Preparation and Characterisation of Zinc Diethyldithiocarbamate–Cyclodextrin Inclusion Complexes for Potential Lung Cancer Treatment
Abstract
:1. Introduction
2. Materials and Methods
2.1. Materials
2.2. Methods
2.2.1. Solubility Study
2.2.2. Freeze-Drying
2.2.3. Differential Scanning Calorimetry (DSC) Analysis
2.2.4. Thermogravimetric Analysis (TGA)
2.2.5. X-ray Diffraction Analysis
2.2.6. IR Spectroscopy Studies
2.2.7. Cytotoxicity Studies
2.2.8. Statistical Analysis
3. Results and Discussion
3.1. Solubility Studies
3.2. Physiochemical Characterisation of the Freeze-Dried Formulations
3.2.1. Differential Scanning Calorimetry (DSC) Analysis
3.2.2. Thermogravimetric Analysis (TGA)
3.3. X-ray Diffraction Analysis
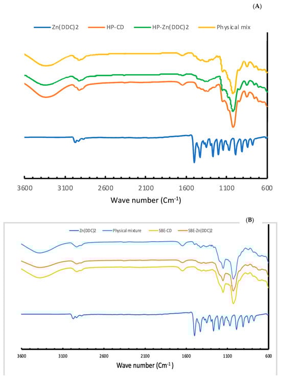
3.4. IR Spectroscopy Studies
3.5. Cytotoxicity Studies
4. Conclusions
Supplementary Materials
Author Contributions
Funding
Institutional Review Board Statement
Informed Consent Statement
Data Availability Statement
Conflicts of Interest
References
- Sung, H.; Ferlay, J.; Siegel, R.L.; Laversanne, M.; Soerjomataram, I.; Jemal, A.; Bray, F. Global Cancer Statistics 2020: GLOBOCAN Estimates of Incidence and Mortality Worldwide for 36 Cancers in 185 Countries. CA Cancer J. Clin. 2021, 71, 209–249. [Google Scholar] [CrossRef] [PubMed]
- Wiggins, H.L.; Wymant, J.M.; Solfa, F.; Hiscox, S.E.; Taylor, K.M.; Westwell, A.D.; Jones, A.T. Disulfiram-Induced Cytotoxicity and Endo-Lysosomal Sequestration of Zinc in Breast Cancer Cells. Biochem. Pharmacol. 2015, 93, 332–342. [Google Scholar] [CrossRef] [PubMed]
- Frezza, M.; Hindo, S.; Chen, D.; Davenport, A.; Schmitt, S.; Tomco, D.; Dou, Q.P. Novel Metals and Metal Complexes as Platforms for Cancer Therapy. Curr. Pharm. Des. 2010, 16, 1813–1825. [Google Scholar] [CrossRef] [PubMed]
- Wickström, M.; Danielsson, K.; Rickardson, L.; Gullbo, J.; Nygren, P.; Isaksson, A.; Larsson, R.; Lövborg, H. Pharmacological Profiling of Disulfiram Using Human Tumor Cell Lines and Human Tumor Cells from Patients. Biochem. Pharmacol. 2007, 73, 25–33. [Google Scholar] [CrossRef] [PubMed]
- Suliman, A.S.; Khoder, M.; Tolaymat, I.; Webster, M.; Alany, R.G.; Wang, W.; Elhissi, A.; Najlah, M. Cyclodextrin Diethyldithiocarbamate Copper Ii Inclusion Complexes: A Promising Chemotherapeutic Delivery System against Chemoresistant Triple Negative Breast Cancer Cell Lines. Pharmaceutics 2021, 13, 84. [Google Scholar] [CrossRef]
- Shiah, S.; Kao, Y.; Ying-Hsiueh, F.W. Inhibition of Invasion and Angiogenesis by Zinc-Chelating Agent Disulfiram. Mol. Pharmacol. 2003, 64, 1076–1084. [Google Scholar]
