Natural Bioactive Compounds from Marine Invertebrates That Modulate Key Targets Implicated in the Onset of Type 2 Diabetes Mellitus (T2DM) and Its Complications
Abstract
1. Introduction
2. Common Targets for T2DM Treatment
2.1. Marine Invertebrates as Potential Sources of New Antidiabetic Leads
2.2. Search Methodology
3. Results
3.1. PTP1B Inhibitors
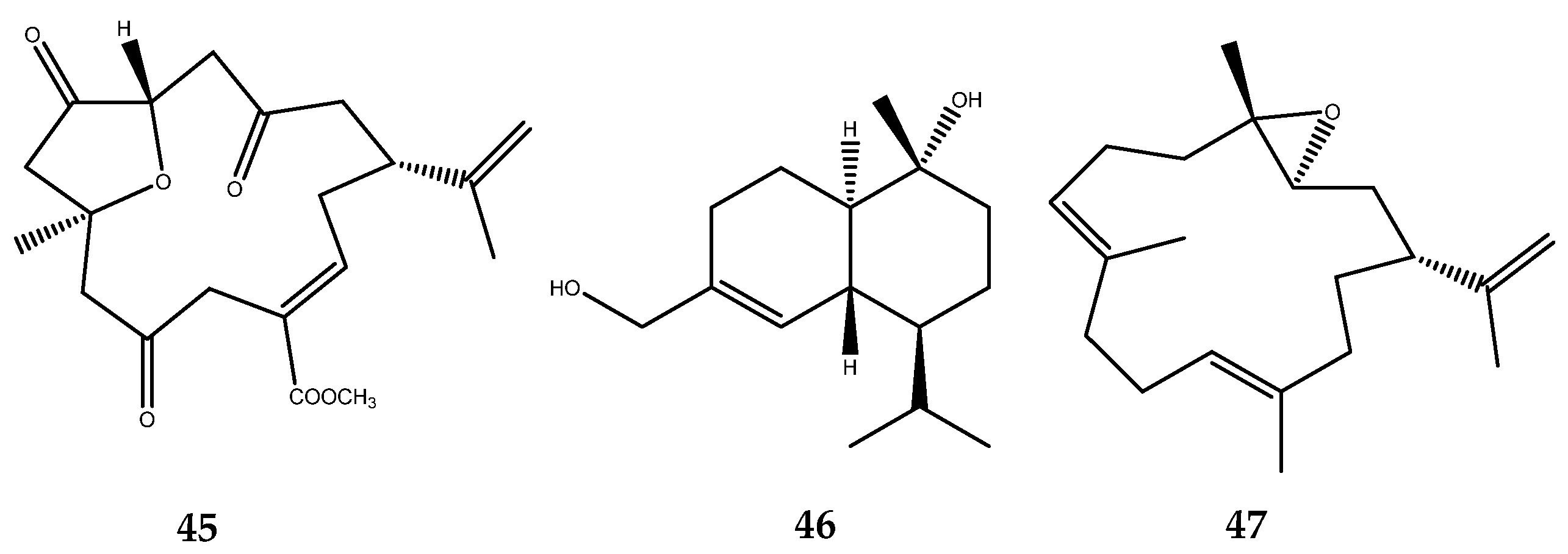
3.1.1. Terpenes
3.1.2. Sterols
3.1.3. Brominated Metabolites
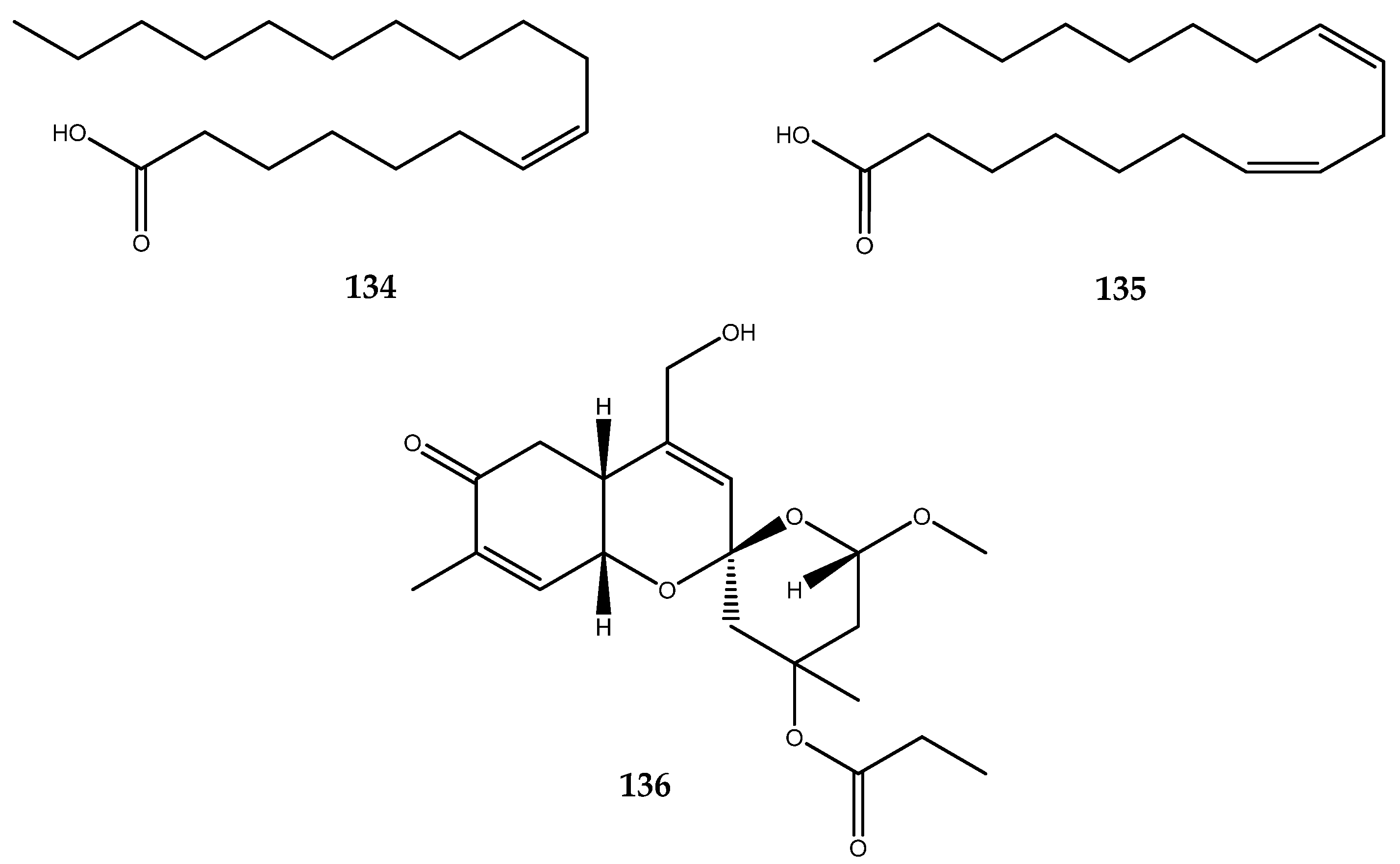
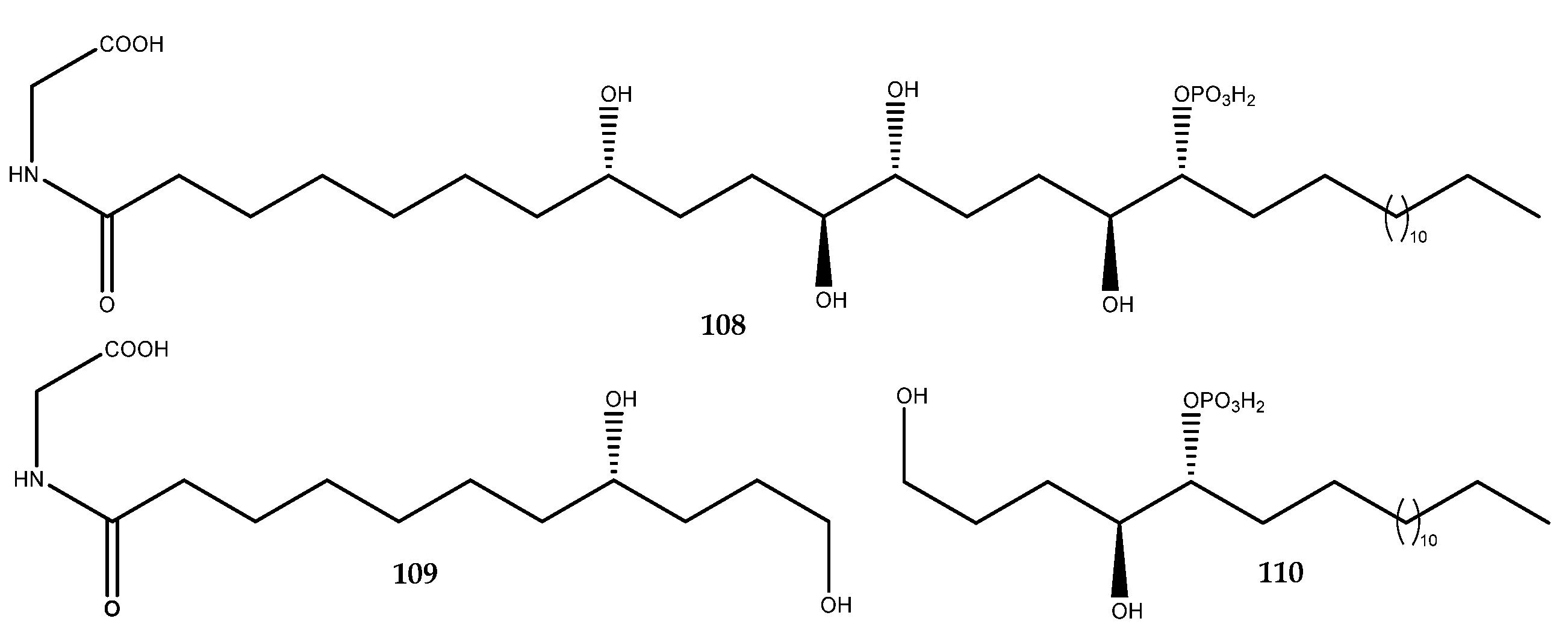
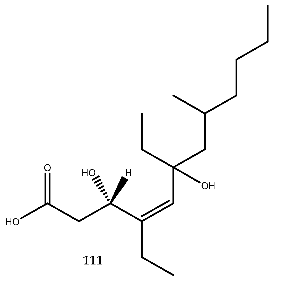
3.1.4. Polyketides
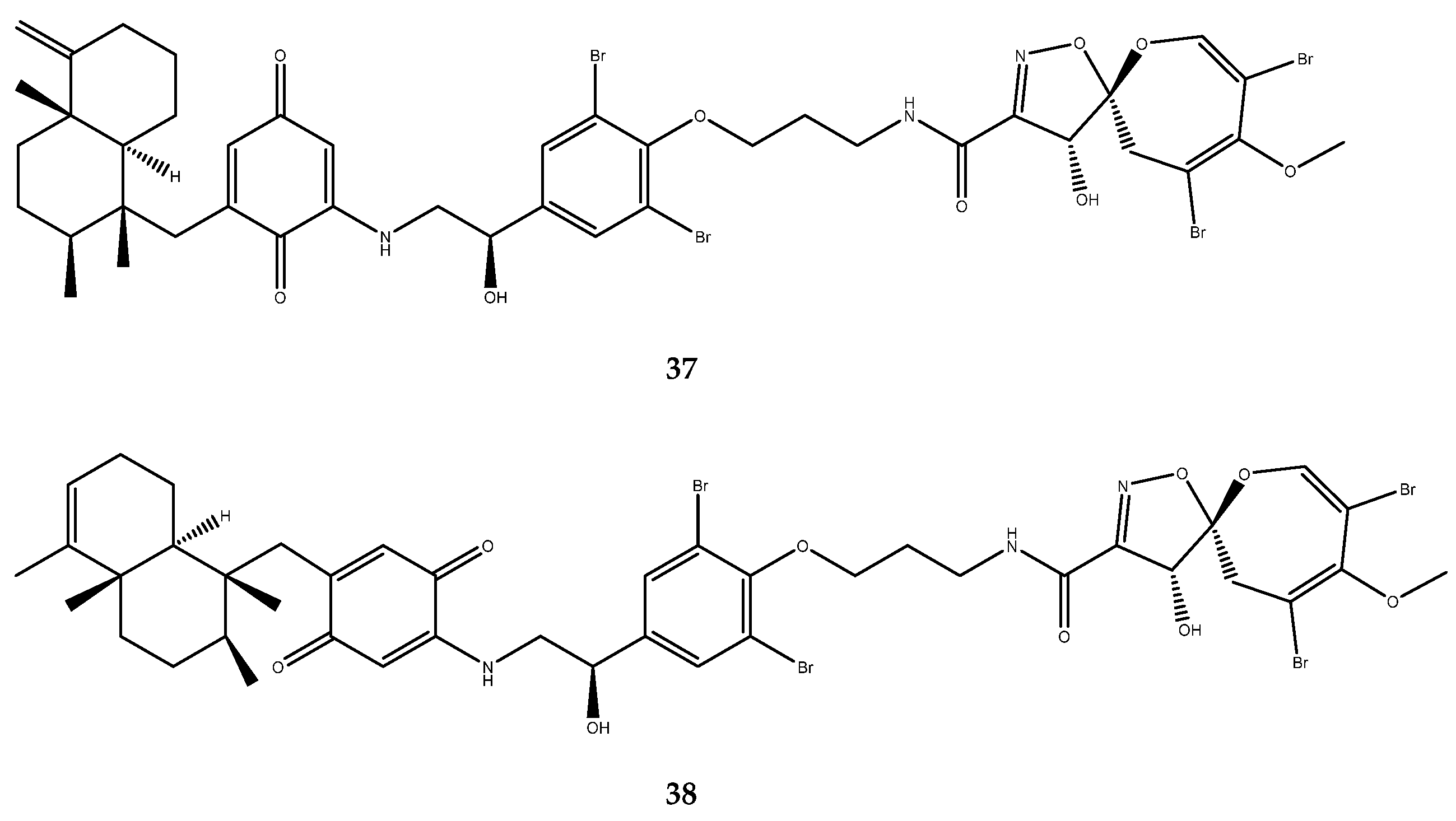
3.1.5. Miscellaneous Compounds
3.2. α-Glucosidase Inhibitors
3.3. α-Amylase Inhibitors
3.4. Kinases Inhibitors
3.5. AR Inhibitors
3.6. DPP-IV Inhibitors
3.7. PPAR Agonists
4. Conclusions
Author Contributions
Funding
Institutional Review Board Statement
Informed Consent Statement
Data Availability Statement
Conflicts of Interest
References
- World Health Organization. Available online: https://www.who.int/health-topics/diabetes#tab=tab_1 (accessed on 17 July 2023).
- Shaw, J.E.; Sicree, R.A.; Zimmet, P.Z. Global Estimates of the Prevalence of Diabetes for 2010 and 2030. Diabetes Res. Clin. Pract. 2010, 87, 4–14. [Google Scholar] [CrossRef] [PubMed]
- Nolan, C.J.; Damm, P.; Prentki, M. Type 2 Diabetes across Generations: From Pathophysiology to Prevention and Management. Lancet 2011, 378, 169–181. [Google Scholar] [CrossRef] [PubMed]
- Kahn, B.B.; Flier, J.S. Obesity and Insulin Resistance. J. Clin. Investig. 2000, 106, 473–481. [Google Scholar] [CrossRef]
- Roberts, C.K.; Hevener, A.L.; Barnard, R.J. Metabolic Syndrome and Insulin Resistance: Underlying Causes and Modification by Exercise Training. In Comprehensive Physiology; John Wiley & Sons: Hoboken, NJ, USA, 2013; pp. 1–58. [Google Scholar]
- Popov, A.M.; Krivoshapko, O.N. Protective Effects of Polar Lipids and Redox-Active Compounds from Marine Organisms at Modeling of Hyperlipidemia and Diabetes. J. Biomed. Sci. Eng. 2013, 06, 543–550. [Google Scholar] [CrossRef]
- Seino, S.; Sugawara, K.; Yokoi, N.; Takahashi, H. β-Cell Signalling and Insulin Secretagogues: A Path for Improved Diabetes Therapy. Diabetes Obes. Metab. 2017, 19, 22–29. [Google Scholar] [CrossRef] [PubMed]
- Quillen, D.M.; Samraj, G.; Kuritzky, L. Improving Management of Type 2 Diabetes Mellitus: 2. Biguanides. Hosp. Pract. 1999, 34, 41–44. [Google Scholar] [CrossRef] [PubMed]
- Tyagi, S.; Sharma, S.; Gupta, P.; Saini, A.; Kaushal, C. The Peroxisome Proliferator-Activated Receptor: A Family of Nuclear Receptors Role in Various Diseases. J. Adv. Pharm. Technol. Res. 2011, 2, 236. [Google Scholar] [CrossRef] [PubMed]
- Thangavel, N.; Al Bratty, M.; Akhtar Javed, S.; Ahsan, W.; Alhazmi, H.A. Targeting Peroxisome Proliferator-Activated Receptors Using Thiazolidinediones: Strategy for Design of Novel Antidiabetic Drugs. Int. J. Med. Chem. 2017, 2017, 1–20. [Google Scholar] [CrossRef]
- Padhi, S.; Nayak, A.K.; Behera, A. Type II Diabetes Mellitus: A Review on Recent Drug Based Therapeutics. Biomed. Pharmacother. 2020, 131, 110708. [Google Scholar] [CrossRef]
- Sharma, P.; Singh, S.; Thakur, V.; Sharma, N.; Grewal, A.S. Novel and Emerging Therapeutic Drug Targets for Management of Type 2 Diabetes Mellitus. Obes. Med. 2021, 23, 100329. [Google Scholar] [CrossRef]
