Formulation and Ex Vivo Evaluation of Ivermectin Within Different Nano-Drug Delivery Vehicles for Transdermal Drug Delivery
Abstract
1. Introduction
2. Materials and Methods
2.1. Materials
2.2. Quantification of Ivermectin
2.3. Preparation of a Standard Solution
2.4. Physicochemical Properties of Ivermectin
2.4.1. Solubility of Ivermectin in Evening Primrose Oil
2.4.2. Solubility of Ivermectin in PBS (pH 7.4)
2.4.3. Solubility of Ivermectin in n-Octanol
2.4.4. Octanol-Buffer Distribution Coefficient of Ivermectin
2.5. Formulation of Nano-Drug Delivery Systems Containing Ivermectin
2.5.1. Formulation of a Nano-Emulsion Containing Ivermectin
2.5.2. Formulation of a Nano-Emulgel Containing Ivermectin
2.5.3. Formulation of a Colloidal Suspension Containing Ivermectin-Loaded Nanoparticles
2.6. Characterization of Nano-Drug Delivery Vehicles
2.6.1. Visual Examination
2.6.2. pH
2.6.3. Viscosity
2.6.4. Droplet/Particle Size and Polydispersity Index
2.6.5. Zeta-Potential
2.6.6. Entrapment Efficiency
2.6.7. Encapsulation Efficiency
2.6.8. Morphology
2.6.9. X-Ray Powder Diffraction Analysis
2.7. In Vitro Membrane Release Studies
2.8. Skin Diffusion Studies
2.8.1. Skin Preparation
2.8.2. Ex Vivo Skin Diffusion Studies
2.9. Tape Stripping
2.10. Data Analysis
2.11. In Vitro Cytotoxicity Studies
2.11.1. Cell Culturing Conditions
2.11.2. Methyl Thiazolyl Tetrazolium (MTT) Assay
2.11.3. Neutral Red (NR) Assay
2.12. Statistical Data Analysis
3. Results and Discussion
3.1. Physicochemical Properties of Ivermectin
3.1.1. Solubility of Ivermectin in EPO, PBS (pH 7.4) and n-Octanol
3.1.2. Octanol-Buffer Distribution Coefficient of Ivermectin
3.2. Characterization of Each Nano-Drug Delivery Vehicle
3.2.1. Visual Examination
3.2.2. pH
3.2.3. Viscosity
3.2.4. Droplet/Particle Size and PDI
3.2.5. Zeta-Potential
3.2.6. Entrapment Efficiency
3.2.7. Encapsulation Efficiency
3.2.8. Morphology
3.2.9. X-Ray Powder Diffraction Analysis
3.3. In Vitro Membrane Release Studies
3.4. Ex Vivo Skin Diffusion Studies
3.5. Tape Stripping
3.6. In Vitro Cytotoxicity Studies
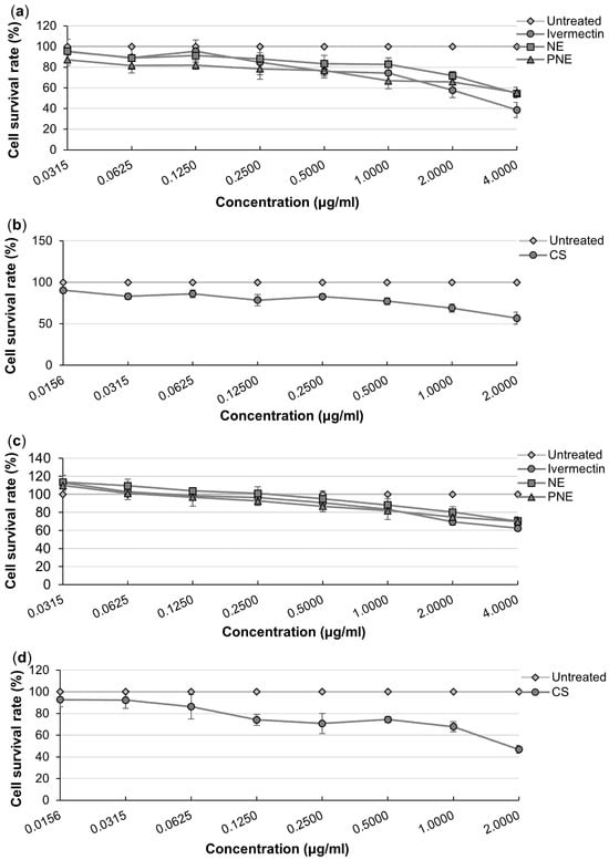
3.6.1. Methyl Thiazolyl Tetrazolium Assay
3.6.2. Neutral Red Assay
4. Conclusions
Supplementary Materials
Author Contributions
Funding
Institutional Review Board Statement
Informed Consent Statement
Data Availability Statement
Acknowledgments
Conflicts of Interest
References
- Chen, I.S.; Kubo, Y. Ivermectin and its target molecules: Shared and unique modulation mechanisms of ion channels and receptors by ivermectin. J. Physiol. 2018, 596, 1833–1845. [Google Scholar] [CrossRef] [PubMed]
- Crump, A. Ivermectin: Enigmatic multifaceted ‘wonder’ drug continues to surprise and exceed expectations. J. Antibiot. 2017, 70, 495–505. [Google Scholar] [CrossRef]
- Lumaret, J.-P.; Errouissi, F.; Floate, K.; Römbke, J.; Wardhaugh, K. A review on the toxicity and non-target effects of macrocyclic lactones in terrestrial and aquatic environments. Curr. Pharm. Biotechnol. 2012, 13, 1004–1060. [Google Scholar] [CrossRef] [PubMed]
- Fisher, M.H.; Mrozik, H. Chemistry. In Ivermectin and Abamectin; Campbell, W.C., Ed.; Springer: New York, NY, USA, 2012; pp. 1–23. [Google Scholar]
- Õmura, S.; Crump, A. The life and times of ivermectin—A success story. Nat. Rev. Microbiol. 2004, 2, 984–989. [Google Scholar] [CrossRef] [PubMed]
- Ashour, D.S. Ivermectin: From theory to clinical application. Int. J. Antimicrob. Agents 2019, 54, 134–142. [Google Scholar] [CrossRef]
- Juarez, M.; Schcolnik-Cabrera, A.; Dueñas-Gonzalez, A. The multitargeted drug ivermectin: From an antiparasitic agent to a repositioned cancer drug. Am. J. Cancer Res. 2018, 8, 317–331. [Google Scholar] [PubMed]
- Goldust, M.; Rezaee, E.; Raghifar, R.; Hemayat, S. Treatment of scabies: The topical ivermectin vs. permethrin 2.5% cream. Ann. Parasitol. 2013, 59, 79–84. [Google Scholar]
- Pariser, D.M.; Meinking, T.L.; Bell, M.; Ryan, W.G. Topical 0.5% ivermectin lotion for treatment of head lice. N. Engl. J. Med. 2012, 367, 1687–1693. [Google Scholar] [CrossRef]
- Ebbelaar, C.C.F.; Venema, A.W.; Van Dijk, M.R. Topical ivermectin in the treatment of papulopustular rosacea: A systematic review of evidence and clinical guideline recommendations. Dermatol. Ther. 2018, 8, 379–387. [Google Scholar] [CrossRef]
