Development of Technology for the Synthesis of Nanocrystalline Cerium Oxide Under Production Conditions with the Best Regenerative Activity and Biocompatibility for Further Creation of Wound-Healing Agents
Abstract
1. Introduction
2. Materials and Methods
2.1. Synthesis of CeO2 Nanoparticles Under Industrial Conditions
2.2. Study Design
2.3. Physicochemical Methods of Research
2.3.1. Transmission Electron Microscopy
2.3.2. Other Physicochemical Methods
2.4. Biological Methods of Research on Cell Lines
2.4.1. Cell Lines and Cell Culture
2.4.2. MTT Test Methodology
2.4.3. Quantitative Cell Counting and Assessment of Cytotoxicity
2.5. Microbiological Research
2.6. Statistical Processing
3. Results
3.1. Results of Transmission Electron Microscopy
3.1.1. TEM of Initial Powders of Cerium Dioxide Nanoparticles
3.1.2. TEM of CeO2 Samples from Different Levels
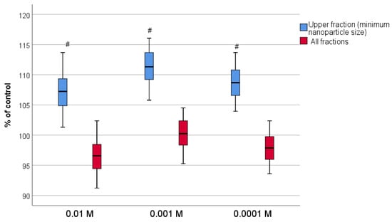
3.2. Determination of Cerium Dioxide Concentration at Different Levels of Sol After Sedimentation
3.3. Results of X-Ray Diffraction Analysis
3.4. Results of Raman Spectroscopy
3.5. Mass Spectrometry Results
3.6. Results of Studies on Cell Lines
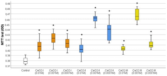
3.6.1. Results of the Effect of CeO2 Nanoparticles Obtained Under Different Synthesis Conditions and in Different Concentrations on the Biocompatibility, Metabolic, and Proliferative Activity of Human Fibroblasts
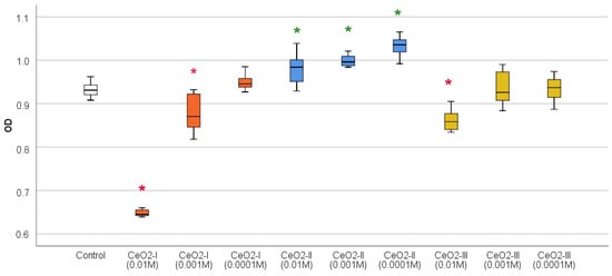
3.6.2. Results of Studies of the Effect of CeO2 Sols Obtained Under Different Synthesis Conditions and at Different Concentrations on Biocompatibility, Metabolic, and the Proliferative Activity of Human Keratinocytes
3.7. Results of Evaluation of Antimicrobial Activity Against Pseudomonas aeruginosa
4. Discussion
5. Conclusions
Author Contributions
Funding
Institutional Review Board Statement
Informed Consent Statement
Data Availability Statement
Conflicts of Interest
References
- Pallares, R.M.; Abergel, R.J. Transforming lanthanide and actinide chemistry with nanoparticles. Nanoscale 2020, 12, 1339–1348. [Google Scholar] [CrossRef] [PubMed]
- Bogachev, N.A.; Betina, A.A.; Bulatova, T.S.; Nosov, V.G.; Kolesnik, S.S.; Tumkin, I.I.; Ryazantsev, M.N.; Skripkin, M.Y.; Mereshchenko, A.S. Lanthanide-Ion-Doping Effect on the Morphology and the Structure of NaYF4:Ln3+ Nanoparticles. Nanomaterials 2022, 12, 2972. [Google Scholar] [CrossRef] [PubMed] [PubMed Central]
- De Lama-Odría, M.D.C.; Valle, L.J.D.; Puiggalí, J. Lanthanides-Substituted Hydroxyapatite for Biomedical Applications. Int. J. Mol. Sci. 2023, 24, 3446. [Google Scholar] [CrossRef] [PubMed] [PubMed Central]
- Álvarez-Asencio, R.; Corkery, R.W.; Ahniyaz, A. Solventless synthesis of cerium oxide nanoparticles and their application in UV protective clear coatings. RSC Adv. 2020, 10, 14818–14825. [Google Scholar] [CrossRef]
- Amoresi, R.A.C.; De Oliveira, R.C.; Cichetto, L., Jr.; Desimone, P.M.; Aldao, C.M.; Ponce, M.A.; Garcia, L.; Sambrano, J.R.; Longo, E.; Andres, J.; et al. Pure and Ni2O3-decorated CeO2 nanoparticles applied as CO gas sensor: Experimental and theoretical insights. Ceram. Int. 2022, 48, 14014–14025. [Google Scholar] [CrossRef]
- Bumajdad, A.; Eastoe, J.; Mathew, A. Cerium oxide nanoparticles prepared in self-assembled systems. Adv. Colloid. Interface Sci. 2009, 147, 56–66. [Google Scholar] [CrossRef]