- Gong, L.; Feng, D.; Wang, T.; Ren, Y.; Liu, Y.; Wang, J. Inhibitors of α-amylase and α-glucosidase: Potential Linkage for Whole Cereal Foods on Prevention of Hyperglycemia. Food Sci. Nutr. 2020, 8, 6320–6337. [Google Scholar] [CrossRef] [PubMed]
- Kinalska, I.; Bednarska-Chabowska, D.; Adamiec-Mroczek, J.; Hak, L. The Influence of Incretin Mimetics on Cardiovascular Risk Factors in Diabetes. ISRN Endocrinol. 2012, 2012, 1–5. [Google Scholar] [CrossRef] [PubMed]
- Nauck, M. Incretin Therapies: Highlighting Common Features and Differences in the Modes of Action of Glucagon-like Peptide-1 Receptor Agonists and Dipeptidyl Peptidase-4 Inhibitors. Diabetes Obes. Metab. 2016, 18, 203–216. [Google Scholar] [CrossRef] [PubMed]
- Sun, E.W.; de Fontgalland, D.; Rabbitt, P.; Hollington, P.; Sposato, L.; Due, S.L.; Wattchow, D.A.; Rayner, C.K.; Deane, A.M.; Young, R.L.; et al. Mechanisms Controlling Glucose-Induced GLP-1 Secretion in Human Small Intestine. Diabetes 2017, 66, 2144–2149. [Google Scholar] [CrossRef] [PubMed]
- Hinnen, D. Glucagon-Like Peptide 1 Receptor Agonists for Type 2 Diabetes. Diabetes Spectr. 2017, 30, 202–210. [Google Scholar] [CrossRef] [PubMed]
- Scheen, A.J. Pharmacodynamics, Efficacy and Safety of Sodium–Glucose Co-Transporter Type 2 (SGLT2) Inhibitors for the Treatment of Type 2 Diabetes Mellitus. Drugs 2015, 75, 33–59. [Google Scholar] [CrossRef] [PubMed]
- Kaur, R.; Dahiya, L.; Kumar, M. Fructose-1,6-Bisphosphatase Inhibitors: A New Valid Approach for Management of Type 2 Diabetes Mellitus. Eur. J. Med. Chem. 2017, 141, 473–505. [Google Scholar] [CrossRef] [PubMed]
- Henriksen, E.; Dokken, B. Role of Glycogen Synthase Kinase-3 in Insulin Resistance and Type 2 Diabetes. Curr. Drug Targets 2006, 7, 1435–1441. [Google Scholar] [CrossRef]
- Zhang, S.; Zhang, Z. PTP1B as a Drug Target: Recent Developments in PTP1B Inhibitor Discovery. Drug Discov. Today 2007, 12, 373–381. [Google Scholar] [CrossRef]
- Oyama, T.; Miyasita, Y.; Watanabe, H.; Shirai, K. The Role of Polyol Pathway in High Glucose-Induced Endothelial Cell Damages. Diabetes Res. Clin. Pract. 2006, 73, 227–234. [Google Scholar] [CrossRef]
- Suzen, S.; Buyukbingol, E. Recent Studies of Aldose Reductase Enzyme Inhibition for Diabetic Complications. Curr. Med. Chem. 2003, 10, 1329–1352. [Google Scholar] [CrossRef] [PubMed]
- Kanwal, A.; Kanwar, N.; Bharati, S.; Srivastava, P.; Singh, S.P.; Amar, S. Exploring New Drug Targets for Type 2 Diabetes: Success, Challenges and Opportunities. Biomedicines 2022, 10, 331. [Google Scholar] [CrossRef] [PubMed]
- Hanby, A.R.; Troelsen, N.S.; Osberger, T.J.; Kidd, S.L.; Mortensen, K.T.; Spring, D.R. Fsp 3 -Rich and Diverse Fragments Inspired by Natural Products as a Collection to Enhance Fragment-Based Drug Discovery. Chem. Commun. 2020, 56, 2280–2283. [Google Scholar] [CrossRef] [PubMed]
- Liang, X.; Luo, D.; Luesch, H. Advances in Exploring the Therapeutic Potential of Marine Natural Products. Pharmacol. Res. 2019, 147, 104373. [Google Scholar] [CrossRef] [PubMed]
- Ghareeb, M.A.; Tammam, M.A.; El-Demerdash, A.; Atanasov, A.G. Insights about Clinically Approved and Preclinically Investigated Marine Natural Products. Curr. Res. Biotechnol. 2020, 2, 88–102. [Google Scholar] [CrossRef]
