In Vitro Human Liver Model for Toxicity Assessment with Clinical and Preclinical Instrumentation
Abstract
1. Introduction
2. Materials and Methods
2.1. Cell Culture Medium
- i.
- Williams E colourless medium (Thermo Fisher Scientific, Waltham, MA, USA) containing 10% foetal bovine serum (FBS) (Thermo Fisher Scientific, USA). L-glutamine (2 mM, Sigma, Saint Louis, MO, USA), penicillin (100 U mL−1, Sigma) and streptomycin (1 mgmL−1, Fluka, Buchs, Switzerland) were also added for optimal cell growth;
- ii.
- A medium based on Williams E’s colourless medium, which we will refer to from now on as Hep medium (Supplementary Table S1). This medium was supplemented with additional amino acid, fatty acids, vitamins and insulin (detail description in Supplementary Table S1). We used Maxgel, a commercial extra cellular matrix (ECM) (Merck KGaA, Darmstadt, Germany).
2.2. Cells
2.3. Toxic Agents
2.4. Analytical Techniques
2.5. Statistical Analysis
3. Results
3.1. Analysis of the Liver Model with Different Feature Combinations
3.1.1. Cell Morphology
3.1.2. Cell-Viability Assessment
3.1.3. Clinical Biochemistry
3.2. Testing the Selected Model with RIF, IBU, 5-FU
3.2.1. Morphology Assessment
3.2.2. Viability Assessment
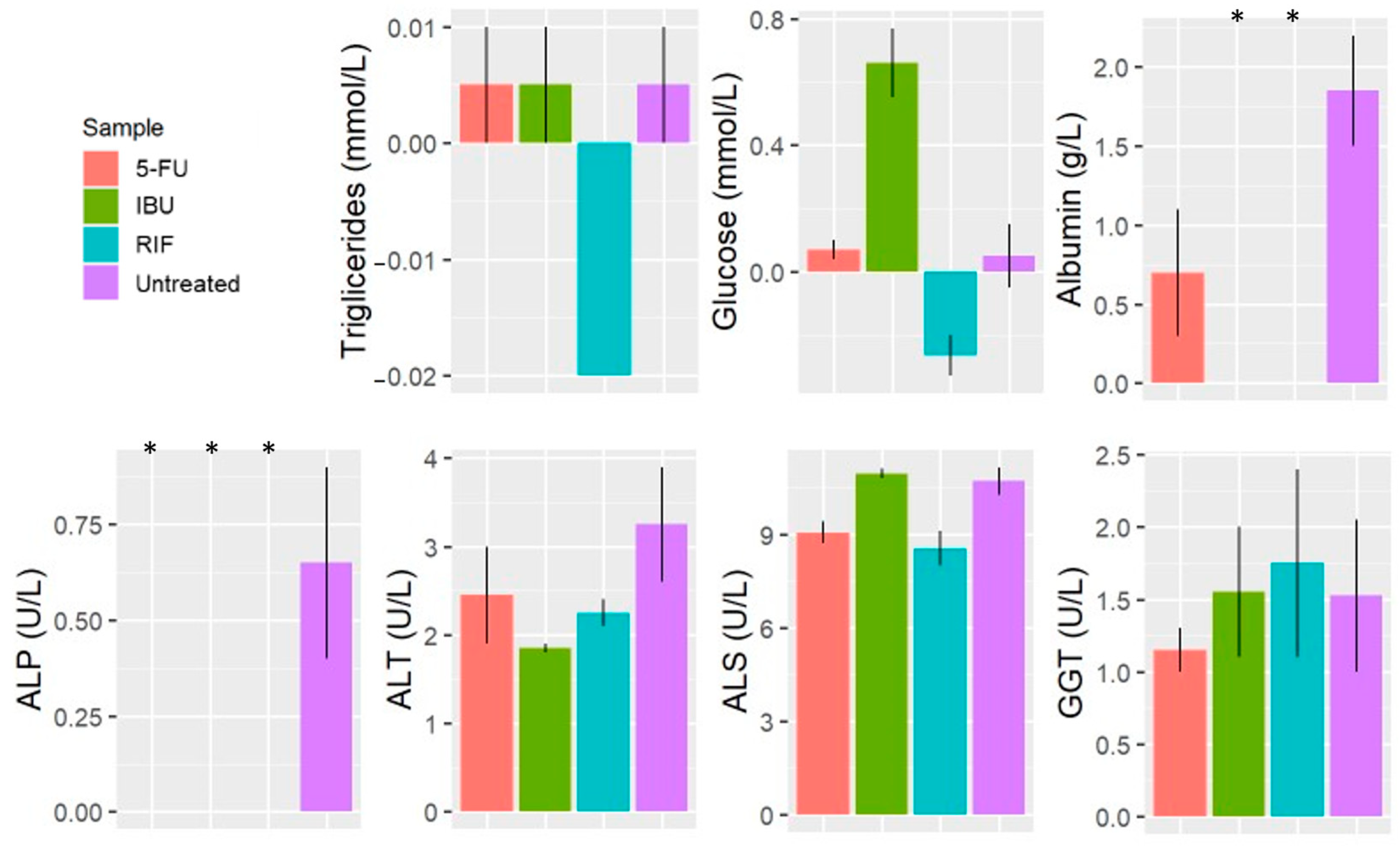
3.2.3. Clinical Biochemistry
4. Discussion
4.1. The Influence of the Features in the Liver Model
4.1.1. The Influence of Cell Culture Media
4.1.2. The Influence of Cell Culture Volume
4.1.3. The Influence of ECM
4.1.4. The Influence of the Proportion of the Cell Types
4.2. Testing the Selected Model
4.2.1. Exposing the Liver Model to 5-FU
4.2.2. Exposing the Liver Model to IBU
4.2.3. Exposing the Liver Model to RIF
4.3. Evaluation of the Liver Model
4.4. Limitations of the Model
5. Conclusions
Supplementary Materials
Author Contributions
Funding
Institutional Review Board Statement
Informed Consent Statement
Data Availability Statement
Conflicts of Interest
References
- Polidoro, M.A.; Ferrari, E.; Marzorati, S.; Lleo, A.; Rasponi, M. Experimental liver models: From cell culture techniques to microfluidic organs-on-chip. Liver Int. 2021, 41, 1744–1761. [Google Scholar] [CrossRef] [PubMed]
- Brooks, A.; Liang, X.; Zhang, Y.; Zhao, C.X.; Roberts, M.S.; Wang, H.; Zhang, L.; Crawford, D.H.G. Liver organoid as a 3D in vitro model for drug validation and toxicity assessment. Pharmacol. Res. 2021, 169, 105608. [Google Scholar] [CrossRef] [PubMed]
- Messelmani, T.; Morisseau, L.; Sakai, Y.; Legallais, C.; Le Goff, A.; Leclerc, E.; Jellali, R. Liver organ-on-chip models for toxicity studies and risk assessment. Lab. Chip 2022, 22, 2423–2450. [Google Scholar] [CrossRef] [PubMed]
