Hydroxypropyl Methylcellulose Bioadhesive Hydrogels for Topical Application and Sustained Drug Release: The Effect of Polyvinylpyrrolidone on the Physicomechanical Properties of Hydrogel
Abstract
1. Introduction
2. Materials and Methods
2.1. Preparation of Polymeric Hydrogel Systems
2.1.1. HPMC and PVP Homopolymeric Hydrogels
2.1.2. HPMC–PVP Binary Hydrogels and Factorial Design Analysis
2.2. Characterization of Hydrogels
2.2.1. Texture Profile Analysis
2.2.2. Rheological Characterization
2.3. Ex Vivo Bioadhesion Testing
2.3.1. Tissue Preparation
2.3.2. Bioadhesion Analysis
2.4. Drug Release
2.5. Fourier Transform Infrared Spectroscopy
2.6. Stability Studies
2.7. Statistical Analysis
3. Results
3.1. HPMC Homopolymeric Hydrogels
3.1.1. Texture Profile
3.1.2. Rheological Properties
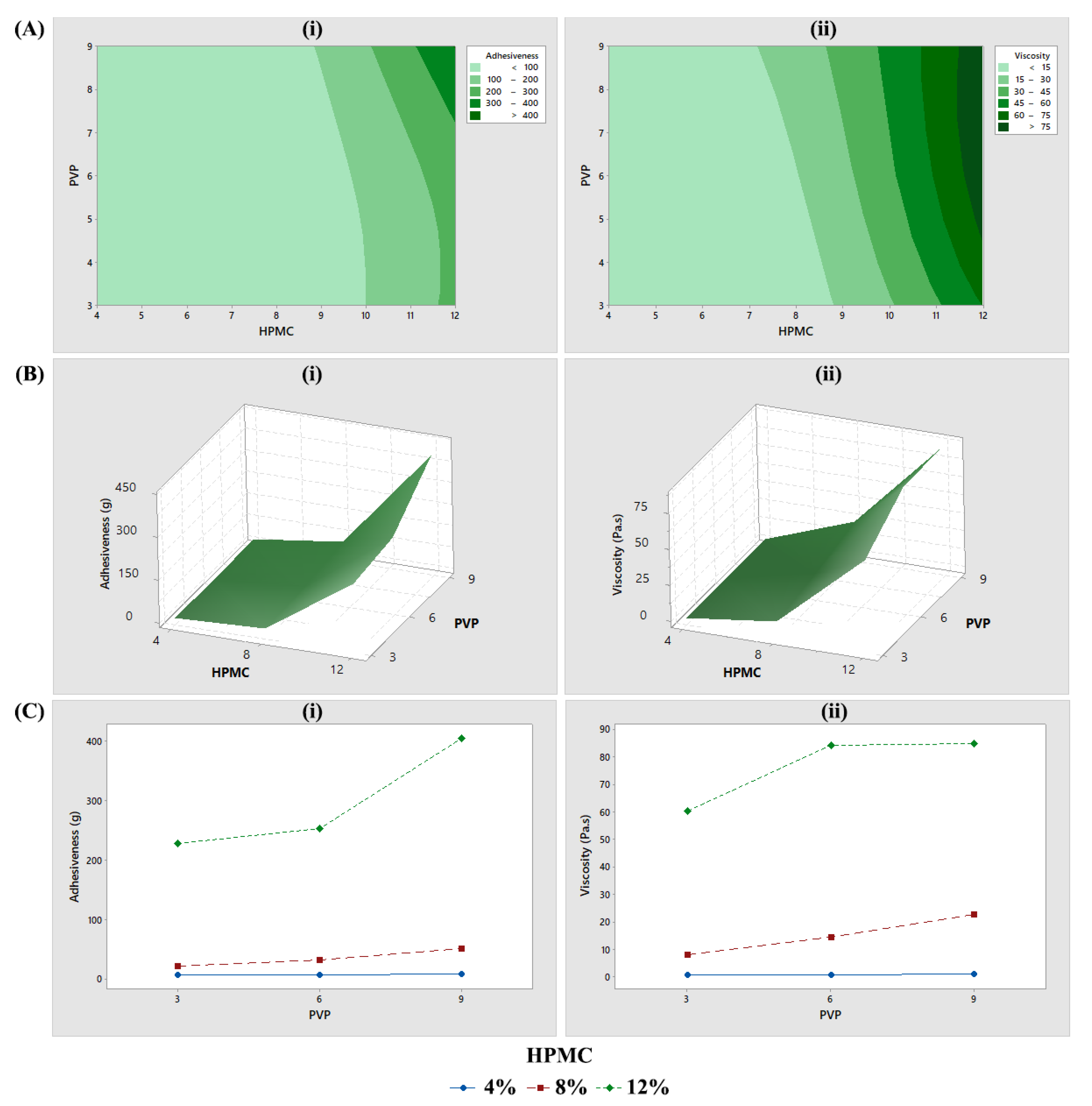
3.2. HPMC–PVP Binary Hydrogel and Factorial Design Analysis
3.2.1. Texture Profile
3.2.2. Rheological Properties
3.2.3. Factorial Design Analysis
3.3. Ex Vivo Bioadhesiveness
3.4. Drug-Release Profiles
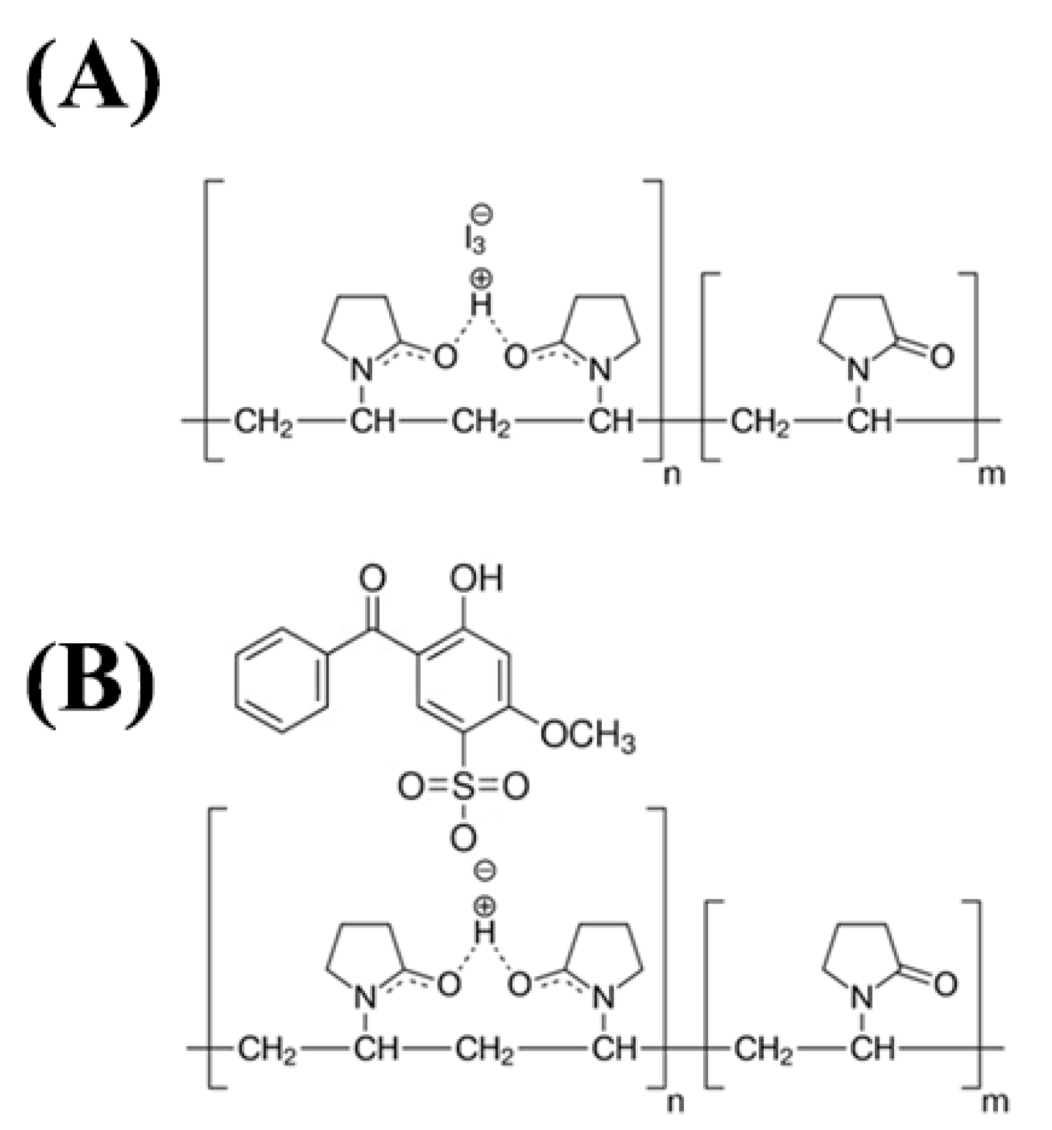
3.5. Fourier Transform Infrared Spectroscopy
3.6. Stability Studies
4. Discussion
5. Conclusions
Author Contributions
Funding
Institutional Review Board Statement
Informed Consent Statement
Data Availability Statement
Acknowledgments
Conflicts of Interest
References
- Guo, J.; Jee, S. Strategies to Develop a Suitable Formulation for Inflammatory Skin Disease Treatment. Int. J. Mol. Sci. 2021, 22, 6078. [Google Scholar] [CrossRef] [PubMed]
- Kathe, K.; Kathpalia, H. Film forming systems for topical and transdermal drug delivery. Asian J. Pharm. Sci. 2017, 12, 487–497. [Google Scholar] [CrossRef] [PubMed]
- Dantas, M.G.; Reis, S.A.; Damasceno, C.M.; Rolim, L.A.; Rolim-Neto, P.J.; Carvalho, F.O.; Quintans-Junior, L.J.; Almeida, J.R. Development and Evaluation of Stability of a Gel Formulation Containing the Monoterpene Borneol. Sci. World J. 2016, 2016, 7394685. [Google Scholar] [CrossRef] [PubMed]
- Binder, L.; Mazál, J.; Petz, R.; Klang, V.; Valenta, C. The role of viscosity on skin penetration from cellulose ether-based hydrogels. Ski. Res. Technol. 2019, 25, 725. [Google Scholar] [CrossRef]