- Götz, V.; Magar, L.; Dornfeld, D.; Giese, S.; Pohlmann, A.; Höper, D.; Kong, B.W.; Jans, D.A.; Beer, M.; Haller, O.; et al. Influenza A viruses escape from MxA restriction at the expense of efficient nuclear vRNP import. Sci. Rep. 2016, 6, 23138. [Google Scholar] [CrossRef]
- Lim, L.E.; Vilchèze, C.; Ng, C.; Jacobs, W.R., Jr.; Ramón-García, S.; Thompson, C.J. Anthelmintic avermectins kill mycobacterium tuberculosis, including multidrug-resistant clinical strains. Antimicrob. Agents Chemother. 2013, 57, 1040–1046. [Google Scholar] [CrossRef] [PubMed]
- Formiga, F.R.; Leblanc, R.; de Souza Rebouças, J.; Farias, L.P.; De Oliveira, R.N.; Pena, L. Ivermectin: An award-winning drug with expected antiviral activity against COVID-19. J. Control Release 2021, 329, 758–761. [Google Scholar] [CrossRef] [PubMed]
- Caly, L.; Druce, J.D.; Catton, M.G.; Jans, D.A.; Wagstaff, K.M. The FDA-approved drug ivermectin inhibits the replication of SARS-CoV-2 in vitro. Antivir. Res. 2020, 178, 104787. [Google Scholar] [CrossRef] [PubMed]
- Shafiee, A.; Teymouri Athar, M.M.; Kohandel Gargari, O.; Jafarabady, K.; Siahvoshi, S.; Mozhgani, S.H. Ivermectin under scrutiny: A systematic review and meta-analysis of efficacy and possible sources of controversies in COVID-19 patients. Virol. J. 2022, 19, 102. [Google Scholar] [CrossRef] [PubMed]
- Tang, M.; Hu, X.; Wang, Y.; Yao, X.; Zhang, W.; Yu, C.; Cheng, F.; Li, J.; Fang, Q. Ivermectin, a potential anticancer drug derived from an antiparasitic drug. Pharmacol. Res. 2021, 163, 105207. [Google Scholar] [CrossRef]
- Rowland Yeo, K.; Wesche, D. PBPK modeling of ivermectin—Considerations for the purpose of developing alternative routes to optimize its safety profile. CPT Pharmacomet. Syst. Pharmacol. 2023, 12, 598–609. [Google Scholar] [CrossRef]
- Kobylinski, K.C.; Foy, B.D.; Richardson, J.H. Ivermectin inhibits the sporogony of Plasmodium falciparum in Anopheles gambiae. Malar. J. 2012, 11, 381. [Google Scholar] [CrossRef]
- Raman, S.; Polli, J.E. Prediction of positive food effect: Bioavailability enhancement of BCS class II drugs. Int. J. Pharm. 2016, 506, 110–115. [Google Scholar] [CrossRef]
- Verma, S.; Patel, U.; Patel, R.P. Formulation and evaluation of ivermectin solid dispersion. J. Drug Deliv. Ther. 2017, 7, 15–17. [Google Scholar]
- Camargo, J.A.; Sapin, A.; Nouvel, C.; Daloz, D.; Leonard, M.; Bonneaux, F.; Six, J.-L.; Maincent, P. Injectable PLA-based in situ forming implants for controlled release of ivermectin a BCS Class II drug: Solvent selection based on physico-chemical characterization. Drug Dev. Ind. Pharm. 2013, 39, 146–155. [Google Scholar] [CrossRef]
- Naik, A.; Kalia, Y.N.; Guy, R.H. Transdermal drug delivery: Overcoming the skin’s barrier function. Pharm. Sci. Technol. Today 2000, 3, 318–326. [Google Scholar] [CrossRef] [PubMed]
- Marwah, H.; Garg, T.; Goyal, A.K.; Rath, G. Permeation enhancer strategies in transdermal drug delivery. Drug Deliv. 2016, 23, 564–578. [Google Scholar] [CrossRef] [PubMed]
- Ullio-Gamboa, G.; Palma, S.; Benoit, J.P.; Allemandi, D.; Picollo, M.I.; Toloza, A.C. Ivermectin lipid-based nanocarriers as novel formulations against head lice. Parasitol. Res. 2017, 116, 2111–2117. [Google Scholar] [CrossRef] [PubMed]
- Ali, M.; Afzal, M.; Verma, M.; Bhattacharya, S.M.; Ahmad, F.J.; Samim, M.; Abidin, M.Z.; Dinda, A.K. Therapeutic efficacy of poly (lactic-co-glycolic acid) nanoparticles encapsulated ivermectin (nano-ivermectin) against brugian filariasis in experimental rodent model. Parasitol. Res. 2014, 113, 681–691. [Google Scholar] [CrossRef] [PubMed]
- Binnebose, A.M.; Haughney, S.L.; Martin, R.; Imerman, P.M.; Narasimhan, B.; Bellaire, B.H. Polyanhydride nanoparticle delivery platform dramatically enhances killing of filarial worms. PLoS Negl. Trop. Dis. 2015, 9, e0004173. [Google Scholar] [CrossRef]
- Cola, D.F.; Gonçalves da Silva, C.M.; Fraceto, L.M. Lipid nanoparticles as carrier systems for ivermectin and methoprene aiming veterinary applications. Toxicol. Lett. 2015, 238, S201. [Google Scholar] [CrossRef]
- Croci, R.; Bottaro, E.; Chan, K.W.K.; Watanabe, S.; Pezzullo, M.; Mastrangelo, E.; Nastruzzi, C. Liposomal systems as nanocarriers for the antiviral agent ivermectin. Int. J. Biomater. 2016, 2016, 8043983. [Google Scholar] [CrossRef]
- Gamboa, G.U.; Palma, S.D.; Lifschitz, A.; Ballent, M.; Lanusse, C.; Passirani, C.; Allemandi, D.A. Ivermectin-loaded lipid nanocapsules: Toward the development of a new antiparasitic delivery system for veterinary applications. Parasitol. Res. 2016, 115, 1945–1953. [Google Scholar] [CrossRef]
