Hybrid Solution Through Systematic Electrical Impedance Tomography Data Reduction and CNN Compression for Efficient Hand Gesture Recognition on Resource-Constrained IoT Devices
Abstract
1. Introduction
2. Related Works
3. System Architecture and Data Collection Protocol
4. Methods for EIT Data Reduction and CNN Model Compression for Efficient Edge Deployment
4.1. Techniques for EIT Data Reduction
- Principal Component Analysis: PCA is a statistical technique designed to transform complex, high-dimensional datasets into more concise representations while preserving the most important information [25]. By systematically normalising data to zero mean and unit variance, PCA first computes a covariance matrix that highlights the relationships between variables. Through eigenvector and eigenvalue decomposition, the method identifies principal components—orthogonal axes that capture the most significant patterns of variation in the data. These principal components are ranked according to their ability to explain the variance in the data, with the first component capturing the most variability, followed by subsequent components that account for progressively less variation.
- Chi-square test: The Chi-square test [26] is a robust statistical technique designed to evaluate the presence of significant associations between variables by systematically comparing observed and expected frequencies. This probabilistic method constructs a contingency table that captures the actual distribution of data points and compares it to a hypothetical scenario of variable independence. By calculating a Chi-squared statistic that quantifies the magnitude of the deviation between the observed and expected frequencies, the test generates a p-value that represents the probability of obtaining such a result by chance. If the p-value falls below a predetermined significance threshold (typically 0.05), the null hypothesis of independence will be rejected, indicating a statistically meaningful relationship between the variables.
- Minimum Redundancy Maximum Relevance: The Minimum Redundancy Maximum Relevance (mRMR) algorithm is an intelligent feature selection technique designed to reduce complex, high-dimensional datasets to their most informative and unique components. By systematically evaluating the relevance of individual features to a target variable while minimising redundancy among selected features, mRMR provides a sophisticated approach to dimensionality reduction in machine learning [27]. The algorithm strategically prioritises features that provide maximum predictive power and minimum information overlap, effectively identifying a subset of variables that capture the most essential and independent aspects of the target data. This nuanced selection process is particularly important in applications with large feature spaces and complex predictive modelling, where traditional feature selection methods may fail to capture the non-redundant information embedded in the dataset.
- The Laplacian Score: The Laplacian Score is a feature selection technique that aims to preserve the intrinsic geometric structure of complex datasets [28] by identifying features that preserve local neighbourhood relationships. By constructing a sophisticated similarity graph in which data points are connected based on their inherent proximity and relationships, the algorithm evaluates each feature’s ability to preserve the local topology of the underlying data manifold. This approach goes beyond traditional feature selection methods by focusing on preserving the intrinsic data geometry, effectively identifying features that capture the most meaningful and locally representative information. Features with lower Laplacian scores are considered to be the most informative, as they best preserve the subtle structural nuances and proximity relationships within the dataset. This method is particularly powerful in high-dimensional spaces, where traditional feature selection techniques may overlook the complex, non-linear relationships between data points.
4.2. CNN Model Compression for Optimised Edge Deployment
- Transfer learning: Involves Knowledge Distillation (KD), where a smaller model (student) learns from a larger, pre-trained model (teacher), allowing it to achieve comparable performance with fewer parameters [29].
- Redundancy reduction: Includes pruning, quantisation, and hashing. Pruning eliminates weights that contribute minimally to the model’s output, resulting in a sparser model that retains essential features while reducing the size and computational load [30]. Quantisation represents weights with lower precision, decreasing the model’s memory footprint.
- Data Precision Reduction: Includes binarisation, which converts the model’s outputs into binary values (0 s and 1 s). By simplifying the representation of weights and activations, binarisation can significantly decrease the model size and improve inference speed, suitable for deployment on devices with stringent resource constraints [31].
4.3. Knowledge Distillation (KD)
- is a distillation loss and is often calculated as where are the predictions of the student model with temperature T and are the soft targets so that where is the logit for class i and T is a hyperparameter called temperature.
- is classification loss and it is often calculated as where is the real label of the class i.
