Silibinin-Loaded Liposomes: The Influence of Modifications on Physicochemical Characteristics, Stability, and Bioactivity Associated with Dermal Application
Abstract
1. Introduction
2. Materials and Methods
2.1. Reagents
2.2. Cell Culture
2.3. Preparation of the Liposomes
2.3.1. Sonication of the Liposomes
2.3.2. UV Irradiation of the Liposomes
2.3.3. Lyophilization of the Liposomes
2.4. Determination of the Encapsulation Efficiency
2.5. Photon Correlation Spectroscopy and Storage Stability
2.6. Density, Surface Tension, and Viscosity Analyses
2.7. FT-IR and Raman Spectroscopy
2.8. Antioxidant Capacity of the Liposomes
2.8.1. ABTS Assay
2.8.2. DPPH Assay
2.9. Assays on Cell Culture
2.9.1. Treatments Preparation
2.9.2. Cytotoxicity Evaluation
2.9.3. H2DCFDA Assay (2′,7′-Dichlorofluorescin Diacetate)
2.9.4. Determination of Protein Expression Using the CELISA (CELL-BASED ELISA) Method
2.10. Statistical Analysis
3. Results
3.1. Encapsulation Efficiency in the Silibinin-Loaded Liposomes
3.2. The Particle Size, PDI, Zeta Potential, Conductivity, and Mobility of the Silibinin-Loaded Liposomes
3.3. Storage Stability of the Silibinin-Loaded Liposomes
3.4. The Density, Surface Tension, and Viscosity of the Silibinin-Loaded Liposomes
3.5. FT-IR Study
- (1)
- The disappearance of the ethylenic bond was observed as a decrease in the peak intensity at 3010 cm−1 (Figure 2),
- (2)
- The change of the peak structure in the region 1600–1750 cm−1 related to carbonyl groups stretch vibration of different origins (ester, carboxy, aldehyde carbonyl, etc.) (Figure S3),
- (3)
3.6. Raman Spectra
3.7. ABTS and DPPH Radical Scavenging Potential of Silibinin-Loaded Liposomes
3.8. Cytotoxicity of Silibinin-Loaded Liposomes
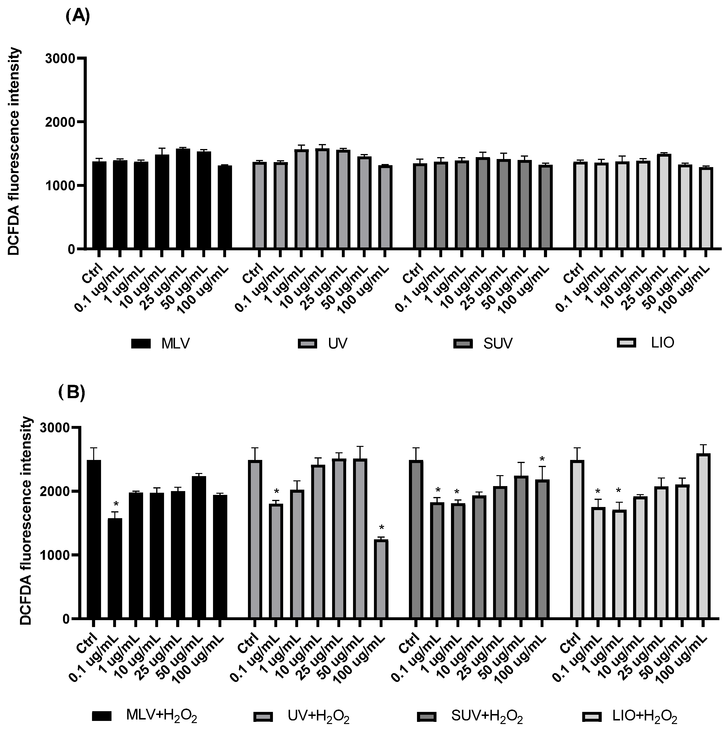
3.9. Antioxidative Effect of Silibinin-Loaded Liposomes in H2O2-Induced Oxidative Stress
3.10. Anti-Inflammatory Potential of Silibinin-Loaded Liposomes
4. Discussion
5. Conclusions
Supplementary Materials
Author Contributions
Funding
Institutional Review Board Statement
Informed Consent Statement
Data Availability Statement
Acknowledgments
Conflicts of Interest
References
- Michalak, M. Plant extracts as skin care and therapeutic agents. Int. J. Mol. Sci. 2023, 24, 15444. [Google Scholar] [CrossRef] [PubMed]
- Ibrahim, N.’I.; Wong, S.K.; Mohamed, I.N.; Mohamed, N.; Chin, K.Y.; Ima-Nirwana, S.; Shuid, A.N. Wound healing properties of selected natural products. Int. J. Environ. Res. Public Health 2018, 15, 2360. [Google Scholar] [CrossRef] [PubMed]
- Zhang, Z.; Li, X.; Sang, S.; McClements, D.J.; Chen, L.; Long, J.; Jiao, A.; Wang, J.; Jin, Z.; Qiu, C. A review of nanostructured delivery systems for the encapsulation, protection, and delivery of silymarin: An emerging nutraceutical. Food Res. Int. 2022, 156, 111314. [Google Scholar] [CrossRef] [PubMed]
- Singh, R.P.; Agarwal, R. Flavonoid antioxidant silymarin and skin cancer. Antioxid. Redox Signal. 2002, 4, 655–663. [Google Scholar] [CrossRef]
- Singh, R.P.; Agarwal, R. Cosmeceuticals and silibinin. Clin. Dermatol. 2009, 27, 479–484. [Google Scholar] [CrossRef]
- Liu, C.H.; Jassey, A.; Hsu, H.Y.; Lin, L.T. Antiviral activities of silymarin and derivatives. Molecules 2019, 24, 1552. [Google Scholar] [CrossRef]
- Zhao, F.; Li, X. Evaluation of immunomodulatory activity of silymarin extract from Silybum marianum in mice of health food. Int. J. Food Process. Technol. 2015, 8, 278–282. [Google Scholar] [CrossRef]
- Ahmad, U.; Akhtar, J.; Singh, S.P.; Ahmad, F.J.; Siddiqui, S. Silymarin nanoemulsion against human hepatocellular carcinoma: Development and optimization. Artif. Cells Nanomed. Biotechnol. 2018, 46, 231–241. [Google Scholar] [CrossRef]
