An Evaluation of the Subcutaneous Depot Release of TV-46000, A Novel Long-Acting Injectable (LAI) Formulation of Risperidone, Under Extreme Conditions in Dogs, Minipigs and Humans †
Abstract
1. Introduction
2. Materials and Methods
2.1. Heating Evaluation of TV-46000 Following SC Administration in Male Göttingen Minipigs
2.2. Rubbing Evaluation Following Administration of TV-46000 in Male Göttingen Minipigs
2.3. Rubbing Evaluation Following Administration of TV-46000 in Male Beagle Dogs
2.4. Phase 1 Clinical Study in Healthy Volunteers
2.5. Bioanalytical Methods
2.6. Pharmacokinetic Analysis
3. Results
3.1. Effect of Heating of Injection Site Following Administration of TV-46000 in Male Göttingen Minipigs
3.2. Effect of Rubbing of Injection Site Following Administration of TV-46000 in Male Gottingen Minipigs
3.3. Effect of Rubbing of Injection Site Following Administration of TV-46000 in Beagle Dogs
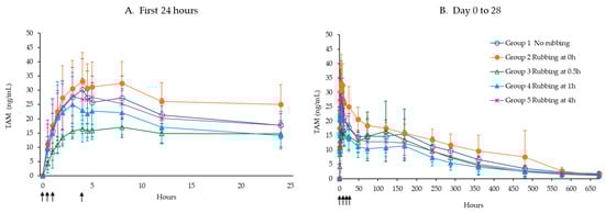
3.4. Effect of Rubbing of Injection Following TV-46000 Administration in Healthy Volunteers
4. Discussion
5. Conclusions
Supplementary Materials
Author Contributions
Funding
Institutional Review Board Statement
Informed Consent Statement
Data Availability Statement
Acknowledgments
Conflicts of Interest
References
- McNeil, S.E.; Gibbons, J.R.; Cogburn, M. Risperidone; StatPearls Publishing: Treasure Island, FL, USA, 2023. [Google Scholar]
- Love, R.C.; Nelson, M.W. Pharmacology and clinical experience with risperidone. Expert. Opin. Pharmacother. 2000, 7, 1441–1453. [Google Scholar] [CrossRef] [PubMed]
- Cohen, L.J. Risperidone. Pharmacotherapy 1994, 14, 253–265. [Google Scholar] [CrossRef] [PubMed]
- Lugasi, L.; Grinberg, I.; Rudnick-Glick, S.; Okun, E.; Einat, H.; Margel, S. Designed proteinoid polymers and nanoparticles encapsulating risperidone for enhanced antipsychotic activity. J. Nanobiotechnology 2020, 18, 149. [Google Scholar] [CrossRef] [PubMed]
- Möller, H.-J. Risperidone: A review. Expert. Opin. Pharmacother. 2005, 6, 803–818. [Google Scholar] [CrossRef] [PubMed]
- Bhat, A.A.; Gupta, G.; Afzal, O.; Kazmi, I.; Al-Abbasi, F.A.; Alfawaz Altamimi, A.S.; Almalki, W.H.; Alzarea, S.I.; Singh, S.K.; Dua, K. Neuropharmacological effect of risperidone: From chemistry to medicine. Chem. Biol. Interact. 2023, 369, 110296. [Google Scholar] [CrossRef] [PubMed]
- Filts, Y.; Litman, R.E.; Martínez, J.; Anta, L.; Naber, D.; Correll, C.U. Long-term efficacy and safety of once-monthly risperidone ISM® in the treatment of schizophrenia: Results from a 12-month open-label extension study. Schizophr. Res. 2022, 239, 83–91. [Google Scholar] [CrossRef] [PubMed]
- Moeller, H.-J. Long-term pharmacotherapy of schizophrenic patients: Achievements, unsolved needs and future perspectives with special focus on long-acting injectable second-generation antipsychotics. Arch. Psychiatry Psychother. 2010, 12, 13–21. [Google Scholar]
