2-O-Acyl-3-O-(1-acyloxyalkyl) Prodrugs of 5,6-Isopropylidene-l-Ascorbic Acid and l-Ascorbic Acid: Antioxidant Activity and Ability to Permeate Silicone Membranes
Abstract
:1. Introduction
2. Experimental
3. Methods
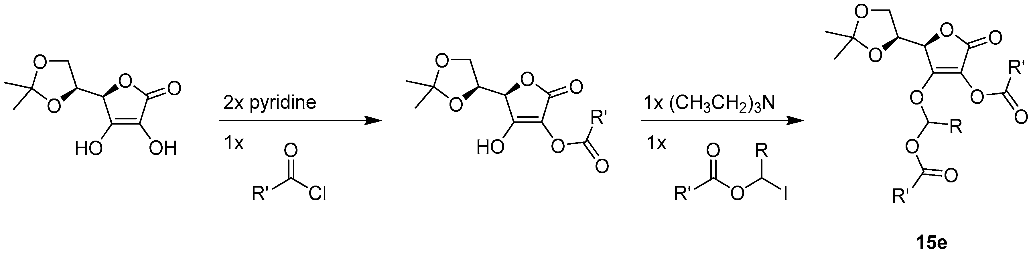
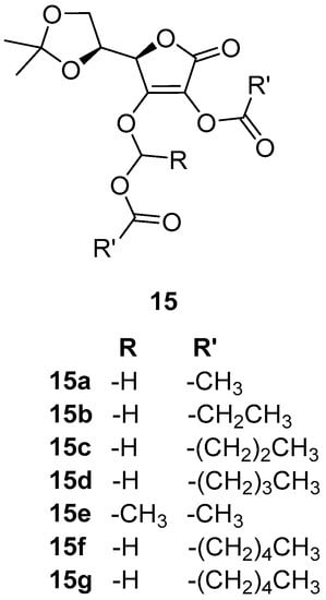
3.1. Synthesis
3.2. Solubilities
3.3. Diffusion Cell Experiments
3.4. Cellular Antioxidant Activity (CAA) Assay and Cell Viability Analysis (CVA) Experiments
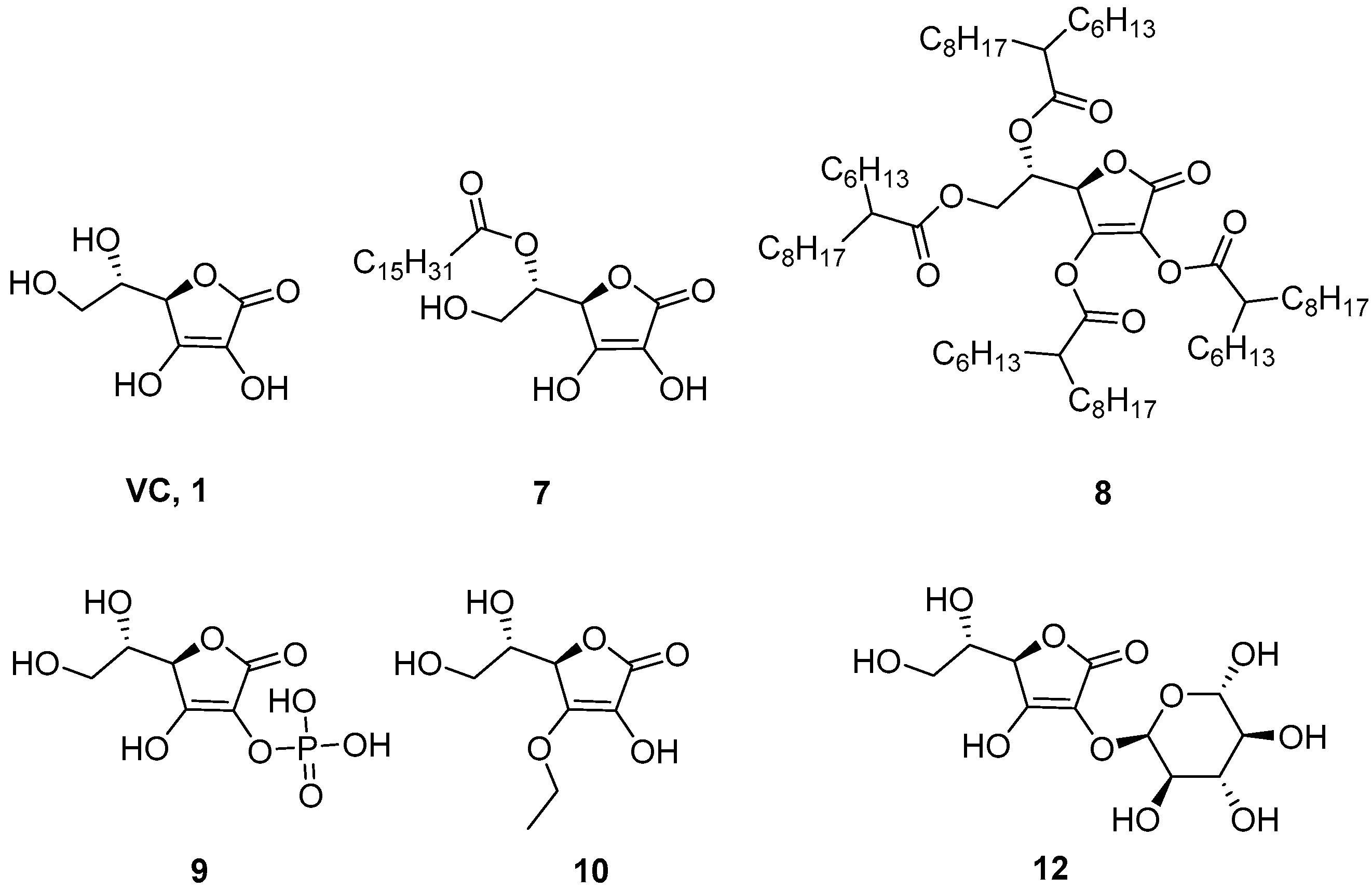
4. Results and Discussion
4.1. Synthesis
4.2. Solubilities
4.3. Diffusion Cell Results
4.4. Cellular Antioxidant Activity (CAA) and Cell Viability Analysis (CVA)
5. Conclusions
Acknowledgments
Author Contributions
Conflicts of Interest
References
- Stamford, N.P.J. Stability, transdermal penetration, and cutaneous effects of ascorbic acid and its derivatives. J. Cosmet. Dermatol. 2012, 11, 310–317. [Google Scholar] [CrossRef] [PubMed]
- Pinnell, S.R.; Yang, H.; Omar, M.; Riviere, N.M.; DeBuys, H.V.; Walker, L.C.; Wang, Y.; Levine, M. Topical l-ascorbic acid: Percutaneous absorption studies. Dermatol. Surg. 2001, 27, 137–142. [Google Scholar] [CrossRef] [PubMed]
- Tojo, K.; Lee, A.C. Bioconversion of a provitamin to vitamins C and E in skin. J. Soc. Cosmet. Chem. 1987, 38, 333–339. [Google Scholar]
- Gramlich, G.; Zhang, J.; Nau, W.M. Increased antioxidant reactivity of vitamin C at low pH in model membranes. J. Am. Chem. Soc. 2002, 124, 11252–11253. [Google Scholar] [CrossRef] [PubMed]
- Budavari, S. (Ed.) The Merck-Index—An Encyclopedia of Chemicals, Drugs, and Biological, 12th ed.; Merck and Co., Inc.: Whitehouse Station, NJ, USA, 1996; pp. 867–868.