4.4. Filter Pruning
4.5. Dynamic Post-Training Quantisation
- (1)
- Weight quantisation
- (2)
- Quantification of Activations
- (3)
- Output Calculation
5. Methodology for Reducing EIT Data Dimensionality and CNN Compression for Efficient Parameter Reduction
5.1. Reducing EIT Input Data Dimensionality
5.2. CNN Model Compression for Compensating Reduced Input Dimensionality
6. Results
6.1. Reducing EIT Measurements
6.2. One-Dimensional CNN for EIT Data Analysis
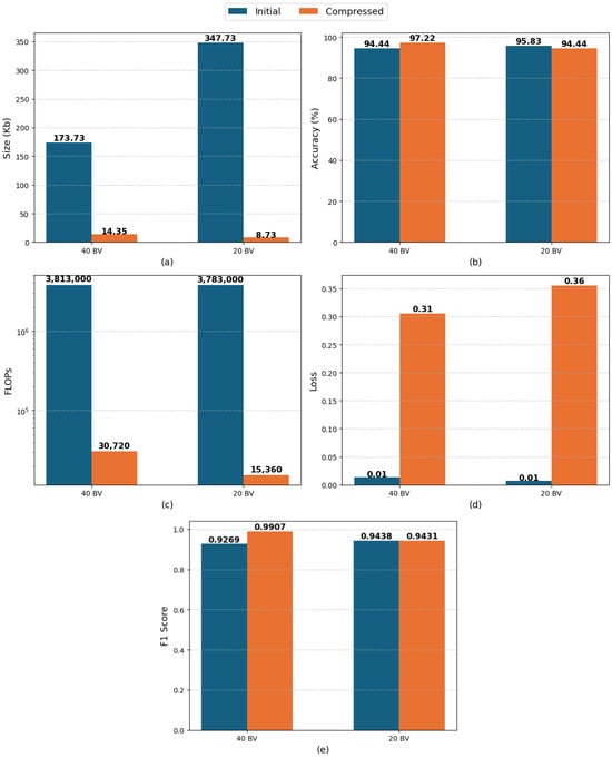
6.3. Impact of Dimensionality Reduction and CNN Model Compression on EIT-Based ASL Hand Gesture Recognition
7. Conclusions
Author Contributions
Funding
Institutional Review Board Statement
Informed Consent Statement
Data Availability Statement
Acknowledgments
Conflicts of Interest
Abbreviations
| TinyML | Tiny Machine Learning |
| CNN | Convolutional Neural Network |
| HGR | Hand Gesture Recognition |
| EIT | Electrical Impedance Tomography |
| BVs | Boundary Voltages |
| FLOPs | Floating-Point operations |
| HMI | Human–Machine Interaction |
| ASL | American Sign Language |
| PCA | Principal Component Analysis |
| FP | Filter Pruning |
| EMG | Electromyography |
| DDS | Digital Synthesis Module |
| AC | Alternating Current |
| mRMR | Minimum Redundancy Maximum Relevance |
| KD | Knowledge Distillation |
| DPTQ | Dynamic Post-Training Quantisation |
| GA | Genetic Algorithm |
| SVM | Support Vector Machine |
| 1D | One Dimensional |
| IoT | Internet of Things |
References
- Shoukat, M.U.; Yan, L.; Zhang, J.; Cheng, Y.; Raza, M.U.; Niaz, A. Smart home for enhanced healthcare: Exploring human machine interface oriented digital twin model. Multimed. Tools Appl. 2024, 83, 31297–31315. [Google Scholar] [CrossRef]
- Adamides, G.; Edan, Y. Human–robot collaboration systems in agricultural tasks: A review and roadmap. Comput. Electron. Agric. 2023, 204, 107541. [Google Scholar] [CrossRef]
- Mourtzis, D.; Angelopoulos, J.; Panopoulos, N. The future of the human–machine interface (HMI) in society 5.0. Future Internet 2023, 15, 162. [Google Scholar] [CrossRef]
- Cao, K.; Liu, Y.; Meng, G.; Sun, Q. An overview on edge computing research. IEEE Access 2020, 8, 85714–85728. [Google Scholar] [CrossRef]
- Warden, P.; Situnayake, D. TinyML: Machine learning with TensorFlow Lite on Arduino and Ultra-Low-Power Microcontrollers; O’Reilly Media: Sebastopol, CA, USA, 2019. [Google Scholar]
- Sanchez-Iborra, R.; Skarmeta, A.F. Tinyml-enabled frugal smart objects: Challenges and opportunities. IEEE Circuits Syst. Mag. 2020, 20, 4–18. [Google Scholar] [CrossRef]
- Abadade, Y.; Temouden, A.; Bamoumen, H.; Benamar, N.; Chtouki, Y.; Hafid, A.S. A comprehensive survey on tinyml. IEEE Access. 2023, 11, 96892–96922. [Google Scholar] [CrossRef]
- Bayford, R.H. Bioimpedance tomography (electrical impedance tomography). Annu. Rev. Biomed. Eng. 2006, 8, 63–91. [Google Scholar] [CrossRef]
- Guo, L.; Lu, Z.; Yao, L. Human–machine interaction sensing technology based on hand gesture recognition: A review. IEEE Trans.-Hum.-Mach. Syst. 2021, 51, 300–309. [Google Scholar] [CrossRef]
- Pyun, K.R.; Kwon, K.; Yoo, M.J.; Kim, K.K.; Gong, D.; Yeo, W.H.; Han, S.; Ko, S.H. Machine-learned wearable sensors for real-time hand-motion recognition: Toward practical applications. Natl. Sci. Rev. 2024, 11, nwad298. [Google Scholar] [CrossRef]