- Boyer, L.; Falissard, B.; Nuss, P.; Collin, C.; Duret, S.; Rabbani, M.; De Chefdebien, I.; Tonelli, I.; Llorca, P.M.; Fond, G. Real-world effectiveness of long-acting injectable antipsychotic treatments in a nationwide cohort of 12,373 patients with schizophrenia-spectrum disorders. Mol. Psychiatry 2023, 28, 3709–3716. [Google Scholar] [CrossRef] [PubMed]
- Bartzokis, G.; Lu, P.H.; Raven, E.P.; Amar, C.P.; Detore, N.R.; Couvrette, A.J.; Mintz, J.; Ventura, J.; Casaus, L.R.; Luo, J.S. Impact on intracortical myelination trajectory of long acting injection versus oral risperidone in first-episode schizophrenia. Schizophr. Res. 2012, 140, 122–128. [Google Scholar] [CrossRef] [PubMed]
- Chaudhary, K.; Patel, M.M.; Mehta, P.J. Long-Acting Injectables: Current Perspectives and Future Promise. Crit. Rev. Ther. Drug Carrier Syst. 2019, 36, 137–181. [Google Scholar] [CrossRef] [PubMed]
- Gonella, A.; Grizot, S.; Liu, F.; López Noriega, A.; Richard, J. Long-acting injectable formulation technologies: Challenges and opportunities for the delivery of fragile molecules. Expert Opin. Drug Deliv. 2022, 19, 927–944. [Google Scholar] [CrossRef] [PubMed]
- Correll, C.U.; Kim, E.; Sliwa, J.K.; Hamm, W.; Gopal, S.; Mathews, M.; Venkatasubramanian, R.; Saklad, S.R. Pharmacokinetic Characteristics of Long-Acting Injectable Antipsychotics for Schizophrenia: An Overview. CNS Drugs 2021, 35, 39–59. [Google Scholar] [CrossRef] [PubMed]
- Markowicz-Piasecka, M.; Kubisiak, M.; Asendrych-Wicik, K.; Kołodziejczyk, M.; Grzelińska, J.; Fabijańska, M.; Pietrzak, T. Long-Acting Injectable Antipsychotics-A Review on Formulation and In Vitro Dissolution. Pharmaceutics 2023, 16, 28. [Google Scholar] [CrossRef] [PubMed]
- Kane, J.M.; Harary, E.; Eshet, R.; Tohami, O.; Weiser, M.; Leucht, S.; Merenlender-Wagner, A.; Sharon, N.; Davis, G.L., III; Suett, M. Efficacy and safety of TV-46000, a long-acting, subcutaneous, injectable formulation of risperidone, for schizophrenia: A randomised clinical trial in the USA and Bulgaria. Lancet Psychiatry 2023, 10, 934–943. [Google Scholar] [CrossRef] [PubMed]
- Perlstein, I.; Merenlender Wagner, A.; Gomeni, R.; Lamson, M.; Harary, E.; Spiegelstein, O.; Kalmanczhelyi, A.; Tiver, R.; Loupe, P. Population Pharmacokinetic Modeling and Simulation of TV-46000: A Long-Acting Injectable Formulation of Risperidone. Clin. Pharmacol. Drug Dev. 2022, 11, 865–877. [Google Scholar] [CrossRef] [PubMed]
- Kane, J.M.; Eshet, R.; Harary, E.; Tohami, O.; Elgart, A.; Knebel, H.; Sharon, N.; Suett, M.; Franzenburg, K.R.; Davis, G.L.; et al. A Long-Term Safety and Tolerability Study of TV-46000 for Subcutaneous Use in Patients with Schizophrenia: A Phase 3, Randomized, Double-Blinded Clinical Trial. CNS Drugs 2024, 38, 625–636. [Google Scholar] [CrossRef] [PubMed]
- Uzedy. Prescribing Information. Teva Pharmaceutical Industries Ltd. Available online: https://www.uzedy.com/globalassets/uzedy/prescribing-information.pdf (accessed on 9 December 2024).