- Cho, M.-Y.; Roh, K.-C.; Park, S.-M.; Choi, H.-J.; Lee, J.-W. Control of particle size and shape of precursors for ceria using ammonium carbonate as a precipitant. Mater. Lett. 2010, 64, 323–326. [Google Scholar] [CrossRef]
- Choi, S.W.; Kim, J. Facile Room-Temperature Synthesis of Cerium Carbonate and Cerium Oxide Nano- and Microparticles Using 1,1′-Carbonyldiimidazole and Imidazole in a Nonaqueous Solvent. ACS Omega 2021, 6, 26477–26488. [Google Scholar] [CrossRef]
- Dahle, J.T.; Arai, Y. Environmental geochemistry of cerium: Applications and toxicology of cerium oxide nanoparticles. Int. J. Environ. Res. Public Health 2015, 12, 1253–1278. [Google Scholar] [CrossRef]
- Ederer, J.; Šťastný, M.; Došek, M.; Henych, J.; Janoš, P. Mesoporous cerium oxide for fast degradation of aryl organophosphate flame retardant triphenyl phosphate. RSC Adv. 2019, 8, 32058–32065. [Google Scholar] [CrossRef] [PubMed]
- Fauzi, A.A.; Jalil, A.A.; Aziz, F.F.A.; Azami, M.S.; Hussain, I.; Saravanan, R.; Vo, D.V.N. A critical review on relationship of CeO2-based photocatalyst towards mechanistic degradation of organic pollutant. Chemosphere 2022, 286, 131651. [Google Scholar] [CrossRef] [PubMed]
- Fifere, N.; Airinei, A.; Asandulesa, M.; Rotaru, A.; Ursu, E.L.; Doroftei, F. Investigating the Vibrational, Magnetic and Dielectric Properties, and Antioxidant Activity of Cerium Oxide Nanoparticles. Int. J. Mol. Sci. 2022, 23, 13883. [Google Scholar] [CrossRef] [PubMed]
- Kang, Y.; Leng, Q.; Guo, D.; Yang, D.; Pu, Y.; Hu, C. Room-Temperature Magnetism of Ceria Nanocubes by Inductively Transferring Electrons to Ce Atoms from Nearby Oxygen Vacancy. Nanomicro Lett. 2016, 8, 13–19. [Google Scholar] [CrossRef]
- Kusmeriek, E. A CeO2 semiconductor as a photocatalytic and photoelectrocatalytic material for the remediation of pollutants in industrial wastewater: A review. Catalysts 2020, 10, 1435. [Google Scholar] [CrossRef]
- Sun, C.; Li, H.; Chen, L. Nanostructured ceria-based materials: Synthesis, properties and applications. Energy Environ. Sci. 2012, 5, 8475–8505. [Google Scholar] [CrossRef]
- Berret, J.F.; Graillot, A. Versatile Coating Platform for Metal Oxide Nanoparticles: Applications to Materials and Biological Science. Langmuir 2022, 38, 5323–5338. [Google Scholar] [CrossRef]
- Fu, X.; Li, P.; Chen, X.; Ma, Y.; Wang, R.; Ji, W.; Gu, J.; Sheng, B.; Wang, Y.; Zhang, Z. Ceria nanoparticles: Biomedical applications and toxicity. J. Zhejiang Univ. Sci. B 2024, 25, 361–388. [Google Scholar] [CrossRef]
- You, G.; Hou, J.; Xu, Y.; Miao, L.; Ao, Y.; Xing, B. Surface Properties and Environmental Transformations Controlling the Bioaccumulation and Toxicity of Cerium Oxide Nanoparticles: A Critical Review. Rev. Environ. Contam. Toxicol. 2021, 253, 155–206. [Google Scholar] [CrossRef]
- Wu, Z.Y.; Lee, Z.H.; Huang, Y.Y.; Tsou, M.H.; Lin, H.M. Drug delivery system with dual imaging and dual response control drug release functions for chemo-photodynamic synergistic therapy. J. Inorg. Biochem. 2022, 230, 111717. [Google Scholar] [CrossRef]
- Xu, Y.; Mofarah, S.S.; Mehmood, R.; Cazorla, C.; Koshy, P.; Sorrell, C.C. Design strategies for ceria nanomaterials: Untangling key mechanistic concepts. Mater. Horiz. 2021, 8, 102–123. [Google Scholar] [CrossRef] [PubMed]
- Casals, E.; Zeng, M.; Parra-Robert, M.; Fernández-Varo, G.; Morales-Ruiz, M.; Jiménez, W.; Puntes, V.; Casals, G. Cerium Oxide Nanoparticles: Advances in Biodistribution, Toxicity, and Preclinical Exploration. Small 2020, 16, e1907322. [Google Scholar] [CrossRef] [PubMed]