- Nawaz, A.; Farid, A.; Safdar, M.; Latif, M.S.; Ghazanfar, S.; Akhtar, N.; Al Jaouni, S.K.; Selim, S.; Khan, M.W. Formulation Development and Ex-Vivo Permeability of Curcumin Hydrogels under the Influence of Natural Chemical Enhancers. Gels 2022, 8, 384. [Google Scholar] [CrossRef]
- Djekic, L.; Martinović, M.; Dobričić, V.; Čalija, B.; Medarević, Đ.; Primorac, M. Comparison of the Effect of Bioadhesive Polymers on Stability and Drug Release Kinetics of Biocompatible Hydrogels for Topical Application of Ibuprofen. J. Pharm. Sci. 2019, 108, 1326–1333. [Google Scholar] [CrossRef]
- Barnes, T.M.; Mijaljica, D.; Townley, J.P.; Spada, F.; Harrison, I.P. Vehicles for Drug Delivery and Cosmetic Moisturizers: Review and Comparison. Pharmaceutics 2021, 13, 2012. [Google Scholar] [CrossRef]
- Bhubhanil, S.; Talodthaisong, C.; Khongkow, M.; Namdee, K.; Wongchitrat, P.; Yingmema, W.; Hutchison, J.A.; Lapmanee, S.; Kulchat, S. Enhanced wound healing properties of guar gum/curcumin-stabilized silver nanoparticle hydrogels. Sci. Rep. 2021, 11, 21836. [Google Scholar] [CrossRef]
- Puccetti, G.; Fares, H. A new approach for evaluating the water resistance of sunscreens on consumers: Tap water vs. salt water vs. chlorine water. Int. J. Cosmet. Sci. 2014, 36, 284–290. [Google Scholar] [CrossRef]
- Woertz, C.; Preis, M.; Breitkreutz, J.; Kleinebudde, P. Assessment of test methods evaluating mucoadhesive polymers and dosage forms: An overview. Eur. J. Pharm. Biopharm. 2013, 85, 843–853. [Google Scholar] [CrossRef]
- Amorós-Galicia, L.; Nardi-Ricart, A.; Verdugo-González, C.; Arroyo-García, C.M.; García-Montoya, E.; Pérez-Lozano, P.; Suñé-Negre, J.M.; Suñé-Pou, M. Development of a Standardized Method for Measuring Bioadhesion and Mucoadhesion That Is Applicable to Various Pharmaceutical Dosage Forms. Pharmaceutics 2022, 14, 1995. [Google Scholar] [CrossRef] [PubMed]
- Mehdizadeh, M.; Yang, J. Design Strategies and Applications of Tissue Bioadhesives. Macromol. Biosci. 2013, 13, 271–288. [Google Scholar] [CrossRef]