- Kar, B.; Mahanti, B.; Kar, A.K.; Mazumder, R.; Roy, A.; Majumdar, S. Nanoliposome enabled topical gel-based drug delivery system of ivermectin: Fabrication, characterization, in vivo and in vitro investigation. Intell. Pharm. 2024. in Press. [Google Scholar] [CrossRef]
- Velho, M.C.; Funk, N.L.; Deon, M.; Benvenutti, E.V.; Buchner, S.; Hinrichs, R.; Pilger, D.A.; Beck, R.C.R. Ivermectin-loaded mesoporous silica and polymeric nanocapsules: Impact on drug loading, in vitro solubility enhancement, and release performance. Pharmaceutics 2024, 16, 325. [Google Scholar] [CrossRef]
- Kalangadan, N.; Mary, A.S.; Mani, K.; Nath, B.; Kondapalli, J.; Soni, S.; Raghavan, V.S.; Parsanathan, R.; Kannan, M.; Jenkins, D.; et al. Repurposing ivermectin and ciprofloxacin in nanofibers for enhanced wound healing and infection control against MDR wound pathogens. J. Drug Deliv. Sci. Technol. 2023, 90, 105166. [Google Scholar] [CrossRef]
- Rahbar, A.; Shakyba, S.; Ghaderi, M.; Kazemi, K.; Fagheh, A.F.; Farsinejad, P.; Khosravi, A.; Louyeh, P.A.; Mirzaeyian, E.; Chamanara, M.; et al. Ivermectin-functionalized multiwall carbon nanotube enhanced the locomotor activity and neuropathic pain by modulating M1/M2 macrophage and decrease oxidative stress in rat model of spinal cord injury. Heliyon 2021, 7, e07311. [Google Scholar] [CrossRef] [PubMed]
- Guo, D.; Dou, D.; Li, X.; Zhang, Q.; Bhutto, Z.A.; Wang, L. Ivermectin-loaded solid lipid nanoparticles: Preparation, characterization, stability and transdermal behavior. Artif. Cells Nanomed. Biotechnol. 2018, 46, 255–262. [Google Scholar] [CrossRef] [PubMed]
- Awad, H.; Qalaji, M.R.; Hosary, R.E.; Jagal, J.; Ahmed, I.S. Formulation and optimization of ivermectin nanocrystals for enhanced topical delivery. Int. J. Pharm. X 2023, 6, 100210. [Google Scholar] [CrossRef]
- Batiha, G.E.S.; Beshbishy, A.M.; Ikram, M.; Mulla, Z.S.; El-Hack, M.E.A.; Taha, A.E.; Algammal, A.M.; Elewa, Y.H.A. The pharmacological activity, biochemical properties, and pharmacokinetics of the major natural polyphenolic flavonoid: Quercetin. Foods 2020, 9, 374. [Google Scholar] [CrossRef]
- Fent, G.M. Avermectin. In Encyclopedia of Toxicology, 3rd ed.; Wexler, P., Ed.; Academic Press: Oxford, UK, 2014; pp. 342–344. [Google Scholar]
- Liebig, M.; Fernandez, A.A.; Baum-Gronau, B.; Boxall, A.; Brinke, M.; Carbonell, G.; Egeler, P.; Fenner, K.; Fernandez, C.; Fink, G.; et al. Environmental risk assessment of ivermectin: A case study. Integr. Environ. Assess. Manag. 2010, 6, 567–587. [Google Scholar] [CrossRef]
- Rolim, L.A.; Dos Santos, F.C.M.; Chaves, L.L.; Goncalves, M.L.C.M.; Freitas-Neto, J.L.; Da Silva do Nascimento, A.L.; Soares-Sobrinho, J.L.; De Albuquerque, M.M.; Do Carmo Alves de Lima, M.; Rolim-Neto, P.J. Preformulation study of ivermectin raw material. J. Therm. Anal. Calorim. 2014, 120, 807–816. [Google Scholar] [CrossRef]
- Suvarna, V. Ivermectin: A critical review on characteristics, properties, and analytical methods. J. AOAC Int. 2023, 106, 534–557. [Google Scholar] [CrossRef]
- Alexander, A.; Dwivedi, S.; Ajazuddin; Giri, T.K.; Saraf, S.; Saraf, S.; Tripathi, D.K. Approaches for breaking the barrier of drug permeation through transdermal drug delivery. J. Control Release 2012, 164, 26–40. [Google Scholar] [CrossRef]
- Van Zyl, L.; Du Preez, J.; Gerber, M.; Du Plessis, J.; Viljoen, J. Essential fatty acids as transdermal penetration enhancers. J. Pharm. Sci. 2016, 105, 188–193. [Google Scholar] [CrossRef]
- Timoszuk, M.; Bielawska, K.; Skrzydlewska, E. Evening primrose (Oenothera biennis) biological activity dependent on chemical composition. Antioxidants 2018, 7, 108. [Google Scholar] [CrossRef] [PubMed]
- Čižinauskas, V.; Elie, N.; Brunelle, A.; Briedis, V. Fatty acids penetration into human skin ex vivo: A TOF-SIMS analysis approach. Biointerphases 2017, 12, 011003. [Google Scholar] [CrossRef] [PubMed]
- Baibhav, J.; Gurpreet, S.; Rana, A.C.; Seema, S.; Vikas, S. Emulgel: A comprehensive review on the recent advances in topical drug delivery. Int. Res. J. Pharm. 2011, 2, 66–70. [Google Scholar]
- Čižinauskas, V.; Elie, N.; Brunelle, A.; Briedies, V. Skin penetration enhancement by natural oils for dihydroquercetin delivery. Molecules 2017, 22, 1536. [Google Scholar] [CrossRef]