- Bors, W.; Buettner, G.R. The vitamin C radical and its reaction. In Vitamin C in Health and Disease; Packer, L., Fuchs, J., Eds.; Marcel Dekker: New York, NY, USA, 1997; Chapter 4; pp. 75–94. [Google Scholar]
- Sloan, K.B. Functional group considerations in the development of prodrug approaches to solving drug delivery problems. In Prodrugs: Topical and Ocular Drug Delivery; Sloan, K.B., Ed.; Marcel Dekker, Inc.: New York, NY, USA, 1992; Chapter 2; pp. 17–116. [Google Scholar]
- Lin, F.; Lin, J.; Gupta, R.D.; Tournas, J.A.; Burch, J.A.; Selin, M.A.; Monteiro-Riviere, N.A.; Grichnik, J.M.; Zielinski, J.; Pinnell, S.R. Ferulic acid stabilizes solutions of vitamins C and E and doubles its photo-protection of skin. J. Investig. Dermatol. 2005, 125, 826–832. [Google Scholar] [CrossRef] [PubMed]
- McGowan, J.; Thiele, N.; Sloan, K.B. Prodrugs of vitamin C: The reaction of 1-acyloxyalkyl-1-iodides with vitamin C 5,6-acetonide. Tetrahedron Lett. 2015, 56, 5441–5444. [Google Scholar] [CrossRef]
- Prybylski, J.; Thiele, N.; Sloan, K.B. Regioselective synthesis of 2-O-acyl-3-O-(1-acyloxyalkyl) prodrugs of 5,6-isopropylidene-l-ascorbic acid. Tetrahedron Lett. 2016, 57, 1619–1621. [Google Scholar] [CrossRef]
- Sloan, K.B.; Devarajan-Ketha, H.; Synovec, J.; Majumdar, S. Fit of fluxes of sunscreens and other compounds from propylene glycol:water (30:70) through human skin and silicone membrane to the Roberts-Sloan equation: The effect of polar vehicle (or water) solubility. J. Cosmet. Sci. 2013, 64, 181–192. [Google Scholar] [PubMed]
- Hagedorn-Lewke, U.; Lippold, B. Absorption of sunscreens and other compounds through human skin in vivo: Derivation of a method to predict fluxes. Pharm. Res. 1995, 12, 1354–1360. [Google Scholar] [CrossRef]
- Jung, M.E.; Shaw, T.J. Total synthesis of (R)-glycerol acetonide and the antiepileptic and hypotensive drug (-)-γ-amino-β-hydroxybutyric acid (GABOB): Use of vitamin C as a chiral starting material. J. Am. Chem. Soc. 1980, 102, 6304–6311. [Google Scholar] [CrossRef]
- Wu, Q.; Chen, W.; Wang, Y.; Qu, Y.; Zhang, Q. Mild, efficient and highly selective hydrolysis of acetonides with antimony luchloirde. Lett. Org. Chem. 2006, 3, 271–274. [Google Scholar]
- Beall, H.D.; Getz, J.J.; Sloan, K.B. The estimation of relative water solubility for prodrugs that are unstable in water. Int. J. Pharm. 1993, 93, 37–47. [Google Scholar] [CrossRef]
- Wasdo, S.; Juntunen, J.; Devarajan, H.; Murray, T.; Nichels, K.; Singh, S.; Shanks, J.; Ulmer, K.; Sloan, K.B. Modeling of flux through silicone membranes from water. Eur. J. Pharm. Sci. 2008, 34, 321–332. [Google Scholar] [CrossRef] [PubMed]
- Sloan, K.B.; Koch, S.A.M.; Siver, K.G.; Flowers, F.P. The use of solubility parameters of drug and vehicles to predict flux. J. Invertig. Dermatol. 1986, 75, 744–749. [Google Scholar]