- Madorran, E.; Stozer, A.; Bevc, S.; Maver, U. In vitro toxicity model: Upgrades to bridge the gap between preclinical and clinical research. Bosn. J. Basic Med. Sci. 2020, 20, 4378. [Google Scholar] [CrossRef] [PubMed]
- Ouedraogo, M.; Nguyen, A.T.; Duez, P. Methods Applied to the In Vitro Primary Toxicology Testing of Natural Products: State of the Art, Strengths, and Limits. Planta Med. 2014, 80, 1210–1226. [Google Scholar]
- Kharasch, E.D.; Whittington, D.; Hoffer, C.; Krudys, K.; Craig, K.; Vicini, P.; Sheffels, P.; Lalovic, B. Paradoxical role of cytochrome P450 3A in the bioactivation and clinical effects of levo-alpha-acetylmethadol: Importance of clinical investigations to validate in vitro drug metabolism studies. Clin. Pharmacokinet. 2005, 44, 731–751. [Google Scholar] [CrossRef]
- Wiederhold, N.P. Paradoxical echinocandin activity: A limited in vitro phenomenon? Med. Mycol. 2009, 47 (Suppl. S1), S369–S375. [Google Scholar] [CrossRef] [PubMed]
- Yang, P.; Zhao, Y.; Zhao, L.; Yuan, J.; Chen, Y.; Varghese, Z. Paradoxical effect of rapamycin on inflammatory stress-induced insulin resistance in vitro and in vivo. Sci. Rep. 2015, 5, 14959. [Google Scholar] [CrossRef]
- Bowling, J.L.; Katayev, A. An Evaluation of the Roche Cobas c 111. Lab. Med. 2010, 41, 398–402. [Google Scholar] [CrossRef]
- Lauschke, V.M.; Shafagh, R.Z.; Hendriks, D.F.G.; Ingelman-Sundberg, M. 3D Primary Hepatocyte Culture Systems for Analyses of Liver Diseases, Drug Metabolism, and Toxicity: Emerging Culture Paradigms and Applications. Biotechnol. J. 2019, 14, e1800347. [Google Scholar] [CrossRef]
- Yuan, H.X.; Xiong, Y.; Guan, K.L. Nutrient sensing, metabolism, and cell growth control. Mol. Cell 2013, 49, 379–387. [Google Scholar] [CrossRef] [PubMed]
- DeBerardinis, R.J.; Lum, J.J.; Hatzivassiliou, G.; Thompson, C.B. The Biology of Cancer: Metabolic Reprogramming Fuels Cell Growth and Proliferation. Cell Metab. 2008, 7, 11–20. [Google Scholar] [CrossRef]
- Boron, W.F.; Boulpaep, E.L. Medical Physiology. Proc. R. Soc. Med. 2012, 68, 3487. [Google Scholar]
- Boron, W.F.; Boulpaep, E.L. Medical Physiology: A Cellular and Molecular Approach; Saunders Elsevier: Philadelphia, PA, USA, 2012. [Google Scholar]
- Mescher, A.L. Junqueira’s Basic Histology: Text and Atlas, 16th ed.; McGraw Hill: New York, NY, USA, 2021. [Google Scholar]
- Alves-Bezerra, M.; Cohen, D.E. Triglyceride Metabolism in the Liver. Compr. Physiol. 2017, 8, 1–8. [Google Scholar]
- Levitt, D.G.; Levitt, M.D. Human serum albumin homeostasis: A new look at the roles of synthesis, catabolism, renal and gastrointestinal excretion, and the clinical value of serum albumin measurements. Int. J. Gen. Med. 2016, 9, 229–255. [Google Scholar] [CrossRef]