- Pineau, A.; Guillard, O.; Fauconneau, B.; Favreau, F.; Marty, M.H.; Gaudin, A.; Vincent, C.M.; Marrauld, A.; Marty, J.P. In vitro study of percutaneous absorption of aluminum from antiperspirants through human skin in the Franz™ diffusion cell. J. Inorg. Biochem. 2012, 110, 21–26. [Google Scholar] [CrossRef] [PubMed]
- Louw, E.V.; Liebenberg, W.; Willers, C.; Dube, A.; Aucamp, M.E.; Gerber, M. Comparative study on the topical and transdermal delivery of diclofenac incorporated in nano-emulsions, nano-emulgels, and a colloidal suspension. Drug Deliv. Transl. Res. 2023, 13, 1372–1389. [Google Scholar] [CrossRef]
- Lubrizol Corporation. Viscosity of Carbopol®* Polymers in Aqueous Systems (Technical Data Sheet: TDS-730). Available online: https://www.lubrizol.com/-/media/Lubrizol/Health/TDS/TDS-730_Viscosity_Carbopol_in_Aqueous-Systems.pdf (accessed on 11 October 2024).
- Thakral, S.; Sonje, J.; Munjal, B.; Suryanarayanan, R. Stabilizers and their interaction with formulation components in frozen and freeze-dried protein formulations. Adv. Drug Deliv. Rev. 2021, 173, 1–19. [Google Scholar] [CrossRef]
- Lv, Y.; He, H.; Qi, J.; Lu, Y.; Zhao, W.; Dong, X.; Wu, W. Visual validation of the measurement of entrapment efficiency of drug nanocarriers. Int. J. Pharm. 2018, 547, 395–403. [Google Scholar] [CrossRef]
- Valarini Junior, O.; Cardoso, F.A.R.; Giufrida, W.M.; De Souza, M.F.; Cardozo-Filho, L. Production and computational fluid dynamics-based modeling of PMMA nanoparticles impregnated with ivermectin by a supercritical antisolvent process. J. CO2 Util. 2020, 35, 47–58. [Google Scholar] [CrossRef]
- Mao, Y.; Chen, X.; Xu, B.; Shen, Y.; Ye, Z.; Chaurasiya, B.; Liu, L.; Li, Y.; Xing, X.; Chen, D. Eprinomectin nanoemulgel for transdermal delivery against endoparasites and ectoparasites: Preparation, in vitro and in vivo evaluation. Drug Deliv. 2019, 26, 1104–1114. [Google Scholar] [CrossRef]
- Ponte, M.; Liebenberg, W.; Gerber, M. Formulation and in vitro skin diffusion of colchicine using different drug delivery vehicles. J. Drug Deliv. Sci. Technol. 2023, 88, 104898. [Google Scholar] [CrossRef]
- Sithole, M.N.; Marais, S.; Maree, S.M.; Du Plessis, L.H.; Du Plessis, J.; Gerber, M. Development and characterisation of nano-emulsions and nano-emulgels for transdermal delivery of statins. Expert. Opin. Drug Deliv. 2021, 18, 789–801. [Google Scholar] [CrossRef]
- Tsai, J.-C.; Chuang, S.-A.; Hsu, M.-Y.; Sheu, H.-M. Distribution of salicylic acid in human stratum corneum following topical application in vivo: A comparison of six different formulations. Int. J. Pharm. 1999, 188, 145–153. [Google Scholar] [CrossRef]
- Pellett, M.A.; Roberts, M.S.; Hadgraft, J. Supersaturated solutions evaluated with an in vitro stratum corneum tape stripping technique. Int. J. Pharm. 1997, 151, 91–98. [Google Scholar] [CrossRef]
- Niska, K.; Zielinska, E.; Radomski, M.W.; Inkielewicz-Stepniak, I. Metal nanoparticles in dermatology and cosmetology: Interactions with human skin cells. Chem. Biol. Interact. 2018, 295, 38–51. [Google Scholar] [CrossRef] [PubMed]
- Colombo, I.; Sangiovanni, E.; Maggio, R.; Mattozzi, C.; Zava, S.; Corbett, Y.; Fumagalli, M.; Carlino, C.; Corsetto, P.A.; Scaccabarozzi, D.; et al. HaCaT cells as a reliable in vitro differentiation model to dissect the inflammatory/repair response of human keratinocytes. Mediat. Inflamm. 2017, 2017, 7435621. [Google Scholar] [CrossRef] [PubMed]
- Lee, S.H.; Lee, H.R.; Kim, Y.-R.; Kim, M.-K. Toxic response of zinc oxide nanoparticles in human epidermal keratinocyte HaCaT cells. Toxicol. Environ. Health Sci. 2012, 4, 14–18. [Google Scholar] [CrossRef]
- Ribeiro, A.; Matamá, T.; Cruz, C.F.; Gomes, A.C.; Cavaco-Paulo, A.M. Potential of human γD-crystallin for hair damage repair: Insights into the mechanical properties and biocompatibility. Int. J. Cosmet. Sci. 2013, 35, 458–466. [Google Scholar] [CrossRef]
- Vorstandlechner, V.; Laggner, M.; Kalinina, P.; Haslik, W.; Radtke, C.; Shaw, L.; Lichtenberger, B.M.; Tschachler, E.; Ankersmit, H.J.; Mildner, M. Deciphering the functional heterogeneity of skin fibroblasts using single-cell RNA sequencing. FASEB J. 2020, 34, 3677–3692. [Google Scholar] [CrossRef]
- Albano, F.; Arcucci, A.; Granato, G.; Romano, S.; Montagnani, S.; De Vendittis, E.; Ruocco, M.R. Markers of mitochondrial dysfunction during the diclofenac-induced apoptosis in melanoma cell lines. Biochimie 2013, 95, 934–945. [Google Scholar] [CrossRef]