- Sarnatskaya, V.; Shlapa, Y.; Yushko, L.; Shton, I.; Solopan, S.; Ostrovska, G.; Kalachniuk, L.; Negelia, A.; Garmanchuk, L.; Prokopenko, I.; et al. Biological activity of cerium dioxide nanoparticles. J. Biomed. Mater. Res. A 2020, 108, 1703–1712. [Google Scholar] [CrossRef] [PubMed]
- Silina, E.V.; Stupin, V.A.; Manturova, N.E.; Ivanova, O.S.; Popov, A.L.; Mysina, E.A.; Artyushkova, E.B.; Kryukov, A.A.; Dodonova, S.A.; Kruglova, M.P.; et al. Influence of the Synthesis Scheme of Nanocrystalline Cerium Oxide and Its Concentration on the Biological Activity of Cells Providing Wound Regeneration. Int. J. Mol. Sci. 2023, 24, 14501. [Google Scholar] [CrossRef] [PubMed]
- Saifi, M.A.; Seal, S.; Godugu, C. Nanoceria, the versatile nanoparticles: Promising biomedical applications. J. Control. Release 2021, 338, 164–189. [Google Scholar] [CrossRef]
- Humaira Bukhari, S.A.R.; Shakir, H.A.; Khan, M.; Saeed, S.; Ahmad, I.; Irfan, M. Biosynthesized Cerium Oxide Nanoparticles CeO2NPs: Recent Progress and Medical Applications. Curr. Pharm. Biotechnol. 2023, 24, 766–779. [Google Scholar] [CrossRef] [PubMed]
- Yi, L.; Yu, L.; Chen, S.; Huang, D.; Yang, C.; Deng, H.; Hu, Y.; Wang, H.; Wen, Z.; Wang, Y.; et al. The regulatory mechanisms of cerium oxide nanoparticles in oxidative stress and emerging applications in refractory wound care. Front. Pharmacol. 2024, 15, 1439960. [Google Scholar] [CrossRef]
- Xue, Y.; Yang, F.; Wu, L.; Xia, D.; Liu, Y. CeO2 Nanoparticles to Promote Wound Healing: A Systematic Review. Adv. Healthc. Mater. 2024, 13, e2302858. [Google Scholar] [CrossRef] [PubMed]
- Nosrati, H.; Heydari, M.; Khodaei, M. Cerium oxide nanoparticles: Synthesis methods and applications in wound healing. Mater. Today Bio 2023, 23, 100823. [Google Scholar] [CrossRef]
- Chen, S.; Wang, Y.; Bao, S.; Yao, L.; Fu, X.; Yu, Y.; Lyu, H.; Pang, H.; Guo, S.; Zhang, H.; et al. Cerium oxide nanoparticles in wound care: A review of mechanisms and therapeutic applications. Front. Bioeng. Biotechnol. 2024, 12, 1404651. [Google Scholar] [CrossRef]
- Silina, E.V.; Manturova, N.E.; Erokhina, A.G.; Shatokhina, E.A.; Stupin, V.A. Nanomaterials based on cerium oxide nanoparticles for wound regeneration: A literature review. Russ. J. Transplantol. Artif. Organs 2024, 26, 113–124. [Google Scholar] [CrossRef]
- Manturova, N.E.; Stupin, V.A.; Silina, E.V. Cerium oxide nanoparticles for surgery, plastic surgery and aesthetic medicine. Plast. Surg. Aesthetic Med. 2023, 3, 120–129. [Google Scholar] [CrossRef]
- Barker, E.; Shepherd, J.; Asencio, I.O. The Use of Cerium Compounds as Antimicrobials for Biomedical Applications. Molecules 2022, 27, 2678. [Google Scholar] [CrossRef] [PubMed]
- Mofazzal Jahromi, M.A.; Sahandi Zangabad, P.; Moosavi Basri, S.M.; Sahandi Zangabad, K.; Ghamarypour, A.; Aref, A.R.; Karimi, M.; Hamblin, M.R. Nanomedicine and advanced technologies for burns: Preventing infection and facilitating wound healing. Adv. Drug Deliv. Rev. 2018, 123, 33–64. [Google Scholar] [CrossRef] [PubMed]
- Silina, E.V.; Stupin, V.A.; Suzdaltseva, Y.G.; Aliev, S.R.; Abramov, I.S.; Khokhlov, N.V. Application of Polymer Drugs with Cerium Dioxide Nanomolecules and Mesenchymal Stem Cells for the Treatment of Skin Wounds in Aged Rats. Polymers 2021, 13, 1467. [Google Scholar] [CrossRef] [PubMed]