- Chinnici, C.M.; Miceli, V.; Pampalone, M.; Lo Nigro, A.; Amico, G.; Conaldi, P.G. In vitro evidences of epithelial to mesenchymal transition in low cell-density cultured human fetal hepatocytes. Biochem. Biophys. Res. Commun. 2017, 490, 472–479. [Google Scholar] [CrossRef] [PubMed]
- Carotti, S.; Morini, S.; Carpino, G.; Gaudio, E. Liver Histology. In Liver Diseases: A Multidisciplinary Textbook; Radu-Ionita, F., Pyrsopoulos, N.T., Jinga, M., Tintoiu, I.C., Sun, Z., Bontas, E., Eds.; Springer International Publishing: Cham, Switzerland, 2020; pp. 17–28. [Google Scholar]
- Saxena, R.; Theise, N.D.; Crawford, J.M. Microanatomy of the human liver-exploring the hidden interfaces. Hepatology 1999, 30, 1339–1346. [Google Scholar] [CrossRef] [PubMed]
- Trepat, X.; Chen, Z.; Jacobson, K. Cell migration. Compr. Physiol. 2012, 2, 2369–2392. [Google Scholar]
- SenGupta, S.; Parent, C.A.; Bear, J.E. The principles of directed cell migration. Nat. Rev. Mol. Cell Biol. 2021, 22, 529–547. [Google Scholar] [CrossRef]
- Wang, Y.; Kim, M.H.; Shirahama, H.; Lee, J.H.; Ng, S.S.; Glenn, J.S.; Cho, N.J. ECM proteins in a microporous scaffold influence hepatocyte morphology, function, and gene expression. Sci. Rep. 2016, 6, 37427. [Google Scholar] [CrossRef]
- Tsuchida, T.; Friedman, S.L. Mechanisms of hepatic stellate cell activation. Nat. Rev. Gastroenterol. Hepatol. 2017, 14, 397–411. [Google Scholar] [CrossRef]
- Moman, R.N.; Gupta, N.; Varacallo, M. Physiology, Albumin. In StatPearls; StatPearls Publishing LLC.: Treasure Island, FL, USA, 2020. [Google Scholar]
- Akrami, H.; Moradi, B.; Borzabadi Farahani, D.; Mehdizadeh, K. Ibuprofen reduces cell proliferation through inhibiting Wnt/β catenin signaling pathway in gastric cancer stem cells. Cell Biol. Int. 2018, 42, 949–958. [Google Scholar] [CrossRef]
- Sommer, J.; Mahli, A.; Freese, K.; Schiergens, T.S.; Kuecuekoktay, F.S.; Teufel, A.; Thasler, W.E.; Müller, M.; Bosserhoff, A.K.; Hellerbrand, C. Analysis of molecular mechanisms of 5-fluorouracil-induced steatosis and inflammation in vitro and in mice. Oncotarget 2017, 8, 13059–13072. [Google Scholar] [CrossRef]
- Gerets, H.H.J.; Tilmant, K.; Gerin, B.; Chanteux, H.; Depelchin, B.O.; Dhalluin, S.; Atienzar, F.A. Characterization of primary human hepatocytes, HepG2 cells, and HepaRG cells at the mRNA level and CYP activity in response to inducers and their predictivity for the detection of human hepatotoxins. Cell Biol. Toxicol. 2012, 28, 69–87. [Google Scholar] [CrossRef]
- National Institute of Diabetes and Digestive and Kidney Diseases LiverTox: Clinical and Research Information on Drug-Induced Liver Injury [Internet]-Fluorouracil. 2018. Available online: https://www.ncbi.nlm.nih.gov/books/NBK548781/ (accessed on 26 October 2022).