- Iovine, B.; Iannella, M.L.; Gasparri, F.; Monfrecola, G.; Bevilacqua, M.A. Synergic effect of genistein and daidzein on UVB-induced DNA damage: An effective photoprotective combination. J. Biomed. Biotechnol. 2011, 2011, 692846. [Google Scholar] [CrossRef] [PubMed]
- Brown, M.; Wallace, C.; Anamelechi, C.; Clermont, E.; Reichert, W.; Truskey, G. The use of mild trypsinization conditions in the detachment of endothelial cells to promote subsequent endothelialization on synthetic surfaces. Biomaterials 2007, 28, 3928–3935. [Google Scholar] [CrossRef] [PubMed]
- Riss, T.L.; Moravec, R.A.; Niles, A.L.; Duellman, S.; Benink, H.A.; Worzella, T.J.; Minor, L. Cell viability assay. In Assay Guidance Manual; Markossian, S., Grossman, A., Arkin, M., Auld, D., Austin, C., Baell, J., Brimacombe, K., Chung, T.D.Y., Coussens, N.P., Dahlin, J.L., et al., Eds.; Eli Lilly & Company and the National Center for Advancing Translational Sciences: Bethesda, MD, USA, 2004. Available online: https://www.ncbi.nlm.nih.gov/books/NBK144065/ (accessed on 11 October 2024).
- Van Rossum, G.; Drake, F.L., Jr. Python 3 Reference Manual; CreateSpace Independent Publishing Platform: Scotts Valley, CA, USA, 2009. [Google Scholar]
- Seabold, S.; Perktold, J. Statsmodels: Econometric and Statistical Modeling with Python. In Proceedings of the 9th Python in Science Conference (SciPy 2010), Austin, TX, USA, 28 June–3 July 2010; Van der Walt, S., Millman, J., Eds.; pp. 92–96. Available online: http://conference.scipy.org.s3-website-us-east-1.amazonaws.com/proceedings/scipy2010/pdfs/proceedings.pdf (accessed on 11 October 2024).
- McKinney, W. Data Structures for Statistical Computing in Python. In Proceedings of the 9th Python in Science Conference (SciPy 2010), Austin, TX, USA, 28 June–3 July 2010; Van der Walt, S., Millman, J., Eds.; pp. 56–61. Available online: http://conference.scipy.org.s3-website-us-east-1.amazonaws.com/proceedings/scipy2010/pdfs/proceedings.pdf (accessed on 11 October 2024).
- Harris, C.R.; Millman, K.J.; Van der Walt, S.J.; Gommers, R.; Virtanen, P.; Cournapeau, D.; Wieser, E.; Taylor, J.; Berg, S.; Smith, N.J.; et al. Array programming with NumPy. Nature 2020, 585, 357–362. [Google Scholar] [CrossRef] [PubMed]
- Hunter, J.D. Matplotlib: A 2D graphics environment. Comput. Sci. Eng. 2007, 9, 90–95. [Google Scholar] [CrossRef]
- Waskom, M.L. Seaborn: Statistical data visualization. J. Open Source Softw. 2021, 6, 3021. [Google Scholar] [CrossRef]
- Sedgwick, P.M.; Hammer, A.; Kesmodel, U.S.; Pedersen, L.H. Current controversies: Null hypothesis significance testing. Acta Obstet. Gynecol. Scand. 2022, 101, 624–627. [Google Scholar] [CrossRef]
- Barry, B. Transdermal drug delivery. In Pharmaceutics: The Science of Dosage Form Design, 2nd ed.; Aulton, M.E., Ed.; Churchill Livingstone: London, UK, 2002; pp. 499–533. [Google Scholar]
- Sengupta, P.; Chatterjee, B. Potential and future scope of nanoemulgel formulation for topical delivery of lipophilic drugs. Int. J. Pharm. 2017, 526, 353–365. [Google Scholar] [CrossRef]
- Du, X.; Hu, M.; Liu, G.; Qi, B.; Zhou, S.; Lu, K.; Xie, F.; Zhu, X.; Li, Y. Development and evaluation of delivery systems for quercetin: A comparative study between coarse emulsion, nano-emulsion, high internal phase emulsion, and emulsion gel. J. Food Eng. 2022, 314, 110784. [Google Scholar] [CrossRef]
- Rai, V.K.; Mishra, N.; Yadav, K.S.; Yadav, N.P. Nanoemulsion as pharmaceutical carrier for dermal and transdermal drug delivery: Formulation development, stability issues, basic considerations and applications. J. Control Release 2018, 270, 203–225. [Google Scholar] [CrossRef]
- Eid, A.M.; El-Enshasy, H.A.; Aziz, R.; Elmarzugi, N.A. Preparation, characterization and anti-inflammatory activity of Swietenia macrophylla nanoemulgel. J. Nanomed. Nanotechnol. 2014, 5, 190. [Google Scholar] [CrossRef]
- Fonte, P.; Soares, S.; Costa, A.; Andrade, J.C.; Seabre, V.; Reis, S.; Sarmento, B. Effect of cryoprotectants on the porosity and stability of insulin-loaded PLGA nanoparticles after freeze-drying. Biomatter 2012, 2, 329–339. [Google Scholar] [CrossRef] [PubMed]
- Uchechi, O.; Ogbonna, J.D.N.; Attama, A.A. Nanoparticles for Dermal and Transdermal Drug Delivery. Application of Nanotechnology Drug Delivery; InTech, 2014. Available online: http://dx.doi.org/10.5772/58672 (accessed on 11 October 2024).
