 9. Time-frequency analysis of the total number of vehicles from 1980 to 2022. (a) The time series is shown along with a polynomial fit representing the general trend, depicted by the blue and dashed red lines, respectively. (b) The fluctuations in the number of vehicles are illustrated. (c) The continuous Wavelet transform analysis highlights recurring cyclical patterns in the fluctuations of the vehicle count. For more details see the text of the manuscript.
Wevj 16 00033 g009
Figure 10. Temporal variation of emissions until 2050 considering the low-carbon B2DS scenario. For more details see the text of the manuscript.
Figure 10. Temporal variation of emissions until 2050 considering the low-carbon B2DS scenario. For more details see the text of the manuscript.
Wevj 16 00033 g010
Table 1. Emissions (Mg/year) consider different percentages of replacement of the conventional vehicle fleet by electric vehicles.
Table 1. Emissions (Mg/year) consider different percentages of replacement of the conventional vehicle fleet by electric vehicles.
Year20202026203120392050
% of substitutions 5%10%25%50%
PM1049054660441436792452
SO2439417395329219
CO435,693413,908392,124326,770217,846
NOx68,64065,20861,77651,48034,320
VOC57,59854,71851,83843,19928,799
NH3128112171153961641
CO223,228,65422,067,22220,905,78917,421,49111,614,327
Total23,797,21022,607,35021,417,48917,847,90811,898,605
Disclaimer/Publisher’s Note: The statements, opinions and data contained in all publications are solely those of the individual author(s) and contributor(s) and not of MDPI and/or the editor(s). MDPI and/or the editor(s) disclaim responsibility for any injury to people or property resulting from any ideas, methods, instructions or products referred to in the content.

Share and Cite

MDPI and ACS Style

Sosa Echeverría, R.; Velasco Herrera, G.; Sánchez Álvarez, P.; Granados Hernández, E.; Fuentes García, G.; Velasco Herrera, V.M.; González Oropeza, R.; Vicente Rodríguez, W.; Gandarilla Ibarra, J.; Rivera Rivera, R. Adoption of Electric Vehicles and Forecasting Air Emissions in the Metropolitan Area of Mexico City by 2050. World Electr. Veh. J. 2025, 16, 33. https://doi.org/10.3390/wevj16010033

AMA Style

Sosa Echeverría R, Velasco Herrera G, Sánchez Álvarez P, Granados Hernández E, Fuentes García G, Velasco Herrera VM, González Oropeza R, Vicente Rodríguez W, Gandarilla Ibarra J, Rivera Rivera R. Adoption of Electric Vehicles and Forecasting Air Emissions in the Metropolitan Area of Mexico City by 2050. World Electric Vehicle Journal. 2025; 16(1):33. https://doi.org/10.3390/wevj16010033

Chicago/Turabian Style

Sosa Echeverría, Rodolfo, Graciela Velasco Herrera, Pablo Sánchez Álvarez, Elías Granados Hernández, Gilberto Fuentes García, Victor Manuel Velasco Herrera, Rogelio González Oropeza, William Vicente Rodríguez, Jaime Gandarilla Ibarra, and Rodrigo Rivera Rivera. 2025. "Adoption of Electric Vehicles and Forecasting Air Emissions in the Metropolitan Area of Mexico City by 2050" World Electric Vehicle Journal 16, no. 1: 33. https://doi.org/10.3390/wevj16010033

APA Style

Sosa Echeverría, R., Velasco Herrera, G., Sánchez Álvarez, P., Granados Hernández, E., Fuentes García, G., Velasco Herrera, V. M., González Oropeza, R., Vicente Rodríguez, W., Gandarilla Ibarra, J., & Rivera Rivera, R. (2025). Adoption of Electric Vehicles and Forecasting Air Emissions in the Metropolitan Area of Mexico City by 2050. World Electric Vehicle Journal, 16(1), 33. https://doi.org/10.3390/wevj16010033

Article Metrics

Back to TopTop