- Verdura, S.; Cuyàs, E.; Ruiz-Torres, V.; Micol, V.; Joven, J.; Bosch-Barrera, J.; Menendez, J.A. Lung cancer management with silibinin: A historical and translational perspective. Pharmaceuticals 2021, 14, 559. [Google Scholar] [CrossRef]
- Singh, R.P.; Dhanalakshmi, S.; Tyagi, A.K.; Chan, D.C.; Agarwal, C.; Agarwal, R. Dietary feeding of silibinin inhibits advance human prostate carcinoma growth in athymic nude mice and increases plasma insulin-like growth factor-binding protein-3 levels. Cancer Res. 2002, 62, 3063–3069. [Google Scholar]
- Song, X.Y.; Liu, P.C.; Liu, W.W.; Hayashi, T.; Mizuno, K.; Hattori, S.; Fujisaki, H.; Ikejima, T. Protective effects of silibinin against ethanol- or acetaldehyde-caused damage in liver cell lines involve the repression of mitochondrial fission. Toxicol. In Vitro 2022, 80, 105330. [Google Scholar] [CrossRef] [PubMed]
- García-Viñuales, S.; Ilie, I.M.; Santoro, A.M.; Romanucci, V.; Zarrelli, A.; Di Fabio, G.; Caflisch, A.; Milardi, D. Silybins inhibit human IAPP amyloid growth and toxicity through stereospecific interactions. Biochim. Biophys. Acta Proteins Proteom. 2022, 1870, 140772. [Google Scholar] [CrossRef] [PubMed]
- Matsumura, Y.; Ananthaswamy, H.N. Toxic effects of ultraviolet radiation on the skin. Toxicol. Appl. Pharmacol. 2004, 195, 298–308. [Google Scholar] [CrossRef] [PubMed]
- Mohammadi, M.; Ariafar, S.; Talebi-Ghane, E.; Afzali, S. Comparative efficacy of silibinin and nano-silibinin on lead poisoning in Male Wistar rats. Toxicology 2022, 475, 153242. [Google Scholar] [CrossRef] [PubMed]
- Ephrem, E.; Najjar, A.; Charcosset, C.; Greige-Gerges, H. Encapsulation of natural active compounds, enzymes, and probiotics for fruit juice fortification, preservation, and processing: An overview. J. Funct. Foods 2018, 48, 65–84. [Google Scholar] [CrossRef]
- Jovanović, A.; Balanč, B.; Djordjević, V.; Ota, A.; Skrt, M.; Šavikin, K.; Bugarski, B.; Nedović, V.; Poklar-Ulrih, N. Effect of gentisic acid on the structural-functional properties of liposomes incorporating β-sitosterol. Colloids Surf. B Biointerfaces 2019, 183, 110422. [Google Scholar] [CrossRef]
- Kalušević, A.; Salević, A.; Jovanović, A.; Trifković, K.; Veljović, M.; Pravilović, R.; Nedović, V. Encapsulation of plant extracts in Encapsulation. In Food Processing and Fermentation; Lević, S., Nedović, V., Bugarski, B., Eds.; Taylor & Francis Group: London, UK, 2022; pp. 172–203. [Google Scholar] [CrossRef]
- Desai, K.; Park, H. Recent developments in microencapsulation of food ingredients. Dry. Technol. 2005, 23, 1361–1394. [Google Scholar] [CrossRef]
- Isailović, B.; Kostić, I.; Zvonar, A.; Đorđević, V.; Gašperlin, M.; Nedović, V.; Bugarski, B. Resveratrol loaded liposomes produced by different techniques. Innov. Food Sci. Emerg. Technol. 2013, 19, 181–189. [Google Scholar] [CrossRef]
- Mozafari, M.; Johanson, C.; Hatziantoniou, S.; Demetzos, C. Nanoliposomes and their applications in food nanotechnology. J. Liposome Res. 2008, 18, 309–327. [Google Scholar] [CrossRef]
- Taylor, T.; Davidson, P.; Bruce, D.; Weiss, J. Liposomal nanocapsules in food science and agriculture. Crit. Rev. Food Sci. Nutr. 2005, 45, 587–605. [Google Scholar] [CrossRef]
- Jash, A.; Ubeyitogullari, A.; Rizvi, S. Liposomes for oral delivery of protein and peptide-based therapeutics: Challenges, formulation strategies, and advances. J. Mater. Chem. B 2021, 9, 4773–4792. [Google Scholar] [CrossRef] [PubMed]
- Lee, M.-K. Liposomes for enhanced bioavailability of water-insoluble drugs: In vivo evidence and recent approaches. Pharm. 2020, 12, 264. [Google Scholar] [CrossRef] [PubMed]
