Halloysite Nanotube-Based Delivery of Pyrazolo[3,4-d]pyrimidine Derivatives for Prostate and Bladder Cancer Treatment
Abstract
1. Introduction
2. Materials and Methods
2.1. Chemistry
2.2. Synthesis of 6-(Allylthio)-1-(2-hydroxy-2-phenylethyl)-1H-pyrazolo[3,4-d]pyrimidin-4-ol (2)
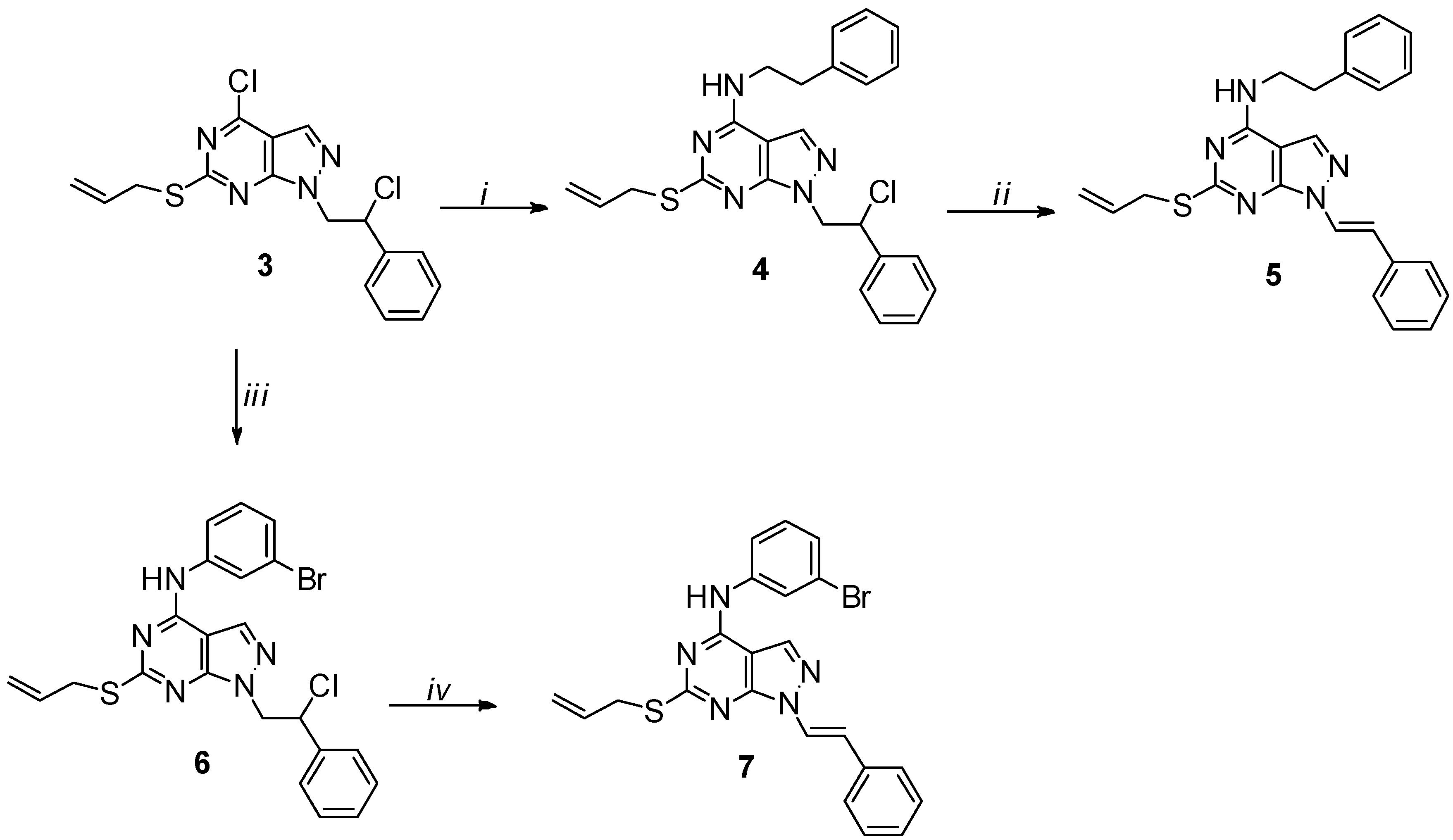
2.3. Synthesis of 6-(Allylthio)-4-chloro-1-(2-chloro-2-phenylethyl)-1H-pyrazolo[3,4-d]pyrimidine (3)
2.4. Synthesis of 6-(Allylthio)-1-(2-chloro-2-phenylethyl)-N-phenethyl-1H-pyrazolo[3,4-d]pyrimidin-4-amine (4)
2.5. Synthesis of 6-(Allylthio)-N-phenethyl-1-styryl-1H-pyrazolo[3,4-d]pyrimidin-4-amine (5)
2.6. Synthesis of 6-(Allylthio)-N-(3-bromophenyl)-1-(2-chloro-2-phenylethyl)-1H-pyrazolo[3,4-d]pyrimidin-4-amine (6)
2.7. 6-(Allylthio)-N-(3-bromophenyl)-1-styryl-1H-pyrazolo[3,4-d]pyrimidin-4-amine (7)
2.8. Synthesis of HNTs/Si27 Nanomaterial
2.9. Synthesis of the HNTs-5, HNTs-6 and HNTs-7 Nanomaterials
2.10. Kinetic Release
2.11. Cell Cultures
2.12. Cell Viability Assay
2.13. Computational Methods
3. Results and Discussion
3.1. Synthesis of the Pyrazolo[3,4-d] Pyrimidine Derivatives and Study of Their Biological Properties
3.2. Synthesis, Characterization and Biological Studies of HNTs Hybrid Systems
3.3. Loading of Si113, Si306 and Si27 Derivatives
3.4. Covalent Grafting
3.5. Cytotoxic Effect on Cancer Cell Lines
4. Conclusions
Supplementary Materials
Author Contributions
Funding
Institutional Review Board Statement
Informed Consent Statement
Data Availability Statement
Acknowledgments
Conflicts of Interest
References
- Sung, H.; Ferlay, J.; Siegel, R.L.; Laversanne, M.; Soerjomataram, I.; Jemal, A.; Bray, F. Global Cancer Statistics 2020: GLOBOCAN Estimates of Incidence and Mortality Worldwide for 36 Cancers in 185 Countries. CA Cancer J. Clin. 2021, 71, 209–249. [Google Scholar] [CrossRef] [PubMed]
- Hossain, M.; Habib, I.; Singha, K.; Kumar, A. FDA-approved heterocyclic molecules for cancer treatment: Synthesis, dosage, mechanism of action and their adverse effect. Heliyon 2024, 10, e23172. [Google Scholar] [CrossRef]
- Milović, E.; Ristovski, J.T.; Stefanović, S.; Petronijević, J.; Joksimović, N.; Matić, I.Z.; Đurić, A.; Ilić, B.; Klisurić, O.; Radan, M.; et al. Synthesis, in vitro anticancer activity, and pharmacokinetic profiling of the new tetrahydropyrimidines: Part I. Archiv. Pharm. 2024, 357, e2400403. [Google Scholar] [CrossRef]
- Milović, E.; Janković, N.; Petronijević, J.; Joksimović, N.; Kosanić, M.; Stanojković, T.; Matić, I.; Grozdanić, N.; Klisurić, O.; Stefanović, S. Synthesis, Characterization, and Biological Evaluation of Tetrahydropyrimidines: Dual-Activity and Mechanism of Action. Pharmaceutics 2022, 14, 2254. [Google Scholar] [CrossRef]
