Abstract
In this paper, we investigate the formation isolation regulation issue regarding multiple Autonomous Underwater Vehicles (AUVs) characterized by a “leader–follower” framework. Considering the cooperative–competitive relationship among the follower AUVs and the impact of unknown external disturbances, an extended state observer is designed based on backstepping to mitigate these disturbances, and an event-triggered control scheme is designed to realize the two-part consensus control within the multi-AUV system. Through rigorous theoretical analysis, it is shown that the system achieves asymptotic steadiness and is free from Zeno behavior under the proposed event-triggered control scheme. Finally, numerical simulations confirm the efficiency of the regulation strategy in achieving formation separation within the multi-AUV, where the trajectory tracking errors of individual AUVs gather in a compact vicinity close to the source, and the structure convergence is achieved, with the absence of Zeno behavior also demonstrated.
1. Introduction
Autonomous Underwater Vehicle (AUV) technology has advanced significantly in recent decades, assuming an increasingly crucial role in various domains such as marine hydrographic data acquisition, seabed exploration, and target search. However, with the escalating requirements of operational tasks, it is found that with a single AUV system, it is increasingly challenging to fulfill the growing complexity of operational requirements. Multi-AUV systems can be strategically deployed across different spatial locations within the detection area, enabling the coordinated execution of operational tasks, while also incorporating redundancy in both the system composition and sensor configurations. These attributes endow multi-AUV systems with distinctive advantages over single AUVs, particularly in wide-area, time-sensitive ocean exploration activities. The recent development of cooperative control algorithms has provided a technical foundation for multi-AUV systems to cope with the complexities and dynamism of the underwater operation environment [1]. A two-layer distributed control strategy has been proposed for the AUV double-integrated dynamics model, featuring a two-layer structure comprising distributed monitors and unified regulators to strengthen the durability of the structure [2]. The communication between AUVs is classified into effective and ineffective communication, with the AUV formation regulation issue under unreliable communication condition being reframed as an alignment regulation issue under a varying communication topology condition [3]. Additionally, a multi-AUV coherent collaborative regulation approach founded on Generative Adversarial Networks (GANs) has been designed, integrating the Laplace matrix to establish the multi-AUV topology within an ideal environment and to calculate the control rates for AUVs. The structure ensures that the AUVs collaborate effectively without interference, addressing uncertainties and cooperative inconsistencies arising from fluctuating flows and underwater acoustic transmission lags. The majority of existing studies have centered on the relationship between AUVs through a graph theoretic approach, based on which the consensus control rates of multiple AUVs are derived. A detailed discussion of the design of various types of bionic underwater robots is shown in [4], where the shape, propulsion system (e.g., turbine), and diving system of an underwater robot are optimized based on the movement patterns of living organisms. However, in more complex task scenarios, varying degrees of competition may emerge among AUVs, prompting the consideration of how to achieve the design of task allocation and control rate for multi-AUVs under this cooperation–competition relationship.
For systems exhibiting simultaneously cooperative–adversarial relationships, ref. [5] first proposed the concept of bipartite consensus, which allows the convergence of subjects with an identical state into two distinct sets of states. With the development of control theory in recent years, bipartite consensus control schemes for complex systems have garnered significant attention. In [6], a bipartite tracking control method for distributed non-linear multi-intelligent body systems coping with input quantization, external perturbations, and actuator faults was proposed. An RBF neural network was utilized to model the unknown non-linearity, an intermediate control law was designed based on backstepping, and a smoothing function was introduced to reduce the effect of quantization error, thus ensuring the steadiness of the closed-loop structure. A novel framework based on hierarchical state-constrained estimators was proposed to tackle the bisection tracking problem in interconnected robotic systems with state constraints, and the durability of the structure was enhanced by dynamically estimating the target trajectory and enforcing the state constraints.
