Experimental and Theoretical Design on the Development of Matrix Tablets with Multiple Drug Loadings Aimed at Optimizing Antidiabetic Medication
Abstract
1. Introduction
2. Materials and Methods
2.1. Chemicals and Reagents
2.2. Equipments
2.3. Development of Polymeric Matrix Tablets with Multiple Drug Loading
2.4. Dissolution Studies
- C% = percentage release in the dissolution medium;
- C1% = percentage concentration calculated for the first sampling;
- C2% = percentage concentration calculated in the 2 mL taken previously;
- DF = dilution factor (1 or 2);
- PA = peak area (mAU·min);
- Int and S = intercept and slope of the regression line, respectively;
- A = declared content (mg);
- tx = current sampling time;
- tx − 1 = previous sampling time.
2.5. Statistical Analysis
2.6. Theoretical Design
3. Results and Discussion
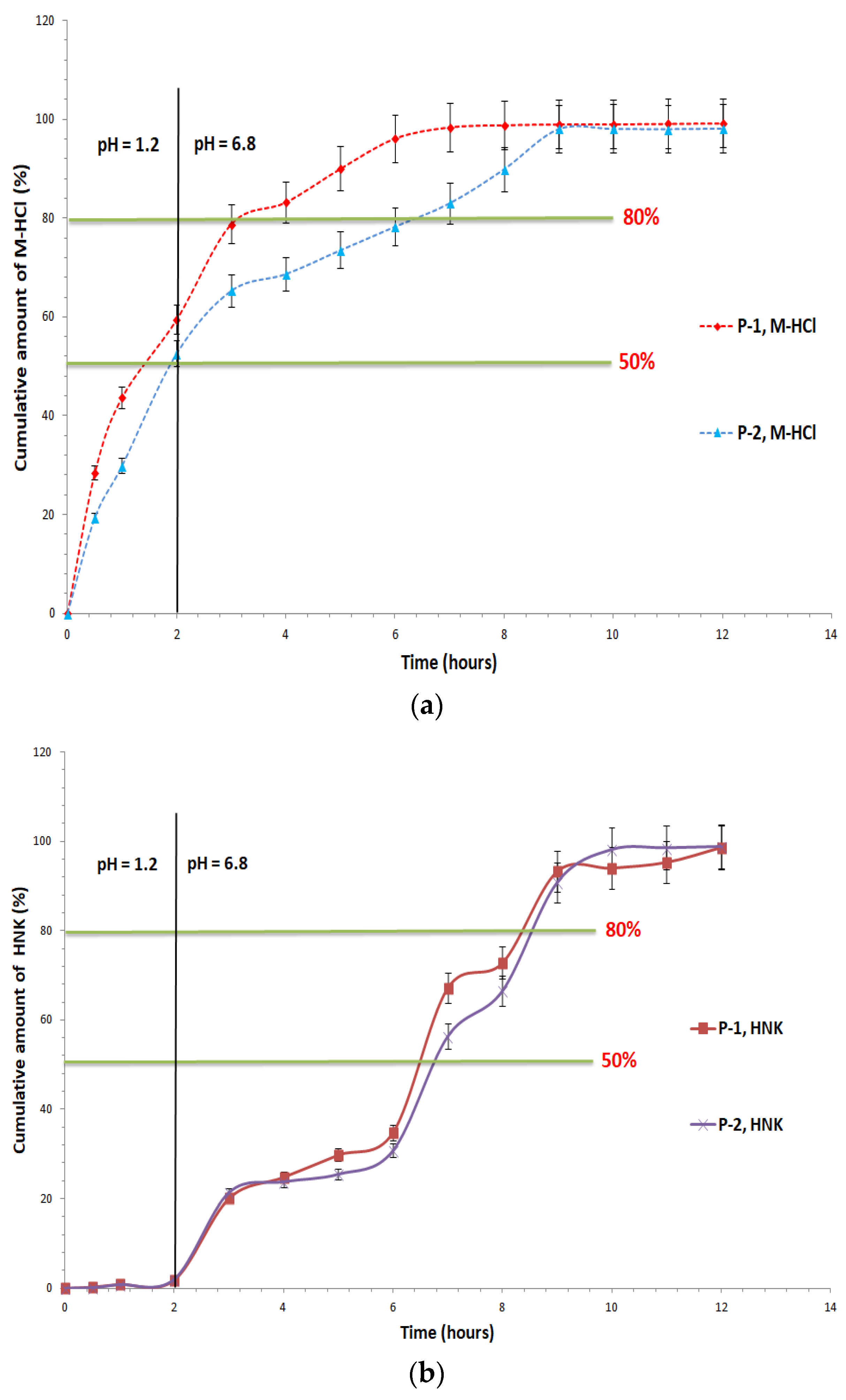
3.1. In Vitro Dissolution Studies
3.2. Theoretical Design
4. Conclusions
Author Contributions
Funding
Institutional Review Board Statement
Informed Consent Statement
Data Availability Statement
Acknowledgments
Conflicts of Interest
Abbreviations
| DAD | Diode Array Detector |
| HNK | Honokiol |
| HPLC | High-Performance Liquid Chromatography |
| M-HCl | Metformin Hydrochloride |
| US | United States of America |
References
- International Diabetes Federation (IDF). IDF Diabetes Atlas, 10th Edition. 2021. Available online: https://diabetesatlas.org/idfawp/resource-files/2021/07/IDF_Atlas_10th_Edition_2021.pdf (accessed on 28 May 2024).