- Joksimović, N.; Janković, N.; Davidović, G.; Bugarčić, Z. 2,4-Diketo esters: Crucial intermediates for drug discovery. Bioorganic Chem. 2020, 105, 104343. [Google Scholar] [CrossRef] [PubMed]
- Joksimović, N.; Petronijević, J.; Janković, N.; Baskić, D.; Popović, S.; Todorović, D.; Matić, S.; Bogdanović, G.A.; Vraneš, M.; Tot, A.; et al. Synthesis, characterization, anticancer evaluation and mechanisms of cytotoxic activity of novel 3-hydroxy-3-pyrrolin-2-ones bearing thenoyl fragment: DNA, BSA interactions and molecular docking study. Bioorganic Chem. 2019, 88, 102954. [Google Scholar] [CrossRef] [PubMed]
- Janković, N.; Trifunović Ristovski, J.; Vraneš, M.; Tot, A.; Petronijević, J.; Joksimović, N.; Stanojković, T.; Đorđić Crnogorac, M.; Petrović, N.; Boljević, I.; et al. Discovery of the Biginelli hybrids as novel caspase-9 activators in apoptotic machines: Lipophilicity, molecular docking study, influence on angiogenesis gene and miR-21 expression levels. Bioorganic Chem. 2019, 86, 569–582. [Google Scholar] [CrossRef]
- Shcharbin, D.; Bryszewska, M.; Mignani, S.; Shi, X.; Majoral, J.-P. Phosphorus dendrimers as powerful nanoplatforms for drug delivery, as fluorescent probes and for liposome interaction studies: A concise overview. Eur. J. Med. Chem. 2020, 208, 112788. [Google Scholar] [CrossRef] [PubMed]
- Dang, X.-W.; Duan, J.-L.; Ye, E.; Mao, N.-D.; Bai, R.; Zhou, X.; Ye, X.-Y. Recent advances of small-molecule c-Src inhibitors for potential therapeutic utilities. Bioorganic Chem. 2024, 142, 106934. [Google Scholar] [CrossRef]
- Irby, R.B.; Yeatman, T.J. Role of Src expression and activation in human cancer. Oncogene 2000, 19, 5636–5642. [Google Scholar] [CrossRef]
- Ishizawar, R.; Parsons, S.J. C-Src and cooperating partners in human cancer. Cancer Cell 2004, 6, 209–214. [Google Scholar] [CrossRef] [PubMed]
- Kostić, A.; Jovanović Stojanov, S.; Podolski-Renić, A.; Nešović, M.; Dragoj, M.; Nikolić, I.; Tasić, G.; Schenone, S.; Pešić, M.; Dinić, J. Pyrazolo[3,4-d]pyrimidine Tyrosine Kinase Inhibitors Induce Oxidative Stress in Patient-Derived Glioblastoma Cells. Brain Sci. 2021, 11, 884. [Google Scholar] [CrossRef] [PubMed]
- Wheeler, D.L.; Iida, M.; Dunn, E.F. The Role of Src in Solid Tumors. Oncologist 2009, 14, 667–678. [Google Scholar] [CrossRef] [PubMed]
- Guarino, M. Src signaling in cancer invasion. J. Cell. Physiol. 2010, 223, 14–26. [Google Scholar] [CrossRef]
- Vallo, S.; Michaelis, M.; Gust, K.M.; Black, P.C.; Rothweiler, F.; Kvasnicka, H.-M.; Blaheta, R.A.; Brandt, M.P.; Wezel, F.; Haferkamp, A.; et al. Dasatinib enhances tumor growth in gemcitabine-resistant orthotopic bladder cancer xenografts. BMC Res. Notes 2016, 9, 454. [Google Scholar] [CrossRef][Green Version]
