Arginine Hydrochloride Reduce Rectal Mucosal Irritation of Sodium Aescinate: Molecular Docking, Physical Properties, Anti-Hemorrhoidal Activity, Safety and Topical Gel Formulations Investigation
Abstract
1. Introduction
2. Materials and Methods
2.1. Materials
2.2. Animals
2.3. Formulation of Gel
2.4. Molecular Docking
2.5. Property Assessment of the SA Gels
2.5.1. Organoleptic Evaluation
2.5.2. pH Measurement
2.5.3. Centrifugation Stability Test
2.5.4. Spreadability Test
2.5.5. Viscosity Test
2.6. Rectal Irritation Test
2.7. Aiti-Inflammatory Activity
2.7.1. Xylene-Induced Ear Swelling in Mice
2.7.2. Histamine-Induced Capillary Permeability in Rats
2.8. Anti-Hemorrhoidal Activity
2.8.1. Croton Oil Caused Anus Swelling in Rats
2.8.2. Acetic Acid-Induced Anal Ulcer in Rabbits
- 1 point: ulcer bleeding (++) and significant ulcer exudate (+++);
- 2 points: moderate ulcer exudate (++) and slight ulcer bleeding (+);
- 3 points: slight ulcer exudate (+);
- 4 points: scab formation, indicating near-complete healing.
2.9. Acute Toxicity
2.10. Dermal Sensitivity Studies
2.11. Statistical Analysis
3. Results and Discussion
3.1. Molecular Docking Analysis
3.2. Physical Properties Evaluation of the SA Gels
3.2.1. pH
3.2.2. Centrifugation
3.2.3. Viscosity
3.2.4. Spreadability
3.3. Exploring the Optimal Arg·HCl Concentration
3.3.1. Evaluation of F1–F6 SA Gels on Rectal Irritation Test
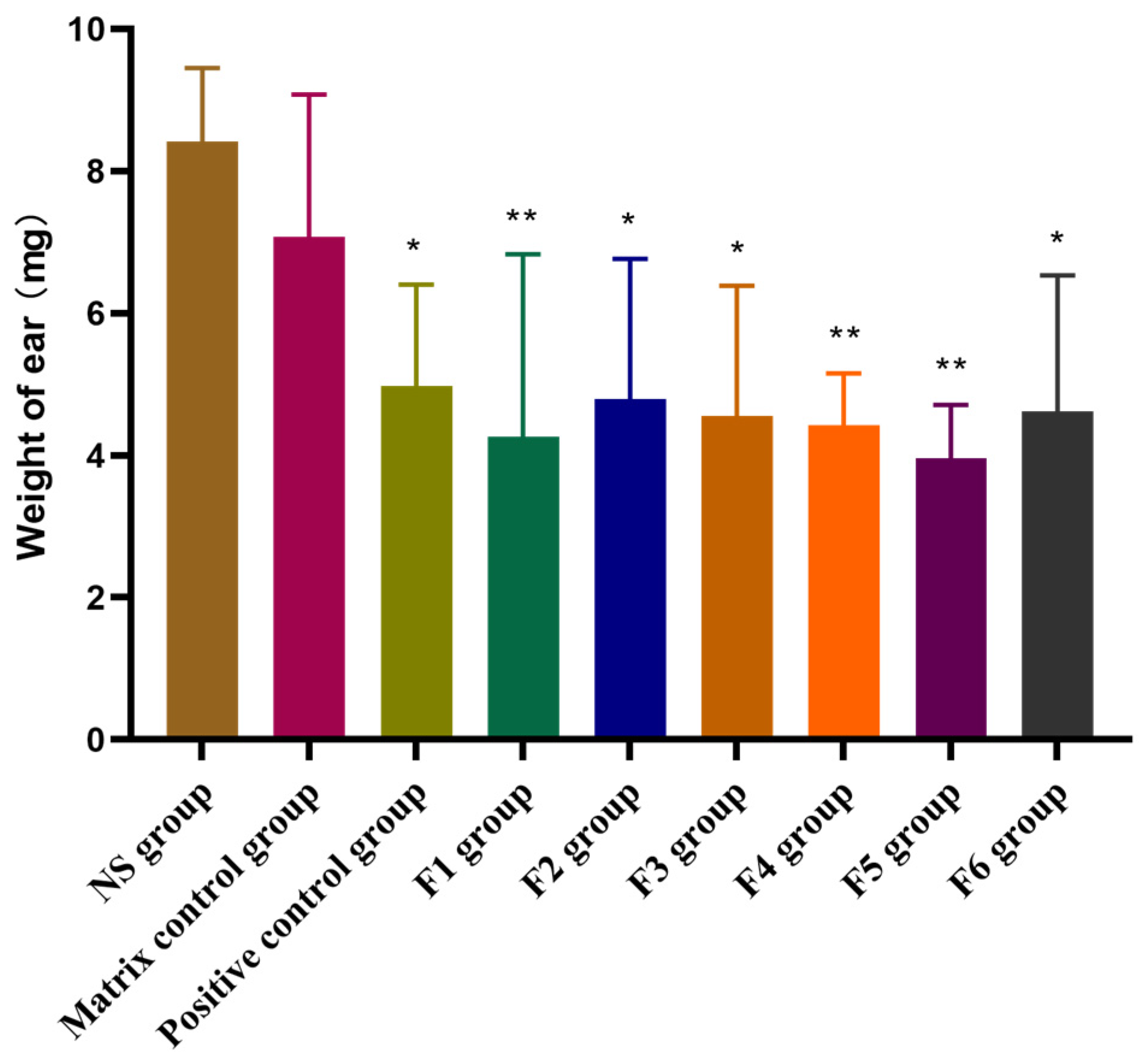
3.3.2. Evaluation of F1~F6 SA Gels on Xylene-Induced Ear Swelling
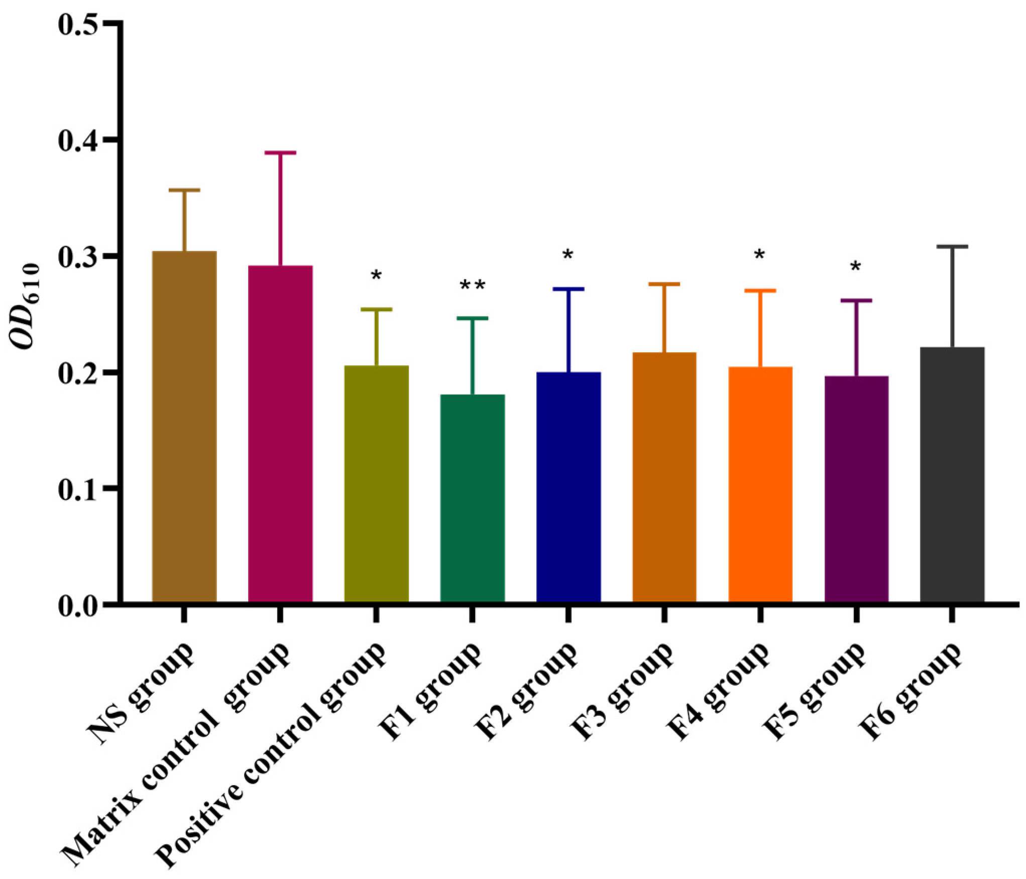
3.3.3. Evaluation of F1~F6 SA Gels on Histamine-Induced Capillary Permeability
3.4. Anti-Hemorrhoidal Activity Investigation
3.4.1. Evaluation of F5-SA Gel on Croton Oil-Caused Anus Swelling in Rats
3.4.2. Evaluation of F5-SA Gel on Acetic Acid-Induced Anal Ulcer in Rabbits
3.5. Evaluation of F5-SA Gel on Acute Toxicity
3.6. Evaluation of F5-SA Gel on Dermal Sensitivity
4. Conclusions
Author Contributions
Funding
Institutional Review Board Statement
Informed Consent Statement
Data Availability Statement
Acknowledgments
Conflicts of Interest