- Alessandrino, F.; Qin, L.; Cruz, G.; Sahu, S.; Rosenthal, M.H.; Meyerhardt, J.A.; Shinagare, A.B. 5-Fluorouracil induced liver toxicity in patients with colorectal cancer: Role of computed tomography texture analysis as a potential biomarker. Abdom. Radiol. 2019, 44, 3099–3106. [Google Scholar] [CrossRef] [PubMed]
- da Silva, M.C.; Fabiano, L.C.; da Costa Salomão, K.C.; de Freitas, P.L.Z.; Neves, C.Q.; Borges, S.C.; de Souza Carvalho, M.d.G.; Breithaupt-Faloppa, A.C.; de Thomaz, A.A.; dos Santos, A.M.; et al. A Rodent Model of Human-Dose-Equivalent 5-Fluorouracil: Toxicity in the Liver, Kidneys, and Lungs. Antioxidants 2023, 12, 1005. [Google Scholar] [CrossRef]
- Eggert, T.; Greten, T.F. Tumor regulation of the tissue environment in the liver. Pharmacol. Ther. 2017, 173, 47–57. [Google Scholar] [CrossRef] [PubMed]
- Merlot, A.M.; Kalinowski, D.S.; Richardson, D.R. Unraveling the mysteries of serum albumin-more than just a serum protein. Front. Physiol. 2014, 5, 299. [Google Scholar] [CrossRef]
- National Institute of Diabetes and Digestive and Kidney Diseases. LiverTox: Clinical and Research Information on Drug-Induced Liver Injury [Internet]-Ibuprofen. 2018. Available online: https://www.ncbi.nlm.nih.gov/books/NBK547845/ (accessed on 26 October 2022).
- de Souza, C.O.; Kurauti, M.A.; de Fatima Silva, F.; de Morais, H.; Curi, R.; Hirabara, S.M.; Rosa Neto, J.C.; de Souza, H.M. Celecoxib and Ibuprofen Restore the ATP Content and the Gluconeogenesis Activity in the Liver of Walker-256 Tumor-Bearing Rats. Cell. Physiol. Biochem. 2015, 36, 1659–1669. [Google Scholar] [CrossRef] [PubMed]
- Hartung, T.; Daston, G. Are In Vitro Tests Suitable for Regulatory Use? Toxicol. Sci. 2009, 111, 233–237. [Google Scholar] [CrossRef]
- Ilic, S.; Drmic, D.; Zarkovic, K.; Kolenc, D.; Brcic, L.; Radic, B.; Djuzel, V.; Blagaic, A.B.; Romic, Z.; Dzidic, S.; et al. Ibuprofen hepatic encephalopathy, hepatomegaly, gastric lesion and gastric pentadecapeptide BPC 157 in rats. Eur. J. Pharmacol. 2011, 667, 322–329. [Google Scholar] [CrossRef] [PubMed]
- Bendele, A.M.; Hulman, J.F.; White, S.; Brodhecker, C.; Bendele, R.A. Hepatocellular proliferation in ibuprofen-treated mice. Toxicol. Pathol. 1993, 21, 15–20. [Google Scholar] [CrossRef] [PubMed]
- Maher, J.J. Cell-specific expression of hepatocyte growth factor in liver. Upregulation in sinusoidal endothelial cells after carbon tetrachloride. J. Clin. Investig. 1993, 91, 2244–2252. [Google Scholar] [CrossRef] [PubMed]
- Brass, E.P.; Garrity, M.J. Effect of nonsteroidal anti-inflammatory drugs on glycogenolysis in isolated hepatocytes. Br. J. Pharmacol. 1985, 86, 491–496. [Google Scholar] [CrossRef] [PubMed]
- Klover, P.J.; Mooney, R.A. Hepatocytes: Critical for glucose homeostasis. Int. J. Biochem. Cell Biol. 2004, 36, 753–758. [Google Scholar] [CrossRef] [PubMed]
- National Institute of Diabetes and Digestive and Kidney Diseases. LiverTox: Clinical and Research Information on Drug-Induced Liver Injury [Internet]-Rifampicin. 2018. Available online: https://www.ncbi.nlm.nih.gov/books/NBK548314/ (accessed on 26 October 2022).