- Silina, E.; Stupin, V.; Manturova, N.; Vasin, V.; Koreyba, K.; Litvitskiy, P.; Saltykov, A.; Balkizov, Z. Acute Skin Wounds Treated with Mesenchymal Stem Cells and Biopolymer Compositions Alone and in Combination: Evaluation of Agent Efficacy and Analysis of Healing Mechanisms. Pharmaceutics 2021, 13, 1534. [Google Scholar] [CrossRef] [PubMed]
- Silina, E.V.; Manturova, N.E.; Ivanova, O.S.; Baranchikov, A.E.; Artyushkova, E.B.; Medvedeva, O.A.; Kryukov, A.A.; Dodonova, S.A.; Gladchenko, M.P.; Vorsina, E.S.; et al. Cerium Dioxide–Dextran Nanocomposites in the Development of a Medical Product for Wound Healing: Physical, Chemical and Biomedical Characteristics. Molecules 2024, 29, 2853. [Google Scholar] [CrossRef]
- Titov, A.A.; Klimenko, M.A.; Goryacheva, E.G.; Opolchenova, N.L.; Stepareva, N.N.; Sokolova, N.P. Preparation of ceria and yttria nanopowders via thermal decomposition of oxalates, carbonates, and hydroxides. Inorg. Mater. 2008, 44, 1101–1104. [Google Scholar] [CrossRef]
- Zadehnazari, A. Chemical synthesis strategies for metal oxide nanoparticles: A comprehensive review. Inorg. Nano-Metal. 2024, 1–40. [Google Scholar] [CrossRef]
- Li, M.; Liu, Z.; Hu, Y.; Shi, Z.; Li, H. Effects of the synthesis methods on the physicochemical properties of cerium dioxide powder. Colloids Surf. A Physicochem. Eng. Asp. 2007, 301, 153–157. [Google Scholar] [CrossRef]
- Tsai, M.-S. Powder synthesis of nano grade cerium oxide via homogenous precipitation and its polishing performance. Mater. Sci. Eng. B 2004, 110, 132–134. [Google Scholar] [CrossRef]
- Renuka, N.K. Structural characteristics of quantum-size ceria nano particles synthesized via simple ammonia precipitation. J. Alloys Compd. 2012, 513, 230–235. [Google Scholar] [CrossRef]
- Sun, Z.; Wu, B.; Ren, Y.; Wang, Z.; Zhao, C.X.; Hai, M.; Weitz, D.A.; Chen, D. Diverse Particle Carriers Prepared by Co-Precipitation and Phase Separation: Formation and Applications. ChemPlusChem 2021, 86, 49–58. [Google Scholar] [CrossRef] [PubMed]
- Suresh, R.; Ponnuswamy, V.; Mariappan, R. Effect of annealing temperature on the microstructural, optical and electrical properties of CeO2 nanoparticles by chemical precipitation method. Appl. Surf. Sci. 2013, 273, 457–464. [Google Scholar] [CrossRef]
- Fifere, N.; Airinei, A.; Dobromir, M.; Sacarescu, L.; Dunca, S.I. Revealing the Effect of Synthesis Conditions on the Structural, Optical, and Antibacterial Properties of Cerium Oxide Nanoparticles. Nanomaterials 2021, 11, 2596. [Google Scholar] [CrossRef]
- Pinjari, D.V.; Pandit, A.B. Room temperature synthesis of crystalline CeO2 nanopowder: Advantage of sonochemical method over conventional method. Ultrason. Sonochem. 2011, 18, 1118–1123. [Google Scholar] [CrossRef]
- Wilson, V.G. Growth and differentiation of HaCaT keratinocytes. Methods Mol. Biol. 2014, 1195, 33–41. [Google Scholar] [CrossRef]
- Colombo, I.; Sangiovanni, E.; Maggio, R.; Mattozzi, C.; Zava, S.; Corbett, Y.; Fumagalli, M.; Carlino, C.; Corsetto, P.A.; Scaccabarozzi, D.; et al. HaCaT Cells as a Reliable In Vitro Differentiation Model to Dissect the Inflammatory/Repair Response of Human Keratinocytes. Mediat. Inflamm. 2017, 2017, 7435621. [Google Scholar] [CrossRef]
- Schilling, C.; Hofmann, A.; Hess, C.; Ganduglia-Pirovano, M.V. Raman Spectra of Polycrystalline CeO2: A Density Functional Theory Study. J. Phys. Chem. C 2017, 121, 20834–20849. [Google Scholar] [CrossRef]
- Loridant, S. Raman spectroscopy as a powerful tool to characterize ceria-based catalysts. Catal. Today 2021, 373, 98–111. [Google Scholar] [CrossRef]