The aforementioned studies are predicated on the assumption of an ideal communication environment. However, it is difficult to achieve continuous communication (i.e., it is difficult to achieve time-triggered control) between AUVs during actual underwater operation. This difficulty arises not only from the harsh underwater communication conditions, but also from the high update frequency of actuators over short periods, leading to unstable operation of the AUVs as well as unnecessary energy loss [7]. In contrast to time-triggered control, event-triggered control activates the control input only when the measured state significantly deviates from the desired state, thereby reducing both the operation time and communication cost of the AUV actuator. Given that the event-triggered control is executed relying on the condition feedback of the structure, and considering the unavailability of certain states during AUV motion, it is necessary to design observers to address this limitation [6]. In a recent study [7], a responsive incident-triggered adjustable output feedback monitoring regulation method based on dynamic event triggering was suggested for non-linear multi-intelligent body systems with fluctuating input delays. Ref. [8] proposed a cycle-adaptive event triggering control scheme, which can adaptively adjust the triggering period. A fixed time control method is also applied, which can preset the convergence time of the formation error, thus greatly accelerating the convergence speed. A more comprehensive scheme is given in [9], where an advanced formation control law using an improved gradient method is introduced to guide the SV to achieve the desired formation, and a time-varying closed agent system is converted into an equivalent autonomous system to integrate the RL algorithm. This method incorporates a low-gain non-linear observer designed using neural networks, a supporting structure with transmission data to produce corrective signals, and a decentralized adjustable integrated dynamic surface regulation approach, significantly reducing the communication and computational burdens. Additionally, ref. [10] used an adjustable stationary-duration integral sliding mode disturbance monitor for the accurate estimation of composite disturbances consisting of current disturbances and saturated non-linear terms of control inputs, thereby enhancing the adaptive capability of AUV systems to external disturbances. Furthermore, ref. [11] suggested an adjustable incident-triggered regulation principle founded on a comparative threshold approach and step-by-step technique for dealing with a multi-AUV two-part consensus control problem in the presence of a cooperative–competitive relationship.
Inspired by [5,8], this paper designs a multi-AUV two-part consensus control strategy based on event-triggered control and an extended state observer to manage unavailable states and external states. In this paper, we design a multi-AUV two-part consensus control strategy based on event-triggered control and an extended state observer to manage unavailable states and external perturbations by the backstepping method. Compared with [8], the method proposed in this paper not only focuses on the formation control of the system, but also emphasizes the handling of unknown environmental perturbations through the designed extended state observer, which is more advantageous in practical scenarios with higher uncertainties. Meanwhile, the event triggering mechanism is able to reduce the triggering frequency while maintaining the system stability and avoiding the Zeno behavior, which is a significant theoretical advancement relative to [5] and provides an innovative solution to save system resources. Specifically, the contributions of this paper are mainly of three aspects:
- (1)
- The multi-AUV system with a cooperative–competitive relationship is constructed through graph theory, and the dynamics model of AUVs is reconstructed by designing an extended state observer through the backstepping method.
- (2)
- The control rate and trigger function are formulated such that the AUV formation converges into two new formations with different states, and the alignment tracking discrepancy convergence is confirmed by formulating the Lyapunov function.
- (3)
- The absence of Zeno behavior under the suggested incident-triggered regulation approach is theoretically demonstrated.
2. Signed Digraph
We consider a directed graph to describe the collaborative and competitive relationships among AUVs. Suppose this multi-AUV system includes one leader and N follower, corresponding to N nodes in the sequence, denoted as . The set of three directed edges between nodes, denoted as , where the directed route from node to node is . A adjacency matrix is introduced to characterize the cooperative–adversarial relationship between nodes through the positive and negative values of the adjacency elements. To further examine the overall conduct of the structure, the subsequent Laplacian matrix is introduced to describe the topological relationship between nodes:
Lemma 1
([12]). There is a diagonal matrix , where for a given signed graph if the graph is inherently balanced and the diagonal matrix satisfies the following conditions:
- 1.
- The diagonal elements of are non-negative.
- 2.
- The off-diagonal elements of are non-positive.
Definition 1.
A signed graph is inherently balanced if its node set can be divided into two subsets and such that and . Additionally, if and () or and , then the directed graph is structurally balanced.
Proof.