- Uma, K. Bioadhesives for clinical applications—A mini review. Mater. Adv. 2023, 4, 2062–2069. [Google Scholar]
- Brambilla, E.; Locarno, S.; Gallo, S.; Orsini, F.; Pini, C.; Farronato, M.; Thomaz, D.V.; Lenardi, C.; Piazzoni, M.; Tartaglia, G. Poloxamer-Based Hydrogel as Drug Delivery System: How Polymeric Excipients Influence the Chemical-Physical Properties. Polymers 2022, 14, 3624. [Google Scholar] [CrossRef] [PubMed]
- Bovone, G.; Dudaryeva, O.Y.; Marco-Dufort, B.; Tibbitt, M.W. Engineering Hydrogel Adhesion for Biomedical Applications via Chemical Design of the Junction. ACS Biomater. Sci. Eng. 2021, 7, 4048–4076. [Google Scholar] [CrossRef] [PubMed]
- Annabi, N.; Yue, K.; Tamayol, A.; Khademhosseini, A. Elastic sealants for surgical applications. Eur. J. Pharm. Biopharm. 2015, 95 Pt A, 27–39. [Google Scholar] [CrossRef]
- Yang, N.; Huang, Y.; Hou, J.; Zhang, Y.; Tian, L.; Chen, Z.; Jin, Z.; Shen, Y.; Guo, S. Rheological behaviors and texture properties of semi-interpenetrating networks of hydroxypropyl methylcellulose and gellan. Food Hydrocoll. 2022, 122, 107097. [Google Scholar] [CrossRef]
- Shin, S.; Kim, J.; Oh, I. Mucoadhesive and Physicochemical Characterization of Carbopol-Poloxamer Gels Containing Triamcinolone Acetonide. Drug Dev. Ind. Pharm. 2000, 26, 307–312. [Google Scholar] [CrossRef]
- Ghorpade, V.S.; Yadav, A.V.; Dias, R.J. Citric acid crosslinked cyclodextrin/hydroxypropylmethylcellulose hydrogel films for hydrophobic drug delivery. Int. J. Biol. Macromol. 2016, 93 Pt A, 75–86. [Google Scholar] [CrossRef]
- Noval, N.; Rosyifa, R.; Annisa, A. Effect of HPMC Concentration Variation as Gelling Agent on Physical Stability of Formulation Gel Ethanol Extract Bundung Plants (Actinuscirpus Grossus). In Proceedings of the First National Seminar Universitas Sari Mulia, NS-UNISM 2019, Banjarmasin, South Kalimantan, Indonesia, 23 November 2019. [Google Scholar]
- Rasool, B.K.; Mohammed, A.A.; Salem, Y.Y. The Optimization of a Dimenhydrinate Transdermal Patch Formulation Based on the Quantitative Analysis of In Vitro Release Data by DDSolver through Skin Penetration Studies. Sci. Pharm. 2021, 89, 33. [Google Scholar] [CrossRef]
