Design and Synthesis of Multi-Functional Ligands through Hantzsch Reaction: Targeting Ca2+ Channels, Activating Nrf2 and Possessing Cathepsin S Inhibitory, and Antioxidant Properties
Abstract
1. Introduction
2. Materials and Methods
3. Results and Discussion
3.1. Synthesis
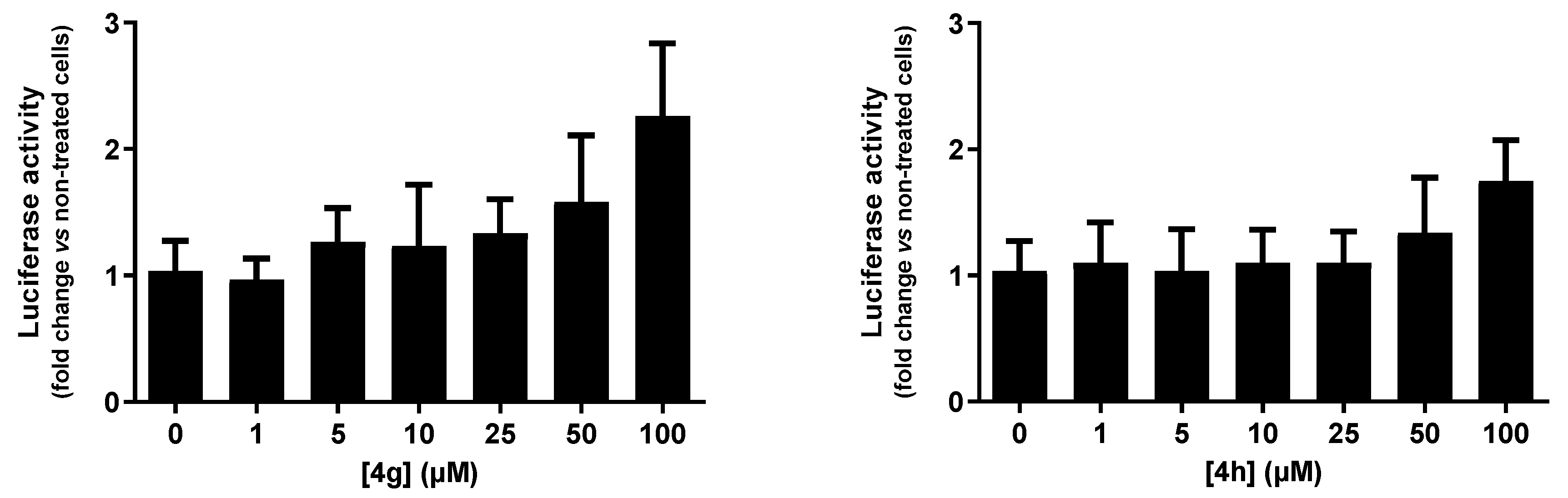
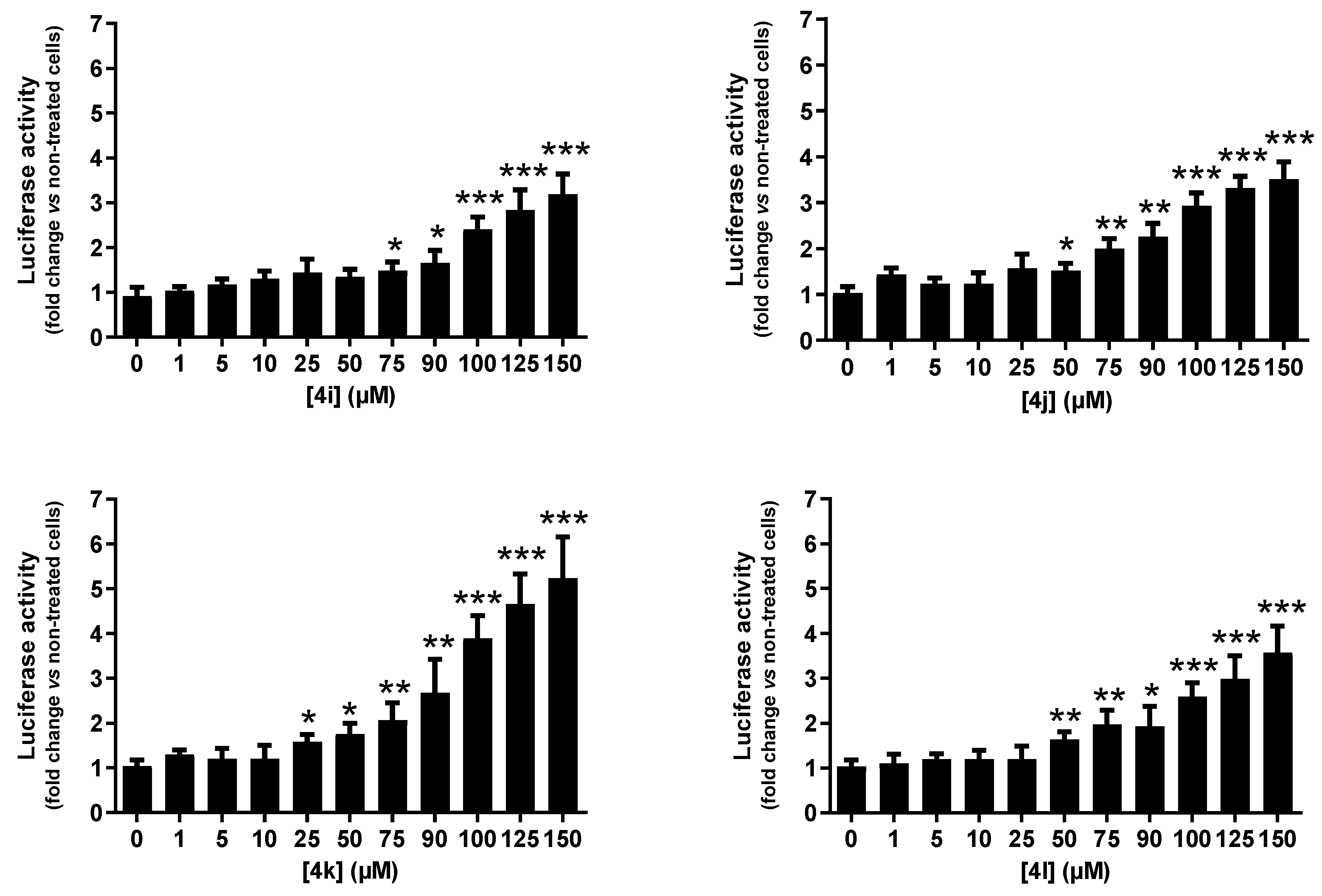
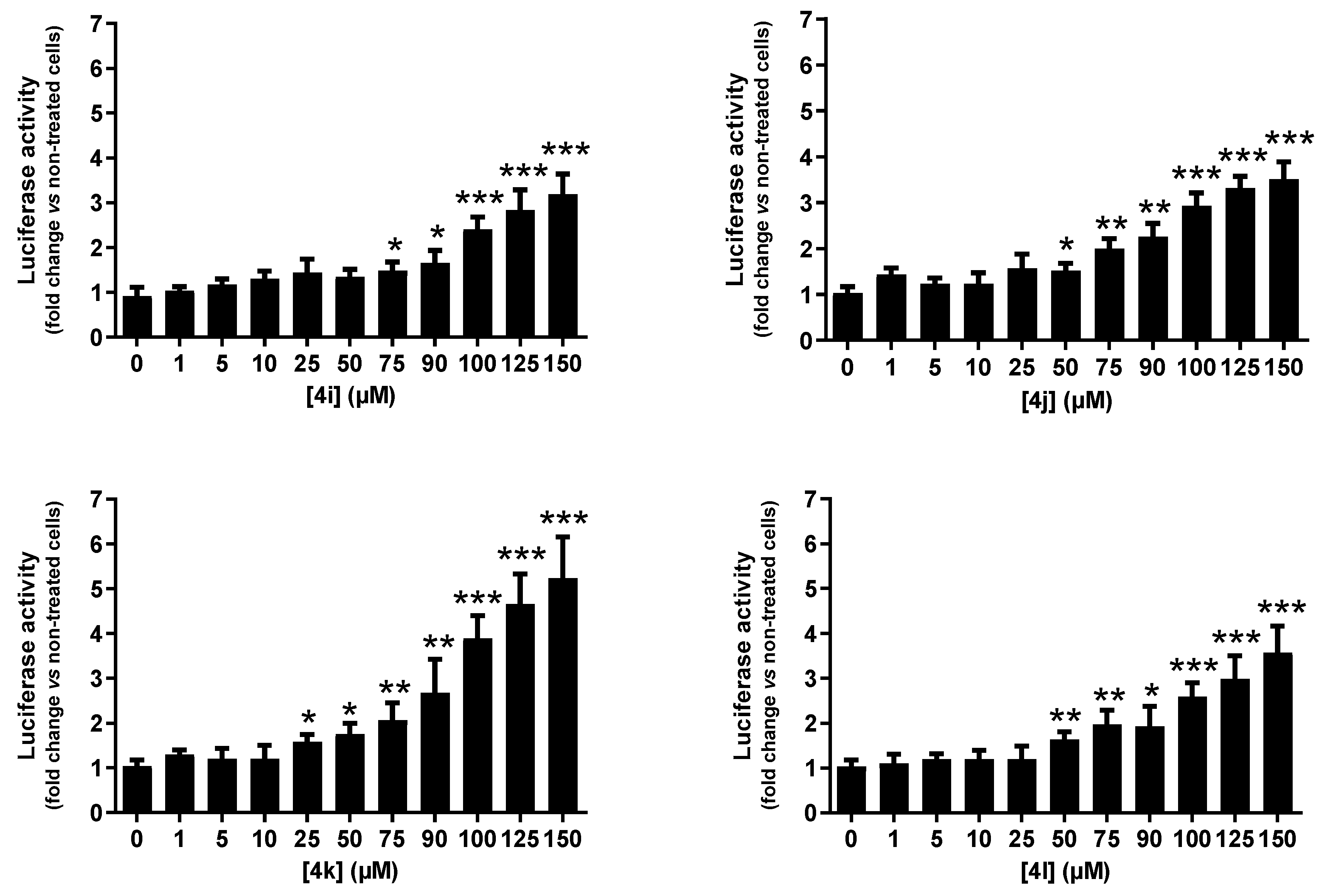
3.2. Biological Evaluation
4. Conclusions
Supplementary Materials
Author Contributions
Funding
Institutional Review Board Statement
Informed Consent Statement
Data Availability Statement
Conflicts of Interest
References
- Querfurth, H.W.; LaFerla, F.M. Alzheimer’s Disease. N. Engl. J. Med. 2010, 362, 329–344. [Google Scholar] [CrossRef] [PubMed]
- Dementia. Available online: https://www.who.int/news-room/fact-sheets/detail/dementia (accessed on 11 April 2022).