- Liu, P.; Wang, Z.; Brown, S.; Kannappan, V.; Tawari, P.E.; Jiang, W.; Irache, J.M.; Tang, J.Z.; Britland, S.; Armesilla, A.L.; et al. Liposome Encapsulated Disulfiram Inhibits NFκB Pathway and Targets Breast Cancer Stem Cells In Vitro and In Vivo. Oncotarget 2014, 5, 7471–7485. [Google Scholar] [CrossRef]
- Najlah, M.; Suliman, A.S.; Tolaymat, I.; Kurusamy, S.; Kannappan, V.; Elhissi, A.M.A.; Wang, W. Development of Injectable PEGylated Liposome Encapsulating Disulfiram for Colorectal Cancer Treatment. Pharmaceutics 2019, 11, 610. [Google Scholar] [CrossRef]
- Calderon-Aparicio, A.; Strasberg-Rieber, M.; Rieber, M. Disulfiram Anti-Cancer Efficacy without Copper Overload Is Enhanced by Extracellular H2O2 Generation: Antagonism by Tetrahiomolybdate. Oncotarget 2015, 6, 29771–29781. [Google Scholar] [CrossRef]
- Guo, X.; Xu, B.; Pandey, S.; Goessl, E.; Brown, J.; Armesilla, A.L.; Darling, J.L.; Wang, W. Disulfiram/Copper Complex Inhibiting NFκB Activity and Potentiating Cytotoxic Effect of Gemcitabine on Colon and Breast Cancer Cell Lines. Cancer Lett. 2010, 290, 104–113. [Google Scholar] [CrossRef]
- Samant, R.S.; Debies, M.T.; Shevde, L.A.; Verderame, M.F.; Welch, D.R. Cu/Zn Superoxide Dismutase Plays a Role in Angiogenesis. Int. J. Cancer 2002, 97, 34–41. [Google Scholar] [CrossRef]
- Jomova, K.; Makova, M.; Alomar, S.Y.; Alwasel, S.H.; Nepovimova, E.; Kuca, K.; Rhodes, C.J.; Valko, M. Essential Metals in Health and Disease. Chem.-Biol. Interact. 2022, 367, 110173. [Google Scholar] [CrossRef] [PubMed]
- Rizk, S.L.; Sky-Peck, H.H. Comparison between Concentrations of Trace Elements in Normal and Neoplastic Human Breast Tissue. Cancer Res. 1984, 44, 5390–5394. [Google Scholar] [PubMed]
- Brar, S.S.; Grigg, C.; Wilson, K.S.; Holder, W.D.; Dreau, D.; Austin, C.; Foster, M.; Ghio, A.J.; Whorton, A.R.; Stowell, G.W.; et al. Disulfiram Inhibits Activating Transcription Factor/Cyclic AMP-Responsive Element Binding Protein and Human Melanoma Growth in a Metal-Dependent Manner in Vitro, in Mice and in a Patient with Metastatic Disease. Mol. Cancer Ther. 2004, 3, 1049–1060. [Google Scholar] [CrossRef] [PubMed]
- Kelley, K.C.; Grossman, K.F.; Brittain-Blankenship, M.; Thorne, K.M.; Akerley, W.L.; Terrazas, M.C.; Kosak, K.M.; Boucher, K.M.; Buys, S.S.; McGregor, K.A.; et al. A Phase 1 Dose-Escalation Study of Disulfiram and Copper Gluconate in Patients with Advanced Solid Tumors Involving the Liver Using S-Glutathionylation as a Biomarker. BMC Cancer 2021, 21, 510. [Google Scholar] [CrossRef] [PubMed]
- Psychiatr, A.; Johansson, B. A Review of the Pharmacokinetics and Pharmaco-Dynamics of Disulfiram and Its Metabolites. Acta Psychiatr. Scand. Suppl. 1992, 369, 15–26. [Google Scholar]
- Butcher, K.; Kannappan, V.; Kilari, R.S.; Morris, M.R.; McConville, C.; Armesilla, A.L.; Wang, W. Investigation of the Key Chemical Structures Involved in the Anticancer Activity of Disulfiram in A549 Non-Small Cell Lung Cancer Cell Line. BMC Cancer 2018, 18, 753. [Google Scholar] [CrossRef]