- Casertano, M.; Menna, M.; Imperatore, C. The Ascidian-Derived Metabolites with Antimicrobial Properties. Antibiotics 2020, 9, 510. [Google Scholar] [CrossRef] [PubMed]
- Casertano, M.; Genovese, M.; Paoli, P.; Santi, A.; Aiello, A.; Menna, M.; Imperatore, C. Insights into Cytotoxic Behavior of Lepadins and Structure Elucidation of the New Alkaloid Lepadin L from the Mediterranean Ascidian Clavelina Lepadiformis. Mar. Drugs 2022, 20, 65. [Google Scholar] [CrossRef] [PubMed]
- Casertano, M.; Imperatore, C.; Luciano, P.; Aiello, A.; Putra, M.Y.; Gimmelli, R.; Ruberti, G.; Menna, M. Chemical Investigation of the Indonesian Tunicate Polycarpa Aurata and Evaluation of the Effects Against Schistosoma Mansoni of the Novel Alkaloids Polyaurines A and B. Mar. Drugs 2019, 17, 278. [Google Scholar] [CrossRef]
- Carroll, A.R.; Copp, B.R.; Davis, R.A.; Keyzers, R.A.; Prinsep, M.R. Marine Natural Products. Nat. Prod. Rep. 2023, 40, 275–325. [Google Scholar] [CrossRef]
- Rinehart, K.L. Secondary Metabolites from Marine Organisms. In Ciba Foundation Symposium 171-Secondary Metabolites: Their Function and Evolution: Secondary Metabolites: Their Function and Evolution: Ciba Foundation Symposium 171; John Wiley & Sons: Chichester, UK, 2007; pp. 236–254. [Google Scholar]
- Lillich, F.F.; Imig, J.D.; Proschak, E. Multi-Target Approaches in Metabolic Syndrome. Front. Pharmacol. 2021, 11, 554961. [Google Scholar] [CrossRef]
- He, R.; Yu, Z.; Zhang, R.; Zhang, Z. Protein Tyrosine Phosphatases as Potential Therapeutic Targets. Acta Pharmacol. Sin. 2014, 35, 1227–1246. [Google Scholar] [CrossRef] [PubMed]
- Mechanick, J.I.; Zhao, S.; Garvey, W.T. Leptin, An Adipokine with Central Importance in the Global Obesity Problem. Glob. Heart 2018, 13, 113. [Google Scholar] [CrossRef] [PubMed]
- Elchebly, M.; Payette, P.; Michaliszyn, E.; Cromlish, W.; Collins, S.; Loy, A.L.; Normandin, D.; Cheng, A.; Himms-Hagen, J.; Chan, C.-C.; et al. Increased Insulin Sensitivity and Obesity Resistance in Mice Lacking the Protein Tyrosine Phosphatase-1B Gene. Science 1999, 283, 1544–1548. [Google Scholar] [CrossRef] [PubMed]
- Jiang, C.; Liang, L.; Guo, Y. Natural Products Possessing Protein Tyrosine Phosphatase 1B (PTP1B) Inhibitory Activity Found in the Last Decades. Acta Pharmacol. Sin. 2012, 33, 1217–1245. [Google Scholar] [CrossRef] [PubMed]
- Zhang, Y.; Li, Y.; Guo, Y.; Jiang, H.; Shen, X. A Sesquiterpene Quinone, Dysidine, from the Sponge Dysidea Villosa, Activates the Insulin Pathway through Inhibition of PTPases. Acta Pharmacol. Sin. 2009, 30, 333–345. [Google Scholar] [CrossRef] [PubMed]
- Jiao, W.-H.; Huang, X.-J.; Yang, J.-S.; Yang, F.; Piao, S.-J.; Gao, H.; Li, J.; Ye, W.-C.; Yao, X.-S.; Chen, W.-S.; et al. Dysidavarones A–D, New Sesquiterpene Quinones from the Marine Sponge Dysidea Avara. Org. Lett. 2012, 14, 202–205. [Google Scholar] [CrossRef] [PubMed]
- Abdjul, D.B.; Yamazaki, H.; Takahashi, O.; Kirikoshi, R.; Ukai, K.; Namikoshi, M. Sesquiterpene Hydroquinones with Protein Tyrosine Phosphatase 1B Inhibitory Activities from a Dysidea sp. Marine Sponge Collected in Okinawa. J. Nat. Prod. 2016, 79, 1842–1847. [Google Scholar] [CrossRef]
- Casertano, M.; Genovese, M.; Santi, A.; Pranzini, E.; Balestri, F.; Piazza, L.; Del Corso, A.; Avunduk, S.; Imperatore, C.; Menna, M.; et al. Evidence of Insulin-Sensitizing and Mimetic Activity of the Sesquiterpene Quinone Avarone, a Protein Tyrosine Phosphatase 1B and Aldose Reductase Dual Targeting Agent from the Marine Sponge Dysidea Avara. Pharmaceutics 2023, 15, 528. [Google Scholar] [CrossRef]