- Cacabelos, R. Have There Been Improvements in Alzheimer’s Disease Drug Discovery over the Past 5 Years? Expert Opin. Drug Discov. 2018, 13, 523–538. [Google Scholar] [CrossRef] [PubMed]
- Bartus, R.T.; Dean, R.L.; Beer, B.; Lippa, A.S. The Cholinergic Hypothesis of Geriatric Memory Dysfunction. Science 1982, 217, 408–414. [Google Scholar] [CrossRef]
- Gómez-Isla, T.; Hollister, R.; West, H.; Mui, S.; Growdon, J.H.; Petersen, R.C.; Parisi, J.E.; Hyman, B.T. Neuronal Loss Correlates with but Exceeds Neurofibrillary Tangles in Alzheimer’s Disease. Ann. Neurol. 1997, 41, 17–24. [Google Scholar] [CrossRef]
- Chen, C.-H.; Zhou, W.; Liu, S.; Deng, Y.; Cai, F.; Tone, M.; Tone, Y.; Tong, Y.; Song, W. Increased NF-κB Signalling up-Regulates BACE1 Expression and Its Therapeutic Potential in Alzheimer’s Disease. Int. J. Neuropsychopharmacol. 2012, 15, 77–90. [Google Scholar] [CrossRef]
- Oulès, B.; Del Prete, D.; Greco, B.; Zhang, X.; Lauritzen, I.; Sevalle, J.; Moreno, S.; Paterlini-Bréchot, P.; Trebak, M.; Checler, F.; et al. Ryanodine Receptor Blockade Reduces Amyloid-β Load and Memory Impairments in Tg2576 Mouse Model of Alzheimer Disease. J. Neurosci. 2012, 32, 11820–11834. [Google Scholar] [CrossRef] [PubMed]
- Avila, J.; Pérez, M.; Lim, F.; Gómez-Ramos, A.; Hernández, F.; Lucas, J.J. Tau in Neurodegenerative Diseases: Tau Phosphorylation and Assembly. Neurotox Res. 2004, 6, 477–482. [Google Scholar] [CrossRef]
- Lemere, C.A.; Munger, J.S.; Shi, G.P.; Natkin, L.; Haass, C.; Chapman, H.A.; Selkoe, D.J. The Lysosomal Cysteine Protease, Cathepsin S, Is Increased in Alzheimer’s Disease and Down Syndrome Brain. An Immunocytochemical Study. Am. J. Pathol. 1995, 146, 848–860. [Google Scholar]
- Lowry, J.R.; Klegeris, A. Emerging Roles of Microglial Cathepsins in Neurodegenerative Disease. Brain Res. Bull. 2018, 139, 144–156. [Google Scholar] [CrossRef]
- Nübling, G.; Schuberth, M.; Feldmer, K.; Giese, A.; Holdt, L.M.; Teupser, D.; Lorenzl, S. Cathepsin S Increases Tau Oligomer Formation through Limited Cleavage, but Only IL-6, Not Cathespin S Serum Levels Correlate with Disease Severity in the Neurodegenerative Tauopathy Progressive Supranuclear Palsy. Exp. Brain Res. 2017, 235, 2407–2412. [Google Scholar] [CrossRef]
- Yan, M.H.; Wang, X.; Zhu, X. Mitochondrial Defects and Oxidative Stress in Alzheimer Disease and Parkinson Disease. Free Radic. Biol. Med. 2013, 62, 90–101. [Google Scholar] [CrossRef] [PubMed]
- Greenough, M.A.; Camakaris, J.; Bush, A.I. Metal Dyshomeostasis and Oxidative Stress in Alzheimer’s Disease. Neurochem. Int. 2013, 62, 540–555. [Google Scholar] [CrossRef]
- Candore, G.; Bulati, M.; Caruso, C.; Castiglia, L.; Colonna-Romano, G.; Di Bona, D.; Duro, G.; Lio, D.; Matranga, D.; Pellicanò, M.; et al. Inflammation, Cytokines, Immune Response, Apolipoprotein E, Cholesterol, and Oxidative Stress in Alzheimer Disease: Therapeutic Implications. Rejuvenation Res. 2010, 13, 301–313. [Google Scholar] [CrossRef] [PubMed]