- Filtschew, A.; Hofmann, K.; Hess, C. Ceria and Its Defect Structure: New Insights from a Combined Spectroscopic Approach. J. Phys. Chem. C 2016, 120, 6694–6703. [Google Scholar] [CrossRef]
- Nyoka, M.; Choonara, Y.E.; Kumar, P.; Kondiah, P.P.D.; Pillay, V. Synthesis of Cerium Oxide Nanoparticles Using Various Methods: Implications for Biomedical Applications. Nanomaterials 2020, 10, 242. [Google Scholar] [CrossRef] [PubMed]
- Pezzini, I.; Marino, A.; Del Turco, S.; Nesti, C.; Doccini, S.; Cappello, V.; Gemmi, M.; Parlanti, P.; Santorelli, F.M.; Mattoli, V.; et al. Cerium oxide nanoparticles: The regenerative redox machine in bioenergetic imbalance. Nanomedicine 2017, 12, 403–416. [Google Scholar] [CrossRef] [PubMed]
- Corsi, F.; Caputo, F.; Traversa, E.; Ghibelli, L. Not Only Redox: The Multifaceted Activity of Cerium Oxide Nanoparticles in Cancer Prevention and Therapy. Front. Oncol. 2018, 8, 309. [Google Scholar] [CrossRef] [PubMed]
- Nelson, B.C.; Johnson, M.E.; Walker, M.L.; Riley, K.R.; Sims, C.M. Antioxidant Cerium Oxide Nanoparticles in Biology and Medicine. Antioxidants 2016, 5, 15. [Google Scholar] [CrossRef] [PubMed]
- Brandão Da Silva Assis, M.; Nestal De Moraes, G.; De Souza, K.R. Cerium oxide nanoparticles: Chemical properties, biological effects and potential therapeutic opportunities (Review). Biomed. Rep. 2024, 20, 48. [Google Scholar] [CrossRef]
- Pugachevskii, M.A.; Rasseko, D.S.; Stupin, V.A.; Manturova, N.E.; Artyushkova, E.B.; Silina, E.V. Effect of CeO2 nanoparticles on hydroxyl radicals in EPR studies of the photodegradation of methylene blue under influence of red light. J. Mol. Liq. 2024, 404, 124946. [Google Scholar] [CrossRef]
- Pota, G.; Silvestri, B.; Vitiello, G.; Gallucci, N.; Di Girolamo, R.; Scialla, S.; Raucci, M.G.; Ambrosio, L.; Di Napoli, M.; Zanfardino, A.; et al. Towards nanostructured red-ox active bio-interfaces: Bioinspired antibacterial hybrid melanin-CeO2 nanoparticles for radical homeostasis. Biomater. Adv. 2023, 153, 213558. [Google Scholar] [CrossRef]
- Yong, J.M.; Fu, L.; Tang, F.; Yu, P.; Kuchel, R.P.; Whitelock, J.M.; Lord, M.S. ROS-Mediated Anti-Angiogenic Activity of Cerium Oxide Nanoparticles in Melanoma Cells. ACS Biomater. Sci. Eng. 2022, 8, 512–525. [Google Scholar] [CrossRef]
- Farias, I.A.P.; Dos Santos, C.C.L.; Sampaio, F.C. Antimicrobial Activity of Cerium Oxide Nanoparticles on Opportunistic Microorganisms: A Systematic Review. BioMed Res. Int. 2018, 2018, 1923606. [Google Scholar] [CrossRef]
- Silina, E.V.; Ivanova, O.S.; Manturova, N.E.; Medvedeva, O.A.; Shevchenko, A.V.; Vorsina, E.S.; Achar, R.R.; Parfenov, V.A.; Stupin, V.A. Antimicrobial Activity of Citrate-Coated Cerium Oxide Nanoparticles. Nanomaterials 2024, 14, 354. [Google Scholar] [CrossRef]
- Chatzimentor, I.; Tsamesidis, I.; Ioannou, M.E.; Pouroutzidou, G.K.; Beketova, A.; Giourieva, V.; Papi, R.; Kontonasaki, E. Study of Biological Behavior and Antimicrobial Properties of Cerium Oxide Nanoparticles. Pharmaceutics 2023, 15, 2509. [Google Scholar] [CrossRef] [PubMed]
- Ren, X.; Zhuang, H.; Zhang, Y.; Zhou, P. Cerium oxide nanoparticles-carrying human umbilical cord mesenchymal stem cells counteract oxidative damage and facilitate tendon regeneration. J. Nanobiotechnol. 2023, 21, 359. [Google Scholar] [CrossRef] [PubMed]
- Nefedova, A.; Rausalu, K.; Zusinaite, E.; Vanetsev, A.; Rosenberg, M.; Koppel, K.; Lilla, S.; Visnapuu, M.; Smits, K.; Kisand, V.; et al. Antiviral efficacy of cerium oxide nanoparticles. Sci. Rep. 2022, 12, 18746. [Google Scholar] [CrossRef]