- Imperatore, C.; Gimmelli, R.; Persico, M.; Casertano, M.; Guidi, A.; Saccoccia, F.; Ruberti, G.; Luciano, P.; Aiello, A.; Parapini, S.; et al. Investigating the Antiparasitic Potential of the Marine Sesquiterpene Avarone, Its Reduced Form Avarol, and the Novel Semisynthetic Thiazinoquinone Analogue Thiazoavarone. Mar. Drugs 2020, 18, 112. [Google Scholar] [CrossRef]
- Huang, X.-C.; Li, J.; Li, Z.-Y.; Shi, L.; Guo, Y.-W. Sesquiterpenes from the Hainan Sponge Dysidea septosa. J. Nat. Prod. 2008, 71, 1399–1403. [Google Scholar] [CrossRef]
- Shao, Z.-Y.; Li, J.; Sim, C.J.; Li, J.-Y.; Li, Z.-Y.; Nan, F.-J.; Guo, Y.-W. O.-Methyl Nakafuran-8 Lactone, a New Sesquiterpenoid from a Hainan Marine Sponge Dysidea sp. J. Asian Nat. Prod. Res. 2006, 8, 223–227. [Google Scholar] [CrossRef] [PubMed]
- Yamazaki, H.; Nakazawa, T.; Sumilat, D.A.; Takahashi, O.; Ukai, K.; Takahashi, S.; Namikoshi, M. Euryspongins A–C, Three New Unique Sesquiterpenes from a Marine Sponge Euryspongia sp. Bioorganic Med. Chem. Lett. 2013, 23, 2151–2154. [Google Scholar] [CrossRef] [PubMed]
- Jiao, W.-H.; Li, J.; Wang, D.; Zhang, M.-M.; Liu, L.-Y.; Sun, F.; Li, J.-Y.; Capon, R.J.; Lin, H.-W. Cinerols, Nitrogenous Meroterpenoids from the Marine Sponge Dysidea Cinerea. J. Nat. Prod. 2019, 82, 2586–2593. [Google Scholar] [CrossRef] [PubMed]
- Abdjul, D.B.; Kanno, S.; Yamazaki, H.; Ukai, K.; Namikoshi, M. A Dimeric Urea of the Bisabolene Sesquiterpene from the Okinawan Marine Sponge Axinyssa sp. Inhibits Protein Tyrosine Phosphatase 1B Activity in Huh-7 Human Hepatoma Cells. Bioorganic Med. Chem. Lett. 2016, 26, 315–317. [Google Scholar] [CrossRef] [PubMed]
- Jiao, W.-H.; Li, J.; Zhang, M.-M.; Cui, J.; Gui, Y.-H.; Zhang, Y.; Li, J.-Y.; Liu, K.-C.; Lin, H.-W. Frondoplysins A and B, Unprecedented Terpene-Alkaloid Bioconjugates from Dysidea frondosa. Org. Lett. 2019, 21, 6190–6193. [Google Scholar] [CrossRef] [PubMed]
- Wang, J.; Mu, F.-R.; Jiao, W.-H.; Huang, J.; Hong, L.-L.; Yang, F.; Xu, Y.; Wang, S.-P.; Sun, F.; Lin, H.-W. Meroterpenoids with Protein Tyrosine Phosphatase 1B Inhibitory Activity from a Hyrtios sp. Marine Sponge. J. Nat. Prod. 2017, 80, 2509–2514. [Google Scholar] [CrossRef] [PubMed]
- Abdjul, D.B.; Yamazaki, H.; Kanno, S.; Takahashi, O.; Kirikoshi, R.; Ukai, K.; Namikoshi, M. Structures and Biological Evaluations of Agelasines Isolated from the Okinawan Marine Sponge Agelas nakamurai. J. Nat. Prod. 2015, 78, 1428–1433. [Google Scholar] [CrossRef]
- Chu, M.-J.; Tang, X.-L.; Han, X.; Li, T.; Luo, X.-C.; Jiang, M.-M.; van Ofwegen, L.; Luo, L.-Z.; Zhang, G.; Li, P.-L.; et al. Metabolites from the Paracel Islands Soft Coral Sinularia Cf. Molesta. Mar. Drugs 2018, 16, 517. [Google Scholar] [CrossRef]
- Qin, G.-F.; Tang, X.-L.; Sun, Y.-T.; Luo, X.-C.; Zhang, J.; van Ofwegen, L.; Sung, P.-J.; Li, P.-L.; Li, G.-Q. Terpenoids from the Soft Coral Sinularia sp. Collected in Yongxing Island. Mar. Drugs 2018, 16, 127. [Google Scholar] [CrossRef]
- Kuo, Y.-H.; Chen, C.-H.; Chien, S.-C.; Lin, Y.-L. Five New Cadinane-Type Sesquiterpenes from the Heartwood of Chamaecyparis obtusa Var. Formosana. J. Nat. Prod. 2002, 65, 25–28. [Google Scholar] [CrossRef]
