Correction: Van der Veken et al. Gastrointestinal Fluid Volumes in Pediatrics: A Retrospective MRI Study. Pharmaceutics 2022, 14, 1935
Error in Figure
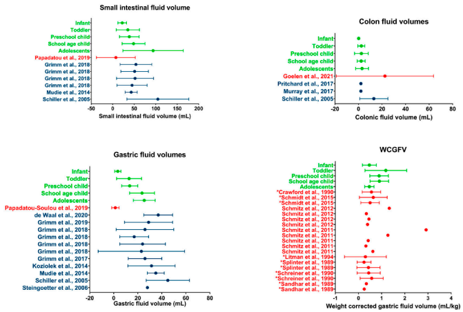
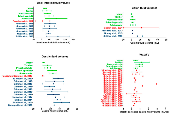
Figure 5. Literature comparison for SI, colon, gastric, and WCGV. Dots indicate average volumes; error bars indicate standard deviations. Data obtained in the present study (green) are compared to data from other studies on children (red) or adults (blue). WCGV measured from fluid aspirations are indicated by a * in front of the reference; other WCGVs are measured using MRI. (a [14], b [20], c [17], d [31], e [13], f [32], g [33], h [22], i [21], j [35], k [26], l [36], m [37], n [38], o [39], p [40], q [41], r [42], s [43], t [44]).
Figure 5. Literature comparison for SI, colon, gastric, and WCGV. Dots indicate average volumes; error bars indicate standard deviations. Data obtained in the present study (green) are compared to data from other studies on children (red) or adults (blue). WCGV measured from fluid aspirations are indicated by a * in front of the reference; other WCGVs are measured using MRI [13,14,17,20–22,26,32–44].Reference
- Van der Veken, M.; Aertsen, M.; Brouwers, J.; Stillhart, C.; Parrott, N.; Augustijns, P. Gastrointestinal Fluid Volumes in Pediatrics: A Retrospective MRI Study. Pharmaceutics 2022, 14, 1935. [Google Scholar] [CrossRef] [PubMed]
Disclaimer/Publisher’s Note: The statements, opinions and data contained in all publications are solely those of the individual author(s) and contributor(s) and not of MDPI and/or the editor(s). MDPI and/or the editor(s) disclaim responsibility for any injury to people or property resulting from any ideas, methods, instructions or products referred to in the content. |
© 2023 by the authors. Licensee MDPI, Basel, Switzerland. This article is an open access article distributed under the terms and conditions of the Creative Commons Attribution (CC BY) license (https://creativecommons.org/licenses/by/4.0/).
Share and Cite
Van der Veken, M.; Aertsen, M.; Brouwers, J.; Stillhart, C.; Parrott, N.; Augustijns, P. Correction: Van der Veken et al. Gastrointestinal Fluid Volumes in Pediatrics: A Retrospective MRI Study. Pharmaceutics 2022, 14, 1935. Pharmaceutics 2023, 15, 2323. https://doi.org/10.3390/pharmaceutics15092323
Van der Veken M, Aertsen M, Brouwers J, Stillhart C, Parrott N, Augustijns P. Correction: Van der Veken et al. Gastrointestinal Fluid Volumes in Pediatrics: A Retrospective MRI Study. Pharmaceutics 2022, 14, 1935. Pharmaceutics. 2023; 15(9):2323. https://doi.org/10.3390/pharmaceutics15092323
Chicago/Turabian StyleVan der Veken, Matthias, Michael Aertsen, Joachim Brouwers, Cordula Stillhart, Neil Parrott, and Patrick Augustijns. 2023. "Correction: Van der Veken et al. Gastrointestinal Fluid Volumes in Pediatrics: A Retrospective MRI Study. Pharmaceutics 2022, 14, 1935" Pharmaceutics 15, no. 9: 2323. https://doi.org/10.3390/pharmaceutics15092323
APA StyleVan der Veken, M., Aertsen, M., Brouwers, J., Stillhart, C., Parrott, N., & Augustijns, P. (2023). Correction: Van der Veken et al. Gastrointestinal Fluid Volumes in Pediatrics: A Retrospective MRI Study. Pharmaceutics 2022, 14, 1935. Pharmaceutics, 15(9), 2323. https://doi.org/10.3390/pharmaceutics15092323