- Shukla, D.; Meng, Y.; Roux, B.; Pande, V.S. Activation pathway of Src kinase reveals intermediate states as targets for drug design. Nat. Commun. 2014, 5, 3397. [Google Scholar] [CrossRef]
- Lombardo, L.J.; Lee, F.Y.; Chen, P.; Norris, D.; Barrish, J.C.; Behnia, K.; Castaneda, S.; Cornelius, L.A.M.; Das, J.; Doweyko, A.M.; et al. Discovery of N-(2-Chloro-6-methyl- phenyl)-2-(6-(4-(2-hydroxyethyl)- piperazin-1-yl)-2-methylpyrimidin-4- ylamino)thiazole-5-carboxamide (BMS-354825), a Dual Src/Abl Kinase Inhibitor with Potent Antitumor Activity in Preclinical Assays. J. Med. Chem. 2004, 47, 6658–6661. [Google Scholar] [CrossRef]
- Fauziya; Gupta, A.; Nadaf, A.; Ahmad, S.; Hasan, N.; Imran, M.; Sahebkar, A.; Jain, G.K.; Kesharwani, P.; Ahmad, F.J. Dasatinib: A potential tyrosine kinase inhibitor to fight against multiple cancer malignancies. Med. Oncol. 2023, 40, 173. [Google Scholar] [CrossRef]
- Baillache, D.J.; Unciti-Broceta, A. Recent developments in anticancer kinase inhibitors based on the pyrazolo[3,4-d]pyrimidine scaffold. RSC Med. Chem. 2020, 11, 1112–1135. [Google Scholar] [CrossRef]
- Brown, J.R. Ibrutinib (PCI-32765), the First BTK (Bruton’s Tyrosine Kinase) Inhibitor in Clinical Trials. Curr. Hematol. Malig. Rep. 2013, 8, 1–6. [Google Scholar] [CrossRef]
- Carles, F.; Bourg, S.; Meyer, C.; Bonnet, P. PKIDB: A Curated, Annotated and Updated Database of Protein Kinase Inhibitors in Clinical Trials. Molecules 2018, 23, 908. [Google Scholar] [CrossRef] [PubMed]
- Islam, F.; Quadery, T.M.; Bai, R.; Luckett-Chastain, L.R.; Hamel, E.; Ihnat, M.A.; Gangjee, A. Novel pyrazolo[4,3-d]pyrimidine microtubule targeting agents (MTAs): Synthesis, structure–activity relationship, in vitro and in vivo evaluation as antitumor agents. Bioorganic Med. Chem. Lett. 2021, 41, 127923. [Google Scholar] [CrossRef] [PubMed]
- Rango, E.; Pastorino, F.; Brignole, C.; Mancini, A.; Poggialini, F.; Di Maria, S.; Zamperini, C.; Iovenitti, G.; Fallacara, A.L.; Sabetta, S.; et al. The Pyrazolo[3,4-d]Pyrimidine Derivative Si306 Encapsulated into Anti-GD2-Immunoliposomes as Therapeutic Treatment of Neuroblastoma. Biomedicines 2022, 10, 659. [Google Scholar] [CrossRef] [PubMed]
- Massaro, M.; Barone, G.; Barra, V.; Cancemi, P.; Di Leonardo, A.; Grossi, G.; Lo Celso, F.; Schenone, S.; Viseras Iborra, C.; Riela, S. Pyrazole[3,4-d]pyrimidine derivatives loaded into halloysite as potential CDK inhibitors. Int. J. Pharm. 2021, 599, 120281. [Google Scholar] [CrossRef]