- Rosini, M.; Simoni, E.; Milelli, A.; Minarini, A.; Melchiorre, C. Oxidative Stress in Alzheimer’s Disease: Are We Connecting the Dots? J. Med. Chem. 2014, 57, 2821–2831. [Google Scholar] [CrossRef] [PubMed]
- Vriend, J.; Reiter, R.J. The Keap1-Nrf2-Antioxidant Response Element Pathway: A Review of Its Regulation by Melatonin and the Proteasome. Mol. Cell. Endocrinol. 2015, 401, 213–220. [Google Scholar] [CrossRef] [PubMed]
- Albertini, C.; Salerno, A.; Pinheiro, P.d.S.M.; Bolognesi, M.L. From Combinations to Multitarget-Directed Ligands: A Continuum in Alzheimer’s Disease Polypharmacology. Med. Res. Rev. 2021, 41, 2606–2633. [Google Scholar] [CrossRef]
- Prati, F.; Cavalli, A.; Bolognesi, M.L. Navigating the Chemical Space of Multitarget-Directed Ligands: From Hybrids to Fragments in Alzheimer’s Disease. Molecules 2016, 21, 466. [Google Scholar] [CrossRef]
- Guzior, N.; Wieckowska, A.; Panek, D.; Malawska, B. Recent Development of Multifunctional Agents as Potential Drug Candidates for the Treatment of Alzheimer’s Disease. Curr. Med. Chem. 2014, 22, 373–404. [Google Scholar] [CrossRef]
- Codony, S.; Pont, C.; Griñán-Ferré, C.; Di Pede-Mattatelli, A.; Calvó-Tusell, C.; Feixas, F.; Osuna, S.; Jarné-Ferrer, J.; Naldi, M.; Bartolini, M.; et al. Discovery and In Vivo Proof of Concept of a Highly Potent Dual Inhibitor of Soluble Epoxide Hydrolase and Acetylcholinesterase for the Treatment of Alzheimer’s Disease. J. Med. Chem. 2022, 65, 4909–4925. [Google Scholar] [CrossRef]
- Szczepańska, K.; Karcz, T.; Dichiara, M.; Mogilski, S.; Kalinowska-Tłuścik, J.; Pilarski, B.; Leniak, A.; Pietruś, W.; Podlewska, S.; Popiołek-Barczyk, K.; et al. Dual Piperidine-Based Histamine H3 and Sigma-1 Receptor Ligands in the Treatment of Nociceptive and Neuropathic Pain. J. Med. Chem. 2023, 66, 9658–9683. [Google Scholar] [CrossRef]
- Ismaili, L.; Monnin, J.; Etievant, A.; Arribas, R.L.; Viejo, L.; Refouvelet, B.; Soukup, O.; Janockova, J.; Hepnarova, V.; Korabecny, J.; et al. (±)-BIGI-3h: Pentatarget-Directed Ligand Combining Cholinesterase, Monoamine Oxidase, and Glycogen Synthase Kinase 3β Inhibition with Calcium Channel Antagonism and Antiaggregating Properties for Alzheimer’s Disease. ACS Chem. Neurosci. 2021, 12, 1328–1342. [Google Scholar] [CrossRef] [PubMed]
- Dgachi, Y.; Martin, H.; Malek, R.; Jun, D.; Janockova, J.; Sepsova, V.; Soukup, O.; Iriepa, I.; Moraleda, I.; Maalej, E.; et al. Synthesis and Biological Assessment of KojoTacrines as New Agents for Alzheimer’s Disease Therapy. J. Enzyme. Inhib. Med. Chem. 2019, 34, 163–170. [Google Scholar] [CrossRef]
- Malek, R.; Arribas, R.L.; Palomino-Antolin, A.; Totoson, P.; Demougeot, C.; Kobrlova, T.; Soukup, O.; Iriepa, I.; Moraleda, I.; Diez-Iriepa, D.; et al. New Dual Small Molecules for Alzheimer’s Disease Therapy Combining Histamine H3 Receptor (H3R) Antagonism and Calcium Channels Blockade with Additional Cholinesterase Inhibition. J. Med. Chem. 2019, 62, 11416–11422. [Google Scholar] [CrossRef]