- Dahlén, A.D.; Dashi, G.; Maslov, I.; Attwood, M.M.; Jonsson, J.; Trukhan, V.; Schiöth, H.B. Trends in Antidiabetic Drug Discovery: FDA Approved Drugs, New Drugs in Clinical Trials and Global Sales. Front. Pharmacol. 2022, 12, 807548. [Google Scholar] [CrossRef] [PubMed]
- Mishra, V.; Nayak, P.; Sharma, M.; Albutti, A.; Alwashmi, A.S.S.; Aljasir, M.A.; Alsowayeh, N.; Tambuwala, M.M. Emerging Treatment Strategies for Diabetes Mellitus and Associated Complications: An Update. Pharmaceutics 2021, 13, 1568. [Google Scholar] [CrossRef]
- Li, J.; Lian, H. Recent development of single preparations and fixed-dose combination tablets for the treatment of non-insulin-dependent diabetes mellitus. Arch. Pharm. Res. 2016, 39, 731–746. [Google Scholar] [CrossRef]
- Dwivedi, A.; Ghosal, S.; Mishra, M.K.; Bansal, S.; Dubey, D. Evaluation of Mangifera indica gum as a sustained release polymer in glibenclamide matrix tablet. Eur. Chem. Bull. 2023, 12, 4098–4114. [Google Scholar] [CrossRef]
- Vilar, G.; Puche, J.T.; Albericio, F. Polymers and drug delivery systems. Curr. Drug Deliv. 2012, 9, 367–394. [Google Scholar] [CrossRef] [PubMed]
- European Directorate for the Quality of Medicines and HealthCare. European Pharmacopoeia, 11th ed.; Council of Europe: Strasbourg, France, 2023. [Google Scholar]
- Bibi, T.; Bano, S.; ud Din, F.; Ali, H.; Khan, S. Preparation, characterization, and pharmacological application of oral honokiol-loaded solid lipid nanoparticles for diabetic neuropathy. Int. J. Pharm. 2023, 645, 123399. [Google Scholar] [CrossRef]
- Mottaghi, S.; Abbaszadeh, H. Natural Lignans Honokiol and Magnolol as Potential Anticarcinogenic and Anticancer Agents. A Comprehensive Mechanistic Review. Nutr. Cancer 2022, 74, 761–778. [Google Scholar] [CrossRef]
- Rauf, A.; Khan, S.A.; Olatunde, A.; Imran, M.; Alhumaydhi, F.A.; Aljohani, A.S.M.; Uddin, M.S.; Mitra, S.; Emran, T.B.; Khayrullin, M.; et al. Honokiol: A review of its pharmacological potential and therapeutic insights. Phytomedicine 2021, 90, 153647. [Google Scholar] [CrossRef]
- Sha’at, M.; Spac, A.F.; Stoleriu, I.; Bujor, A.; Cretan, M.S.; Hartan, M.; Ochiuz, L. Implementation of QbD Approach to the Analytical Method Development and Validation for the Estimation of Metformin Hydrochloride in Tablet Dosage Forms by HPLC. Pharmaceutics 2022, 14, 1187. [Google Scholar] [CrossRef] [PubMed]
- Soukas, A.A.; Hao, H.; Wu, L. Metformin as Anti-Aging Therapy: Is It for Everyone? Trends Endocrinol. Metab. 2019, 30, 745–755. [Google Scholar] [CrossRef] [PubMed]
- Usach, I.; Alaimo, A.; Fernández, J.; Ambrosini, A.; Mocini, S.; Ochiuz, L.; Peris, J.-E. Magnolol and Honokiol: Two Natural Compounds with Similar Chemical Structure but Different Physicochemical and Stability Properties. Pharmaceutics 2021, 13, 224. [Google Scholar] [CrossRef] [PubMed]
- Wu, X.; Chen, X.; Hu, Z. High-performance liquid chromatographic method for simultaneous determination of honokiol and magnolol in rat plasma. Talanta 2003, 59, 115–121. [Google Scholar] [CrossRef]
- Godugu, C.; Doddapaneni, R.; Singh, M. Honokiol nanomicellar formulation produced increased oral bioavailability and anticancer effects in triple negative breast cancer (TNBC). Colloids Surf. B 2017, 153, 208–219. [Google Scholar] [CrossRef]
- Qian, Z.; Chen, J.; Lei, Q.; Tan, G.; Zou, Y.; Peng, G.; Xie, J.; Li, W. Rapid determination of multiple components in herbal medicine using a single reference compound by high-performance liquid chromatography at equal absorption wavelength: Case study of Magnoliae officinalis cortex. Sep. Sci. Plus 2024, 7, 2300071. [Google Scholar] [CrossRef]
- Gedawy, A.; Al-Salami, H.; Dass, C.R. Development and validation of a new analytical HPLC method for simultaneous determination of the antidiabetic drugs, metformin and gliclazide. J. Food Drug. Anal. 2019, 27, 315–322. [Google Scholar] [CrossRef] [PubMed]
- Available online: https://www.lubrizol.com/-/media/Lubrizol/Health/Literature/Pentoxifylline-400-mg-Extended-Release.pdf (accessed on 3 November 2024).