- Wankar, J.; Kotla, N.G.; Gera, S.; Rasala, S.; Pandit, A.; Rochev, Y.A. Recent Advances in Host–Guest Self-Assembled Cyclodextrin Carriers: Implications for Responsive Drug Delivery and Biomedical Engineering. Adv. Funct. Mater. 2020, 30, 1909049. [Google Scholar] [CrossRef]
- Kim, D.H.; Lee, S.E.; Pyo, Y.C.; Tran, P.; Park, J.S. Solubility Enhancement and Application of Cyclodextrins in Local Drug Delivery. J. Pharm. Investig. 2020, 50, 17–27. [Google Scholar] [CrossRef]
- Loftsson, T.; Masson, M. Cyclodextrins in Topical Drug Formulations: Theory and Practice. Int. J. Pharm. 2001, 225, 15–30. [Google Scholar] [CrossRef]
- Kurkov, S.V.; Loftsson, T. Cyclodextrins. Int. J. Pharm. 2013, 453, 167–180. [Google Scholar] [CrossRef] [PubMed]
- Stella, V.J.; He, Q. Cyclodextrins. Toxicol. Pathol. 2008, 36, 30–42. [Google Scholar] [CrossRef] [PubMed]
- Pereira, A.M.; Kaya, A.; Alves, D.; Ansari-Fard, N.; Tolaymat, I.; Arafat, B.; Najlah, M. Preparation and Characterization of Disulfiram and Beta Cyclodextrin Inclusion Complexes for Potential Application in the Treatment of SARS-CoV-2 via Nebulization. Molecules 2022, 27, 5600. [Google Scholar] [CrossRef] [PubMed]
- Tyukova, V.S.; Kedik, S.A.; Panov, A.V.; Zhavoronok, E.S.; Mendeleev, D.I.; Senchikhin, I.N.; Fursova, A.Z.; Rumyantseva, Y.V.; Kolosova, N.G. Synthesis of a Disulfuram Inclusion Complex with Hydroxypropyl-β-Cyclodextrin and Its Effect on Cataract Development in Rats. Pharm. Chem. J. 2020, 53, 1158–1163. [Google Scholar] [CrossRef]
- Mohtar, N.; Taylor, K.M.G.; Sheikh, K.; Somavarapu, S. Design and Development of Dry Powder Sulfobutylether-β-Cyclodextrin Complex for Pulmonary Delivery of Fisetin. Eur. J. Pharm. Biopharm. 2017, 113, 1–10. [Google Scholar] [CrossRef]
- Evrard, B.; Bertholet, P.; Gueders, M.; Flament, M.P.; Piel, G.; Delattre, L.; Gayot, A.; Leterme, P.; Foidart, J.M.; Cataldo, D. Cyclodextrins as a Potential Carrier in Drug Nebulization. J. Control. Release 2004, 96, 403–410. [Google Scholar] [CrossRef]
- Jambhekar, S.S.; Breen, P. Cyclodextrins in Pharmaceutical Formulations I: Structure and Physicochemical Properties, Formation of Complexes, and Types of Complex. Drug Discov. Today 2016, 21, 356–362. [Google Scholar] [CrossRef]
- Higuchi, T.; Connors, K.A. Phase Solubility Techniques. Adv. Anal. Chem. Instrum. 1965, 4, 117–212. [Google Scholar]
- Duan, M.S.; Zhao, N.; Össurardóttir, Í.B.; Thorsteinsson, T.; Loftsson, T. Cyclodextrin Solubilization of the Antibacterial Agents Triclosan and Triclocarban: Formation of Aggregates and Higher-Order Complexes. Int. J. Pharm. 2005, 297, 213–222. [Google Scholar] [CrossRef]
