Assessing Drug Product Shelf Life Using the Accelerated Stability Assessment Program: A Case Study of a GLPG4399 Capsule Formulation
Abstract
1. Introduction
2. Materials and Methods
2.1. Forced Oxidative Degradation/Stress Study in the Solution State
2.2. Accelerated, Short-Term Storage Stability Study
2.3. Real-Time, Long-Term Storage Stability Study
2.4. Establishment of the LC Method and Analysis of Samples
2.5. Statistical Modeling and Data Analysis
3. Results and Discussion
3.1. Forced Degradation Outcomes
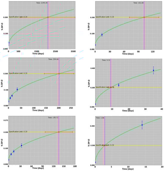
3.2. Accelerated, Short-Term and Real-Time, Long-Term Stability Outcomes
3.3. Statistical Evaluation
3.4. The Relevance and Practical Application of the Approach
4. Conclusions
Supplementary Materials
Author Contributions
Funding
Institutional Review Board Statement
Informed Consent Statement
Data Availability Statement
Acknowledgments
Conflicts of Interest
References
- Sengupta, P.; Chatterjee, B.; Tekade, R.K. Current regulatory requirements and practical approaches for stability analysis of pharmaceutical products: A comprehensive review. Int. J. Pharm. 2018, 543, 328–344. [Google Scholar] [CrossRef] [PubMed]
 - Robnik, B.; Likozar, B.; Wang, B.; Stanic Ljubin, T.; Casar, Z. Understanding and kinetic modeling of complex degradation pathways in the solid dosage form: The case of saxagliptin. Pharmaceutics 2019, 11, 452. [Google Scholar] [CrossRef] [PubMed]
 - Gabrič, A.; Hodnik, Ž.; Pajk, S. Oxidation of drugs during drug product development: Problems and solutions. Pharmaceutics 2022, 14, 325. [Google Scholar] [CrossRef] [PubMed]
 - Wu, Y.; Levons, J.; Narang, A.S.; Raghavan, K.; Rao, V.M. Reactive impurities in excipients: Profiling, identification and mitigation of drug-excipient incompatibility. AAPS PharmSciTech 2011, 12, 1248–1263. [Google Scholar] [CrossRef]
 - European Medicines Agency. ICH Guideline Q1A (R2) Stability Testing of New Drug Substances and Products—Scientific Guideline. Available online: https://www.ema.europa.eu/en/ich-q1a-r2-stability-testing-new-drug-substances-drug-products-scientific-guideline (accessed on 1 July 2024).
 - Rakers, V.; Wang, J.; Kou, D. Accelerated predictive stability study of a pediatric drug product for a supplemental new drug application. AAPS PharmSciTech 2024, 25, 128. [Google Scholar] [CrossRef]
 - Fu, M.; Orta, A.; Bujalski, R.; Greene, J.; Pranatharthiharan, L. Development, comparison, and qualification of predictive pharmaceutical stability models using independent statistical tools. J. Pharm. Innov. 2024, 19, 33. [Google Scholar] [CrossRef]
 - McCaig, L.; Nowak, S.; Abbott, A.; Carhart, J.; McMahon, M.E.; Debie, E.; Li, H.; Maina, F.; Ji, A.J.; Fu, M.; et al. Science- and risk-based stability strategies to support product lifecycle changes. AAPS J. 2024, 26, 34. [Google Scholar] [CrossRef]
 - Furness, M.S.; Cai, H.; Chandramouli, S.; Chelliah, M.; Chen, X.H.; Ghosh, D.; Liu, S.; McLamore, S.; Randad, R.; Shen, M. Modeling approaches to reimagine stability (MARS) for enabling earlier access to critical drugs for patients with unmet medical needs. AAPS PharmSciTech 2023, 24, 35. [Google Scholar] [CrossRef]
 - Chau, J.; Altan, S.; Burggraeve, A.; Coppenolle, H.; Kifle, Y.W.; Prokopcova, H.; Van Daele, T.; Sterckx, H. A Bayesian approach to kinetic modeling of accelerated stability studies and shelf life determination. AAPS PharmSciTech 2023, 24, 250. [Google Scholar] [CrossRef]