- Wolfe, K.L.; Lin, R.H. Cellular antioxidant activity (CAA) assay for assessing antioxidants, foods, and dietary supplements. J. Agric. Food Chem. 2007, 55, 8896–8907. [Google Scholar] [CrossRef] [PubMed]
- Crouch, S.P.M.; Kozlowski, R.; Slater, K.J.; Fletcher, J. The use of ATP bioluminescence as a measure of cell proliferation and cytotoxicity. J. Immunol. Methods 1993, 160, 81–88. [Google Scholar] [CrossRef]
- Bender, C.; Grazeano, S.; Zimmerman, B.F.; Weidlich, H.H. Antioxidant potential of aqueous plant extracts assessed by the cellular antioxidant activity assay. Am. J. Biol. Life Sci. 2014, 2, 72–79. [Google Scholar]







| Compound | R | R’ | λmax (εAQ) a,b | λmax (εACN) a,b | SOCT c | SAQ c | log KOCT:AQ |
|---|---|---|---|---|---|---|---|
| 15a | –H | –CH3 | 224 (10,775) | 217 (11,012) | 35.8 d | 36.5 e | −0.01 e |
| 15b | –H | –CH2CH3 | 224 (10,367) | 220 (10,475) | 87.5 d | 6.46 e | 1.13 e |
| 15c | –H | –(CH2)2CH3 | 224 (11,712) | 220 (12,327) | 437 d | 2.04 e | 2.33 e |
| 15d | –H | –(CH2)3CH3 | 224 (10,775) | 220 (11,060) | 2387 e | 0.94 f | 3.40 e |
| 15e | –CH3 | –CH3 | 225 (10,389) | 221 (10,425) | 60.6 g | 16.3 e | 0.57 h |
| 15f i | –H | –(CH2)4CH3 | ND | ND | ND | ND | ND |
| 15g i,j | –H | –(CH2)4CH3 | ND | ND | ND | ND | ND |
| VC 6-palmitate | 244 (9012) k | 238 (9374) | 57.8 e | 0.008 f | 3.85 e | ||
| Compound | MW | λmax (ε30:70) a,b | SOCT c | SAQ c | JMP 30:70 d |
|---|---|---|---|---|---|
| VC | 176 | 258 (8,855) | 4.93 | 1659 | - e |
| VCA | 216 | 266 (11,823) | 19.7 | 228 | 0.0019 |
| 15a | 330 | 224 (11,473) | 35.8 | 36.5 | 0.028 |
© 2016 by the authors; licensee MDPI, Basel, Switzerland. This article is an open access article distributed under the terms and conditions of the Creative Commons Attribution (CC-BY) license (http://creativecommons.org/licenses/by/4.0/).
Share and Cite
Thiele, N.A.; McGowan, J.; Sloan, K.B. 2-O-Acyl-3-O-(1-acyloxyalkyl) Prodrugs of 5,6-Isopropylidene-l-Ascorbic Acid and l-Ascorbic Acid: Antioxidant Activity and Ability to Permeate Silicone Membranes. Pharmaceutics 2016, 8, 22. https://doi.org/10.3390/pharmaceutics8030022
Thiele NA, McGowan J, Sloan KB. 2-O-Acyl-3-O-(1-acyloxyalkyl) Prodrugs of 5,6-Isopropylidene-l-Ascorbic Acid and l-Ascorbic Acid: Antioxidant Activity and Ability to Permeate Silicone Membranes. Pharmaceutics. 2016; 8(3):22. https://doi.org/10.3390/pharmaceutics8030022
Chicago/Turabian StyleThiele, Nikki A., Jennifer McGowan, and Kenneth B. Sloan. 2016. "2-O-Acyl-3-O-(1-acyloxyalkyl) Prodrugs of 5,6-Isopropylidene-l-Ascorbic Acid and l-Ascorbic Acid: Antioxidant Activity and Ability to Permeate Silicone Membranes" Pharmaceutics 8, no. 3: 22. https://doi.org/10.3390/pharmaceutics8030022
APA StyleThiele, N. A., McGowan, J., & Sloan, K. B. (2016). 2-O-Acyl-3-O-(1-acyloxyalkyl) Prodrugs of 5,6-Isopropylidene-l-Ascorbic Acid and l-Ascorbic Acid: Antioxidant Activity and Ability to Permeate Silicone Membranes. Pharmaceutics, 8(3), 22. https://doi.org/10.3390/pharmaceutics8030022