- Qi, J.; Ma, L.; Cui, Z.; Yu, Y. Computer vision-based hand gesture recognition for human–robot interaction: A review. Complex Intell. Syst. 2024, 10, 1581–1606. [Google Scholar] [CrossRef]
- Wang, T.; Zheng, P.; Li, S.; Wang, L. Multimodal Human–Robot Interaction for Human-Centric Smart Manufacturing: A Survey. Adv. Intell. Syst. 2024, 6, 2300359. [Google Scholar] [CrossRef]
- Atitallah, B.B.; Hu, Z.; Bouchaala, D.; Hussain, M.A.; Ismail, A.; Derbel, N.; Kanoun, O. Hand sign recognition system based on EIT imaging and robust CNN classification. IEEE Sens. J. 2021, 22, 1729–1737. [Google Scholar] [CrossRef]
- Yao, T.; Wu, Y.; Jiang, D.; Bayford, R.; Demosthenous, A. A compact neural network for high accuracy bioimpedancebased hand gesture recognition. In Proceedings of the 2023 IEEE Biomedical Circuits and Systems Conference (BioCAS), Toronto, ON, Canada, 19–21 October 2023. [Google Scholar]
- Vaquero-Gallardo, N.; Martínez-García, H. Electrical impedance tomography for hand gesture recognition for hmi interaction applications. J. Low Power Electron. Appl. 2022, 12, 41. [Google Scholar] [CrossRef]
- Liebing, T.; Kähler, D.; Kern, T.A. Design of a miniaturized wearable eit system for imaging and hand gesture recognition. Curr. Dir. Biomed. Eng. 2023, 9, 443–446. [Google Scholar] [CrossRef]
- Kong, L.; Tan, J.; Huang, J.; Chen, G.; Wang, S.; Jin, X.; Zeng, P.; Khan, M.; Das, S.K. Edge-computing-driven internet of things: A survey. ACM Comput. Surv. 2022, 55, 1–41. [Google Scholar] [CrossRef]
- Sun, Y.; Fei, T.; Li, X.; Warnecke, A.; Warsitz, E.; Pohl, N. Real-time radar-based gesture detection and recognition built in an edge-computing platform. IEEE Sens. J. 2020, 20, 10706–10716. [Google Scholar] [CrossRef]
- Chmurski, M.; Zubert, M.; Bierzynski, K.; Santra, A. Analysis of edge-optimized deep learning classifiers for radar-based gesture recognition. IEEE Access 2021, 9, 74406–74421. [Google Scholar] [CrossRef]
- Saez, B.; Mendez, J.; Molina, M.; Castillo, E.; Pegalajar, M.; Morales, D.P. Gesture recognition with ultrasounds and edge computing. IEEE Access 2021, 9, 38999–39008. [Google Scholar] [CrossRef]
- Vitale, A.; Donati, E.; Germann, R.; Magno, M. Neuromorphic edge computing for biomedical applications: Gesture classification using emg signals. IEEE Sens. J. 2022, 22, 19490–19499. [Google Scholar] [CrossRef]
- Venzke, M.; Klisch, D.; Kubik, P.; Ali, A.; Missier, J.D.; Turau, V. Artificial neural networks for sensor data classification on small embedded systems. arXiv 2020, arXiv:2012.08403. [Google Scholar]
- Mnif, M.; Sahnoun, S.; Kaaniche, M.; Atitallah, B.B.; Fakhfakh, A.; Kanoun, O. Ultra-Fast Edge Computing Approach for Hand Gesture Classification Based on EIT Measurements. In Proceedings of the 2024 IEEE International Symposium on Robotic and Sensors Environments (ROSE), Chemnitz, Germany, 20–21 June 2024; pp. 1–7. [Google Scholar]
- Ghoul, B.; Atitallah, B.B.; Barioul, R.; Fakhfakh, A.; Kanoun, O. Exploring the Real-Time Capability of Electrical Impedance Tomography for Hand Sign Recognition in Robotic Hand Control. In Proceedings of the 2024 IEEE International Symposium on Robotic and Sensors Environments (ROSE), Chemnitz, Germany, 20–21 June 2024; pp. 1–6. [Google Scholar]
- Zaki, M.M.; Shaheen, S.I. Sign language recognition using a combination of new vision based features. Pattern Recognit. Lett. 2011, 32, 572–577. [Google Scholar] [CrossRef]