References
- Bombardelli, E.; Morazzoni, P.; Griffini, A. Aesculus hippocastanum L. Fitoterapia 1996, 67, 483–511. [Google Scholar]
- Wulff, G.; Tschesche, R. Triterpenes. XXVI. On the structure of the horse-chestnut saponin (aescin) and the aglicones of various glycosides. Tetrahedron 1969, 25, 415–436. [Google Scholar] [CrossRef]
- Costantini, A. Escin in pharmaceutical oral dosage forms: Quantitative densitometric HPTLC determination. Farmaco 1999, 54, 728–732. [Google Scholar] [CrossRef]
- Rathbun, S.W.; Kirkpatrick, A.C. Treatment of chronic venous insufficiency. Curr. Treat. Options Cardiovasc. Med. 2007, 9, 115–126. [Google Scholar] [CrossRef]
- Sirtori, C.R. Aescin: Pharmacology, pharmacokinetics and therapeutic profile. Pharmacol. Res. 2001, 44, 183–192. [Google Scholar] [CrossRef]
- Wang, J.; Wang, H.; Xu, H.; Li, J.; Zhang, X.; Zhang, X. Solid lipid nanoparticles as an effective sodium aescinate delivery system: Formulation and anti-inflammatory activity. RSC Adv. 2022, 12, 6583–6591. [Google Scholar] [CrossRef] [PubMed]
- Lang, W. Studies on the percutaneous absorption of 3H-aescin in pigs. Res. Exp. Med. 1977, 169, 175–187. [Google Scholar] [CrossRef]
- Farré, R.; Fiorani, M.; Rahiman, S.A.; Matteoli, G. Intestinal permeability, inflammation and the role of nutrients. Nutrients 2020, 12, 1185. [Google Scholar] [CrossRef] [PubMed]
- Rainsford, K.D.; Whitehouse, M.W. Non-steroid anti-inflammatory drugs: Combined assay for anti-edemic potency and gastric ulcerogenesis in the same animal. Life Sci. 1977, 21, 371–377. [Google Scholar] [CrossRef]
- McDonald, A.; Dekanski, J.B.; Gottfried, S.; Parke, D.V.; Sacra, P. Effects of blood glucose levels on aspirin-induced gastric mucosal damage. Am. J. Dig. Dis. 1977, 22, 909–914. [Google Scholar] [CrossRef]
- Okabe, S.; Takeuchi, K.; Nakamura, K.; Takagi, K. Pathogenesis of gastric lesions induced by aspirin in the pylorus-ligated rat. Jap. J. Pharmacol. 1974, 24, 363–371. [Google Scholar] [CrossRef] [PubMed]