- Matos, L.H.S.; Masson, F.T.; Simeoni, L.A.; Homem-de-Mello, M. Biological Activity of Dihydropyrimidinone (DHPM) Derivatives: A Systematic Review. Eur. J. Med. Chem. 2018, 143, 1779–1789. [Google Scholar] [CrossRef]
- Kang, S.; Cooper, G.; Dunne, S.F.; Luan, C.-H.; James Surmeier, D.; Silverman, R.B. Antagonism of L-Type Ca2+ Channels CaV1.3 and CaV1.2 by 1,4-Dihydropyrimidines and 4H-Pyrans as Dihydropyridine Mimics. Bioorg. Med. Chem. 2013, 21, 4365–4373. [Google Scholar] [CrossRef] [PubMed]
- Cho, H.J.; Jin, S.M.; Youn, H.D.; Huh, K.; Mook-Jung, I. Disrupted Intracellular Calcium Regulates BACE1 Gene Expression via Nuclear Factor of Activated T Cells 1 (NFAT 1) Signaling. Aging Cell. 2008, 7, 137–147. [Google Scholar] [CrossRef]
- Hayley, M.; Perspicace, S.; Schulthess, T.; Seelig, J. Calcium Enhances the Proteolytic Activity of BACE1: An in Vitro Biophysical and Biochemical Characterization of the BACE1-Calcium Interaction. Biochim. Biophys. Acta 2009, 1788, 1933–1938. [Google Scholar] [CrossRef] [PubMed]
- Small, D.H.; Gasperini, R.; Vincent, A.J.; Hung, A.C.; Foa, L. The Role of Aβ-Induced Calcium Dysregulation in the Pathogenesis of Alzheimer’s Disease. J Alzheimers Dis. 2009, 16, 225–233. [Google Scholar] [CrossRef]
- Anekonda, T.S.; Quinn, J.F. Calcium Channel Blocking as a Therapeutic Strategy for Alzheimer’s Disease: The Case for Isradipine. Biochim. Biophys. Acta 2011, 1812, 1584–1590. [Google Scholar] [CrossRef]
- Irer, S.V.; Alper, G.E.; Sezer, E.D.; Duman, E.; Saatcioglu, F.; Yilmaz, C. The Effect of L-Deprenyl on Tissue mRNA Expressions of NOS Isoforms and NO Levels in an Experimental Diabetes Mellitus Model. J. Neural Transm. 2007, 114, 811. [Google Scholar] [CrossRef]
- Czerniczyniec, A.; Bustamante, J.; Lores-Arnaiz, S. Modulation of Brain Mitochondrial Function by Deprenyl. Neurochem. Int. 2006, 48, 235–241. [Google Scholar] [CrossRef]
- Naoi, M.; Maruyama, W.; Shamoto-Nagai, M. Neuroprotective Function of Rasagiline and Selegiline, Inhibitors of Type B Monoamine Oxidase, and Role of Monoamine Oxidases in Synucleinopathies. Int. J. Mol. Sci. 2022, 23, 11059. [Google Scholar] [CrossRef]
- Nakaso, K.; Nakamura, C.; Sato, H.; Imamura, K.; Takeshima, T.; Nakashima, K. Novel Cytoprotective Mechanism of Anti-Parkinsonian Drug Deprenyl: PI3K and Nrf2-Derived Induction of Antioxidative Proteins. Biochem. Biophys. Res. Commun. 2006, 339, 915–922. [Google Scholar] [CrossRef] [PubMed]
- Arkona, C.; Rademann, J. Propargyl Amides as Irreversible Inhibitors of Cysteine Proteases—A Lesson on the Biological Reactivity of Alkynes. Angew. Chem. Int. Ed. 2013, 52, 8210–8212. [Google Scholar] [CrossRef]
- Xu, J.; Wang, H.; Ding, K.; Lu, X.; Li, T.; Wang, J.; Wang, C.; Wang, J. Inhibition of Cathepsin S Produces Neuroprotective Effects after Traumatic Brain Injury in Mice. Mediat. Inflamm. 2013, 2013, e187873. [Google Scholar] [CrossRef] [PubMed]