(1) Sufficiency of the definition of the structural equilibrium: for diagonal elements, we have
Since the diagonal element represents the total of the magnitudes of the coefficients of the edges, its value is necessarily non-negative. For non-diagonal elements, there are
Considering the case of the sets to which nodes and belong, it can be discussed in two cases:
Case 1: If , then and , thus:
Case 2: If , then and , thus:
In summary, for structurally balanced graphs, the off-diagonal components of are non-positive. Therefore, the structural equilibrium implies that the off-diagonal components of are non-positive.
(2) Necessity of the structural equilibrium definition: since the non-diagonal elements of are non-positive, it follows from the definition of that
Thus, for any , if , then ; if , then . There are two subsets and such that and are simultaneously satisfied. For , there is . For , there is . This provides a complete proof of the definition of the structural equilibrium. □
3. Problem Formulation
As demonstrated in the literatur [13] (Figure 1), the motion of the ithfollower AUV is described using both a local stationary coordinate system and a body-stationary coordinate system. Presuming that the multi-AUV system includes N-1 followers and 1 leader. Ignoring roll, pitch, and yaw, the dynamic model of the three-DOF AUV is formulated:
where represents the local position of the ith follower, and is the temporal derivative of the position, i.e., the velocity. is the mass matrix of the ith AUV, and is the acceleration of the AUV. is the external control input torque. represents the restoring force due to gravity and buoyancy. represents the damping coefficient matrix, and is the velocity, reflecting the water resistance’s effect on the motion of the AUV. is a rotation matrix depending on the AUV orientation , used to transform the AUV velocity from the body-stationary coordinate system to the local stationary coordinate system. This implies that the actual velocity of the AUV is obtained by transforming its velocity in the body coordinate system through the rotation matrix. is typically expressed as
Figure 1.
Inertial and body-stationary coordinate frames, reprinted from Ref. [13].
Assuming that all AUVs are operating in a steady-state operation, Equation (7) can be reformulated:
where and .
The system is controllable for and observable for , with representing an external perturbation defined as , where S is a fixed real matrix. In a multi-AUV system, the leader is designated as 0, and the follower is labeled from 1 to N. Consider the dynamic equation of the leader as
When and , the dynamic equation of the leader simplifies to
During the movement, the leader remains unaffected by the other followers. To characterize the connection between the leader and the followers, a diagonal matrix is incorporated:
where represents the linkage weight between the ith follower and the leader. Based on this, the Laplace matrix is reconstructed into the following form:
The first row of the matrix implies that the leader is not influenced by other followers. The first column of the matrix suggests that the followers are influenced by the leader. This configuration also characterizes the connectivity (either cooperation or competition) between the followers through the sub-matrix , the specific structure of which depends on the topology of the connections between the followers. Let . If Presumption 1 is met, the following lemma also holds:
Lemma 2
([14]). For a non-singular M-matrix , there exists a positive definite diagonal matrix such that .
Lemma 3
([4]). Given vectors m and n of appropriate dimensions, there is an appropriate positive definite matrix such that .
4. Expanded State Observer Design Scheme
The inverse step method is well suited for addressing various complex non-linear systems. By designing appropriate Lyapunov functions and choosing suitable gain matrices, it can be ensured that the observation error dynamics of the system are Hurwitz’s, i.e., meaning the system’s error dynamics exhibit strong robustness. Inspired by [8], we design an extended state observer by backstepping to ensure that the estimates of the states and disturbances approximate their actual values quickly and accurately. The extended state observer, designed by the backstepping, effectively manages complex interactions between different agents and external disturbances, while also simplifying the observer’s construction to achieve good convergence and steadiness, ensuring the observation discrepancy diminishes to zero within a finite period. Define the estimate of the extended state to be , and define the observation error to be . The Lyapunov function is chosen as follows:
The derivative of can be obtained:
Substituting into the dynamic equations of the system gives
The dynamics of the estimates are assumed to be
where L is the observer gain matrix. Consequently, we have
Further, we can obtain
In order to ensure that remains negative, it is essential in practical engineering applications to choose an appropriate gain matrix L such that is a Hurwitz matrix, i.e., all eigenvalues possess negative real components. To summarize the above design, the extended state observer (ESO) takes the following form:
where is the gain matrix, , and .