- Martin-Gutierrez, J.; Del Rio Guerra, M.S. Analysing touchscreen gestures: A study based on individuals with down syndrome centred on design for all. Sensors 2021, 21, 1328. [Google Scholar] [CrossRef] [PubMed]
- Qu, Y.; Shang, H.; Li, J.; Teng, S. Reduce surface electromyography channels for gesture recognition by multitask sparse representation and minimum redundancy maximum relevance. J. Healthc. Eng. 2021, 2021, 9929684. [Google Scholar] [CrossRef]
- He, X.; Cai, D.; Niyogi, P. Laplacian score for feature selection. Adv. Neural Inf. Process. Syst. 2005, 18, 507–514. Available online: https://proceedings.neurips.cc/paper_files/paper/2005/file/b5b03f06271f8917685d14cea7c6c50a-Paper.pdf (accessed on 18 December 2024).
- Hinton, G.; Vinyals, O.; Dean, J. Distilling the knowledge in a neural network. arXiv 2015, arXiv:1503.02531. [Google Scholar]
- Han, S.; Mao, H.; Dally, W.J. Deep compression: Compressing deep neural networks with pruning, trained quantization and huffman coding. arXiv 2015, arXiv:1510.00149. [Google Scholar]
- Courbariaux, M.; Hubara, I.; Soudry, D.; El-Yaniv, R.; Bengio, Y. Binarized neural networks: Training deep neural networks with weights and activations constrained to+ 1 or-1. arXiv 2016, arXiv:1602.02830. [Google Scholar]
- Guo, Z.; Xiao, Y.; Liao, W.; Veelaert, P.; Philips, W. FLOPs-efficient filter pruning via transfer scale for neural network acceleration. J. Comput. Sci. 2021, 55, 101459. [Google Scholar] [CrossRef]
- Chen, J.; Kao, S.H.; He, H.; Zhuo, W.; Wen, S.; Lee, C.H.; Chan, S.H.G. Run, do not walk: Chasing higher FLOPS for faster neural networks. In Proceedings of the IEEE/CVF conference on computer vision and pattern recognition, Vancouver, BC, Canada, 17–24 June 2023; pp. 12021–12031. [Google Scholar]
- Ding, X.; Ding, G.; Han, J.; Tang, S. Auto-balanced filter pruning for efficient convolutional neural networks. In Proceedings of the AAAI Conference on Artificial Intelligence, New Orleans, LA, USA, 2–7 February 2018; Volume 32. [Google Scholar]
- Wei, L.; Ma, Z.; Yang, C.; Yao, Q. Advances in the Neural Network Quantization: A Comprehensive Review. Appl. Sci. 2024, 14, 7445. [Google Scholar] [CrossRef]
- Rokh, B.; Azarpeyvand, A.; Khanteymoori, A. A comprehensive survey on model quantization for deep neural networks. arXiv 2022, arXiv:2205.07877. [Google Scholar]
- Tu, Z.; Hu, J.; Chen, H.; Wang, Y. Toward accurate post-training quantization for image super resolution. In Proceedings of the IEEE/CVF Conference on Computer Vision and Pattern Recognition, Vancouver, BC, Canada, 17–24 June 2023; pp. 5856–5865. [Google Scholar]
- Ghoul, B.; Atitallah, B.B.; Sahnoun, S.; Fakhfakh, A.; Kanoun, O. Comparative Study of Data Reduction Methods in Electrical Impedance Tomography For Hand Sign Recognition. In Proceedings of the 2024 IEEE 7th International Conference on Advanced Technologies, Signal and Image Processing (ATSIP), Sousse, Tunisia, 11–13 July 2024; Volume 1, pp. 654–658. [Google Scholar]
- Wu, J. Introduction to Convolutional Neural Networks; National Key Lab for Novel Software Technology, Nanjing University: Nanjing, China, 2017; Volume 5, p. 495. [Google Scholar]