- Angelucci, A.; Schenone, S.; Gravina, G.L.; Muzi, P.; Festuccia, C.; Vicentini, C.; Botta, M.; Bologna, M. Pyrazolo[3,4-d]pyrimidines c-Src inhibitors reduce epidermal growth factor-induced migration in prostate cancer cells. Eur. J. Cancer 2006, 42, 2838–2845. [Google Scholar] [CrossRef]
- Tintori, C.; Fallacara, A.L.; Radi, M.; Zamperini, C.; Dreassi, E.; Crespan, E.; Maga, G.; Schenone, S.; Musumeci, F.; Brullo, C.; et al. Combining X-ray Crystallography and Molecular Modeling toward the Optimization of Pyrazolo[3,4-d]pyrimidines as Potent c-Src Inhibitors Active in Vivo against Neuroblastoma. J. Med. Chem. 2015, 58, 347–361. [Google Scholar] [CrossRef] [PubMed]
- Peixoto, D.; Pereira, I.; Pereira-Silva, M.; Veiga, F.; Hamblin, M.R.; Lvov, Y.; Liu, M.; Paiva-Santos, A.C. Emerging role of nanoclays in cancer research, diagnosis, and therapy. Coord. Chem. Rev. 2021, 440, 213956. [Google Scholar] [CrossRef]
- Boraei, S.B.A.; Eshghabadi, F.; Hosseinpour, R.; Zare, Y.; Munir, M.T.; Rhee, K.Y. Halloysite nanotubes in biomedical applications: Recent approaches and future trends. Appl. Clay Sci. 2024, 253, 107346. [Google Scholar] [CrossRef]
- Falanga, A.P.; Massaro, M.; Borbone, N.; Notarbartolo, M.; Piccialli, G.; Liotta, L.F.; Sanchez-Espejo, R.; Viseras Iborra, C.; Raymo, F.M.; Oliviero, G.; et al. Carrier capability of halloysite nanotubes for the intracellular delivery of antisense PNA targeting mRNA of neuroglobin gene. J. Colloid Interface Sci. 2024, 663, 9–20. [Google Scholar] [CrossRef]
- Massaro, M.; Ghersi, G.; de Melo Barbosa, R.; Campora, S.; Rigogliuso, S.; Sànchez-Espejo, R.; Viseras-Iborra, C.; Riela, S. Nanoformulations based on collagenases loaded into halloysite/Veegum® clay minerals for potential pharmaceutical applications. Colloids Surf. B Biointerfaces 2023, 230, 113511. [Google Scholar] [CrossRef]
- Saleh, M.Y.; Prajapati, N.; DeCoster, M.A.; Lvov, Y. Tagged Halloysite Nanotubes as a Carrier for Intercellular Delivery in Brain Microvascular Endothelium. Front. Bioeng. Biotechnol. 2020, 8, 451. [Google Scholar] [CrossRef] [PubMed]
- Baroni, M.; Cruciani, G.; Sciabola, S.; Perruccio, F.; Mason, J.S. A Common Reference Framework for Analyzing/Comparing Proteins and Ligands. Fingerprints for Ligands And Proteins (FLAP): Theory and Application. J. Chem. Inf. Model. 2007, 47, 279–294. [Google Scholar] [CrossRef] [PubMed]
- Schenone, S.; Bruno, O.; Bondavalli, F.; Ranise, A.; Mosti, L.; Menozzi, G.; Fossa, P.; Manetti, F.; Morbidelli, L.; Trincavelli, L.; et al. Synthesis of 1-(2-chloro-2-phenylethyl)-6-methylthio-1H-pyrazolo[3,4-d]pyrimidines 4-amino substituted and their biological evaluation. Eur. J. Med. Chem. 2004, 39, 153–160. [Google Scholar] [CrossRef]