- Heckert, E.G.; Seal, S.; Self, W.T. Fenton-like reaction catalyzed by the rare earth inner transition metal cerium. Environ. Sci. Technol. 2008, 42, 5014–5019. [Google Scholar] [CrossRef]
- Dutta, P.; Pal, S.; Seehra, M.S.; Shi, Y.; Eyring, E.M.; Ernst, R.D. Concentration of Ce3+ and Oxygen Vacancies in Cerium Oxide Nanoparticles. Chem. Mater. 2006, 18, 5144–5146. [Google Scholar] [CrossRef]
- Huang, X.; Zhang, K.; Peng, B.; Wang, G.; Muhler, M.; Wang, F. Ceria-Based Materials for Thermocatalytic and Photocatalytic Organic Synthesis. ACS Catal. 2021, 11, 9618–9678. [Google Scholar] [CrossRef]
- Montini, T.; Melchionna, M.; Monai, M.; Fornasiero, P. Fundamentals and Catalytic Applications of CeO2-Based Materials. Chem. Rev. 2016, 116, 5987–6041. [Google Scholar] [CrossRef]
- Esch, F.; Fabris, S.; Zhou, L.; Montini, T.; Africh, C.; Fornasiero, P.; Comelli, G.; Rosei, R. Electron localization determines defect formation on ceria substrates. Science 2005, 309, 752–755. [Google Scholar] [CrossRef]
- Chen, B.H.; Stephen Inbaraj, B. Various physicochemical and surface properties controlling the bioactivity of cerium oxide nanoparticles. Crit. Rev. Biotechnol. 2018, 38, 1003–1024. [Google Scholar] [CrossRef]
- Corsi, F.; Deidda Tarquini, G.; Urbani, M.; Bejarano, I.; Traversa, E.; Ghibelli, L. The Impressive Anti-Inflammatory Activity of Cerium Oxide Nanoparticles: More than Redox? Nanomaterials 2023, 13, 2803. [Google Scholar] [CrossRef]




















| Indicator | CeO2-I | CeO2-II | CeO2-III |
|---|---|---|---|
| C[Ce(NO3)3], mol/L | 0.3 | 0.145 | 0.058 |
| C[Ce(NO3)3], g/L by content (CeO2) | 50 | 25 | 10 |
| twater; °C | 40–50 | 20–25 | 30–40 |
| tdrying; °C | 40 | 20 | 30 |
| tburning; °C | 650 | 450 | 450 |
| Texposition; hours | 3 | 2 | 3 |
| Total volume | 1 L | 1 L | 1 L |
| Volume Ce(NO3)3, mL /with concentration | 200 mL /250 g/L (50 g/L in total volume) | 200 mL /125 g/L (25 g/L in total volume) | 200 mL /50 g/L (10 g/L in total volume) |
| Volume crystallization regulator NH4NO3 /with concentration | 300 mL /375 g/L (112.5g/L in total volume) | 550 mL /375 g/L (206.25 g/L in total volume) | 700 mL /375 g/L (262.5 g/L in total volume) |
| Volume (NH4)2CO3 /with concentration | 500 mL /200 g/L (i.e., 100 g/L) | 250 mL /200 g/L (i.e., 50 g/L) | 100 mL /200 g/L (i.e., 20 g/L) |
| Final yield (mass of nanoceria powder) | 46.6 (93%) | 22.4 (90%) | 8.5 (85%) |
| CeO2-I | CeO2-II | CeO2-III | |
|---|---|---|---|
| Formula/Space group | CeO2 225:Fm-3m | CeO2 225:Fm-3m | CeO2 225:Fm-3m |
| Content (%) | 100.0 | 100.0 | 100.0 |
| Phase name (a × b × c) | 5.4179(10) | 5.4321(17) | 5.4345(16) |
| alpha(deg), beta(deg), gamma(deg) | 90.00 | 90.00 | 90.00 |
| V(A^3) | 159.03(5) | 160.29(9) | 160.50(8) |
| Crystallite size | 12.4 ± 0.3 | 9.1 ± 0.3 | 6.68 ± 0.14 |
| Strain (%) | 0.11 ± 0.06 | 0.55 ± 0.04 | 0.34 ± 0.05 |
| Element | CeO2-I | CeO2-II | CeO2-III |
|---|---|---|---|
| Na | 4 | 5 | 6 |
| Mg | 4 | 5 | 5 |
| Al | 10 | 10 | 10 |
| Si | <10 | <10 | <10 |
| R | <2 | <2 | <2 |
| Cf | 4 | 2 | 4 |
| Sc | <1 | <1 | <1 |
| Ni | <1 | <1 | <1 |
| V | <1 | <1 | <1 |
| Cr | <1 | <1 | <1 |
| Mn | <1 | <1 | <1 |
| Fe | 5 | 2 | 3 |
| Ni | <1 | <1 | <1 |
| Cu | <1 | <1 | <1 |
| Zn | <1 | <1 | <1 |
| Y | <1 | <1 | <1 |
| La | 5 | 7 | 8 |
| Pr | 10 | 5 | 5 |
| Nd | 2 | 1 | 1 |
| Sm | <0.1 | <0.1 | <0.1 |
| Eu | <0.1 | <0.1 | <0.1 |
| Gd | <0.1 | <0.1 | <0.1 |