- Linde, B. Dissociation of Insulin Absorption and Blood Flow During Massage of a Subcutaneous Injection Site. Diabetes Care. 1986, 9, 570–574. [Google Scholar] [CrossRef] [PubMed]
- Mortimer, P.S.; Simmonds, R.; Rezvani, M.; Robbins, M.; Hopewell, J.W.; Ryan, T.J. The Measurement of Skin Lymph Flow by Isotope Clearance—Reliability, Reproducibility, Injection Dynamics, and the Effect of Massage. J. Investig. Dermatol. 1990, 95, 677–682. [Google Scholar] [CrossRef] [PubMed]
- Trubetskoy, V.S.; Whiteman, K.R.; Torchilin, V.P.; Wolf, G.L. Massage-induced release of subcutaneously injected liposome-encapsulated drugs to the blood. J. Control. Release 1998, 50, 13–19. [Google Scholar] [CrossRef] [PubMed]
- Steiner, L.; Merenlender Wagner, A.; Bibi, D.; Hallak, H. (T1230-10-63) TV-46000, a Novel Long Acting Injectable (LAI) Formulation of Risperidone, Forms a Stable and Robust Subcutaneous Depot, Even under Extreme Conditions: Prediction from Dog and Minipig to Human. 2023. Available online: https://aaps2023.eventscribe.net/fsPopup.asp?efp=Uk9MQVBBV1ExOTMxMg&PosterID=591217&rnd=0.5735195&mode=posterInfo (accessed on 9 December 2024).
- GUIDANCE DOCUMENT. Bioanalytical Method Validation Guidance for Industry. 2018. Available online: https://www.fda.gov/regulatory-information/search-fda-guidance-documents/bioanalytical-method-validation-guidance-industry (accessed on 22 August 2024).
- EMA/CHMP/ICH/Committee for Medicinal Products for Human Use. ICH M10 on Bioanalytical Method Validation—Scientific Guideline. 2022. Available online: https://www.ema.europa.eu/en/ich-m10-bioanalytical-method-validation-scientific-guideline (accessed on 22 August 2024).




| Group 1 Heated (n = 8) | Group 2 Non-Heated (n = 8) | |||||
|---|---|---|---|---|---|---|
| Risperidone | 9-OH risperidone | TAM | Risperidone | 9-OH risperidone | TAM | |
| Cmax (ng/mL) | 16.3 (4.4) | 8.6 (1.5) | 21.9 (5.6) | 12.6 (4.0) | 6.2 (1.4) | 16.6 (3.8) |
| Tmax (h) a | 2 (1–2.5) | 7.0 (2.5–192) | 2.5 (2.5–5.5) | 2.3 (1–8.5) | 8.5 (5.5–192) | 4.5 (1–8.5) |
| T1/2 (h) | 92.3 (33.0) | 94.7 (35.9) | 92.4 (33.8) | 126.6 (44.5) | 111.0 (40.0) | 121.5 (42.7) |
| AUC0-tlast (ng × h/mL) | 1687.7 (128.4) | 1822.4 (404.9) | 3514.6 (524.6) | 1680.7 (354.1) | 1559.2 (356.7) | 3239.9 (674.5) |
| AUC0–∞ (ng × h/mL) | 1720.3 (121.8) | 1864.7 (407.3) | 3603.1 (562.1) | 1730.3 (334.2) | 1602.6 (345.6) | 3302.7 (302.0) |
| Group 1 Rubbing 1,2,3, and 6 h Post-Dose (n = 3) | Group 2 Rubbing 24, 48 and 72 h Post-Dose (n = 3) | Group 3 No Rubbing (n = 4) | |||||||
|---|---|---|---|---|---|---|---|---|---|
| Risperidone | 9-OH risperidone | TAM | Risperidone | 9-OH risperidone | TAM | Risperidone | 9-OH risperidone | TAM | |
| Cmax (ng/mL) | 18.5 (6.1) | 7.5 (2.1) | 23.6 (4.9) | 11.6 (6.9) | 6.7 (2.7) | 15.4 (6.5) | 14.1 (7.8) 55.7% | 7.8 (4.0) 51.2% | 18.9 (9.5) |
| Tmax (h) a | 2.5 (1.5–2.5) | 6.5 (6.5–24) | 3.0 (1.5–6.5) | 3.0 (1–6) | 6.0 (6–24.5) | 3.0 (1–168) | 1.8 (1.56) | 6.5 (6.5–6.5) | 3.3 (2–6.5) |
| T1/2 (h) | 87.7 (30.6) | 101.2 (44.4) | 96.7 (29.4) | 103.7 (30.8) | 117.7 (34.6) | 112.0 (31.1) | 145.5 (44.8) | 143.5 (43.4) | 144.0 (43.9) |
| AUC0-tlast (ng × h/mL) | 1294.7 (223.1) | 1585.6 (345.3) | 2880.3 (556.9) | 1204.9 (430.5) 35.7% | 1323.8 (240.7) | 2528.7 (667.8) | 1329.4 (474.3) | 1822.9 (749.8) | 3152.3 (1222.5) |