- Lim, J.K.; Narang, P.K.; Overman, D.O.; Jacknowitz, A.I. Beneficial effects of methionine and histidine in aspirin solutions on gastric mucosal damage in rats. J. Pharm. Sci. 1979, 68, 295. [Google Scholar] [CrossRef] [PubMed]
- Yaginuma, H.; Nakata, T.; Toya, H.; Murakami, T.; Yumazaki, M.; Kamada, A.; Shimazu, H.; Makita, I. Rectal delivery of antiinflammatory drugs. II. The influence of basic amino acid salts on rectal absorption of diclofenac. Chem. Pharm. Bull. 1981, 29, 3326–3333. [Google Scholar] [CrossRef] [PubMed]
- Sakiroff, L.; Chennell, P.; Yessaad, M.; Pereira, B.; Bouattour, Y.; Sautou, V. Evaluation of color changes during stability studies using spectrophotometric chromaticity measurements versus visual examination. Sci. Rep. 2022, 12, 8959. [Google Scholar] [CrossRef]
- Stolić Jovanović, A.; Martinović, M.; Žugić, A.; Nešić, I.; Tosti, T.; Blagojević, S.; Tadić, V.M. Derivatives of L-ascorbic acid in emulgel: Development and comprehensive evaluation of the topical delivery system. Pharmaceutics 2023, 15, 813. [Google Scholar] [CrossRef]
- Krishnappa, M.; Abraham, S.; Furtado, S.C.; Krishnamurthy, S.; Rifaya, A.; Asiri, Y.I.; Chidambaram, K.; Pavadai, P. An Integrated computational and experimental approach to formulate Tamanu oil bigels as anti-scarring agent. Pharmaceuticals 2024, 17, 102. [Google Scholar] [CrossRef]
- Ud Din, F.; Mustapha, O.; Kim, D.W.; Rashid, R.; Park, J.H.; Choi, J.Y.; Ku, S.K.; Yong, C.S.; Kim, J.O.; Choi, H. Novel dual-reverse thermosensitive solid lipid nanoparticle-loaded hydrogel for rectal administration of flurbiprofen with improved bioavailability and reduced initial burst effect. Eur. J. Pharm. Biopharm. 2015, 94, 64–72. [Google Scholar] [CrossRef]
- Zhao, S.Q.; Xu, S.-Q.; Cheng, J.; Cao, X.-L.; Zhang, Y.; Zhou, W.-P.; Huang, Y.-J.; Wang, J.; Ho, X.-M. Anti-inflammatory effect of external use of escin on cutaneous inflammation: Possible involvement of glucocorticoids receptor. Chin. J. Nat. Med. 2018, 16, 105–112. [Google Scholar] [CrossRef]
- Nishiki, K.; Nishinaga, K.; Kudoh, D.; Iwa, K. Croton oil-induced hemorrhoid model in rat: Comparison of anti- inflammatory activity of diflucortolone valerate with other glucocorticoids. Nihon Yakurigaku Zasshi 1988, 92, 215–225. [Google Scholar] [CrossRef]