- Shade, C.W. Liposomes as advanced delivery systems for nutraceuticals. Integr. Med. 2016, 15, 33–36. [Google Scholar] [PubMed]
- Srinivasan, V.; Chavan, S.; Jain, U.; Tarwadi, K. Liposomes for Nanodelivery Systems in Food Products. In Nanoscience for Sustainable Agriculture; Pudake, R., Chauhan, N., Kole, C., Eds.; Springer: Cham, Switzerland, 2019; pp. 627–638. [Google Scholar] [CrossRef]
- Akbarzadeh, A.; Rezaei-Sadabady, R.; Davaran, S.; Joo, S.W.; Zarghami, N.; Hanifehpour, Y.; Samiei, M.; Kouhi, M.; Nejati-Koshki, K. Liposome: Classification, preparation, and applications. Nanoscale Res. Lett. 2013, 8, 102. [Google Scholar] [CrossRef]
- Huang, X.; Caddell, R.; Yu, B.; Xu, S.; Theobald, B.; Lee, L.J.; Lee, R.J. Ultrasound-enhanced microfluidic synthesis of liposomes. Anticancer Res. 2010, 30, 463–466. [Google Scholar] [CrossRef]
- Jovanović, A.; Balanč, B.; Ota, A.; Pegi, A.; Djordjević, V.; Šavikin, K.; Bugarski, B.; Nedović, V.; Poklar-Ulrih, N. Comparative effects of cholesterol and β-sitosterol on the liposome membrane characteristics. Eur. J. Lipid Sci. Technol. 2018, 120, 1–41. [Google Scholar] [CrossRef]
- Castañeda-Reyes, E.D.; Perea-Flores, M.J.; Davila-Ortiz, G.; Lee, Y.; de Mejia, E.G. Development, characterization and use of liposomes as amphipathic transporters of bioactive compounds for melanoma treatment and reduction of skin inflammation: A review. Int. J. Nanomed. 2020, 15, 7627–7650. [Google Scholar] [CrossRef]
- Yao, W.; Liu, C.; Wang, N.; Zhou, H.; Shafiq, F.; Yu, S.; Qiao, W. O-nitrobenzyl liposomes with dual-responsive release capabilities for drug delivery. J. Mol. Liq. 2021, 334, 116016. [Google Scholar] [CrossRef]
- Munin, A.; Edwards-Lévy, F. Encapsulation of natural polyphenolic compounds; A review. Pharmaceutics 2011, 3, 793–829. [Google Scholar] [CrossRef]
- Fang, Z.; Bhandari, B. Encapsulation of polyphenols—A review. Trends Food Sci. Technol. 2010, 21, 510–523. [Google Scholar] [CrossRef]
- Jovanović, A.A.; Balanč, B.; Volić, M.; Pećinar, I.; Živković, J.; Šavikin, K.P. Rosehip extract-loaded liposomes for potential skin application: Physicochemical properties of non- and UV-irradiated liposomes. Plants 2023, 12, 3063. [Google Scholar] [CrossRef] [PubMed]
- Petrović, S.; Taćić, A.; Savić, S.; Nikolić, V.; Nikolić, L.; Savić, S. Sulfanilamide in solution and liposome vesicles; In vitro release and UV-stability studies. Saudi Pharm. J. 2017, 25, 1194–1200. [Google Scholar] [CrossRef]
- Zuhair, R.A.; Aminah, A.; Sahilah, A.M. Effect of extraction solvents on the phenolic content and antioxidant properties of two papaya cultivars. J. Med. Plant Res. 2013, 7, 3354–3359. [Google Scholar] [CrossRef]
- Pirković, A.; Vilotić, A.; Borozan, S.; Nacka-Aleksić, M.; Bojić-Trbojević, Ž.; Krivokuća, M.J.; Battino, M.; Giampieri, F.; Dekanski, D. Oleuropein attenuates oxidative stress in human trophoblast cells. Antioxidants 2023, 12, 197. [Google Scholar] [CrossRef] [PubMed]
- Bruić, M.; Pirković, A.; Borozan, S.; Nacka Aleksić, M.; Jovanović Krivokuća, M.; Spremo-Potparević, B. Antioxidative and anti-inflammatory effects of taxifolin in H2O2-induced oxidative stress in HTR-8/SVneo trophoblast cell line. Reprod. Toxicol. 2024, 126, 108585. [Google Scholar] [CrossRef]
- Bojić-Trbojević, Ž.; Božić, M.; Vićovac, L. Steroid hormones modulate galectin-1 in the trophoblast HTR-8/SVneocell line. Arch. Biol. Sci. 2008, 60, 11–23. [Google Scholar] [CrossRef]