 - McMahon, M.E.; Abbott, A.; Babayan, Y.; Carhart, J.; Chen, C.W.; Debie, E.; Fu, M.; Hoaglund-Hyzer, C.; Lennard, A.; Li, H.; et al. Considerations for updates to ICH Q1 and Q5C stability guidelines: Embracing current technology and risk assessment strategies. AAPS J. 2021, 23, 107. [Google Scholar] [CrossRef]
 - McMahon, M.; Williams, H.; Debie, E.; Fu, M.; Bujalski, R.; Qiu, F.; Wu, Y.; Li, H.; Wang, J.; Hoaglund-Hyzer, C.; et al. Utilization of risk-based predictive stability within regulatory submissions; industry’s experience. AAPS Open 2020, 6, 1. [Google Scholar] [CrossRef]
 - Gonzalez-Gonzalez, O.; Ramirez, I.O.; Ramirez, B.I.; O’Connell, P.; Ballesteros, M.P.; Torrado, J.J.; Serrano, D.R. Drug stability: ICH versus accelerated predictive stability studies. Pharmaceutics 2022, 14, 2324. [Google Scholar] [CrossRef] [PubMed]
 - Clancy, D.; Hodnett, N.; Orr, R.; Owen, M.; Peterson, J. Kinetic model development for accelerated stability studies. AAPS PharmSciTech 2017, 18, 1158–1176. [Google Scholar] [CrossRef]
 - Waterman, K.C. The application of the Accelerated Stability Assessment Program (ASAP) to quality by design (QbD) for drug product stability. AAPS PharmSciTech 2011, 12, 932–937. [Google Scholar] [CrossRef]
 - Malcolm, L. Chapter 12—Accelerated Stability Assessment Program (ASAP) applications in a postapproval environment. In Accelerated Predictive Stability; Elsevier: Amsterdam, The Netherlands, 2018; pp. 287–304. [Google Scholar]
 - Evers, A.; Clénet, D.; Pfeiffer-Marek, S. Long-term stability prediction for developability assessment of biopharmaceutics using advanced kinetic modeling. Pharmaceutics 2022, 14, 375. [Google Scholar] [CrossRef]
 - Lim, H.-S. Evolving role of modeling and simulation in drug development. Transl. Clin. Pharmacol. 2019, 27, 19–23. [Google Scholar] [CrossRef]
 - World Health Organization. Stability Testing of Active Pharmaceutical Ingredients and Finished Pharmaceutical Products. WHO Expert Committee on Specifications for Pharmaceutical Preparations. Forty-Third Report (WHO Technical Report Series, No. 953). 2009. Available online: https://iris.who.int/handle/10665/44553 (accessed on 12 September 2024).
 - Panama Ministry of Health. Executive Decree No.504. 9 November 2005. Gaceta Oficial. 2005. Available online: https://www.gacetaoficial.gob.pa/gacetas/25426_2005.pdf (accessed on 12 September 2024).
 - Resolution RE No.1, Dated 29 July 2005. Published in the Official Gazette of the Union; Supplement to No. 146–Section 1, Brasília–DF; 1 August 2005. Available online: https://bvsms.saude.gov.br/bvs/saudelegis/anvisa/2005/res0001_29_07_2005.html (accessed on 12 September 2024).
 - Greenspan, L. Humidity fixed points of binary saturated aqueous solutions. J. Res. Natl. Bur. Stand. A Phys. Chem. 1977, 81A, 89–96. [Google Scholar] [CrossRef]
 - Modhave, D.; Barrios, B.; Paudel, A. PVP-H2O2 complex as a new stressor for the accelerated oxidation study of pharmaceutical solids. Pharmaceutics 2019, 11, 457. [Google Scholar] [CrossRef] [PubMed]
 - Saraf, I.; Modhave, D.; Kushwah, V.; Neshchadin, D.; Gescheidt, G.; Trausinger, G.; Melchior, P.; Magnes, C.; Paudel, A. Feasibility of rapidly assessing reactive impurities mediated excipient incompatibility using a new method: A case study of famotidine-PEG system. J. Pharm. Biomed. Anal. 2020, 178, 112893. [Google Scholar] [CrossRef]
 - Scrivens, G.; Clancy, D.; Gerst, P. Chapter 3—Theory and fundamentals of accelerated predictive stability (APS) studies. In Accelerated Predictive Stability; Academic Press: Cambridge, MA, USA, 2018; pp. 33–73. [Google Scholar]