- Bowden, B.; Coll, J.; Mitchell, S.; Kazlauskas, R. Studies of Australian Soft Corals. XXIV. Two Cembranoid Diterpenes from the Soft Coral Sinularia Facile. Aust. J. Chem. 1981, 34, 1551. [Google Scholar] [CrossRef]
- Liang, L.-F.; Gao, L.-X.; Li, J.; Taglialatela-Scafati, O.; Guo, Y.-W. Cembrane Diterpenoids from the Soft Coral Sarcophyton trocheliophorum Marenzeller as a New Class of PTP1B Inhibitors. Bioorganic Med. Chem. 2013, 21, 5076–5080. [Google Scholar] [CrossRef] [PubMed]
- Liang, L.-F.; Kurtán, T.; Mándi, A.; Yao, L.-G.; Li, J.; Zhang, W.; Guo, Y.-W. Unprecedented Diterpenoids as a PTP1B Inhibitor from the Hainan Soft Coral Sarcophyton trocheliophorum Marenzeller. Org. Lett. 2013, 15, 274–277. [Google Scholar] [CrossRef] [PubMed]
- Liang, L.-F.; Kurtán, T.; Mándi, A.; Yao, L.-G.; Li, J.; Lan, L.-F.; Guo, Y.-W. Structural, Stereochemical, and Bioactive Studies of Cembranoids from Chinese Soft Coral Sarcophyton trocheliophorum. Tetrahedron 2018, 74, 1933–1941. [Google Scholar] [CrossRef]
- Liang, L.; Wang, J.; Shi, X.; Zhu, Y.; Li, J.; Zhu, W.; Wang, H.; Guo, Y. A Novel Sarsolenane Diterpene as a PTP1B Inhibitor from Hainan Soft Coral Sarcophyton trocheliophorum Marenzeller. Chin. J. Chem. 2017, 35, 1246–1250. [Google Scholar] [CrossRef]
- Liang, L.-F.; Kurtán, T.; Mándi, A.; Gao, L.-X.; Li, J.; Zhang, W.; Guo, Y.-W. Sarsolenane and Capnosane Diterpenes from the Hainan Soft Coral Sarcophyton trocheliophorum Marenzeller as PTP1B Inhibitors. Eur. J. Org. Chem. 2014, 2014, 1841–1847. [Google Scholar] [CrossRef]
- Zeng, Z.-R.; Chen, J.; Wang, H.; Zhang, H.-Y.; Li, J.; Xu, B.; Guo, Y.-W. Bioactive Cembranoids from the Coral Sarcophyton trocheliophorum of Ximao Island. ACS Omega 2022, 7, 41678–41686. [Google Scholar] [CrossRef]
- Lee, J.-S.; Abdjul, D.B.; Yamazaki, H.; Takahashi, O.; Kirikoshi, R.; Ukai, K.; Namikoshi, M. Strongylophorines, New Protein Tyrosine Phosphatase 1B Inhibitors, from the Marine Sponge Strongylophora Strongilata Collected at Iriomote Island. Bioorganic Med. Chem. Lett. 2015, 25, 3900–3902. [Google Scholar] [CrossRef]
- Gao, Y.; Du, Y.-Q.; Zang, Y.; Liu, H.-C.; Wan, H.-Y.; Li, J.; Li, X.-W.; Guo, Y.-W. Dolabellane Diterpenoids from the Xisha Soft Coral Clavularia viridis. ACS Omega 2022, 7, 3052–3059. [Google Scholar] [CrossRef]
- Ye, F.; Zhu, Z.-D.; Gu, Y.-C.; Li, J.; Zhu, W.-L.; Guo, Y.-W. Further New Diterpenoids as PTP1B Inhibitors from the Xisha Soft Coral Sinularia Polydactyla. Mar. Drugs 2018, 16, 103. [Google Scholar] [CrossRef]
- Piao, S.-J.; Jiao, W.-H.; Yang, F.; Yi, Y.-H.; Di, Y.-T.; Han, B.-N.; Lin, H.-W. New Hippolide Derivatives with Protein Tyrosine Phosphatase 1B Inhibitory Activity from the Marine Sponge Hippospongia lachne. Mar. Drugs 2014, 12, 4096–4109. [Google Scholar] [CrossRef] [PubMed]
- Piao, S.-J.; Zhang, H.-J.; Lu, H.-Y.; Yang, F.; Jiao, W.-H.; Yi, Y.-H.; Chen, W.-S.; Lin, H.-W. Hippolides A–H, Acyclic Manoalide Derivatives from the Marine Sponge Hippospongia lachne. J. Nat. Prod. 2011, 74, 1248–1254. [Google Scholar] [CrossRef] [PubMed]
- Abdjul, D.B.; Yamazaki, H.; Takahashi, O.; Kirikoshi, R.; Mangindaan, R.E.P.; Namikoshi, M. Two New Protein Tyrosine Phosphatase 1B Inhibitors, Hyattellactones A and B, from the Indonesian Marine sponge Hyattella sp. Bioorganic Med. Chem. Lett. 2015, 25, 904–907. [Google Scholar] [CrossRef] [PubMed]