5. Event-Triggered Control Design Scheme
In this segment, we initially define the two-part formation separation regulation goal for the multi-AUV system and design appropriate control inputs, then further analyze the steadiness of the system by constructing the Lyapunov function. Additionally, an activation function is crafted to guarantee the steadiness of the system, and it is demonstrated that no Zeno behavior occurs.
5.1. Multi-AUV System Two-Part Formation Separation Control
We define the formation tracking error during the separation of a multi-AUV system as
where represents the state of the ith follower, denotes the state of the leader, and is a constant taking the value of to indicate cooperation or competition in a two-way queue formation. is a queuing function that represents the desired position, which is a continuously segmented differentiable function. Thus, the regulation goal is defined as
5.2. Design of Control Inputs and System Steadiness
Considering Equations (9) and (21), the dynamic equation for the ESO estimation error for the perturbation can be obtained:
Thus, it can be obtained that
where and . The derivative of the estimated queue tracking error is
Taking into account the dynamic equations of the system, one can obtain
Combining this with gives
Substituting for yields
Bringing in further gives
Combined with the error phase Equation (28), this gives
Relying on the extended state observer crafted in the preceding section, we express the regulation input in the following manner:
where represents the constant coupling gain and is the control gain matrix. is the queuing compensation signal designed as , where is a pseudo-inverse matrix satisfying . The estimated state is defined as follows:
The estimated state of each AUV is a synthesis of its relative states, incorporating information about the state error between the ith AUV and its neighboring AUVs. The leader , with its associated dynamics, contributes to better achieving the global information. The summation term in is the cumulative effects exerted by all neighboring AUVs of the ith AUV. Neighbor nodes refer to other intelligences that are directly connected to the ith AUV. This adjacency is depicted by a directed graph where the edge weights signify the strength of the connection between the ith AUV and its neighboring AUVs. The state error terms and denote, respectively, the difference between the approximated condition of the ith AUV and its neighboring jth AUV at the moment of triggering and its desired queuing position, serving as a measure of the deviation of each AUV relative to its desired position. The symbolic function is utilized to describe the nature of the connection weight , indicating whether the relationship between AUVs is cooperative or antagonistic. If is positive, it indicates a cooperative relationship; if is negative, it indicates an antagonistic relationship. This sign function is adjusted in real time to accurately capture the interactions when calculating the state error. The term indicates the influence of the leader on the ith AUV.
In Equation (34), is the estimated state of at the trigger moment, and its value depends on
Thus, the condition assessment discrepancy can be obtained:
Next, in order to favor the design of Lyapunov functions based on the errors and to test the stability of the system accordingly, we will perform some series of definitions and assumptions. Consider the following four types of errors:
- 1.
- State estimation error
- 2.
- Perturbation estimation error
- 3.
- Queue tracking error
- 4.
- Estimate the formation tracking error
In order to more intuitively understand the components of Equations (9) and (21), , we re-express Equation (26) as follows:
We decompose the estimated state into two parts: queue tracking error and state measurement error. The first part is the effect of the formation tracking error:
This part represents the relationship between the formation tracking error of each ith AUV and its neighboring jth AUV, as well as the formation tracking error between the ith AUV and the leader. It clearly illustrates how the individual intelligences interact with each other during the formation control process, especially when considering cooperative and adversarial relationships.
The second part addresses the effect of the state measurement error:
This partly represents the relationship between the state measurement errors of the ith AUV and its neighboring jth AUV, as well as the state measurement errors between the ith AUV and the leader.
In order to simplify the expression form and conduct a more systematic analysis of the overall multi-AUV system, the responsive conduct of the system can be accurately depicted using a matrix formulation:
- 1.
- Estimated state vector :
- 2.
- State measurement error vector :
- 3.
- Estimate the queue tracking error vector :
- 4.
- State estimation error vector :
The following equation from graph theory is also introduced to handle the presence of both positive and negative weights in signed graphs, thereby simplifying the related computations:
Equations (32) and (34) can then be compressed into matrix form. Equation (34) is compressed as
Here, is the Laplace matrix, is an n-dimensional unit matrix, and ⊗ denotes the Kronecker product. Equation (32) is expressed in compressed form as
Remark 1.