- Tintori, C.; La Sala, G.; Vignaroli, G.; Botta, L.; Fallacara, A.L.; Falchi, F.; Radi, M.; Zamperini, C.; Dreassi, E.; Dello Iacono, L.; et al. Studies on the ATP Binding Site of Fyn Kinase for the Identification of New Inhibitors and Their Evaluation as Potential Agents against Tauopathies and Tumors. J. Med. Chem. 2015, 58, 4590–4609. [Google Scholar] [CrossRef]
- Bondavalli, F.; Botta, M.; Bruno, O.; Ciacci, A.; Corelli, F.; Fossa, P.; Lucacchini, A.; Manetti, F.; Martini, C.; Menozzi, G.; et al. Synthesis, Molecular Modeling Studies, and Pharmacological Activity of Selective A1 Receptor Antagonists. J. Med. Chem. 2002, 45, 4875–4887. [Google Scholar] [CrossRef] [PubMed]
- Muratore, G.; Mercorelli, B.; Goracci, L.; Cruciani, G.; Digard, P.; Palù, G.; Loregian, A. Human Cytomegalovirus Inhibitor AL18 Also Possesses Activity against Influenza A and B Viruses. Antimicrob. Agents Chemother. 2012, 56, 6009–6013. [Google Scholar] [CrossRef] [PubMed]
- Cruciani, G.; Milletti, F.; Storchi, L.; Sforna, G.; Goracci, L. In silico pKa Prediction and ADME Profiling. Chem. Biodivers. 2009, 6, 1812–1821. [Google Scholar] [CrossRef]
- Vasconcelos-Ulloa, J.d.J.; García-González, V.; Valdez-Salas, B.; Vázquez-Jiménez, J.G.; Rivero-Espejel, I.; Díaz-Molina, R.; Galindo-Hernández, O. A Triazaspirane Derivative Inhibits Migration and Invasion in PC3 Prostate Cancer Cells. Molecules 2023, 28, 4524. [Google Scholar] [CrossRef] [PubMed]
- Zangouei, A.S.; Barjasteh, A.H.; Rahimi, H.R.; Mojarrad, M.; Moghbeli, M. Role of tyrosine kinases in bladder cancer progression: An overview. Cell Commun. Signal. 2020, 18, 127. [Google Scholar] [CrossRef]
- Massaro, M.; Colletti, C.G.; Guernelli, S.; Lazzara, G.; Liu, M.; Nicotra, G.; Noto, R.; Parisi, F.; Pibiri, I.; Spinella, C.; et al. Photoluminescent hybrid nanomaterials from modified halloysite nanotubes. J. Mater. Chem. C 2018, 6, 7377–7384. [Google Scholar] [CrossRef]
- Massaro, M.; Poma, P.; Colletti, C.G.; Barattucci, A.; Bonaccorsi, P.M.; Lazzara, G.; Nicotra, G.; Parisi, F.; Salerno, T.M.G.; Spinella, C.; et al. Chemical and biological evaluation of cross-linked halloysite-curcumin derivatives. Appl. Clay Sci. 2020, 184, 105400. [Google Scholar] [CrossRef]











| Drug | RT112 | UMUC3 | PC3 |
|---|---|---|---|
| 5 | 25.0 ± 5.0 | 9.9 ± 0.1 | 9.3 ± 2.1 |
| 6 | 10.4 ± 2.9 | 5.0 ± 1.3 | 10.7 ± 1.5 |
| 7 | 13.6 ± 4.3 | 9.0 ± 1.7 | 16.3 ± 2.1 |
| Si306 | 3.6 ± 1.2 | 7.2 ± 1.1 | 8.3 ± 0.6 |
| Si113 | 8.0 ± 0.7 | 4.1 ± 1.6 | 9.5 ± 0.9 |
| Si27 | 26.7 ± 2.9 | 16.8 ± 1.6 | 10.0 ± 3.0 |
| Nanomaterial | Z-Average Size/nm | PDI | ζ-Potential/mV |
|---|---|---|---|
| HNTs | 295 ± 16 | 0.300 | −19.0 |