- Sun, L.-L.; Shen, Y.-R.; Li, J.; Wang, J.-R.; Li, X.-W.; Guo, Y.-W. Scalarane Sesterterpenes from the South China Sea Sponge Hyrtios Erecta and Their PTP1B Inhibitory Activity. Tetrahedron 2023, 137, 133388. [Google Scholar] [CrossRef]
- Abdjul, D.B.; Yamazaki, H.; Kanno, S.; Wewengkang, D.S.; Rotinsulu, H.; Sumilat, D.A.; Ukai, K.; Kapojos, M.M.; Namikoshi, M. Furanoterpenes, New Types of Protein Tyrosine Phosphatase 1B Inhibitors, from Two Indonesian Marine Sponges, Ircinia and Spongia Spp. Bioorganic Med. Chem. Lett. 2017, 27, 1159–1161. [Google Scholar] [CrossRef] [PubMed]
- Sun, T.; Wang, Q.; Yu, Z.; Zhang, Y.; Guo, Y.; Chen, K.; Shen, X.; Jiang, H. Hyrtiosal, a PTP1B Inhibitor from the Marine SpongeHyrtios Erectus, Shows Extensive Cellular Effects on PI3K/AKT Activation, Glucose Transport, and TGFβ/Smad2 Signaling. ChemBioChem 2007, 8, 187–193. [Google Scholar] [CrossRef] [PubMed]
- Xue, D.-Q.; Mao, S.-C.; Yu, X.-Q.; Guo, Y.-W. Isomalabaricane Triterpenes with Potent Protein-Tyrosine Phosphatase 1B (PTP1B) Inhibition from the Hainan Sponge Stelletta sp. Biochem. Syst. Ecol. 2013, 49, 101–106. [Google Scholar] [CrossRef]
- Liang, L.-F.; Wang, X.-J.; Zhang, H.-Y.; Liu, H.-L.; Li, J.; Lan, L.-F.; Zhang, W.; Guo, Y.-W. Bioactive Polyhydroxylated Steroids from the Hainan Soft Coral Sinularia Depressa Tixier-Durivault. Bioorganic Med. Chem. Lett. 2013, 23, 1334–1337. [Google Scholar] [CrossRef]
- Chen, W.-T.; Liu, H.-L.; Yao, L.-G.; Guo, Y.-W. 9,11-Secosteroids and Polyhydroxylated Steroids from Two South China Sea Soft Corals Sarcophyton trocheliophorum and Sinularia flexibilis. Steroids 2014, 92, 56–61. [Google Scholar] [CrossRef]
- He, W.-F.; Xue, D.-Q.; Yao, L.-G.; Li, J.; Liu, H.-L.; Guo, Y.-W. A New Bioactive Steroidal Ketone from the South China Sea Sponge Xestospongia testudinaria. J. Asian Nat. Prod. Res. 2016, 18, 195–199. [Google Scholar] [CrossRef]
- Zhou, X.; Sun, J.; Ma, W.; Fang, W.; Chen, Z.; Yang, B.; Liu, Y. Bioactivities of Six Sterols Isolated from Marine Invertebrates. Pharm. Biol. 2014, 52, 187–190. [Google Scholar] [CrossRef] [PubMed]
- Yamazaki, H.; Sumilat, D.A.; Kanno, S.; Ukai, K.; Rotinsulu, H.; Wewengkang, D.S.; Ishikawa, M.; Mangindaan, R.E.P.; Namikoshi, M. A Polybromodiphenyl Ether from an Indonesian Marine Sponge Lamellodysidea herbacea and Its Chemical Derivatives Inhibit Protein Tyrosine Phosphatase 1B, an Important Target for Diabetes Treatment. J. Nat. Med. 2013, 67, 730–735. [Google Scholar] [CrossRef] [PubMed]
- Kapojos, M.M.; Abdjul, D.B.; Yamazaki, H.; Kirikoshi, R.; Takahashi, O.; Rotinsulu, H.; Wewengkang, D.S.; Sumilat, D.A.; Ukai, K.; Namikoshi, M. Protein Tyrosine Phosphatase 1B Inhibitory Polybromobiphenyl Ethers and Monocyclofarnesol-Type Sesquiterpenes from the Indonesian Marine Sponge Lamellodysidea Cf. Herbacea. Phytochem. Lett. 2018, 24, 10–14. [Google Scholar] [CrossRef]
- Wang, Q.; Tang, X.-L.; Luo, X.-C.; de Voog, N.J.; Li, P.-L.; Li, G.-Q. Aplysinopsin-Type and Bromotyrosine-Derived Alkaloids from the South China Sea Sponge Fascaplysinopsis Reticulata. Sci. Rep. 2019, 9, 2248. [Google Scholar] [CrossRef] [PubMed]