- Vrbanac, H.; Trontelj, J.; Kalčič, Š.; Legen, I. Mechanistic study of model drug release from HPMC matrices in fed gastric media. J. Drug Deliv. Sci. Technol. 2020, 60, 102034. [Google Scholar] [CrossRef]
- Kolawole, O.M.; Cook, M.T. In situ gelling drug delivery systems for topical drug delivery. Eur. J. Pharm. Biopharm. 2023, 184, 36–49. [Google Scholar] [CrossRef] [PubMed]
- Luo, Y.; Hong, Y.; Shen, L.; Wu, F.; Lin, X. Multifunctional Role of Polyvinylpyrrolidone in Pharmaceutical Formulations. AAPS PharmSciTech 2021, 22, 34. [Google Scholar] [CrossRef]
- Kurakula, M.; Rao, G.S.N.K. Pharmaceutical assessment of polyvinylpyrrolidone (PVP): As excipient from conventional to controlled delivery systems with a spotlight on COVID-19 inhibition. J. Drug Deliv. Sci. Technol. 2020, 60, 102046. [Google Scholar] [CrossRef] [PubMed]
- Roy, N.; Saha, N. PVP-based hydrogels: Synthesis, properties and applications. In Hydrogels: Synthesis, Characterization and Applications; Wiley: Hoboken, NJ, USA, 2012; pp. 1703–1710. [Google Scholar]
- Franco, P.; De Marco, I. The Use of Poly(N-vinyl pyrrolidone) in the Delivery of Drugs: A Review. Polymers 2020, 12, 1114. [Google Scholar] [CrossRef]
- Aung, N.N.; Ngawhirunpat, T.; Rojanarata, T.; Patrojanasophon, P.; Opanasopit, P.; Pamornpathomkul, B. Enhancement of transdermal delivery of resveratrol using Eudragit and polyvinyl pyrrolidone-based dissolving microneedle patches. J. Drug Deliv. Sci. Technol. 2021, 61, 102284. [Google Scholar] [CrossRef]
- Suksaeree, J.; Siripornpinyo, P.; Chaiprasit, S. Formulation, Characterization, and In Vitro Evaluation of Transdermal Patches for Inhibiting Crystallization of Mefenamic Acid. J. Drug Deliv. 2017, 2017, 7358042. [Google Scholar] [CrossRef]
- Suvandee, W.; Teeranachaideekul, V.; Jeenduang, N.; Nooeaid, P.; Makarasen, A.; Chuenchom, L.; Techasakul, S.; Dechtrirat, D. One-Pot and Green Preparation of Phyllanthus emblica Extract/Silver Nanoparticles/Polyvinylpyrrolidone Spray-On Dressing. Polymers 2022, 14, 2205. [Google Scholar] [CrossRef]