| Tb | <0.1 | <0.1 | <0.1 |
| Dy | <0.1 | <0.1 | <0.1 |
| Ho | <0.1 | <0.1 | <0.1 |
| Er | <0.1 | <0.1 | <0.1 |
| Tm | <0.1 | <0.1 | <0.1 |
| Yb | <0.1 | <0.1 | <0.1 |
| Lu | <0.1 | <0.1 | <0.1 |
| Pb | <0.1 | <0.1 | <0.1 |
| Bi | <0.1 | <0.1 | <0.1 |
| Yh | <0.1 | <0.1 | <0.1 |
| U | <0.1 | <0.1 | <0.1 |
| Average | Standard Deviation | Standard Error | 95% Confidence Interval for the Mean Value | Minimum | Maximum | ||
|---|---|---|---|---|---|---|---|
| Lower Limit | Upper Limit | ||||||
| Control | 0.380 | 0.005 | 0.001 | 0.376 | 0.382 | 0.372 | 0.391 |
| CeO2-I (0.01 M) | 0.408 | 0.014 | 0.004 | 0.398 | 0.416 | 0.385 | 0.432 |
| CeO2-I (0.001 M) | 0.422 | 0.012 | 0.003 | 0.414 | 0.430 | 0.402 | 0.441 |
| CeO2-I (0.0001 M) | 0.413 | 0.011 | 0.003 | 0.406 | 0.419 | 0.395 | 0.432 |
| CeO2-II (0.01 M) | 0.401 | 0.012 | 0.003 | 0.394 | 0.407 | 0.378 | 0.422 |
| CeO2-II (0.001 M) | 0.460 | 0.010 | 0.002 | 0.455 | 0.464 | 0.442 | 0.474 |
| CeO2-II (0.0001 M) | 0.438 | 0.018 | 0.004 | 0.429 | 0.447 | 0.414 | 0.468 |
| CeO2-III (0.01 M) | 0.402 | 0.005 | 0.001 | 0.399 | 0.404 | 0.392 | 0.411 |
| CeO2-III (0.001 M) | 0.467 | 0.011 | 0.003 | 0.461 | 0.472 | 0.449 | 0.484 |
| CeO2-III (0.0001 M) | 0.412 | 0.009 | 0.002 | 0.407 | 0.417 | 0.401 | 0.438 |
| Total | 0.421 | 0.029 | 0.002 | 0.416 | 0.425 | 0.372 | 0.484 |
| Average | Standard Deviation | Standard Error | 95% Confidence Interval for the Mean Value | Minimum | Maxim | ||
|---|---|---|---|---|---|---|---|
| Lower Limit | Upper Limit | ||||||
| Control | 100.0 | 31.39 | 11.86 | 70.95 | 129.01 | 59.37 | 148.94 |
| CeO2-I (0.01 M) | 113.23 | 25.20 | 7.28 | 97.22 | 129.25 | 72.00 | 144.00 |
| CeO2-I (0.001 M) | 112.381 | 24.99 | 7.21 | 96.50 | 128.26 | 75.43 | 160.86 |
| CeO2-I (0.0001 M) | 103.92 | 17.58 | 5.07 | 92.75 | 115.10 | 67.14 | 137.43 |
| CeO2-II (0.01 M) | 87.10 | 30.96 | 11.70 | 58.46 | 115.74 | 41.64 | 136.78 |
| CeO2-II (0.001 M) | 179.29 | 59.35 | 22.43 | 124.39 | 234.17 | 101.01 | 249.24 |
| CeO2-II (0.0001 M) | 141.64 | 46.38 | 17.53 | 98.74 | 184.53 | 53.50 | 201.62 |
| CeO2-III (0.01 M) | 90.46 | 30.77 | 11.62 | 62.01 | 118.92 | 47.52 | 130.70 |
| CeO2-III (0.001 M) | 91.07 | 29.83 | 11.27 | 63.48 | 118.65 | 53.50 | 136.78 |
| CeO2-III (0.0001 M) | 96.87 | 38.47 | 14.54 | 61.29 | 132.45 | 47.52 | 154.00 |
| Total | 111.29 | 40.05 | 4.34 | 102.65 | 119.92 | 41.64 | 249.24 |
| Average | Standard Deviation | Standard Error | 95% Confidence Interval for the Mean Value | Minimum | Maximum | ||
|---|---|---|---|---|---|---|---|
| Lower Limit | Upper Limit | ||||||
| Control | 0.933 | 0.016 | 0.005 | 0.922 | 0.943 | 0.908 | 0.962 |
| CeO2-I (0.01 M) | 0.648 | 0.008 | 0.002 | 0.643 | 0.653 | 0.639 | 0.660 |
| CeO2-I (0.001 M) | 0.878 | 0.039 | 0.011 | 0.852 | 0.903 | 0.818 | 0.932 |
| CeO2-I (0.0001 M) | 0.949 | 0.018 | 0.005 | 0.938 | 0.961 | 0.927 | 0.985 |
| CeO2-II (0.01 M) | 0.982 | 0.037 | 0.011 | 0.958 | 1.005 | 0.929 | 1.039 |
| CeO2-II (0.001 M) | 0.998 | 0.013 | 0.004 | 0.990 | 1.007 | 0.984 | 1.021 |
| CeO2-II (0.0001 M) | 1.029 | 0.028 | 0.008 | 1.012 | 1.047 | 0.968 | 1.065 |
| CeO2-III (0.01 M) | 0.862 | 0.023 | 0.007 | 0.847 | 0.877 | 0.834 | 0.905 |
| CeO2-III (0.001 M) | 0.935 | 0.035 | 0.010 | 0.912 | 0.958 | 0.884 | 0.990 |
| CeO2-III (0.0001 M) | 0.935 | 0.026 | 0.008 | 0.918 | 0.952 | 0.887 | 0.974 |
| Total | 0.915 | 0.105 | 0.010 | 0.896 | 0.934 | 0.639 | 1.065 |
| Average | Standard Deviation | Standard Error | 95% Confidence Interval for the Mean Value | Minimum | Maximum | ||