The Kronecker product is a potent and efficient instrument for depicting the dynamic behavior of a multi-AUV system. It allows for a concise description of the states and control inputs of all underwater robots in the system by extending the matrices to a higher-dimensional space. For example, denotes the extension of the Laplace matrix to an N-dimensional space, enabling the representation of the interrelationships among all underwater robots. This approach not only simplifies the numerical depiction but also effectively captures the dynamic interactions between individual underwater robots. The analysis of the overall system can be simplified by integrating the state errors and tracking errors of all underwater robots into the vectors and . This method of integrating state errors enhances computational efficiency and provides a more intuitive reflection of the system’s overall responsive conduct, aiding in the design of globally coordinated control strategies. This approach is particularly effective when dealing with complex multi-AUV systems, as it facilitates a better understanding of the global dynamics and improves the robustness of the control algorithm. The Laplace matrix L serves a significant function in describing the topology of a graph and is crucial in the analysis of multiple underwater robotic systems. The eigenvalues and eigenvectors of the Laplace matrix can be used to assess the steadiness and consistency of the system. In addition, the zero eigenvalues of the Laplace matrix correspond to the global coherent state of the system, while the non-zero eigenvalues provide critical insights into the dynamic behavior of the system.
A further attempt to normalize the above formula is to convert it, defining the canonical form as
Substituting and into the original and dynamic equations, we have the derivatives after computing the canonical transformations as
Then, and in the original equation can be replaced by and :
Thus,
Using , the simplification yields
Based on our design of the extended state observer in the previous section, the dynamic equation for the extended state estimation error is
If the matrix L is crafted in such a way that is a Hurwitz matrix, then will converge asymptotically to zero. Consequently, and will also gradually diminish to zero. We perform an equivalent decomposition of the dynamic equations of the AUV system, and since is able to converge asymptotically to zero, this effect can be neglected when analyzing steadiness. Therefore, Equation (55) can be simplified as
Similarly, for Equation (56), we have
Since is asymptotically convergent to zero, the effect of this term can be ignored when analyzing steadiness. Thus, Equation (56) simplifies to
In summary, a candidate Lyapunov function is chosen to examine the steadiness of the entire system:
where is a diagonal matrix and P is a symmetric positive definite matrix. This configuration of the Lyapunov function is crafted to efficiently measure the magnitude of the error vector .
Proof.
Calculate the time derivative of the Lyapunov function along the system path as follows:
Use the chain rule for derivatives to obtain
Substituting , the temporal derivative of the Lyapunov function becomes
Expand and simplify the above equation:
Using the properties of the Kronecker product, this is further simplified to
Construct the positive definite matrix according to Lemma 2:
The steadiness of the system can be ensured by introducing a positive definite matrix. To further analyze the system steadiness conditions, the upper bound is further estimated using Lemma 3:
The right half of the above equation is the perturbation part. To simplify the computation, we define the existence of :
Thus, can be expressed as
By Lyapunov’s theorem, we want to be negative and need to introduce and to control the above sub-terms. To this end, we construct , satisfying
This allows us to express as
Next, is introduced to further decompose the error term:
Substitution gives
□
5.3. Design of Trigger Functions and Proof of No Zeno Behavior
In event-triggered control, trigger functions are introduced to ascertain the optimal timing for updating the regulation input. This approach reduces the frequency of computation and communication and ensures the steadiness of the system. From the perspective of steadiness conditions, incorporating a trigger function into the construction of the Lyapunov function allows for a more precise estimation of the error term, thereby facilitating the proof of the system’s asymptotic steadiness. We choose to construct a proportional trigger function, defined in
When the trigger condition is satisfied, i.e.,
Since , one can go on to deduce that we obtain
On this basis, further conclusions can be drawn by combining the trigger conditions designed in Equation (5):
To further estimate the temporal derivative of the Lyapunov function, the above upper bound estimate is brought to the Lyapunov function:
From the above derivation, it can be seen that when the appropriate parameters and are chosen, it can be ensured that , i.e., the following is satisfied:
It can be seen that we need to solve for both inequalities to arrive at and . For Equation (58), the solution of is obtained by shifting terms and transformations:
Similarly, for Equation (59) it is straightforward to solve the expression for as
To ensure that , it is necessary to choose and that satisfy the above constraints, so we choose
The above and not only satisfy the constraints but also ensure that the temporal derivative of the Lyapunov function is negative, which in turn ensures the asymptotic steadiness of the system. Summarizing the above, the new trigger function and its parameters are expressed as follows:
where
Next, we analyze whether the system is free of Zeno behavior under this trigger function. The system’s estimation error dynamics Equations (58) and (59) define the parameter and compute its derivatives:
By analyzing the dynamic equation of the estimation error, the following can be obtained:
where and are system parameters, specifically,
where
Therefore,
Arguments and are designed as
Therefore,
When grows most rapidly, the initial solution takes the form
where .