- Jansook, P.; Kurkov, S.V.; Loftsson, T. Cyclodextrins as Solubilizers: Formation of Complex Aggregates. J. Pharm. Sci. 2010, 99, 719–729. [Google Scholar] [CrossRef]
- Loftsson, T.; Matthíasson, K.; Másson, M. The Effects of Organic Salts on the Cyclodextrin Solubilization of Drugs. Int. J. Pharm. 2003, 262, 101–107. [Google Scholar] [CrossRef] [PubMed]
- Pandit, V.; Gorantla, R.; Devi, K.; Pai, R.S.; Sarasija, S. Preparation and Characterization of Pioglitazone Cyclodextrin Inclusion Complexes. J. Young Pharm. 2011, 3, 267–274. [Google Scholar] [CrossRef] [PubMed]
- Mohan, P.R.K.; Sreelakshmi, G.; Muraleedharan, C.V.; Joseph, R. Water Soluble Complexes of Curcumin with Cyclodextrins: Characterization by FT-Raman Spectroscopy. Vib. Spectrosc. 2012, 62, 77–84. [Google Scholar] [CrossRef]
- Sid, D.; Baitiche, M.; Elbahri, Z.; Djerboua, F.; Boutahala, M.; Bouaziz, Z.; Le Borgne, M. Solubility Enhancement of Mefenamic Acid by Inclusion Complex with β-Cyclodextrin: In Silico Modelling, Formulation, Characterisation, and in Vitro Studies. J. Enzym. Inhib. Med. Chem. 2021, 36, 605–617. [Google Scholar] [CrossRef]
- Xu, Y.; Kong, Y.; Xu, J.; Li, X.; Gou, J.; Yin, T.; He, H.; Zhang, Y.; Tang, X. Doxorubicin Intercalated Copper Diethyldithiocarbamate Functionalized Layered Double Hydroxide Hybrid Nanoparticles for Targeted Therapy of Hepatocellular Carcinoma. Biomater. Sci. 2020, 8, 897–911. [Google Scholar] [CrossRef]
- Li, J.; Guo, Y.; Zografi, G. The Solid-State Stability of Amorphous Quinapril in the Presence of b-Cyclodextrins. J. Pharm. Sci. 2002, 91, 229–243. [Google Scholar] [CrossRef]
- Wadhwa, G.; Kumar, S.; Chhabra, L.; Mahant, S.; Rao, R. Essential Oil–Cyclodextrin Complexes: An Updated Review. Journal of Inclusion Phenomena and Macrocyclic Chemistry. J. Incl. Phenom. Macrocycl. Chem. 2017, 89, 39–58. [Google Scholar] [CrossRef]
- Denadai, M.L.; Santoro, M.M.; Lopes, M.T.P.; Chenna, A.; De Sousa, F.B.; Avelar, G.M.; Gomes, M.R.T.U.; Guzman, F.; Salas, C.E.; Sinisterra, R.D. A Supramolecular Complex between Proteinases and β-Cyclodextrin That Preserves Enzymatic Activity. BioDrugs 2006, 20, 283–291. [Google Scholar] [CrossRef]
- Wang, X.; Parvathaneni, V.; Shukla, S.K.; Kanabar, D.D.; Muth, A.; Gupta, V. Cyclodextrin Complexation for Enhanced Stability and Non-Invasive Pulmonary Delivery of Resveratrol—Applications in Non-Small Cell Lung Cancer Treatment. AAPS PharmSciTech 2020, 21, 183. [Google Scholar] [CrossRef]
- Di Donato, C.; Lavorgna, M.; Fattorusso, R.; Isernia, C.; Isidori, M.; Malgieri, G.; Piscitelli, C.; Russo, C.; Russo, L.; Iacovino, R. Alpha- and Beta-Cyclodextrin Inclusion Complexes with 5-Fluorouracil: Characterization and Cytotoxic Activity Evaluation. Molecules 2016, 21, 1644. [Google Scholar] [CrossRef]