- Mnif, M.; Sahnoun, S.; Saad, Y.B.; Fakhfakh, A.; Kanoun, O. Combinative model compression approach for enhancing 1D CNN efficiency for EIT-based Hand Gesture Recognition on IoT edge devices. Internet Things 2024, 28, 101403. [Google Scholar] [CrossRef]
- Vakili, M.; Ghamsari, M.; Rezaei, M. Performance analysis and comparison of machine and deep learning algorithms for IoT data classification. arXiv 2020, arXiv:2001.09636. [Google Scholar]






| Subjects | 1 | 2 | 3 | 4 | 5 | 6 | 7 | 8 | 9 | 10 |
|---|---|---|---|---|---|---|---|---|---|---|
| Accuracy with all BVs (%) | 95.3 | 94.2 | 92.2 | 89.2 | 88.9 | 92.8 | 87.5 | 95.8 | 97.5 | 91.7 |
| Accuracy after PCA reduction (%) | 75 | 71.67 | 75.83 | 75.1 | 68.6 | 82.4 | 71.67 | 92.5 | 85 | 73.33 |
| Accuracy after Chi-square reduction (%) | 92.5 | 88.9 | 90.8 | 83.6 | 82.5 | 90 | 85 | 93.9 | 95.6 | 87.2 |
| Accuracy after mRMR reduction (%) | 80 | 81.67 | 75 | 70.83 | 67.77 | 71.6 | 78.33 | 86.67 | 85 | 80 |
| Accuracy after Laplacian Score reduction (%) | 69.17 | 78.33 | 80.83 | 65.83 | 60.33 | 68.33 | 72.5 | 90 | 87.5 | 80.83 |
| Aspect | CNN Model 1 | CNN Model 2 |
|---|---|---|
| Input | 40 BVs | 20 BVs |
| First convolutional layer | 8 filters | 16 filters |
| Second convolutional layer | 16 filters | 32 filters |
| First fully-connected layer | 64 neurons | 128 neurons |
| Output layer | 36 neurons | 36 neurons |
| Dropout | 0.5 dropout (After the first fully connected layer) | - |
| FLOPs | 3.813M | 3.783M |
| Mean accuracy | 94.72% ± 1.19% | 96.94% ± 1.19% |
Disclaimer/Publisher’s Note: The statements, opinions and data contained in all publications are solely those of the individual author(s) and contributor(s) and not of MDPI and/or the editor(s). MDPI and/or the editor(s) disclaim responsibility for any injury to people or property resulting from any ideas, methods, instructions or products referred to in the content. |
© 2025 by the authors. Licensee MDPI, Basel, Switzerland. This article is an open access article distributed under the terms and conditions of the Creative Commons Attribution (CC BY) license (https://creativecommons.org/licenses/by/4.0/).
Share and Cite
Sahnoun, S.; Mnif, M.; Ghoul, B.; Jemal, M.; Fakhfakh, A.; Kanoun, O. Hybrid Solution Through Systematic Electrical Impedance Tomography Data Reduction and CNN Compression for Efficient Hand Gesture Recognition on Resource-Constrained IoT Devices. Future Internet 2025, 17, 89. https://doi.org/10.3390/fi17020089
Sahnoun S, Mnif M, Ghoul B, Jemal M, Fakhfakh A, Kanoun O. Hybrid Solution Through Systematic Electrical Impedance Tomography Data Reduction and CNN Compression for Efficient Hand Gesture Recognition on Resource-Constrained IoT Devices. Future Internet. 2025; 17(2):89. https://doi.org/10.3390/fi17020089
Chicago/Turabian StyleSahnoun, Salwa, Mahdi Mnif, Bilel Ghoul, Mohamed Jemal, Ahmed Fakhfakh, and Olfa Kanoun. 2025. "Hybrid Solution Through Systematic Electrical Impedance Tomography Data Reduction and CNN Compression for Efficient Hand Gesture Recognition on Resource-Constrained IoT Devices" Future Internet 17, no. 2: 89. https://doi.org/10.3390/fi17020089
APA StyleSahnoun, S., Mnif, M., Ghoul, B., Jemal, M., Fakhfakh, A., & Kanoun, O. (2025). Hybrid Solution Through Systematic Electrical Impedance Tomography Data Reduction and CNN Compression for Efficient Hand Gesture Recognition on Resource-Constrained IoT Devices. Future Internet, 17(2), 89. https://doi.org/10.3390/fi17020089