- Tian, M.; Han, J.; Ye, A.; Liu, W.; Xu, X.; Yao, Y.; Li, K.; Kong, Y.; Wei, F.; Zhou, W. Structural characterization and biological fate of lactoferrin-loaded liposomes during simulated infant digestion. J. Sci. Food Agric. 2019, 99, 2677–2684. [Google Scholar] [CrossRef]
- Nakhaei, P.; Margiana, R.; Bokov, D.O.; Abdelbasset, W.K.; Jadidi Kouhbanani, M.A.; Varma, R.S.; Marofi, F.; Jarahian, M.; Beheshtkhoo, N. Liposomes: Structure, biomedical applications, and stability parameters with emphasis on cholesterol. Front. Bioeng. Biotechnol. 2021, 9, 705886. [Google Scholar] [CrossRef]
- Rahdar, A.; Sayyadi, K.; Sayyadi, J.; Yaghobi, Z. Nano-gels: A versatile nano-carrier platform for drug delivery systems: A mini review. Nanomed. Res. J. 2019, 4, 1–9. [Google Scholar] [CrossRef]
- Chadorshabi, S.; Hallaj-Nezhadi, S.; Ghasempour, Z. Liposomal system based on lyophilization of a monophase solution for stabilization of bioactives from red onion skin. LWT 2022, 172, 114174. [Google Scholar] [CrossRef]
- Hamadou, A.H.; Huang, W.C.; Xue, C.; Mao, X. Formulation of vitamin C encapsulation in marine phospholipids nanoliposomes: Characterization and stability evaluation during long term storage. LWT Food Sci. Technol. 2020, 127, 109439. [Google Scholar] [CrossRef]
- Lewis, R.N.A.H.; McElhaney, R.N. Structures of the subgel phases of n-saturated diacyl phosphatidylcholine bilayers: FTIR spectroscopic studies of 13C=O and 2H labeled lipids. Biophys. J. 1992, 61, 63–77. [Google Scholar] [CrossRef] [PubMed][Green Version]
- Batinić, P.; Đorđević, V.; Stevanović, S.; Balanč, B.; Marković, S.; Luković, N.; Mijin, D.; Bugarski, B. Formulation and characterization of novel liposomes containing histidine for encapsulation of a poorly soluble vitamin. J. Drug Deliv. Sci. Technol. 2020, 59, 101920. [Google Scholar] [CrossRef]
- Murru, C.; Badía-Laíño, R.; Díaz-García, M.E. Oxidative stability of vegetal oil-based lubricants. ACS Sustain. Chem. Eng. 2021, 9, 1459–1476. [Google Scholar] [CrossRef] [PubMed]
- Lazzari, M.; Chiantore, O. Drying and oxidative degradation of linseed oil. Polym. Degrad. Stab. 1999, 65, 303–313. [Google Scholar] [CrossRef]
- Sun, L.; Wang, H.; Du, J.; Wang, T.; Yu, D. Ultrasonic-assisted extraction of grape seed procyanidins, preparation of liposomes, and evaluation of their antioxidant capacity. Ultrason. Sonochem. 2024, 105, 106856. [Google Scholar] [CrossRef]
- Narayanapillai, S.; Agarwal, C.; Tilley, C.; Agarwal, R. Silibinin is a potent sensitizer of UVA radiation-induced oxidative stress and apoptosis in human keratinocyte HaCaT cells. Photochem. Photobiol. 2012, 88, 1135–1140. [Google Scholar] [CrossRef]
- Dhanalakshmi, S.; Mallikarjuna, G.U.; Singh, R.P.; Agarwal, R. Silibinin prevents ultraviolet radiation-caused skin damages in SKH-1 hairless mice via a decrease in thymine dimer positive cells and an up-regulation of p53-p21/Cip1 in epidermis. Carcinogenesis 2004, 25, 1459–1465. [Google Scholar] [CrossRef]
- Medina-Torres, L.; Santiago-Adame, R.; Calderas, F.; Gallegos-Infante, J.A.; González-Laredo, R.F.; Rocha-Guzmán, N.E.; Núñez-Ramírez, D.M.; Bernad-Bernad, M.J.; Manero, O. Microencapsulation by spray drying of laurel infusions (Litsea glaucescens) with maltodextrin. Ind. Crops Prod. 2016, 90, 1–8. [Google Scholar] [CrossRef]
- Czamara, K.; Majzner, K.; Pacia, M.Z.; Kochan, K.; Kaczor, A.; Baranska, M. Raman spectroscopy of lipids: A review. J. Raman Spectrosc. 2015, 46, 4–20. [Google Scholar] [CrossRef]
- Jovanović, A.A.; Ćujić, D.; Stojadinović, B.; Čutović, N.; Živković, J.; Šavikin, K. Liposomal bilayer as a carrier of Rosa canina L. seed oil: Physicochemical characterization, stability, and biological potential. Molecules 2023, 28, 276. [Google Scholar] [CrossRef] [PubMed]