 - Saraf, I.; Roskar, R.; Modhave, D.; Brunsteiner, M.; Karn, A.; Neshchadin, D.; Gescheidt, G.; Paudel, A. Forced solid-state oxidation studies of nifedipine-PVP amorphous solid dispersion. Mol. Pharm. 2022, 19, 568–583. [Google Scholar] [CrossRef]
 - Musakhanian, J.; Rodier, J.D.; Dave, M. Oxidative stability in lipid formulations: A review of the mechanisms, drivers, and inhibitors of oxidation. AAPS PharmSciTech 2022, 23, 151. [Google Scholar] [CrossRef] [PubMed]
 - Kuzman, D.; Bunc, M.; Ravnik, M.; Reiter, F.; Zagar, L.; Boncina, M. Long-term stability predictions of therapeutic monoclonal antibodies in solution using Arrhenius-based kinetics. Sci. Rep. 2021, 11, 20534. [Google Scholar] [CrossRef] [PubMed]
 - Schöneich, C. Primary processes of free radical formation in pharmaceutical formulations of therapeutic proteins. Biomolecules 2023, 13, 1142. [Google Scholar] [CrossRef] [PubMed]
 




| Stability Condition | Time Duration | Percentage DP-O Level a | 
|---|---|---|
| Accelerated, short-term stability data | ||
| NA | 0 weeks | ND | 
| 50 °C/50% RH | 1 week | NT | 
| 2 weeks | 0.0915 ± 0.0005 | |
| 5 weeks | 0.1628 ± 0.0022 | |
| 50 °C/75% RH | 1 week | 0.0483 ± 0.0010 | 
| 2 weeks | 0.0629 ± 0.0020 | |
| 5 weeks | 0.1022 ± 0.0020 | |
| 60 °C/10% RH | 1 week | NT | 
| 2 weeks | 0.2245 ± 0.0159 | |
| 5 weeks | 0.3776 ± 0.0006 | |
| 60 °C/80% RH | 1 week | 0.0627 ± 0.0027 | 
| 2 weeks | 0.0800 ± 0.0021 | |
| 5 weeks | 0.1165 ± 0.0062 | |
| 70 °C/40% RH | 1 week | NT | 
| 2 weeks | 0.4099 ± 0.0012 | |
| 5 weeks | 0.8574 ± 0.0037 | |
| 40 °C/75% RH | 1 week | NT | 
| 2 weeks | 0.0417 ± 0.0014 | |
| 5 weeks | NT | |
| Real-time, long-term stability data b | ||
| 25 °C/60% RH | 0 months | ND | 
| 1 month | ND | |
| 3 months | ND | |
| 6 months | ND | |
| 12 months | 0.07 | |
| Parameter | Value ± SD (If Applicable) | 
|---|---|
| ln A | 50.7 ± 11.1 | 
| Ea Kcal/mol | 35.8 ± 7.4 | 
| B | −0.0330 ± 0.0104 | 
| R2 | >0.95 | 
| Q2 | >0.80 | 
Disclaimer/Publisher’s Note: The statements, opinions and data contained in all publications are solely those of the individual author(s) and contributor(s) and not of MDPI and/or the editor(s). MDPI and/or the editor(s) disclaim responsibility for any injury to people or property resulting from any ideas, methods, instructions or products referred to in the content.  | 
© 2024 by the authors. Licensee MDPI, Basel, Switzerland. This article is an open access article distributed under the terms and conditions of the Creative Commons Attribution (CC BY) license (https://creativecommons.org/licenses/by/4.0/).
Share and Cite
Modhave, D.; Vrielynck, S.; Roeleveld, K. Assessing Drug Product Shelf Life Using the Accelerated Stability Assessment Program: A Case Study of a GLPG4399 Capsule Formulation. Pharmaceutics 2024, 16, 1400. https://doi.org/10.3390/pharmaceutics16111400
Modhave D, Vrielynck S, Roeleveld K. Assessing Drug Product Shelf Life Using the Accelerated Stability Assessment Program: A Case Study of a GLPG4399 Capsule Formulation. Pharmaceutics. 2024; 16(11):1400. https://doi.org/10.3390/pharmaceutics16111400
Chicago/Turabian StyleModhave, Dattatray, Sara Vrielynck, and Kevin Roeleveld. 2024. "Assessing Drug Product Shelf Life Using the Accelerated Stability Assessment Program: A Case Study of a GLPG4399 Capsule Formulation" Pharmaceutics 16, no. 11: 1400. https://doi.org/10.3390/pharmaceutics16111400
APA StyleModhave, D., Vrielynck, S., & Roeleveld, K. (2024). Assessing Drug Product Shelf Life Using the Accelerated Stability Assessment Program: A Case Study of a GLPG4399 Capsule Formulation. Pharmaceutics, 16(11), 1400. https://doi.org/10.3390/pharmaceutics16111400
        