- Campolo, O.; Giunti, G.; Laigle, M.; Michel, T.; Palmeri, V. Essential oil-based nano-emulsions: Effect of different surfactants, sonication and plant species on physicochemical characteristics. Ind. Crops Prod. 2020, 157, 112935. [Google Scholar] [CrossRef]
- Wang, X.; Anton, H.; Vandamme, T.; Anton, N. Updated insight into the characterization of nano-emulsions. Expert. Opin. Drug Deliv. 2023, 20, 93–114. [Google Scholar] [CrossRef] [PubMed]
- Lu, G.W.; Gao, P. Emulsions and microemulsions for topical and transdermal drug delivery. In Handbook of Non-Invasive Drug Delivery Systems; Kulkarni, V.S., Ed.; William Andrew Publishing: Boston, MA, USA, 2010; pp. 59–94. [Google Scholar]
- Jyothi, N.V.N.; Prasanna, P.M.; Sakarkar, S.N.; Prabha, K.S.; Ramaiah, P.S.; Srawan, G.Y. Microencapsulation techniques, factors influencing encapsulation efficiency. J. Microencapsul. 2010, 27, 187–197. [Google Scholar] [CrossRef]
- Barradas, T.N.; De Holanda e Silva, K.G. Nanoemulsions of essential oils to improve solubility, stability and permeability: A review. Environ. Chem. Lett. 2021, 19, 1153–1171. [Google Scholar] [CrossRef]
- Reis, C.P.; Neufeld, R.J.; Ribeiro, A.J.; Veiga, F. Nanoencapsulation, I. Methods for preparation of drug-loaded polymeric nanoparticles. Nanomedicine 2006, 2, 8–21. [Google Scholar] [CrossRef] [PubMed]
- Guimarães, D.; Noro, J.; Silva, C.; Cavaco-Paulo, A.; Nogueira, E. Protective effect of saccharides on freeze-dried liposomes encapsulating drugs. Front. Bioeng. Biotechnol. 2019, 7, 424. [Google Scholar] [CrossRef]
- Singh, I.R.; Pulikkal, A.K. Preparation, stability and biological activity of essential oil-based nano emulsions: A comprehensive review. OpenNano 2022, 8, 100066. [Google Scholar] [CrossRef]
- Koroleva, M.Y.; Yurtov, E.V. Ostwald ripening in macro-and nanoemulsions. Russ. Chem. Rev. 2021, 90, 293–323. [Google Scholar] [CrossRef]
- Ahmed, S.; Sheraz, M.; Ahmad, I. Tolfenamic acid. In Profiles of Drug Substances, Excipients and Related Methodology, 1st ed.; Brittain, H.G., Ed.; Academic Press: Oxford, UK, 2018; pp. 255–319. [Google Scholar]
- Thompson, C.B. Descriptive data analysis. Air Med. J. 2009, 28, 56–59. [Google Scholar] [CrossRef]
- Garg, U.; Jain, K. Dermal and transdermal drug delivery through vesicles and particles: Preparation and applications. Adv. Pharm. Bull. 2022, 12, 45–57. [Google Scholar] [CrossRef] [PubMed]
- Abdulbaqi, M.R.; Rajab, N. Apixaban ultrafine O/W nano-emulsion transdermal drug delivery system: Formulation, in vitro and ex vivo characterization. Syst. Rev. Pharm. 2020, 11, 82–94. [Google Scholar]
- Hussain, A.; Samad, A.; Singh, S.K.; Ahsan, M.N.; Haque, M.W.; Faruk, A.; Ahmed, F.J. Nanoemulsion gel-based topical delivery of an antifungal drug: In vitro activity and in vivo evaluation. Drug Deliv. 2016, 23, 642–657. [Google Scholar] [CrossRef]
- Chime, S.A.; Kenechukwu, F.C.; Attama, A.A. Nanoemulsions—Advances in Formulation, Characterization and Applications in Drug Delivery. Application of Nanotechnology Drug Delivery; InTech, 2014. Available online: http://dx.doi.org/10.5772/58673 (accessed on 11 October 2024).