- Azeemuddin, M.; Viswanatha, G.L.; Rafiq, M.; Thippeswamy, A.H.; Baig, M.R.; Kavya, K.J.; Patki, P.S.; Shyam, R. An improved experimental model of hemorrhoids in rats: Evaluation of antihemorrhoidal activity of an herbal formulation. ISRN Pharmacol. 2014, 2014, 530931. [Google Scholar] [CrossRef]
- Xu, X.; Li, X.; Zhang, L.; Liu, Z.; Pan, Y.; Chen, D.; Bin, D.; Deng, Q.; Sun, Y.; Hoffman, R.M.; et al. Enhancement of wound healing by the traditional chinese medicine herbal mixture Sophora flavescens in a rat model of perianal ulceration. Vivo 2017, 31, 543–549. [Google Scholar]
- Yamamoto, A.; Harano, S.; Shinya, N.; Nagano, A.; Miyatsu, Y.; Sawabe, K.; Matsumura, T.; Ato, M.; Takahashi, M.; Taki, H.; et al. Freeze-dried equine-derived redback spider antivenom: A local irritation study by intramuscular injection in rabbits and a repeated-dose toxicity study in rats. J. Toxicol. Pathol. 2018, 31, 105–112. [Google Scholar] [CrossRef] [PubMed]
- Watson, E.S.; Murphy, J.C.; King, B.S.; Harland, E.C. Antigenicity and cutaneous toxicity of N-(4′-(9-Acridinylamino)-3-methoxyphenyl)-methanesulfonamide (AMSA; NSC-249992) in guinea pigs and rabbit. Toxicol. Appl. Pharm. 1981, 59, 476–482. [Google Scholar] [CrossRef] [PubMed]
- Childs, S.L.; Stahly, G.P.; Park, A. The salt-cocrystal continuum: The influence of crystal structure on ionization state. Mol. Pharm. 2007, 4, 323–338. [Google Scholar] [CrossRef]
- Sandeep, D.S.; Mahitha, M.; Meghna, S. Development, characterization, and in vitro evaluation of Aceclofenac Emulgel. Asian J. Pharm. 2020, 14, 1–7. [Google Scholar]
- García-Villegas, A.; Fernández-Ochoa, Á.; Rojas-García, A.; Alañón, M.E.; Arráez-Román, D.; Cádiz-Gurrea, M.D.L.L.; Segura-Carretero, A. The potential of Mangifera indica L. peel extract to be revalued in cosmetic applications. Antioxidants 2023, 12, 1892. [Google Scholar] [CrossRef]