- Romanian Pharmacopoeia Commission National Medicines Agency. Romanian Pharmacopoeia, 10th ed.; Medical Publishing House: Bucharest, Romania, 1993. [Google Scholar]
- International Conference on Harmonisation of Technical Requirements for Registration of Pharmaceuticals for Human Use. ICH Topic Q2 (R1). Validation of Analytical Procedures: Text and Methodology. Step 5. Available online: https://www.ema.europa.eu/en/documents/scientific-guideline/ich-q-2-r1-validation-analytical-procedures-text-methodology-step-5_en.pdf (accessed on 15 March 2024).
- International Conference on Harmonisation of Technical Requirements for Registration of Pharmaceuticals for Human Use. ICH Topic Q2 (R2). Validation of Analytical Procedures: Text and Methodology, European Medicines Agency. Step 5, Committee for Medicinal Products for Human Use, EMA/CHMP/ICH/82072/2006, December 2023. Available online: https://www.ema.europa.eu/en/documents/scientific-guideline/ich-q2r2-guideline-validation-analytical-procedures-step-5-revision-1_en.pdf (accessed on 15 March 2024).
- Azar, A.T. (Ed.) Modeling and Control of Drug Delivery Systems; Academic Press: Cambridge, MA, USA, 2021. [Google Scholar] [CrossRef]
- Costa, P.; Sousa Lobo, J.M. Modeling and comparison of dissolution profiles. Eur. J. Pharm. Sci. 2001, 13, 123–133. [Google Scholar] [CrossRef] [PubMed]
- Sinka, D.; Hagymási, A.; Fehér, P.; Ujhelyi, Z.; Vecsernyés, M.; Fenyvesi, F.; Váradi, J.; Vasvári, G.; Jurca, T.; Nemeth, S.; et al. Critical Evaluation of Modified-Release Formulation Containing Silybum Marianum Extract for Oral Application. Farmacia 2019, 67, 806–819. [Google Scholar] [CrossRef]
- Siepmann, J.; Peppas, N.A. Modeling of drug release from delivery systems based on hydroxypropyl methylcellulose (HPMC). Adv. Drug Deliv. Rev. 2001, 48, 139–157. [Google Scholar] [CrossRef]
- Iftime, M.M.; Dobreci, D.L.; Irimiciuc, S.A.; Agop, M.; Petrescu, T.; Doroftei, B. A theoretical mathematical model for assessing diclofenac release from chitosan-based formulations. Drug Deliv. 2020, 27, 1125–1133. [Google Scholar] [CrossRef] [PubMed]
- Ailincai, D.; Agop, M.; Marinas, I.C.; Zala, A.; Irimiciuc, S.A.; Dobreci, L.; Petrescu, T.C.; Volovat, C. Theoretical Model for the Diclofenac Release from PEGylated Chitosan Hydrogels. Drug Deliv. 2021, 28, 261–271. [Google Scholar] [CrossRef]
- Iurciuc, C.E.; Popa, M.; Atanase, L.I.; Popa, O.; Ochiuz, L.; Postolache, P.; Ghizdovat, V.; Irimiciuc, S.A.; Agop, M.; Volovat, C.; et al. Multi-fractal modeling of curcumin release mechanism from polymeric nanomicelles. Drug Deliv. 2022, 29, 2883–2896. [Google Scholar] [CrossRef]
- Nottale, L. Scale Relativity and Fractal Space-Time: A New Approach to Unifying Relativity and Quantum Mechanics; Imperial College Press: London, UK, 2011; pp. 403–425. Available online: https://books.google.com/books?id=bPZpDQAAQBAJ&printsec=frontcover#v=onepage&q&f=false (accessed on 3 September 2024).