- Chan, L.W.; Wong, T.W.; Chua, P.C.; York, P.; Heng, P.W.S. Anti-tack Action of Polyvinylpyrrolidone on Hydroxypropylmethylcellulose Solution. Chem. Pharm. Bull. 2003, 51, 107–112. [Google Scholar] [CrossRef][Green Version]
- Lodge, T.P.; Maxwell, A.L.; Lott, J.R.; Schmidt, P.W.; McAllister, J.W.; Morozova, S.; Bates, F.S.; Li, Y.; Sammler, R.L. Gelation, Phase Separation, and Fibril Formation in Aqueous Hydroxypropylmethylcellulose Solutions. Biomacromolecules 2018, 19, 816–824. [Google Scholar] [CrossRef]
- Jones, D.S.; Woolfson, D.A.; Brown, A.F. Textural Analysis and Flow Rheometry of Novel, Bioadhesive Antimicrobial Oral Gels. Pharm. Res. 1997, 14, 450–457. [Google Scholar] [CrossRef] [PubMed]
- Dick, I.P.; Scott, R.C. Pig ear skin as an in-vitro model for human skin permeability. J. Pharm. Pharmacol. 1992, 44, 640–645. [Google Scholar] [CrossRef] [PubMed]
- Khiao In, M.; Richardson, K.C.; Loewa, A.; Hedtrich, S.; Kaessmeyer, S.; Plendl, J. Histological and functional comparisons of four anatomical regions of porcine skin with human abdominal skin. Anat. Histol. Embryol. 2019, 48, 207–217. [Google Scholar] [CrossRef] [PubMed]
- Hägerström, H.; Edsman, K. Interpretation of mucoadhesive properties of polymer gel preparations using a tensile strength method. J. Pharm. Pharmacol. 2001, 53, 1589–1599. [Google Scholar] [CrossRef] [PubMed]
- Sigma-Aldrich. Product Information: Dialysis Tubing, Cellulose Membrane. 2014. Available online: https://www.sigmaaldrich.com/deepweb/assets/sigmaaldrich/product/documents/396/669/d9402pis.pdf (accessed on 6 April 2023).
- Pan, P.; Svirskis, D.; Waterhouse, G.I.N.; Wu, Z. A simple and reliable isocratic high performance chromatographic assay for the simultaneous determination of hydrophilic benzophenone-4 and lipophilic octocrylene in sunscreens. Int. J. Cosmet. Sci. 2023, 45, 512–523. [Google Scholar] [CrossRef]
- Menges, F. Spectragryph—Optical Spectroscopy Software, Version 1.2.16.1. 2022. Available online: https://www.effemm2.de/spectragryph/ (accessed on 20 June 2023).