- Zhang, J.; Wei, Y.; Hu, B.; Huang, M.; Xie, W.; Zhai, Y. Activation of human stearoyl-coenzyme A desaturase 1 contributes to the lipogenic effect of PXR in HepG2 cells. PLoS ONE 2013, 8, e67959. [Google Scholar] [CrossRef] [PubMed]
- Wu, Q.; Liu, J.; Wang, X.; Feng, L.; Wu, J.; Zhu, X.; Wen, W.; Gong, X. Organ-on-a-chip: Recent breakthroughs and future prospects. BioMed. Eng. OnLine 2020, 19, 9. [Google Scholar] [CrossRef] [PubMed]
- Soeters, P.B.; Wolfe, R.R.; Shenkin, A. Hypoalbuminemia: Pathogenesis and Clinical Significance. JPEN J. Parenter. Enter. Nutr. 2019, 43, 181–193. [Google Scholar] [CrossRef] [PubMed]
- Siu, J.; McCall, J.; Connor, S. Systematic review of pathophysiological changes following hepatic resection. HPB 2014, 16, 407–421. [Google Scholar] [CrossRef]
- Moriles, K.E.; Azer, S.A. Alanine Amino Transferase. In StatPearls; StatPearls Publishing LLC.: Treasure Island, FL, USA, 2020. [Google Scholar]
- Aulbach, A.D.; Amuzie, C.J. Chapter 17—Biomarkers in Nonclinical Drug Development. In A Comprehensive Guide to Toxicology in Nonclinical Drug Development, 2nd ed.; Faqi, A.S., Ed.; Academic Press: Boston, MA, USA, 2017; pp. 447–471. [Google Scholar]
- Bachhawat, A.K.; Yadav, S. The glutathione cycle: Glutathione metabolism beyond the γ-glutamyl cycle. IUBMB Life 2018, 70, 585–592. [Google Scholar] [CrossRef]
- Lilford, R.J.; Bentham, L.; Girling, A.; Litchfield, I.; Lancashire, R.; Armstrong, D.; Jones, R.; Marteau, T.; Neuberger, J.; Gill, P.; et al. Birmingham and Lambeth Liver Evaluation Testing Strategies (BALLETS): A prospective cohort study. Health Technol. Assess. 2013, 17, i–xiv. [Google Scholar] [CrossRef] [PubMed]
- Lala, V.; Goyal, A.; Bansal, P.; Minter, D.A. Liver Function Tests. In StatPearls; StatPearls Publishing LLC.: Treasure Island, FL, USA, 2020. [Google Scholar]
- Lehmann-Werman, R.; Magenheim, J.; Moss, J.; Neiman, D.; Abraham, O.; Piyanzin, S.; Zemmour, H.; Fox, I.; Dor, T.; Grompe, M.; et al. Monitoring liver damage using hepatocyte-specific methylation markers in cell-free circulating DNA. JCI Insight 2018, 3, e120687. [Google Scholar] [CrossRef] [PubMed]
- Berasain, C.; Arechederra, M.; Argemí, J.; Fernández-Barrena, M.G.; Avila, M.A. Loss of liver function in chronic liver disease: An identity crisis. J. Hepatol. 2023, 78, 401–414. [Google Scholar] [CrossRef]
- Lurie, Y.; Webb, M.; Cytter-Kuint, R.; Shteingart, S.; Lederkremer, G.Z. Non-invasive diagnosis of liver fibrosis and cirrhosis. World J. Gastroenterol. 2015, 21, 11567–11583. [Google Scholar] [CrossRef] [PubMed]
- Arechederra, M.; Recalde, M.; Gárate-Rascón, M.; Fernández-Barrena, M.G.; Ávila, M.A.; Berasain, C. Epigenetic Biomarkers for the Diagnosis and Treatment of Liver Disease. Cancers 2021, 13, 1265. [Google Scholar] [CrossRef] [PubMed]