- Agop, M.; Paun, V.P. On the New Perspectives of the Fractal Theory. Fundaments and Applications; Romanian Academy Publishing House: Bucharest, Romania, 2017. [Google Scholar]
- Merches, I.; Agop, M. Differentiability and Fractality in Dynamics of Physical Systems; World Scientific: Hackensack, NJ, USA, 2016; Available online: https://books.google.com/books?hl=en&lr=&id=NOSiCgAAQBAJ&oi=fnd&pg=PR7&ots=HEB93TaFw7&sig=3sZX6z45ddYur6oVvpb9AXZiIaw&redir_esc=y#v=onepage&q&f=false (accessed on 3 September 2024).
- Cristescu, C.P. Nonlinear Dynamics and Chaos. Theoretical Fundaments and Applications; Romanian Academy Publishing House: Bucharest, Romania, 2008. [Google Scholar]
- Takebe, T. Complex Elliptic Integrals. In Elliptic Integrals and Elliptic Functions; Gorodentsev, A.L., Ed.; Moscow Lectures: Moscow, Russia; Springer: Cham, Switzerland, 2023; Volume 9, pp. 135–147. [Google Scholar] [CrossRef]
- Bar-Yam, Y. Dynamics of Complex Systems; The Advanced Book Program; Addison-Wesley: Reading, MA, USA, 1997; Available online: https://fernandonogueiracosta.wordpress.com/wp-content/uploads/2015/08/yaneer-bar-yam-dynamics-of-complex-systems.pdf (accessed on 3 September 2024).
- Saviuc, A.; Gîrțu, M.; Topliceanu, L.; Petrescu, T.-C.; Agop, M. “Holographic Implementations” in the Complex Fluid Dynamics through a Fractal Paradigm. Mathematics 2021, 9, 2273. [Google Scholar] [CrossRef]
- Agop, M.; Gavrilut, A.; Grigoras-Ichim, C.; Toma, S.; Petrescu, T.C.; Irimiciuc, S.A. Toward Interactions through Information in a Multifractal Paradigm. Entropy 2020, 22, 987. [Google Scholar] [CrossRef]


Disclaimer/Publisher’s Note: The statements, opinions and data contained in all publications are solely those of the individual author(s) and contributor(s) and not of MDPI and/or the editor(s). MDPI and/or the editor(s) disclaim responsibility for any injury to people or property resulting from any ideas, methods, instructions or products referred to in the content. |
© 2024 by the authors. Licensee MDPI, Basel, Switzerland. This article is an open access article distributed under the terms and conditions of the Creative Commons Attribution (CC BY) license (https://creativecommons.org/licenses/by/4.0/).
Share and Cite
Sha’at, M.; Ochiuz, L.; Rusu, C.M.; Agop, M.; Barsan, A.; Cretan, M.S.; Hartan, M.; Spac, A.F. Experimental and Theoretical Design on the Development of Matrix Tablets with Multiple Drug Loadings Aimed at Optimizing Antidiabetic Medication. Pharmaceutics 2024, 16, 1595. https://doi.org/10.3390/pharmaceutics16121595
Sha’at M, Ochiuz L, Rusu CM, Agop M, Barsan A, Cretan MS, Hartan M, Spac AF. Experimental and Theoretical Design on the Development of Matrix Tablets with Multiple Drug Loadings Aimed at Optimizing Antidiabetic Medication. Pharmaceutics. 2024; 16(12):1595. https://doi.org/10.3390/pharmaceutics16121595
Chicago/Turabian StyleSha’at, Mousa, Lacramioara Ochiuz, Cristina Marcela Rusu, Maricel Agop, Alexandra Barsan (Bujor), Monica Stamate Cretan, Mihaela Hartan, and Adrian Florin Spac. 2024. "Experimental and Theoretical Design on the Development of Matrix Tablets with Multiple Drug Loadings Aimed at Optimizing Antidiabetic Medication" Pharmaceutics 16, no. 12: 1595. https://doi.org/10.3390/pharmaceutics16121595
APA StyleSha’at, M., Ochiuz, L., Rusu, C. M., Agop, M., Barsan, A., Cretan, M. S., Hartan, M., & Spac, A. F. (2024). Experimental and Theoretical Design on the Development of Matrix Tablets with Multiple Drug Loadings Aimed at Optimizing Antidiabetic Medication. Pharmaceutics, 16(12), 1595. https://doi.org/10.3390/pharmaceutics16121595