- Kathe, K.; Kathpalia, H. Film forming systems for topical and transdermal drug delivery. Asian J. Pharm. Sci. 2017, 12, 487–497. [Google Scholar] [CrossRef]
- Md, S.; Alhakamy, N.A.; Aldawsari, H.M.; Kotta, S.; Ahmad, J.; Akhter, S.; Alam, M.S.; Khan, M.A.; Awan, Z.; Sivakumar, P.M. Improved analgesic and anti-inflammatory effect of diclofenac sodium by topical nanoemulgel: Formulation development in vitro and in vivo studies. J. Chem. 2020, 2020, 4071818. [Google Scholar] [CrossRef]
- Mittal, A.; Raber, A.S.; Schaefer, U.F.; Weissmann, S.; Ebensen, T.; Schulze, K.; Guzmán, C.A.; Lehr, C.M.; Hansen, S. Non-invasive delivery of nanoparticles to hair follicles: A perspective for transcutaneous immunization. Vaccine 2013, 31, 3442–3451. [Google Scholar] [CrossRef]
- Pund, S.; Pawar, S.; Gangurde, S.; Divate, D. Transcutaneous delivery of leflunomide nanoemulgel: Mechanistic investigation into physicomechanical characteristics, in vitro anti-psoriatic and anti-melanoma activity. Int. J. Pharm. 2015, 487, 148–156. [Google Scholar] [CrossRef]
- Ahsan, A.; Tian, W.-X.; Farooq, M.A.; Khan, D.H. An overview of hydrogels and their role in transdermal drug delivery. Int. J. Polym. Mater. Polym. Biomater. 2021, 70, 574–584. [Google Scholar] [CrossRef]
- Kim, J.H.; Ko, J.A.; Kim, J.T.; Cha, D.S.; Cho, J.H.; Park, H.J.; Shin, G.H. Preparation of a capsaicin-loaded nanoemulsion for improving skin penetration. J. Agric. Food Chem. 2014, 62, 725–732. [Google Scholar] [CrossRef]
- Chhaiya, S.B.; Mehta, D.S.; Kataria, B.C. Ivermectin: Pharmacology and therapeutic applications. Int. J. Basic. Clin. Pharmacol. 2012, 1, 132–139. [Google Scholar] [CrossRef]
- Gleeson, M.P.; Hersey, A.; Montanari, D.; Overington, J. Probing the links between in vitro potency, ADMET and physicochemical parameters. Nat. Rev. Drug Discov. 2011, 10, 197–208. [Google Scholar] [CrossRef] [PubMed]
- Ng, S.-F.; Rouse, J.; Sanderson, D.; Eccleston, G. A comparative study of transmembrane diffusion and permeation of ibuprofen across synthetic membranes using Franz diffusion cells. Pharmaceutics 2010, 2, 209–223. [Google Scholar] [CrossRef]
- Shaker, D.S.; Ishak, R.A.; Ghoneim, A.; Elhuoni, M.A. Nanoemulsion: A review on mechanisms for the transdermal delivery of hydrophobic and hydrophilic drugs. Sci. Pharm. 2019, 87, 17. [Google Scholar] [CrossRef]
- Jhawat, V.C.; Saini, V.; Kamboj, S.; Maggon, N. Transdermal drug delivery systems: Approaches and advancements in drug absorption through skin. Int. J. Pharm. Sci. Rev. Res. 2013, 20, 47–56. [Google Scholar]
- Ngo, H.V.; Tran, P.H.; Lee, B.J.; Tran, T.T. Development of film-forming gel containing nanoparticles for transdermal drug delivery. Nanotechnology 2019, 30, 415102. [Google Scholar] [CrossRef] [PubMed]
- Roohnikan, M.; Laszlo, E.; Babity, S.; Brambilla, D. A snapshot of transdermal and topical drug delivery research in Canada. Pharmaceutics 2019, 11, 256. [Google Scholar] [CrossRef]
- Yamaguchi, K.; Mitsui, T.; Aso, Y.; Sugibayashi, K. Structure-permeability relationship analysis of the permeation barrier properties of the stratum corneum and viable epidermis/dermis of rat skin. J. Pharm. Sci. 2008, 97, 4391–4403. [Google Scholar] [CrossRef] [PubMed]
- López-García, J.; Lehocký, M.; Humpolíček, P.; Sáha, P. HaCaT keratinocytes response on antimicrobial atelocollagen substrates: Extent of cytotoxicity, cell viability and proliferation. J. Funct. Biomater. 2014, 5, 43–57. [Google Scholar] [CrossRef] [PubMed]
- Palmer, B.C.; DeLouise, L.A. Nanoparticle-enabled transdermal drug delivery systems for enhanced dose control and tissue targeting. Molecules 2016, 21, 1719. [Google Scholar] [CrossRef]
- Kim, B.; Cho, H.-E.; Moon, S.H.; Ahn, H.-J.; Bae, S.; Cho, H.-D.; An, S. Transdermal delivery systems in cosmetics. Biomed. Dermatol. 2020, 4, 10. [Google Scholar] [CrossRef]
- Otto, A.; Du Plessis, J.; Wiechers, J.W. Formulation effects of topical emulsions on transdermal and dermal delivery. Int. J. Cosmet. Sci. 2009, 31, 1–19. [Google Scholar] [CrossRef] [PubMed]
- Zang, R.; Zhang, X.; Sun, J.; Yang, S.-T. In vitro 3-D multicellular models for cytotoxicity assay and drug screening. Process Biochem. 2016, 51, 772–780. [Google Scholar] [CrossRef]
- Wen, H.; Jung, H.; Li, X. Drug delivery approaches in addressing clinical pharmacology-related issues: Opportunities and challenges. AAPS J. 2015, 17, 1327–1340. [Google Scholar] [CrossRef]
- Chang, Y.; McLandsborough, L.; McClements, D.J. Physicochemical properties and antimicrobial efficacy of carvacrol nanoemulsions formed by spontaneous emulsification. J. Agric. Food Chem. 2013, 61, 8906–8913. [Google Scholar] [CrossRef]