|---|---|---|---|---|---|---|---|
| Lower Limit | Upper Limit | ||||||
| Control | 4.54 | 0.68 | 0.26 | 3.90 | 5.17 | 3.58 | 5.63 |
| CeO2-I (0.01 M) | 0.87 | 0.22 | 0.08 | 0.66 | 1.07 | 0.53 | 1.23 |
| CeO2-I (0.001 M) | 3.56 | 0.49 | 0.19 | 3.10 | 4.01 | 2.93 | 4.22 |
| CeO2-I (0.0001 M) | 4.49 | 0.52 | 0.20 | 4.01 | 4.97 | 3.58 | 5.25 |
| CeO2-II (0.01 M) | 4.36 | 0.52 | 0.19 | 3.87 | 4.83 | 3.75 | 5.16 |
| CeO2-II (0.001 M) | 4.89 | 0.67 | 0.25 | 4.27 | 5.51 | 4.05 | 6.16 |
| CeO2-II (0.0001 M) | 4.75 | 0.79 | 0.30 | 4.01 | 5.49 | 3.87 | 6.04 |
| CeO2-III (0.01 M) | 1.57 | 0.33 | 0.13 | 1.26 | 1.88 | 1.11 | 1.94 |
| CeO2-III (0.001 M) | 4.55 | 0.93 | 0.35 | 3.70 | 5.41 | 3.11 | 5.86 |
| CeO2-III (0.0001 M) | 4.69 | 1.07 | 0.40 | 3.71 | 5.68 | 3.11 | 6.62 |
| Total | 3.8280 | 1.50 | 0.18 | 3.47 | 4.19 | 0.53 | 6.62 |
Disclaimer/Publisher’s Note: The statements, opinions and data contained in all publications are solely those of the individual author(s) and contributor(s) and not of MDPI and/or the editor(s). MDPI and/or the editor(s) disclaim responsibility for any injury to people or property resulting from any ideas, methods, instructions or products referred to in the content. |
© 2024 by the authors. Licensee MDPI, Basel, Switzerland. This article is an open access article distributed under the terms and conditions of the Creative Commons Attribution (CC BY) license (https://creativecommons.org/licenses/by/4.0/).
Share and Cite
Silina, E.V.; Stupin, V.A.; Manturova, N.E.; Chuvilina, E.L.; Gasanov, A.A.; Ostrovskaya, A.A.; Andreeva, O.I.; Tabachkova, N.Y.; Abakumov, M.A.; Nikitin, A.A.; et al. Development of Technology for the Synthesis of Nanocrystalline Cerium Oxide Under Production Conditions with the Best Regenerative Activity and Biocompatibility for Further Creation of Wound-Healing Agents. Pharmaceutics 2024, 16, 1365. https://doi.org/10.3390/pharmaceutics16111365
Silina EV, Stupin VA, Manturova NE, Chuvilina EL, Gasanov AA, Ostrovskaya AA, Andreeva OI, Tabachkova NY, Abakumov MA, Nikitin AA, et al. Development of Technology for the Synthesis of Nanocrystalline Cerium Oxide Under Production Conditions with the Best Regenerative Activity and Biocompatibility for Further Creation of Wound-Healing Agents. Pharmaceutics. 2024; 16(11):1365. https://doi.org/10.3390/pharmaceutics16111365
Chicago/Turabian StyleSilina, Ekaterina V., Victor A. Stupin, Natalia E. Manturova, Elena L. Chuvilina, Akhmedali A. Gasanov, Anna A. Ostrovskaya, Olga I. Andreeva, Natalia Y. Tabachkova, Maxim A. Abakumov, Aleksey A. Nikitin, and et al. 2024. "Development of Technology for the Synthesis of Nanocrystalline Cerium Oxide Under Production Conditions with the Best Regenerative Activity and Biocompatibility for Further Creation of Wound-Healing Agents" Pharmaceutics 16, no. 11: 1365. https://doi.org/10.3390/pharmaceutics16111365
APA StyleSilina, E. V., Stupin, V. A., Manturova, N. E., Chuvilina, E. L., Gasanov, A. A., Ostrovskaya, A. A., Andreeva, O. I., Tabachkova, N. Y., Abakumov, M. A., Nikitin, A. A., Kryukov, A. A., Dodonova, S. A., Kochura, A. V., & Pugachevskii, M. A. (2024). Development of Technology for the Synthesis of Nanocrystalline Cerium Oxide Under Production Conditions with the Best Regenerative Activity and Biocompatibility for Further Creation of Wound-Healing Agents. Pharmaceutics, 16(11), 1365. https://doi.org/10.3390/pharmaceutics16111365