- He, W.-F.; Liang, L.-F.; Cai, Y.-S.; Gao, L.-X.; Li, Y.-F.; Li, J.; Liu, H.-L.; Guo, Y.-W. Brominated Polyunsaturated Lipids with Protein Tyrosine Phosphatase-1B Inhibitory Activity from Chinese Marine Sponge Xestospongia testudinaria. J. Asian Nat. Prod. Res. 2015, 17, 861–866. [Google Scholar] [CrossRef] [PubMed]
- Imperatore, C.; Luciano, P.; Aiello, A.; Vitalone, R.; Irace, C.; Santamaria, R.; Li, J.; Guo, Y.-W.; Menna, M. Structure and Configuration of Phosphoeleganin, a Protein Tyrosine Phosphatase 1B Inhibitor from the Mediterranean Ascidian Sidnyum elegans. J. Nat. Prod. 2016, 79, 1144–1148. [Google Scholar] [CrossRef] [PubMed]
- Luciano, P.; Imperatore, C.; Senese, M.; Aiello, A.; Casertano, M.; Guo, Y.-W.; Menna, M. Assignment of the Absolute Configuration of Phosphoeleganin via Synthesis of Model Compounds. J. Nat. Prod. 2017, 80, 2118–2123. [Google Scholar] [CrossRef]
- Genovese, M.; Imperatore, C.; Casertano, M.; Aiello, A.; Balestri, F.; Piazza, L.; Menna, M.; Del Corso, A.; Paoli, P. Dual Targeting of PTP1B and Aldose Reductase with Marine Drug Phosphoeleganin: A Promising Strategy for Treatment of Type 2 Diabetes. Mar. Drugs 2021, 19, 535. [Google Scholar] [CrossRef]
- Casertano, M.; Genovese, M.; Piazza, L.; Balestri, F.; Del Corso, A.; Vito, A.; Paoli, P.; Santi, A.; Imperatore, C.; Menna, M. Identifying Human PTP1B Enzyme Inhibitors from Marine Natural Products: Perspectives for Developing of Novel Insulin-Mimetic Drugs. Pharmaceuticals 2022, 15, 325. [Google Scholar] [CrossRef]
- Yu, H.-B.; Liu, X.-F.; Xu, Y.; Gan, J.-H.; Jiao, W.-H.; Shen, Y.; Lin, H.-W. Woodylides A–C, New Cytotoxic Linear Polyketides from the South China Sea Sponge Plakortis simplex. Mar. Drugs 2012, 10, 1027–1036. [Google Scholar] [CrossRef]
- Maarisit, W.; Yamazaki, H.; Kanno, S.; Tomizawa, A.; Rotinsulu, H.; Wewengkang, D.S.; Sumilat, D.A.; Ukai, K.; Kapojos, M.M.; Namikoshi, M. A Tetramic Acid Derivative with Protein Tyrosine Phosphatase 1B Inhibitory Activity and a New Nortriterpene Glycoside from the Indonesian Marine Sponge Petrosia sp. Bioorganic Med. Chem. Lett. 2017, 27, 999–1002. [Google Scholar] [CrossRef] [PubMed]
- Wang, C.-Y.; Wang, B.-G.; Wiryowidagdo, S.; Wray, V.; van Soest, R.; Steube, K.G.; Guan, H.-S.; Proksch, P.; Ebel, R. Melophlins C−O, Thirteen Novel Tetramic Acids from the Marine Sponge Melophlus sarassinorum. J. Nat. Prod. 2003, 66, 51–56. [Google Scholar] [CrossRef] [PubMed]
- Abdjul, D.B.; Yamazaki, H.; Takahashi, O.; Kirikoshi, R.; Ukai, K.; Namikoshi, M. Isopetrosynol, a New Protein Tyrosine Phosphatase 1B Inhibitor, from the Marine Sponge Halichondria Cf. panicea Collected at Iriomote Island. Chem. Pharm. Bull. 2016, 64, 733–736. [Google Scholar] [CrossRef] [PubMed][Green Version]
- Xue, D.-Q.; Liu, H.-L.; Chen, S.-H.; Mollo, E.; Gavagnin, M.; Li, J.; Li, X.-W.; Guo, Y.-W. 5-Alkylpyrrole-2-Carboxaldehyde Derivatives from the Chinese Sponge Mycale Lissochela and Their PTP1B Inhibitory Activities. Chin. Chem. Lett. 2017, 28, 1190–1193. [Google Scholar] [CrossRef]
- Van de Laar, F.A.; Lucassen, P.L.; Akkermans, R.P.; Van de Lisdonk, E.H.; Rutten, G.E.; Van Weel, C. Alpha-Glucosidase Inhibitors for Type 2 Diabetes Mellitus. Cochrane Database Syst. Rev. 2005, 2009, CD003639. [Google Scholar] [CrossRef]
- Takada, K.; Uehara, T.; Nakao, Y.; Matsunaga, S.; van Soest, R.W.M.; Fusetani, N. Schulzeines A−C, New α-Glucosidase Inhibitors from the Marine Sponge Penares schulzei 1. J. Am. Chem. Soc. 2004, 126, 187–193. [Google Scholar] [CrossRef] [PubMed]