- Holland, C.H.; Ramirez Flores, R.O.; Myllys, M.; Hassan, R.; Edlund, K.; Hofmann, U.; Marchan, R.; Cadenas, C.; Reinders, J.; Hoehme, S.; et al. Transcriptomic Cross-Species Analysis of Chronic Liver Disease Reveals Consistent Regulation between Humans and Mice. Hepatol. Commun. 2022, 6, 161–177. [Google Scholar] [CrossRef] [PubMed]
- Gallon, J.; Coto-Llerena, M.; Ercan, C.; Bianco, G.; Paradiso, V.; Nuciforo, S.; Taha-Melitz, S.; Meier, M.A.; Boldanova, T.; Pérez-Del-Pulgar, S.; et al. Epigenetic priming in chronic liver disease impacts the transcriptional and genetic landscapes of hepatocellular carcinoma. Mol. Oncol. 2022, 16, 665–682. [Google Scholar] [CrossRef]
- Bhandari, S.; Larsen, A.K.; McCourt, P.; Smedsrød, B.; Sørensen, K.K. The Scavenger Function of Liver Sinusoidal Endothelial Cells in Health and Disease. Front. Physiol. 2021, 12, 757469. [Google Scholar] [CrossRef]







| Group | Share of the Population (%) | Cell-Death Ratio (%) | Share of the Population (%) | Cell-Death Ratio (%) |
|---|---|---|---|---|
| LSEC | HSC | |||
| Control | 4 ± 1% | 2 ± 0% | 5 ± 1% | 2 ± 1% |
| 5-FU | 6 ± 0% | 3 ± 0% | 5 ± 1% | 5 ± 1% |
| IBU | 8 ± 1% | 2 ± 1% | 3 ± 1% | 5 ± 1% |
| RIF | 5 ± 1% | 3 ± 1% | 5 ± 0% | 3 ± 0% |
| Kupffer | Hepatocytes | |||
| Control | 4 ± 0% | 3 ± 1% | 88 ± 1% | 3 ± 1% |
| 5-FU | 2 ± 0% | 12 ± 0% | 87 ± 1% | 4 ± 0% |
| IBU | 2 ± 0% | 12 ± 2% | 88 ± 1% | 2 ± 1% |
| RIF | 3 ± 0% | 8 ± 0% | 88 ± 0% | 2 ± 0% |
Disclaimer/Publisher’s Note: The statements, opinions and data contained in all publications are solely those of the individual author(s) and contributor(s) and not of MDPI and/or the editor(s). MDPI and/or the editor(s) disclaim responsibility for any injury to people or property resulting from any ideas, methods, instructions or products referred to in the content. |
© 2024 by the authors. Licensee MDPI, Basel, Switzerland. This article is an open access article distributed under the terms and conditions of the Creative Commons Attribution (CC BY) license (https://creativecommons.org/licenses/by/4.0/).
Share and Cite
Madorran, E.; Kocbek Šaherl, L.; Rakuša, M.; Munda, M. In Vitro Human Liver Model for Toxicity Assessment with Clinical and Preclinical Instrumentation. Pharmaceutics 2024, 16, 607. https://doi.org/10.3390/pharmaceutics16050607
Madorran E, Kocbek Šaherl L, Rakuša M, Munda M. In Vitro Human Liver Model for Toxicity Assessment with Clinical and Preclinical Instrumentation. Pharmaceutics. 2024; 16(5):607. https://doi.org/10.3390/pharmaceutics16050607
Chicago/Turabian StyleMadorran, Eneko, Lidija Kocbek Šaherl, Mateja Rakuša, and Miha Munda. 2024. "In Vitro Human Liver Model for Toxicity Assessment with Clinical and Preclinical Instrumentation" Pharmaceutics 16, no. 5: 607. https://doi.org/10.3390/pharmaceutics16050607
APA StyleMadorran, E., Kocbek Šaherl, L., Rakuša, M., & Munda, M. (2024). In Vitro Human Liver Model for Toxicity Assessment with Clinical and Preclinical Instrumentation. Pharmaceutics, 16(5), 607. https://doi.org/10.3390/pharmaceutics16050607