Ensure that the system does not exhibit Zeno behavior by designing trigger conditions and calculating the event interval time . In order to calculate the minimum event interval time , the following conditions need to be met:
Solving the above equation yields a lower bound on the event interval:
where
This is a strictly positive time interval, illustrating that the system does not display Zeno behavior under trigger regulation.
6. Simulation Results
The effectiveness of the designed control scheme for the AUV formation separation task is next demonstrated through numerical simulations. The scenario involves a multi-AUV system comprising one leader and eight followers as illustrated in Figure 2a. The objective is to separate this system into two approximately stable formations, as depicted in Figure 2b, i.e., into
and
with the designed event-triggered control strategy. The collaborative and adversarial conducts among different followers are depicted by black and yellow lines. Each AUV is assigned identical kinetic parameters as specified in [12]. A disturbance gain is then constructed to simulate an external perturbations matrix for external positional disturbances
Figure 2.
Communication topology of multi-AUV systems under directed graphs.
Control Gain Matrix
In the simulation experiments, the formation separation control is achieved from a macroscopic perspective (simplifying the attitude control problem of individual AUVs), and the effectiveness of the algorithm is evaluated by selecting appropriate performance metrics. The control input trigger frequency is used to assess the usage frequency of the event-triggered control strategy, specifically evaluating the extent to which the control system can reduce unnecessary control input updates. This metric serves as a concentrated reflection of the reduction in communication and computational costs of the system. The estimation error reflects the estimation accuracy of the extended state observer concerning unknown disturbances. The rapid convergence of the estimation error indicates that the designed extended observer can effectively estimate and compensate for external disturbances of the system, thereby enhancing the robustness of the control strategy. Additionally, the position error and velocity error of each individual AUV, as well as the two AUV formations formed after separation, are considered to provide a more intuitive validation in the robustness of the control algorithm.
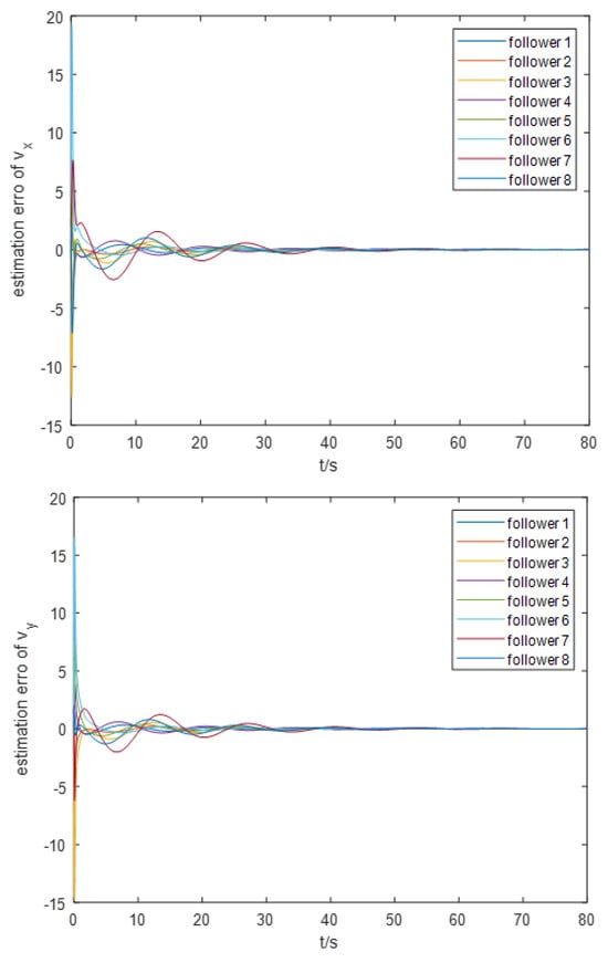
For the event-triggering mechanism, we calculate the parameters as follows: , , , and . The specific trajectory of the formation separation process is depicted in Figure 3. Figure 4 demonstrates the frequency of control input triggers for each AUV during the simulation, demonstrating that the trigger function effectively prevents Zeno behavior. Additionally, as illustrated in Figure 5, the leader leads the two groups of followers into forming two stable rectangular formations. Figure 6 demonstrates the estimation error for the unknown perturbation, clearly showing that the error converges to zero after 50 s of simulation, thus verifying the effectiveness of the extended state monitor. Figure 7 illustrates the convergence of the velocity error for a single AUV during operation, while Figure 8 shows the convergence of the position error for a single AUV during operation, indicating the enhanced performance of each AUV during operation.