| HNTs/Si306 | 330 ± 20 | 0.481 | −16.9 |
| HNTs/Si113 | 299 ± 32 | 0.350 | −12.6 |
| HNTs/Si27 | 273 ± 8 | 0.368 | −15.4 |
| HNTs-5 | 654 ± 80 | 0.678 | −14.7 |
| HNTs-6 | 1026 ± 170 | 0.744 | −13.3 |
| HNTs-7 | 1110 ± 70 | 0.895 | −12.3 |
| Drug | RT112 | UMUC3 | PC3 |
|---|---|---|---|
| HNTs-5 | >10 | >10 | >10 |
| HNTs-6 | 2.8 ± 0.8 | >10 | >10 |
| HNTs-7 | >10 | >10 | >10 |
| HNTs/Si306 | 4.3 ± 0.6 | 3.4 ± 1.8 | >10 |
| HNTs/Si113 | 4.6 ± 0.4 | 6.3 ± 1.5 | 8.5 ± 1.6 |
| HNTs/Si27 | 3.4 ± 0.8 | 6.5 ± 0.9 | 7.3 ± 0.5 |
Disclaimer/Publisher’s Note: The statements, opinions and data contained in all publications are solely those of the individual author(s) and contributor(s) and not of MDPI and/or the editor(s). MDPI and/or the editor(s) disclaim responsibility for any injury to people or property resulting from any ideas, methods, instructions or products referred to in the content. |
© 2024 by the authors. Licensee MDPI, Basel, Switzerland. This article is an open access article distributed under the terms and conditions of the Creative Commons Attribution (CC BY) license (https://creativecommons.org/licenses/by/4.0/).
Share and Cite
Massaro, M.; Ciani, R.; Grossi, G.; Cavallaro, G.; de Melo Barbosa, R.; Falesiedi, M.; Fortuna, C.G.; Carbone, A.; Schenone, S.; Sánchez-Espejo, R.; et al. Halloysite Nanotube-Based Delivery of Pyrazolo[3,4-d]pyrimidine Derivatives for Prostate and Bladder Cancer Treatment. Pharmaceutics 2024, 16, 1428. https://doi.org/10.3390/pharmaceutics16111428
Massaro M, Ciani R, Grossi G, Cavallaro G, de Melo Barbosa R, Falesiedi M, Fortuna CG, Carbone A, Schenone S, Sánchez-Espejo R, et al. Halloysite Nanotube-Based Delivery of Pyrazolo[3,4-d]pyrimidine Derivatives for Prostate and Bladder Cancer Treatment. Pharmaceutics. 2024; 16(11):1428. https://doi.org/10.3390/pharmaceutics16111428
Chicago/Turabian StyleMassaro, Marina, Rebecca Ciani, Giancarlo Grossi, Gianfranco Cavallaro, Raquel de Melo Barbosa, Marta Falesiedi, Cosimo G. Fortuna, Anna Carbone, Silvia Schenone, Rita Sánchez-Espejo, and et al. 2024. "Halloysite Nanotube-Based Delivery of Pyrazolo[3,4-d]pyrimidine Derivatives for Prostate and Bladder Cancer Treatment" Pharmaceutics 16, no. 11: 1428. https://doi.org/10.3390/pharmaceutics16111428
APA StyleMassaro, M., Ciani, R., Grossi, G., Cavallaro, G., de Melo Barbosa, R., Falesiedi, M., Fortuna, C. G., Carbone, A., Schenone, S., Sánchez-Espejo, R., Viseras, C., Vago, R., & Riela, S. (2024). Halloysite Nanotube-Based Delivery of Pyrazolo[3,4-d]pyrimidine Derivatives for Prostate and Bladder Cancer Treatment. Pharmaceutics, 16(11), 1428. https://doi.org/10.3390/pharmaceutics16111428