| AUC0–360h (ng × h/mL) | 1294.7 (223.1) | 1585.6 (345.3) | 2880.3 (556.9) | 1114.6 (330.4) 29.6% | 1209.1 (119.7) | 2323.7 (441.8) | 1217.3 (528.0) | 1653.2 (802.1) | 2870.6 (1328.4) |
| AUC0–∞ (ng × h/mL) | 1353.7 (171.9) | 1683.0 (291.0) | 3033.1 (451.7) | 1255.5 (455.0) | 1408.2 (258.6) | 2663.2 (712.8) | 1443.9 (465.4) | 1973.2 (781.2) | 3407.9 (1228.9) |
| Relative TAM Exposure/Rubbing Time (h) | Group 1 No Rubbing (n = 6) | Group 2 Immediately 0.0 h Post-Dose (n = 6) | Group 3 0.5 h Post-Dose (n = 6) | Group 4 1.0 h Post-Dose (n = 6) | Group 5 4.0 h Post-Dose (n = 6) |
|---|---|---|---|---|---|
| Cmax/dose a | 100 | 123 | 84.5 | 97.0 | 120 b |
| AUClast/dose b | 100 | 133 | 103 | 81.7 | 99.4 |
| Relative TAM Exposure | Test Group Rubbing Immediately After Injection Geometric Mean (%CV) (n = 10) | Reference Group No Rubbing Geometric Mean (%CV) (n = 9) | Test/Reference Ratio (%) |
|---|---|---|---|
| Cmax (ng/mL) | 7.4 (33.3) | 6.0 (30.4) | 123.0 |
| AUC0-t (ng × h/mL) | 3440 (27.1) | 2570 (25.6) | 133.9 |
| AUC0–∞ (ng × h/mL) | 3590 (25.8) | 2660 (25.6) | 135.0 |
Disclaimer/Publisher’s Note: The statements, opinions and data contained in all publications are solely those of the individual author(s) and contributor(s) and not of MDPI and/or the editor(s). MDPI and/or the editor(s) disclaim responsibility for any injury to people or property resulting from any ideas, methods, instructions or products referred to in the content. |
© 2025 by the authors. Licensee MDPI, Basel, Switzerland. This article is an open access article distributed under the terms and conditions of the Creative Commons Attribution (CC BY) license (https://creativecommons.org/licenses/by/4.0/).
Share and Cite
Steiner, L.; Bibi, D.; Merenlender Wagner, A.; Farkas, P.; Rudnick-Glick, S.; Loupe, P.; Hallak, H. An Evaluation of the Subcutaneous Depot Release of TV-46000, A Novel Long-Acting Injectable (LAI) Formulation of Risperidone, Under Extreme Conditions in Dogs, Minipigs and Humans. Pharmaceutics 2025, 17, 150. https://doi.org/10.3390/pharmaceutics17020150
Steiner L, Bibi D, Merenlender Wagner A, Farkas P, Rudnick-Glick S, Loupe P, Hallak H. An Evaluation of the Subcutaneous Depot Release of TV-46000, A Novel Long-Acting Injectable (LAI) Formulation of Risperidone, Under Extreme Conditions in Dogs, Minipigs and Humans. Pharmaceutics. 2025; 17(2):150. https://doi.org/10.3390/pharmaceutics17020150
Chicago/Turabian StyleSteiner, Lilach, David Bibi, Avia Merenlender Wagner, Pavel Farkas, Safra Rudnick-Glick, Pippa Loupe, and Hussein Hallak. 2025. "An Evaluation of the Subcutaneous Depot Release of TV-46000, A Novel Long-Acting Injectable (LAI) Formulation of Risperidone, Under Extreme Conditions in Dogs, Minipigs and Humans" Pharmaceutics 17, no. 2: 150. https://doi.org/10.3390/pharmaceutics17020150
APA StyleSteiner, L., Bibi, D., Merenlender Wagner, A., Farkas, P., Rudnick-Glick, S., Loupe, P., & Hallak, H. (2025). An Evaluation of the Subcutaneous Depot Release of TV-46000, A Novel Long-Acting Injectable (LAI) Formulation of Risperidone, Under Extreme Conditions in Dogs, Minipigs and Humans. Pharmaceutics, 17(2), 150. https://doi.org/10.3390/pharmaceutics17020150