- Center for Drug Evaluation and Research. Q1A(R2) Stability Testing of New Drug Substances and Products. 2020. Available online: https://www.fda.gov/regulatory-information/search-fda-guidance-documents/q1ar2-stability-testing-new-drug-substances-and-products (accessed on 19 April 2023).
- Furqan, M.; Iqbal, F.; Tulain, R. Microwave radiation induced synthesis of hydroxypropyl methylcellulose-graft-(polyvinylalcohal-co-acrylic acid) polymeric network and its in vitro evaluation. Acta Pol. Pharm. 2017, 74, 527–541. [Google Scholar]
- Rahma, A.; Munir, M.M.; Khairurrijal, K.; Prasetyo, A. Intermolecular Interactions and the Release Pattern of Electrospun Curcumin-Polyvinyl(pyrrolidone). Fiber 2016, 39, 163–173. [Google Scholar] [CrossRef]
- Carvalho, F.C.; Calixto, G.; Hatakeyama, I.N.; Luz, G.M.; Gremião, M.P.D.; Chorilli, M. Rheological, mechanical, and bioadhesive behavior of hydrogels to optimize skin delivery systems. Drug Dev. Ind. Pharm. 2013, 39, 1750–1757. [Google Scholar] [CrossRef]
- Mitsui, T.; Morosawa, K.; Otake, C. Estimation of the rate of shear encountered in topical application of cosmetics. J. Texture Stud. 1971, 2, 339–347. [Google Scholar] [CrossRef]
- Caraballo, I. Factors affecting drug release from hydroxypropyl methylcellulose matrix systems in the light of classical and percolation theories. Expert Opin. Drug Deliv. 2010, 7, 1291–1301. [Google Scholar] [CrossRef]
- Vigata, M.; Meinert, C.; Hutmacher, D.W.; Bock, N. Hydrogels as Drug Delivery Systems: A Review of Current Characterization and Evaluation Techniques. Pharmaceutics 2020, 12, 1188. [Google Scholar] [CrossRef] [PubMed]
- Binglin, H.; Tongwen, X. Mechanism of sustained drug release in diffusion-controlled polymer matrix-application of percolation theory. Int. J. Pharm. 1998, 170, 139–149. [Google Scholar]
- Huang, X.; Yang, D.; Kang, Z. Impact of pore distribution characteristics on percolation threshold based on site percolation theory. Phys. A Stat. Mech. Its Appl. 2021, 570, 125800. [Google Scholar] [CrossRef]
- Schenck, H.U.; Simak, P.; Haedicke, E. Structure of polyvinylpyrrolidone-iodine (povidone-iodine). J. Pharm. Sci. 1979, 68, 1505–1509. [Google Scholar] [CrossRef]











| Gel Number | 1 | 2 | 3 | 4 | 5 | 6 | 7 | 8 | 9 |