Figure 3.
Detailed trajectories during the formation separation of multi-AUV systems.
Figure 4.
Control input trigger frequency per AUV.

Figure 5.
The leader leads two groups of followers in two stable rectangular formations.

Figure 6.
Estimation error of unknown perturbations.

Figure 7.
Velocity error convergence for each AUV (from a 3D perspective).

Figure 8.
Convergence of position errors for each AUV (from a 3D viewpoint).
Next, we proceed to examine the steadiness of the overall AUV formation. The formation position tracking error and formation speed tracking error are illustrated in Figure 9 and Figure 10, respectively. It is evident that these two parameters exhibit significant oscillations and slow convergence at the initial stages of the simulation but ultimately converge within a small neighborhood near the origin, achieving asymptotic steadiness. This behavior can be attributed to the insufficient clarity of the formation tracking regulation goals in the previous section. We intend to conduct a more detailed study on the constraints related to these regulation goals in future research.

Figure 9.
System formation position tracking error (from a three-dimensional perspective).

Figure 10.
System formation speed tracking error (from a three-dimensional perspective).
7. Conclusions
In this paper, we present an event-triggered control scheme incorporating an extended state observer aimed at achieving formation separation in multi-UAV systems subject to external interference and internal competition. This approach has good application prospects, as the extended observer designed by the backstepping method can efficiently and quickly estimate the unobservable state of the system as well as the external perturbations, which can effectively cope with the systematic errors of the hardware system of AUVs. Compared with the traditional time-triggered control, the control strategy used in this paper is visually triggered. The control inputs are currently triggered only when the system state deviates from the set range, which significantly reduces unnecessary control updates and communication load. Compared with the traditional time-triggered control, which is usually based on fixed time intervals for the system control update, it can effectively reduce the system’s computation and communication costs and thus improve the overall efficiency and stability of the system. In terms of observer design, the traditional observer design is only used to estimate the system state, and has limited estimation capability for external perturbations and unknown inputs, which makes it less effective in complex underwater environments. The extended observer proposed in this paper is able to estimate the unknown perturbations and unobservable states in real time, and incorporate the compensation of these perturbations into the control strategy, thus improving the robustness and control accuracy of the system and ensuring the effectiveness of the control strategy in complex labor environments. Furthermore, numerical simulations demonstrate the stability of the system under this control scheme, and a fast convergence of the errors can be observed.
Author Contributions
Conceptualization, Z.Z.; methodology, Y.G., Y.X., M.J. and Z.Z.; formal analysis, M.J.; resources, M.J.; writing—review and editing, Y.G.; supervision, Y.X.; project administration, M.J. and Z.Z.; funding acquisition, Y.X. All authors have read and agreed to the published version of the manuscript.
Funding
This research received no external funding.
Data Availability Statement
The original contributions presented in the study are included in the article, further inquiries can be directed to the corresponding author.
Conflicts of Interest
The authors declare no conflicts of interest.