- Xavier-Santos, J.B.; Passos, J.G.R.; Gomes, J.A.S.; Cruz, J.V.C.; Alves, J.S.F.; Garcia, V.B.; da Silva, R.M.; Lopes, N.P.; Araujo-Junior, R.F.; Zucolotto, S.M.; et al. Topical gel containing phenolic-rich extract from Ipomoea pes-capre leaf (Convolvulaceae) has anti-inflammatory, wound healing, and antiophidic properties. Biomed. Pharmacother. 2022, 149, 112921. [Google Scholar] [CrossRef]
- Opatha, S.A.T.; Titapiwatanakun, V.; Boonpisutiinant, K.; Chutoprapat, R. Preparation, characterization and permeation study of topical gel loaded with transfersomes containing asiatic acid. Molecules 2022, 27, 4865. [Google Scholar] [CrossRef]
- Szulc-Musioł, B.; Dolińska, B.; Kołodziejska, J.; Ryszka, F. Influence of plasma on the physical properties of ointments with quercetin. Acta Pharm. 2017, 67, 569–578. [Google Scholar] [CrossRef]
- Guo, D.; Yang, J.; Ling, F.; Tu, L.; Li, J.; Chen, Y.; Zou, K.; Zhu, L.; Hou, X. Elemental diet enriched with amino acids alleviates mucosal inflammatory response and prevents colonic epithelial barrier dysfunction in mice with DSS-induced chronic colitis. J. Immunol. Res. 2020, 2020, 9430763. [Google Scholar] [CrossRef]
- Cheng, W.; Li, J.; You, T.; Hu, C. Anti-inflammatory and immunomodulatory activities of the extracts from the inflorescence of Chrysanthemum indicum Linné. J. Ethnopharmacol. 2005, 101, 334–337. [Google Scholar] [CrossRef] [PubMed]
- Olajide, O.A.; Awe, S.O.; Makinde, J.M.; Ekhelar, A.I.; Olusola, A.; Morebise, O.; Okpako, D.T. Studies on the anti-inflammatory, antipyretic and analgesic properties of Alstonia boonei stem bark. J. Ethnopharmacol. 2000, 71, 179–186. [Google Scholar] [CrossRef] [PubMed]
- Jin, L.; Liu, J.; Wang, S.; Zhao, L.; Li, J. Evaluation of 20(S)-ginsenoside Rg3 loaded hydrogel for the treatment of perianal ulcer in a rat model. J. Ginseng Res. 2022, 46, 771–779. [Google Scholar] [CrossRef] [PubMed]











| Ingredients | F1 | F2 | F3 | F4 | F5 | F6 |
|---|---|---|---|---|---|---|
| SA (g) | 2 | 2 | 2 | 2 | 2 | 2 |
| Arg·HCl (g) | 0 | 1 | 2 | 6 | 12 | 20 |
| CMC-Na (g) | 2.0 | 2.0 | 2.0 | 2.0 | 2.0 | 2.0 |
| HPMC (g) | 0.5 | 0.5 | 0.5 | 0.5 | 0.5 | 0.5 |
| Glycerol (g) | 10 | 10 | 10 | 10 | 10 | 10 |