- An, Y.; Yan, X.; Li, B.; Li, Y. Microencapsulation of capsanthin by self-emulsifying nanoemulsions and stability evaluation. Eur. Food Res. Technol. 2014, 239, 1077–1085. [Google Scholar] [CrossRef]
- Solans, C.; Izquierdo, P.; Nolla, J.; Azemar, N.; Garcia-Celma, M.J. Nano-emulsions. Curr. Opin. Colloid Interface Sci. 2005, 10, 102–110. [Google Scholar] [CrossRef]
- Honeywell-Nguyen, P.L.; Bouwstra, J.A. Vesicles as a tool for transdermal and dermal delivery. Drug Discov. Today Technol. 2005, 2, 67–74. [Google Scholar] [CrossRef]
- Zhang, D. Polyoxyethylene sorbitan fatty acid esters. In Handbook of Pharmaceutical Excipients, 6th ed.; Rowe, R.C., Sheskey, P.J., Quinn, M.E., Eds.; Pharmaceutical Press: London, UK, 2009; pp. 549–553. [Google Scholar]







| Phase | Excipient | Nano-Drug Delivery Vehicle (%w/v) | |||
|---|---|---|---|---|---|
| NE | NEG | NP | CS | ||
| Oil phase | EPO | 20.000 | 20.000 | - | - |
| Ivermectin | 2.000 | 2.000 | - | - | |
| Span® 60 | 2.400 | 2.400 | - | - | |
| Aqueous phase | UP Water | 66.000 | 65.300 | 90.450 | - |
| Tween® 80 | 9.600 | 9.600 | - | - | |
| Carbopol® Ultrez 20 | - | 0.700 | - | - | |
| PVA | - | - | 0.451 | - | |
| Organic phase | DCM | - | - | 9.045 | - |
| Ivermectin | - | - | 0.027 | - | |
| PCL | - | - | 0.027 | - | |
| Solid | Ivermectin-loaded NPs | - | - | - | 0.900 |
| NE | NEG | NPs | CS | |
|---|---|---|---|---|
| pH | 5.548 ± 0.004 | 6.201 ± 0.006 | - | 4.226 ± 0.012 |
| Viscosity (cP) | 25.9 ± 0.6 | 16,858.0 ± 237.8 | - | - |
| Droplet/particle size (nm) | 57.157 ± 0.455 | 106.900 ± 0.490 | 173.800 ± 18.400 | - |
| PDI | 0.165 ± 0.014 | 0.287 ± 0.037 | 0.359 ± 0.035 | - |
| Zeta-potential (mV) | −30.600 ± 1.300 | −40.400 ± 1.283 | - | −36.200 ± 0.666 |
| Nano-Drug Delivery Vehicle | n | Average %Release (%) | Median %Release (%) | Average Flux (μg/cm2.h) | Median Flux (μg/cm2.h) |
|---|---|---|---|---|---|
| NE | 9 | 2.003 ± 0.342 | 1.979 | 611.155 ± 96.820 | 608.550 |
| NEG | 8 | 1.500 ± 0.206 | 1.569 | 489.770 ± 76.930 | 507.705 |
| CS | 10 | 0.252 ± 0.009 | 0.248 | 2.346 ± 0.119 | 2.326 |
| Nano-Drug Delivery Vehicle | n | Average %Diffused (%) | Median %Diffused (%) | Average Flux (μg/cm2.h) | Median Flux (μg/cm2.h) |
|---|---|---|---|---|---|
| NE | 9 | 0.001 ± 0.000 | 0.001 | 0.017 ± 0.003 | 0.017 |
| NEG | 9 | 0.002 ± 0.000 | 0.002 | 0.057 ± 0.004 | 0.056 |
| CS | 10 | 0.006 ± 0.001 | 0.006 | 0.027 ± 0.002 | 0.028 |
| Nano-Drug Delivery Vehicle | n | Average Concentration in SCE (μg/mL) | Median Concentration in SCE (μg/mL) | Average Concentration in ED (μg/mL) | Median Concentration in ED (μg/mL) |
|---|---|---|---|---|---|
| NE | 9 | 2.241 ± 1.425 | 1.935 | 1.662 ± 0.886 | 1.786 |
| NEG | 9 | 0.610 ± 0.323 | 0.614 | 0.648 ± 0.164 | 0.605 |
| CS | 10 | 0.000 ± 0.000 | 0.000 | 0.000 ± 0.000 | 0.000 |
Disclaimer/Publisher’s Note: The statements, opinions and data contained in all publications are solely those of the individual author(s) and contributor(s) and not of MDPI and/or the editor(s). MDPI and/or the editor(s) disclaim responsibility for any injury to people or property resulting from any ideas, methods, instructions or products referred to in the content. |
© 2024 by the authors. Licensee MDPI, Basel, Switzerland. This article is an open access article distributed under the terms and conditions of the Creative Commons Attribution (CC BY) license (https://creativecommons.org/licenses/by/4.0/).
Share and Cite
Steenekamp, E.M.; Liebenberg, W.; Lemmer, H.J.R.; Gerber, M. Formulation and Ex Vivo Evaluation of Ivermectin Within Different Nano-Drug Delivery Vehicles for Transdermal Drug Delivery. Pharmaceutics 2024, 16, 1466. https://doi.org/10.3390/pharmaceutics16111466
Steenekamp EM, Liebenberg W, Lemmer HJR, Gerber M. Formulation and Ex Vivo Evaluation of Ivermectin Within Different Nano-Drug Delivery Vehicles for Transdermal Drug Delivery. Pharmaceutics. 2024; 16(11):1466. https://doi.org/10.3390/pharmaceutics16111466
Chicago/Turabian StyleSteenekamp, Eunice Maureen, Wilna Liebenberg, Hendrik J. R. Lemmer, and Minja Gerber. 2024. "Formulation and Ex Vivo Evaluation of Ivermectin Within Different Nano-Drug Delivery Vehicles for Transdermal Drug Delivery" Pharmaceutics 16, no. 11: 1466. https://doi.org/10.3390/pharmaceutics16111466
APA StyleSteenekamp, E. M., Liebenberg, W., Lemmer, H. J. R., & Gerber, M. (2024). Formulation and Ex Vivo Evaluation of Ivermectin Within Different Nano-Drug Delivery Vehicles for Transdermal Drug Delivery. Pharmaceutics, 16(11), 1466. https://doi.org/10.3390/pharmaceutics16111466