References
- Yan, Z.; Zhang, C.; Tian, W.; Cai, S.; Zhao, L. Distributed observer-based formation trajectory tracking method of leader-following multi-AUV system. Ocean Eng. 2022, 260, 112019. [Google Scholar] [CrossRef]
- Li, J.; Tian, Z.; Zhang, H. Discrete-time AUV formation control with leader-following consensus under time-varying delays. Ocean Eng. 2023, 286, 115678. [Google Scholar] [CrossRef]
- Cai, L.; Sun, Q. Multiautonomous underwater vehicle consistent collaborative hunting method based on generative adversarial network. Int. J. Adv. Robot. Syst. 2020, 17, 1729881420925233. [Google Scholar] [CrossRef]
- Naser, F.A.; Rashid, M.T.; Fortuna, L. Underwater Labriform-Swimming Robot; World Scientific: Singapore, 2021. [Google Scholar]
- Su, B.; Wang, H.; Wang, Y. Dynamic event-triggered formation control for AUVs with fixed-time integral sliding mode disturbance observer. Ocean Eng. 2021, 240, 109893. [Google Scholar] [CrossRef]
- Liu, G.; Basin, M.V.; Liang, H.; Zhou, Q. Adaptive bipartite tracking control of nonlinear multiagent systems with input quantization. IEEE Trans. Cybern. 2020, 52, 1891–1901. [Google Scholar] [CrossRef] [PubMed]
- Cao, L.; Pan, Y.; Liang, H.; Huang, T. Observer-based dynamic event-triggered control for multiagent systems with time-varying delay. IEEE Trans. Cybern. 2022, 53, 3376–3387. [Google Scholar] [CrossRef] [PubMed]
- Xu, Y.; Li, T.; Tong, S. Event-triggered adaptive fuzzy bipartite consensus control of multiple autonomous underwater vehicles. IET Control Theory Appl. 2020, 14, 3632–3642. [Google Scholar] [CrossRef]
- Wang, J.; Li, Y.; Wu, Y.; Liu, Z.; Chen, K.; Chen, C.P. Fixed-time formation control for uncertain nonlinear multi-agent systems with time-varying actuator failures. IEEE Trans. Fuzzy Syst. 2024, 32, 1965–1977. [Google Scholar] [CrossRef]
- Nguyen, K.; Dang, V.T.; Pham, D.D.; Dao, P.N. Formation control scheme with reinforcement learning strategy for a group of multiple surface vehicles. Int. J. Robust Nonlinear Control 2024, 34, 2252–2279. [Google Scholar] [CrossRef]
- Zhang, H.; Feng, G.; Yan, H.; Chen, Q. Observer-based output feedback event-triggered control for consensus of multi-agent systems. IEEE Trans. Ind. Electron. 2013, 61, 4885–4894. [Google Scholar] [CrossRef]
- Altafini, C. Consensus problems on networks with antagonistic interactions. IEEE Trans. Autom. Control 2012, 58, 935–946. [Google Scholar] [CrossRef]
- Kang, S.; Rong, Y.; Chou, W. Antidisturbance control for AUV trajectory tracking based on fuzzy adaptive extended state observer. Sensors 2020, 20, 7084. [Google Scholar] [CrossRef] [PubMed]
- Zhao, L.; Yu, J.Y.; Hu, H. Distributed Adaptive Consensus Tracking Control for Multiple AUVs. In Proceedings of the Seventh International Conference on Information Science and Technology (ICIST), Da Nang, Vietnam, 16–19 April 2017; pp. 480–484. [Google Scholar]
Disclaimer/Publisher’s Note: The statements, opinions and data contained in all publications are solely those of the individual author(s) and contributor(s) and not of MDPI and/or the editor(s). MDPI and/or the editor(s) disclaim responsibility for any injury to people or property resulting from any ideas, methods, instructions or products referred to in the content. |
© 2024 by the authors. Published by MDPI on behalf of the World Electric Vehicle Association. Licensee MDPI, Basel, Switzerland. This article is an open access article distributed under the terms and conditions of the Creative Commons Attribution (CC BY) license (https://creativecommons.org/licenses/by/4.0/).