- Yazdani, M.; Tavakoli, O.; Khoobi, M.; Wu, Y.S.; Faramarzi, M.A.; Gholibegloo, E.; Farkhondeh, S. Beta-Carotene/Cyclodextrin-Based Inclusion Complex: Improved Loading, Solubility, Stability, and Cytotoxicity. J. Incl. Phenom. Macrocycl. Chem. 2022, 102, 55–64. [Google Scholar] [CrossRef]
- Lu, Z.; Chen, R.; Fu, R.; Xiong, J.; Hu, Y. Cytotoxicity and Inhibition of Lipid Peroxidation Activity of Resveratrol/Cyclodextrin Inclusion Complexes. J. Incl. Phenom. Macrocycl. Chem. 2012, 73, 313–320. [Google Scholar] [CrossRef]
- Popielec, A.; Loftsson, T. Effects of Cyclodextrins on the Chemical Stability of Drugs. Int. J. Pharm. 2017, 531, 532–542. [Google Scholar] [CrossRef] [PubMed]








| Formulation | IC50 µM |
|---|---|
| Zn (DDC)2 | 54.63 ± 1.59 |
| HP-Zn (DDC)2 | 6.81 ± 0.57 |
| SBE-Zn (DDC)2 | 4.95 ± 0.34 |
Disclaimer/Publisher’s Note: The statements, opinions and data contained in all publications are solely those of the individual author(s) and contributor(s) and not of MDPI and/or the editor(s). MDPI and/or the editor(s) disclaim responsibility for any injury to people or property resulting from any ideas, methods, instructions or products referred to in the content. |
© 2023 by the authors. Licensee MDPI, Basel, Switzerland. This article is an open access article distributed under the terms and conditions of the Creative Commons Attribution (CC BY) license (https://creativecommons.org/licenses/by/4.0/).
Share and Cite
Kaya, A.; Arafat, B.; Chichger, H.; Tolaymat, I.; Pierscionek, B.; Khoder, M.; Najlah, M. Preparation and Characterisation of Zinc Diethyldithiocarbamate–Cyclodextrin Inclusion Complexes for Potential Lung Cancer Treatment. Pharmaceutics 2024, 16, 65. https://doi.org/10.3390/pharmaceutics16010065
Kaya A, Arafat B, Chichger H, Tolaymat I, Pierscionek B, Khoder M, Najlah M. Preparation and Characterisation of Zinc Diethyldithiocarbamate–Cyclodextrin Inclusion Complexes for Potential Lung Cancer Treatment. Pharmaceutics. 2024; 16(1):65. https://doi.org/10.3390/pharmaceutics16010065
Chicago/Turabian StyleKaya, Ayşe, Basel Arafat, Havovi Chichger, Ibrahim Tolaymat, Barbara Pierscionek, Mouhamad Khoder, and Mohammad Najlah. 2024. "Preparation and Characterisation of Zinc Diethyldithiocarbamate–Cyclodextrin Inclusion Complexes for Potential Lung Cancer Treatment" Pharmaceutics 16, no. 1: 65. https://doi.org/10.3390/pharmaceutics16010065
APA StyleKaya, A., Arafat, B., Chichger, H., Tolaymat, I., Pierscionek, B., Khoder, M., & Najlah, M. (2024). Preparation and Characterisation of Zinc Diethyldithiocarbamate–Cyclodextrin Inclusion Complexes for Potential Lung Cancer Treatment. Pharmaceutics, 16(1), 65. https://doi.org/10.3390/pharmaceutics16010065