- Šeremet, D.; Štefančić, M.; Petrović, P.; Kuzmić, S.; Doroci, S.; Mandura Jarić, A.; Vojvodić Cebin, A.; Pjanović, R.; Komes, D. Development, characterization and incorporation of alginate-plant protein covered liposomes containing ground ivy (Glechoma hederacea L.) extract into candies. Foods 2022, 11, 1816. [Google Scholar] [CrossRef] [PubMed]
- Vasić, D.; Špirović Trifunović, B.; Pećinar, I.; Paunović, D.; Popović-Djordjević, J. Chemical characterization of Rosa canina L. rosehip seed: Application of Raman spectroscopy and gas chromatography. Biol. Life Sci. Forum 2021, 3, 50. [Google Scholar] [CrossRef]
- Qiu, J.; Hou, H.-Y.; Yang, I.-S.; Chen, X.-B. Raman spectroscopy analysis of free fatty acid in olive oil. Appl. Sci. 2019, 9, 4510. [Google Scholar] [CrossRef]
- Lee, C.; Bain, C.D. Raman spectra of planar supported lipid bilayers. Biochim. Biophys. Acta Biomembr. 2005, 1711, 59–71. [Google Scholar] [CrossRef]
- Tan, J.M.; Karthivashan, G.; Arulselvan, P.; Fakurazi, S.; Hussein, M.Z. Characterization and in vitro sustained release of silibinin from pH responsive carbon nanotube-based drug delivery system. J. Nanomater. 2014, 2014, 439873. [Google Scholar] [CrossRef]
- Solís-Gómez, A.; Sato-Berrú, R.Y.; Mata-Zamora, M.E.; Saniger, J.M.; Guirado-López, R.A. Characterizing the properties of anticancer silibinin and silybin B complexes with UV–Vis, FT-IR, and Raman spectroscopies: A combined experimental and theoretical study. J. Mol. Struct. 2019, 1182, 109–118. [Google Scholar] [CrossRef]
- Chotphruethipong, L.; Hutamekalin, P.; Sukketsiri, W.; Benjakul, S. Effects of sonication and ultrasound on properties and bioactivities of liposomes loaded with hydrolyzed collagen from defatted sea bass skin conjugated with epigallocatechin gallate. J. Food Biochem. 2021, 45, e13809. [Google Scholar] [CrossRef]
- Guldiken, B.; Gibis, M.; Boyacioglu, D.; Capanoglu, E.; Weiss, J. Physical and chemical stability of anthocyanin-rich black carrot extract-loaded liposomes during storage. Int. Food Res. J. 2018, 108, 491–497. [Google Scholar] [CrossRef]
- Ghanbarzadeh, S.; Valizadeh, H.; Zakeri-Milani, P. The effects of lyophilization on the physico-chemical stability of sirolimus liposomes. Adv. Pharm. Bull. 2013, 3, 25–29. [Google Scholar] [CrossRef]
- Sharma, K.; Nilsuwan, K.; Ma, L.; Benjakul, S. Effect of liposomal encapsulation and ultrasonication on debittering of protein hydrolysate and plastein from salmon frame. Foods 2023, 12, 761. [Google Scholar] [CrossRef] [PubMed]
- Chen, C.; Han, D.; Cai, C.; Tang, X. An overview of liposome lyophilization and its future potential. J. Control. Release 2010, 142, 299–311. [Google Scholar] [CrossRef] [PubMed]
- Chen, C.; Han, D.; Zhang, Y.; Yuan, Y.; Tang, X. The freeze-thawed and freeze-dried stability of cytarabine-encapsulated multivesicular liposomes. Int. J. Pharm. 2010, 387, 147–153. [Google Scholar] [CrossRef] [PubMed]
- Morais, H.A.; da Silva Barbosa, C.M.; Delvivo, F.M.; Mansur, H.S.; de Oliveira, C.M.; Silvestre, M.P.C. Comparative study of microencapsulation of casein hydrolysates in lipospheres and liposomes. J. Food Biochem. 2004, 28, 21–41. [Google Scholar] [CrossRef]
- Silva, R.; Ferreira, H.; Little, C.; Cavaco-Paulo, A. Effect of ultrasound parameters for unilamellar liposome preparation. Ultrason. Sonochem. 2010, 17, 628–632. [Google Scholar] [CrossRef]
- Wong-Ekkabut, J.; Xu, Z.; Triampo, W.; Tang, I.M.; Tieleman, D.P.; Monticelli, L. Effect of lipid peroxidation on the properties of lipid bilayers: A molecular dynamics study. Biophys. J. 2007, 93, 4225–4236. [Google Scholar] [CrossRef]