| Propylene glycol (g) | 5 | 5 | 5 | 5 | 5 | 5 |
| Edetate disodium (g) | 0.01 | 0.01 | 0.01 | 0.01 | 0.01 | 0.01 |
| Ethylparaben (g) | 0.1 | 0.1 | 0.1 | 0.1 | 0.1 | 0.1 |
| Water (g) | q.s 100 g | |||||
| Parameters | F1 | F2 | F3 | F4 | F5 | F6 |
|---|---|---|---|---|---|---|
| pH | 7.00 ± 0.08 | 6.85 ± 0.05 | 6.56 ± 0.10 | 6.16 ± 0.06 | 6.00 ± 0.07 | 5.85 ± 0.03 |
| Viscosity (cps) | 378.4 ± 0.65 | 383.8 ± 0.36 | 390.8 ± 0.92 | 402.3 ± 0.86 | 411.2 ± 0.45 | 422.5 ± 0.63 |
| Spreadability (cm) | 4.37 ± 0.26 | 4.03 ± 0.36 | 3.84 ± 0.20 | 3.71 ± 0.30 | 3.50 ± 0.25 | 3.30 ± 0.15 |
| Weight | Group I | Group II |
|---|---|---|
| Initial weight (kg) | 2.356 ± 0.076 | 2.310 ± 0.092 |
| Day 1 weight (kg) | 2.373 ± 0.036 | 2.310 ± 0.088 |
| Day 2 weight (kg) | 2.413 ± 0.033 | 2.338 ± 0.114 |
| Day 5 weight (kg) | 2.465 ± 0.038 | 2.413 ± 0.154 |
| Day 7 weight (kg) | 2.457 ± 0.047 | 2.432 ± 0.140 |
| Day 10 weight (kg) | 2.566 ± 0.051 | 2.516 ± 0.140 |
| Day 14 weight (kg) | 2.606 ± 0.076 | 2.614 ± 0.154 |
| Body weight gain (%) | 10.61 | 13.16 |
| Mortality | No | No |
| Food Intake | Group I (g/kg) | Group II (g/kg) |
|---|---|---|
| Initial day | 64.1 ± 1.3 | 64.3 ± 3.0 |
| Day 0 | 62.0 ± 3.0 | 46.2 ± 14.7 * |
| Day 1 | 62.8 ± 1.0 | 59.8 ± 9.8 |
| Day 2 | 59.1 ± 4.1 | 58.6 ± 13.1 |
| Day 5 | 59.7 ± 0.8 | 54.8 ± 14.4 |
| Day 7 | 60.6 ± 1.3 | 57.5 ± 7.8 |
| Day 10 | 57.7 ± 2.9 | 57.8 ± 2.7 |
| Day 14 | 58.2 ± 1.9 | 57.2 ± 2.3 |
| Group | No (n) | Before the Experiment | Last Sensitization | After the Experiment | Body Weight Gain |
|---|---|---|---|---|---|
| Matrix control (g) | 10 | 335 ± 29 | 439 ± 28 | 522 ± 46 | 188 ± 42 |
| Positive control (g) | 10 | 329 ± 20 | 431 ± 18 | 504 ± 36 | 175 ± 24 |
| F5-SA gel (g) | 10 | 330 ± 25 | 427 ± 40 | 512 ± 63 | 182 ± 49 |
| Group | No (n) | Average Score | Animals with Allergic Reactions (n) | Sensitization Rate (%) | |||||||||
|---|---|---|---|---|---|---|---|---|---|---|---|---|---|
| 1 h | 24 h | 48 h | 72 h | 1 h | 24 h | 48 h | 72 h | 1 h | 24 h | 48 h | 72 h | ||
| Matrix control | 10 | 0 | 0 | 0 | 0 | 0 | 0 | 0 | 0 | 0 | 0 | 0 | 0 |