- Clemens, R.J.; Hyatt, J.A. Acetoacetylation with 2,2,6-Trimethyl-4H-1,3-Dioxin-4-One: A Convenient Alternative to Diketene. J. Org. Chem. 1985, 50, 2431–2435. [Google Scholar] [CrossRef]
- Malek, R.; Simakov, A.; Davis, A.; Maj, M.; Bernard, P.J.; Wnorowski, A.; Martin, H.; Marco-Contelles, J.; Chabchoub, F.; Dallemagne, P.; et al. Biginelli Reaction Synthesis of Novel Multitarget-Directed Ligands with Ca2+ Channel Blocking Ability, Cholinesterase Inhibition, Antioxidant Capacity, and Nrf2 Activation. Molecules 2023, 28, 71. [Google Scholar] [CrossRef]
- Frizler, M.; Lohr, F.; Lülsdorff, M.; Gütschow, M. Facing the Gem-Dialkyl Effect in Enzyme Inhibitor Design: Preparation of Homocycloleucine-Based Azadipeptide Nitriles. Chem. Eur. J. 2011, 17, 11419–11423. [Google Scholar] [CrossRef]
- Lemke, C.; Benýšek, J.; Brajtenbach, D.; Breuer, C.; Jílková, A.; Horn, M.; Buša, M.; Ulrychová, L.; Illies, A.; Kubatzky, K.F.; et al. An Activity-Based Probe for Cathepsin K Imaging with Excellent Potency and Selectivity. J. Med. Chem. 2021, 64, 13793–13806. [Google Scholar] [CrossRef]
- Mertens, M.D.; Schmitz, J.; Horn, M.; Furtmann, N.; Bajorath, J.; Mareš, M.; Gütschow, M. A Coumarin-Labeled Vinyl Sulfone as Tripeptidomimetic Activity-Based Probe for Cysteine Cathepsins. Chembiochem 2014, 15, 955–959. [Google Scholar] [CrossRef]
- Tamaddon, F.; Razmi, Z.; Jafari, A.A. Synthesis of 3,4-Dihydropyrimidin-2(1H)-Ones and 1,4-Dihydropyridines Using Ammonium Carbonate in Water. Tetrahedron Lett. 2010, 51, 1187–1189. [Google Scholar] [CrossRef]
- Dávalos, A.; Gómez-Cordovés, C.; Bartolomé, B. Extending Applicability of the Oxygen Radical Absorbance Capacity (ORAC−Fluorescein) Assay. J. Agric. Food Chem. 2004, 52, 48–54. [Google Scholar] [CrossRef] [PubMed]
- Benchekroun, M.; Ismaili, L.; Pudlo, M.; Luzet, V.; Gharbi, T.; Refouvelet, B.; Marco-Contelles, J. Donepezil–Ferulic Acid Hybrids as Anti-Alzheimer Drugs. Future Med. Chem. 2015, 7, 15–21. [Google Scholar] [CrossRef] [PubMed]
- Wang, X.J.; Hayes, J.D.; Wolf, C.R. Generation of a Stable Antioxidant Response Element–Driven Reporter Gene Cell Line and Its Use to Show Redox-Dependent Activation of Nrf2 by Cancer Chemotherapeutic Agents. Cancer Res. 2006, 66, 10983–10994. [Google Scholar] [CrossRef]
- Parada, E.; Buendia, I.; León, R.; Negredo, P.; Romero, A.; Cuadrado, A.; López, M.G.; Egea, J. Neuroprotective Effect of Melatonin against Ischemia Is Partially Mediated by Alpha-7 Nicotinic Receptor Modulation and HO-1 Overexpression. J. Pineal Res. 2014, 56, 204–212. [Google Scholar] [CrossRef]





| Compd | R1 | R2 | R3 | Calcium Channel Blockade (%) a | ORAC b | Nrf2 Induction Potencies CD (µM) c | CatS Ki (μM) d |
|---|---|---|---|---|---|---|---|
| 4a | H | H | H | 12 | 0.86 ± 0.05 | n.d. e | n.i. f |
| 4b | H | NO2 | H | n.i. | 1.36 ± 0.16 | 82.8 ± 8.4 | n.i. |
| 4c | H | H | NO2 | 3 | 1.54 ± 0.15 | n.d. | n.i. |