- Toopkanloo, S.P.; Tan, T.B.; Abas, F.; Azam, M.; Nehdi, I.A.; Tan, C.P. Improving vesicular integrity and antioxidant activity of novel mixed soy lecithin-based liposomes containing squalene and their stability against UV light. Molecules 2020, 25, 5873. [Google Scholar] [CrossRef]
- Lopez-Polo, J.; Silva-Weiss, A.; Giménez, B.; Cantero-López, P.; Vega, R.; Osorio, F.A. Effect of lyophilization on the physicochemical and rheological properties of food grade liposomes that encapsulate rutin. Food Res. Int. 2020, 130, 108967. [Google Scholar] [CrossRef]
- Arias-Alpizar, G.; Kong, L.; Vlieg, R.C.; Rabe, A.; Papadopoulou, P.; Meijer, M.S.; Bonnet, S.; Vogel, S.; van Noort, J.; Kros, A.; et al. Light-triggered switching of liposome surface charge directs delivery of membrane impermeable payloads in vivo. Nat. Commun. 2020, 11, 3638. [Google Scholar] [CrossRef]
- Hosseini, S.F.; Ramezanzade, L.; Nikkhah, M. Nano-liposomal entrapment of bioactive peptidic fraction from fish gelatin hydrolysate. Int. J. Biol. Macromol. 2017, 105, 1455–1463. [Google Scholar] [CrossRef]
- Bouarab, L.; Maherani, B.; Kheirolomoom, A.; Hasan, M.; Aliakbarian, B.; Linder, M.; Arab-Tehrany, E. Influence of lecithin–lipid composition on physico-chemical properties of nanoliposomes loaded with a hydrophobic molecule. Colloids Surf. B Biointerfaces 2014, 115, 197–204. [Google Scholar] [CrossRef] [PubMed]
- Froude, V.E.; Zhu, Y. Dielectrophoresis of functionalized lipid unilamellar vesicles (liposomes) with contrasting surface constructs. J. Phys. Chem. B 2009, 113, 1552–1558. [Google Scholar] [CrossRef] [PubMed]
- Duffy, C.; Gafoor, S.; Richards, D.; Admadzadeh, H.; O’Kennedy, R.; Arriaga, E. Determination of properties of individual liposomes by capillary electrophoresis with postcolumn laser-induced fluorescence detection. Anal. Chem. 2001, 73, 1855–1861. [Google Scholar] [CrossRef] [PubMed]
- Yang, D.; Wang, X.; Gan, L.; Zhang, H.; Shin, J.; Lee, K.; Hong, S. Effects of flavonoid glycosides obtained from a Ginkgo biloba extract fraction on the physical and oxidative stabilities of oil-in-water emulsions prepared from a stripped structured lipid with a low omega-6 to omega-3 ratio. Food Chem. 2015, 174, 124–131. [Google Scholar] [CrossRef]
- Yu, J.Y.; Chuesiang, P.; Shin, G.H.; Park, H.J. Post-processing techniques for the improvement of liposome stability. Pharmaceutics 2021, 13, 1023. [Google Scholar] [CrossRef]
- Sebaaly, C.; Charcosset, C.; Stainmesse, S.; Fessi, H.; Greige-Gerges, H. Clove essential oil-in-cyclodextrin-in-liposomes in the aqueous and lyophilized states: From laboratory to large scale using a membrane contactor. Carbohydr. Polym. 2016, 138, 75–85. [Google Scholar] [CrossRef]
- Lidgate, D.; Hegde, S.; Maskiewicz, R. Conductivity measurement as a convenient technique for determination of liposome capture volume. Int. J. Pharm. 1993, 96, 51–58. [Google Scholar] [CrossRef]
- Yanagihara, S.; Kitayama, Y.; Yuba, E.; Harada, A. Preparing size-controlled liposomes modified with polysaccharide derivatives for pH-responsive drug delivery applications. Life 2023, 13, 2158. [Google Scholar] [CrossRef]
- Narenji, M.; Talaee, M.R.; Moghimi, H.R. Investigating the effects of size, charge, viscosity and bilayer flexibility on liposomal delivery under convective flow. Int. J. Pharm. 2016, 513, 88–96. [Google Scholar] [CrossRef]
- Zheng, L.; Li, B.; Lin, P.; Zhang, X.; Zhang, C.; Zhao, B.; Wang, T. Sedimentation and precipitation of nanoparticles in power-law fluids. Microfluid. Nanofluidics 2013, 15, 11–18. [Google Scholar] [CrossRef]