|---|---|---|---|---|---|---|---|---|---|
| X1: HMPC (% w/v) | 4 | 4 | 4 | 8 | 8 | 8 | 12 | 12 | 12 |
| X2: PVP (% w/v) | 3 | 6 | 9 | 3 | 6 | 9 | 3 | 6 | 9 |
Disclaimer/Publisher’s Note: The statements, opinions and data contained in all publications are solely those of the individual author(s) and contributor(s) and not of MDPI and/or the editor(s). MDPI and/or the editor(s) disclaim responsibility for any injury to people or property resulting from any ideas, methods, instructions or products referred to in the content. |
© 2023 by the authors. Licensee MDPI, Basel, Switzerland. This article is an open access article distributed under the terms and conditions of the Creative Commons Attribution (CC BY) license (https://creativecommons.org/licenses/by/4.0/).
Share and Cite
Pan, P.; Svirskis, D.; Waterhouse, G.I.N.; Wu, Z. Hydroxypropyl Methylcellulose Bioadhesive Hydrogels for Topical Application and Sustained Drug Release: The Effect of Polyvinylpyrrolidone on the Physicomechanical Properties of Hydrogel. Pharmaceutics 2023, 15, 2360. https://doi.org/10.3390/pharmaceutics15092360
Pan P, Svirskis D, Waterhouse GIN, Wu Z. Hydroxypropyl Methylcellulose Bioadhesive Hydrogels for Topical Application and Sustained Drug Release: The Effect of Polyvinylpyrrolidone on the Physicomechanical Properties of Hydrogel. Pharmaceutics. 2023; 15(9):2360. https://doi.org/10.3390/pharmaceutics15092360
Chicago/Turabian StylePan, Patrick, Darren Svirskis, Geoffrey I. N. Waterhouse, and Zimei Wu. 2023. "Hydroxypropyl Methylcellulose Bioadhesive Hydrogels for Topical Application and Sustained Drug Release: The Effect of Polyvinylpyrrolidone on the Physicomechanical Properties of Hydrogel" Pharmaceutics 15, no. 9: 2360. https://doi.org/10.3390/pharmaceutics15092360
APA StylePan, P., Svirskis, D., Waterhouse, G. I. N., & Wu, Z. (2023). Hydroxypropyl Methylcellulose Bioadhesive Hydrogels for Topical Application and Sustained Drug Release: The Effect of Polyvinylpyrrolidone on the Physicomechanical Properties of Hydrogel. Pharmaceutics, 15(9), 2360. https://doi.org/10.3390/pharmaceutics15092360