| 4d | H | =N-O-N= | 10 | 1.23 ± 0.23 | n.d. | n.i. | |
| 4e | H | Cl | H | n.i. | 1.15 ± 0.02 | n.d. | n.i. |
| 4f | H | OCH3 | H | 19 | 1.34 ± 0.20 | n.d. | n.i. |
| 4g | H | Br | H | n.i. | 1.43 ± 0.03 | n.d. | n.i. |
| 4h | H | H | Br | 7 | 1.28 ± 0.05 | n.d. | 55.3 ± 7.4 |
| 4i | CH3 | Cl | H | 11 | 1.93 ± 0.08 | 96.0 ± 6.1 | 69.3 ± 5.2 |
| 4j | CH3 | Cl | Cl | 12 | 1.82 ± 0.05 | 77.2 ± 7.1 | n.i. |
| 4k | CH3 | OCH3 | H | 14 | n.i. | 69.4 ± 9.1 | n.i. |
| 4l | CH3 | H | OCH3 | 15 | 0.96 ± 0.07 | 81.7 ±11.6 | n.i. |
| nimodipine | 37 | n.d. | n.d. | n.d. | |||
| melatonin | n.d. | 2.45 ± 0.09 | 66.4 ± 16.4 | n.d. | |||
Disclaimer/Publisher’s Note: The statements, opinions and data contained in all publications are solely those of the individual author(s) and contributor(s) and not of MDPI and/or the editor(s). MDPI and/or the editor(s) disclaim responsibility for any injury to people or property resulting from any ideas, methods, instructions or products referred to in the content. |
© 2024 by the authors. Licensee MDPI, Basel, Switzerland. This article is an open access article distributed under the terms and conditions of the Creative Commons Attribution (CC BY) license (https://creativecommons.org/licenses/by/4.0/).
Share and Cite
Pachón-Angona, I.; Bernard, P.J.; Simakov, A.; Maj, M.; Jozwiak, K.; Novotna, A.; Lemke, C.; Gütschow, M.; Martin, H.; Oset-Gasque, M.-J.; et al. Design and Synthesis of Multi-Functional Ligands through Hantzsch Reaction: Targeting Ca2+ Channels, Activating Nrf2 and Possessing Cathepsin S Inhibitory, and Antioxidant Properties. Pharmaceutics 2024, 16, 121. https://doi.org/10.3390/pharmaceutics16010121
Pachón-Angona I, Bernard PJ, Simakov A, Maj M, Jozwiak K, Novotna A, Lemke C, Gütschow M, Martin H, Oset-Gasque M-J, et al. Design and Synthesis of Multi-Functional Ligands through Hantzsch Reaction: Targeting Ca2+ Channels, Activating Nrf2 and Possessing Cathepsin S Inhibitory, and Antioxidant Properties. Pharmaceutics. 2024; 16(1):121. https://doi.org/10.3390/pharmaceutics16010121
Chicago/Turabian StylePachón-Angona, Irene, Paul J. Bernard, Alexey Simakov, Maciej Maj, Krzysztof Jozwiak, Anna Novotna, Carina Lemke, Michael Gütschow, Helene Martin, María-Jesús Oset-Gasque, and et al. 2024. "Design and Synthesis of Multi-Functional Ligands through Hantzsch Reaction: Targeting Ca2+ Channels, Activating Nrf2 and Possessing Cathepsin S Inhibitory, and Antioxidant Properties" Pharmaceutics 16, no. 1: 121. https://doi.org/10.3390/pharmaceutics16010121
APA StylePachón-Angona, I., Bernard, P. J., Simakov, A., Maj, M., Jozwiak, K., Novotna, A., Lemke, C., Gütschow, M., Martin, H., Oset-Gasque, M.-J., Contelles, J.-M., & Ismaili, L. (2024). Design and Synthesis of Multi-Functional Ligands through Hantzsch Reaction: Targeting Ca2+ Channels, Activating Nrf2 and Possessing Cathepsin S Inhibitory, and Antioxidant Properties. Pharmaceutics, 16(1), 121. https://doi.org/10.3390/pharmaceutics16010121