- Čutović, N.; Marković, T.; Carević, T.; Stojković, D.; Bugarski, B.; Jovanović, A.A. Liposomal and liposomes-film systems as carriers for bioactives from Paeonia tenuifolia L. petals: Physicochemical characterization and biological potential. Pharmaceutics 2023, 15, 2742. [Google Scholar] [CrossRef] [PubMed]
- Luo, Z.; Murray, B.S.; Yusoff, A.; Morgan, M.R.; Povey, M.J.; Day, A.J. Particle-stabilizing effects of flavonoids at the oil−water interface. J. Agric. Food Chem. 2011, 59, 2636–2645. [Google Scholar] [CrossRef] [PubMed]
- Nakai, K.; Tsuruta, D. What Are Reactive Oxygen Species, Free Radicals, and Oxidative Stress in Skin Diseases? Int. J. Mol. Sci. 2021, 22, 10799. [Google Scholar] [CrossRef] [PubMed]
- Nakai, K.; Yoneda, K.; Ishihara, Y.; Ohmori, K.; Moriue, T.; Igarashi, J.; Kohno, M.; Kosaka, H.; Kubota, Y. Lipid peroxidation-induced VEGF expression in the skin of KKAy obese mice. Exp. Dermatol. 2011, 20, 388–393. [Google Scholar] [CrossRef]
- Dixon, S.J.; Lemberg, K.M.; Lamprecht, M.R.; Skouta, R.; Zaitsev, E.M.; Gleason, C.E.; Patel, D.N.; Bauer, A.J.; Cantley, A.M.; Yang, W.S.; et al. Ferroptosis: An iron-dependent form of nonapoptotic cell death. Cell 2012, 149, 1060–1072. [Google Scholar] [CrossRef]
- Yang, Y.; Huang, J.; Li, J.; Yang, H.; Yin, Y. Effects of stearic acid on proliferation, differentiation, apoptosis, and autophagy in porcine intestinal epithelial cells. Curr. Mol. Med. 2020, 20, 157–166. [Google Scholar] [CrossRef]
- Ying, L.; Yajun, C.; Jinwei, L.; Yuanpeng, W.; Yuanfa, L. Epoxy stearic acid, an oxidative product derived from oleic acid, induces cytotoxicity, oxidative stress, and apoptosis in HepG2 cells. J. Agric. Food Chem. 2018, 66, 5237–5246. [Google Scholar] [CrossRef]
- Tran, H.-M.; Yang, C.-Y.; Wu, T.-H.; Yen, F.-L. Liposomes encapsulating morin: Investigation of physicochemical properties, dermal absorption improvement and anti-aging activity in pm-induced keratinocytes. Antioxidants 2022, 11, 1183. [Google Scholar] [CrossRef]
- Płaczek, M.; Wątróbska-Świetlikowska, D.; Stefanowicz-Hajduk, J.; Drechsler, M.; Ochocka, J.R.; Sznitowska, M. Comparison of the in vitro cytotoxicity among phospholipid-based parenteral drug delivery systems: Emulsions, liposomes and aqueous lecithin dispersions (WLDs). Eur. J. Pharm. Sci. 2019, 127, 92–101. [Google Scholar] [CrossRef]
- Li, W.; Qu, X.; Kang, X.; Zhang, H.; Zhang, X.; Hu, H.; Yao, L.; Zhang, L.; Zheng, J.; Zheng, Y.; et al. Silibinin eliminates mitochondrial ROS and restores autophagy through IL6ST/JAK2/STAT3 signaling pathway to protect cardiomyocytes from doxorubicin-induced injury. Eur. J. Pharmacol. 2022, 929, 175153. [Google Scholar] [CrossRef]
- Zhang, H.; Kim, H.; Kim, S.Y.; Hai, H.; Kim, E.; Ma, L.; Kim, D.; Kim, C.Y.; Park, K.; Park, S.; et al. Silibinin induces oral cancer cell apoptosis and reactive oxygen species generation by activating the JNK/c-Jun pathway. J. Cancer 2023, 14, 1875–1887. [Google Scholar] [CrossRef] [PubMed]
- Ramasamy, K.; Deep, G.; Tyagi, A.; Agarwal, C.; Agarwal, R. Silibinin inhibits tumor associated macrophages-induced lung cancer cell growth and invasiveness by down-regulating macrophage migration inhibitory factor. In Proceedings of the 104th Annual Meeting of the American Association for Cancer Research, Washington, DC, USA, 6–10 April 2013. [Google Scholar] [CrossRef]
- Peralta, M.F.; Guzmán, M.L.; Pérez, A.P.; Apezteguia, G.A.; Fórmica, M.L.; Romero, E.L.; Olivera, M.E.; Carrer, D.C. Liposomes can both enhance or reduce drugs penetration through the skin. Sci. Rep. 2018, 8, 13253. [Google Scholar] [CrossRef] [PubMed]