| Positive control | 10 | 3.8 | 2.8 | 1.5 | 0.6 | 10 | 10 | 10 | 6 | 100 | 100 | 100 | 60 |
| F5-SA gel | 10 | 0 | 0 | 0 | 0 | 0 | 0 | 0 | 0 | 0 | 0 | 0 | 0 |
Disclaimer/Publisher’s Note: The statements, opinions and data contained in all publications are solely those of the individual author(s) and contributor(s) and not of MDPI and/or the editor(s). MDPI and/or the editor(s) disclaim responsibility for any injury to people or property resulting from any ideas, methods, instructions or products referred to in the content. |
© 2024 by the authors. Licensee MDPI, Basel, Switzerland. This article is an open access article distributed under the terms and conditions of the Creative Commons Attribution (CC BY) license (https://creativecommons.org/licenses/by/4.0/).
Share and Cite
Hu, D.; Zeng, Q.; Wang, H.; Jiang, W. Arginine Hydrochloride Reduce Rectal Mucosal Irritation of Sodium Aescinate: Molecular Docking, Physical Properties, Anti-Hemorrhoidal Activity, Safety and Topical Gel Formulations Investigation. Pharmaceutics 2024, 16, 1498. https://doi.org/10.3390/pharmaceutics16121498
Hu D, Zeng Q, Wang H, Jiang W. Arginine Hydrochloride Reduce Rectal Mucosal Irritation of Sodium Aescinate: Molecular Docking, Physical Properties, Anti-Hemorrhoidal Activity, Safety and Topical Gel Formulations Investigation. Pharmaceutics. 2024; 16(12):1498. https://doi.org/10.3390/pharmaceutics16121498
Chicago/Turabian StyleHu, Di, Qiuyang Zeng, Huanrong Wang, and Wei Jiang. 2024. "Arginine Hydrochloride Reduce Rectal Mucosal Irritation of Sodium Aescinate: Molecular Docking, Physical Properties, Anti-Hemorrhoidal Activity, Safety and Topical Gel Formulations Investigation" Pharmaceutics 16, no. 12: 1498. https://doi.org/10.3390/pharmaceutics16121498
APA StyleHu, D., Zeng, Q., Wang, H., & Jiang, W. (2024). Arginine Hydrochloride Reduce Rectal Mucosal Irritation of Sodium Aescinate: Molecular Docking, Physical Properties, Anti-Hemorrhoidal Activity, Safety and Topical Gel Formulations Investigation. Pharmaceutics, 16(12), 1498. https://doi.org/10.3390/pharmaceutics16121498