- Giorgi, V.S.; Peracoli, M.T.; Peracoli, J.C.; Witkin, S.S.; Bannwart-Castro, C.F. Silibinin modulates the NF-κb pathway and pro-inflammatory cytokine production by mononuclear cells from preeclamptic women. J. Reprod. Immunol. 2012, 95, 67–72. [Google Scholar] [CrossRef] [PubMed]
- Yan, B.; Zheng, X.; Wang, Y.; Yang, J.; Zhu, X.; Qiu, M.; Xia, K.; Wang, Y.; Li, M.; Li, S.; et al. Liposome-based silibinin for mitigating nonalcoholic fatty liver disease: Dual effects via parenteral and intestinal routes. ACS Pharmacol. Transl. Sci. 2023, 6, 1909–1923. [Google Scholar] [CrossRef]










| Samples | EE [%] | Particle Size [nm] | PDI | ζ [mV] | CF | μ [µmcm/Vs] |
|---|---|---|---|---|---|---|
| MLVs with silibinin | 89.7 ± 1.4 a,* | 1675.0 ± 44.3 a | 0.310 ± 0.019 b | −35.5 ± 0.7 a | 0.38 ± 0.01 d | −2.78 ± 0.02 a |
| UV-irradiated with silibinin | 88.1 ± 1.2 a | 1701.5 ± 58.7 a | 0.272 ± 0.034 b | −36.5 ± 0.7 a | 1.15 ± 0.02 b | −2.89 ± 0.07 a |
| Lyophilized with silibinin | 62.5 ± 1.9 c | 724.9 ± 27.5 c | 0.334 ± 0.031 b | −14.9 ± 0.5 c | 2.64 ± 0.30 a | −0.70 ± 0.06 c |
| SUVs with silibinin | 74.9 ± 1.0 b | 277.8 ± 2.7 d | 0.520 ± 0.059 a | −21.6 ± 0.1 b | 1.24 ± 0.08 c | −1.58 ± 0.04 b |
| Unloaded MLVs | n.a. | 1435.8 ± 22.1 b | 0.287 ± 0.022 b | −10.3 ± 0.4 d | 0.32 ± 0.02 e | −0.51 ± 0.03 d |
| Samples | ρ [g/mL] | γ [mN/m] | η [mPa·s] |
|---|---|---|---|
| MLVs | 0.939 ± 0.005 a,* | 28.7 ± 0.1 a | 3.45 ± 0.02 a |
| UV-irradiated | 0.917 ± 0.004 b | 27.1 ± 0.2 b | 3.28 ± 0.03 b |
| SUVs | 0.916 ± 0.006 b | 26.5 ± 0.2 c | 3.43 ± 0.02 a |
Disclaimer/Publisher’s Note: The statements, opinions and data contained in all publications are solely those of the individual author(s) and contributor(s) and not of MDPI and/or the editor(s). MDPI and/or the editor(s) disclaim responsibility for any injury to people or property resulting from any ideas, methods, instructions or products referred to in the content. |
© 2024 by the authors. Licensee MDPI, Basel, Switzerland. This article is an open access article distributed under the terms and conditions of the Creative Commons Attribution (CC BY) license (https://creativecommons.org/licenses/by/4.0/).
Share and Cite
Karkad, A.A.; Pirković, A.; Milošević, M.; Stojadinović, B.; Šavikin, K.; Marinković, A.; Jovanović, A.A. Silibinin-Loaded Liposomes: The Influence of Modifications on Physicochemical Characteristics, Stability, and Bioactivity Associated with Dermal Application. Pharmaceutics 2024, 16, 1476. https://doi.org/10.3390/pharmaceutics16111476
Karkad AA, Pirković A, Milošević M, Stojadinović B, Šavikin K, Marinković A, Jovanović AA. Silibinin-Loaded Liposomes: The Influence of Modifications on Physicochemical Characteristics, Stability, and Bioactivity Associated with Dermal Application. Pharmaceutics. 2024; 16(11):1476. https://doi.org/10.3390/pharmaceutics16111476
Chicago/Turabian StyleKarkad, Amjed Abdullah, Andrea Pirković, Milena Milošević, Bojan Stojadinović, Katarina Šavikin, Aleksandar Marinković, and Aleksandra A. Jovanović. 2024. "Silibinin-Loaded Liposomes: The Influence of Modifications on Physicochemical Characteristics, Stability, and Bioactivity Associated with Dermal Application" Pharmaceutics 16, no. 11: 1476. https://doi.org/10.3390/pharmaceutics16111476
APA StyleKarkad, A. A., Pirković, A., Milošević, M., Stojadinović, B., Šavikin, K., Marinković, A., & Jovanović, A. A. (2024). Silibinin-Loaded Liposomes: The Influence of Modifications on Physicochemical Characteristics, Stability, and Bioactivity Associated with Dermal Application. Pharmaceutics, 16(11), 1476. https://doi.org/10.3390/pharmaceutics16111476