- Nakao, Y.; Maki, T.; Matsunaga, S.; van Soest, R.W.M.; Fusetani, N. Penasulfate A, a New α-Glucosidase Inhibitor from a Marine Sponge Penares sp. J. Nat. Prod. 2004, 67, 1346–1350. [Google Scholar] [CrossRef] [PubMed]
- Nakao, Y.; Maki, T.; Matsunaga, S.; van Soest, R.W.M.; Fusetani, N. Penarolide Sulfates A1 and A2, New α-Glucosidase Inhibitors from a Marine Sponge Penares sp. Tetrahedron 2000, 56, 8977–8987. [Google Scholar] [CrossRef]
- Nakao, Y.; Uehara, T.; Matunaga, S.; Fusetani, N.; van Soest, R.W.M. Callyspongynic Acid, a Polyacetylenic Acid Which Inhibits α-Glucosidase, from the Marine Sponge Callyspongia truncata. J. Nat. Prod. 2002, 65, 922–924. [Google Scholar] [CrossRef]
- Fu, X.; Abbas, S.A.; Schmitz, F.J.; Vidavsky, I.; Gross, M.L.; Laney, M.; Schatzman, R.C.; Cabuslay, R.D. New Acetylenic Metabolites from the Marine Sponge Pellina triangulata. Tetrahedron 1997, 53, 799–814. [Google Scholar] [CrossRef]
- Tsukamoto, S.; Kato, H.; Hirota, H.; Fusetani, N. Seven New Polyacetylene Derivatives, Showing Both Potent Metamorphosis-Inducing Activity in Ascidian Larvae and Antifouling Activity Against Barnacle Larvae, from the Marine Sponge Callyspongia truncata. J. Nat. Prod. 1997, 60, 126–130. [Google Scholar] [CrossRef]
- Nguyen, T.H.; Um, B.H.; Kim, S.M. Two Unsaturated Fatty Acids with Potent α-Glucosidase Inhibitory Activity Purified from the Body Wall of Sea Cucumber (Stichopus japonicus). J. Food Sci. 2011, 76, H208–H214. [Google Scholar] [CrossRef] [PubMed]
- Orhan, D.D. Phenolic content, antioxidant and in vitro antidiabetic effects of thirteen marine organisms from mediterranean sea. Farmacia 2021, 69, 68–74. [Google Scholar] [CrossRef]
- Francis, P.; Chakraborty, K. Clathriketal, a New Tricyclic Spiroketal Compound from Marine Sponge Clathria prolifera Attenuates Serine Exopeptidase Dipeptidyl Peptidase-IV. Nat. Prod. Res. 2022, 36, 3069–3077. [Google Scholar] [CrossRef] [PubMed]
- Marmouzi, I.; Ezzat, S.M.; Mostafa, E.S.; El Jemli, M.; Radwan, R.A.; Faouzi, M.E.A.; Tamsouri, N.; Kharbach, M. Isolation of Secondary Metabolites from the Mediterranean Sponge Species; Hemimycale Columella and Its Biological Properties. SN Appl. Sci. 2021, 3, 207. [Google Scholar] [CrossRef]
- Tysoe, C.; Williams, L.K.; Keyzers, R.; Nguyen, N.T.; Tarling, C.; Wicki, J.; Goddard-Borger, E.D.; Aguda, A.H.; Perry, S.; Foster, L.J.; et al. Potent Human α-Amylase Inhibition by the β-Defensin-like Protein Helianthamide. ACS Cent. Sci. 2016, 2, 154–161. [Google Scholar] [CrossRef] [PubMed]
- Sintsova, O.V.; Leychenko, E.V.; Gladkikh, I.N.; Kalinovskii, A.P.; Monastyrnaya, M.M.; Kozlovskaya, E.P. Magnificamide Is a New Effective Mammalian α-Amylase Inhibitor. Dokl. Biochem. Biophys. 2019, 489, 385–387. [Google Scholar] [CrossRef]
- Sintsova, O.; Gladkikh, I.; Kalinovskii, A.; Zelepuga, E.; Monastyrnaya, M.; Kim, N.; Shevchenko, L.; Peigneur, S.; Tytgat, J.; Kozlovskaya, E.; et al. Magnificamide, a β-Defensin-Like Peptide from the Mucus of the Sea Anemone Heteractis Magnifica, Is a Strong Inhibitor of Mammalian α-Amylases. Mar. Drugs 2019, 17, 542. [Google Scholar] [CrossRef]
- McCulloch, M.W.B.; Bugni, T.S.; Concepcion, G.P.; Coombs, G.S.; Harper, M.K.; Kaur, S.; Mangalindan, G.C.; Mutizwa, M.M.; Veltri, C.A.; Virshup, D.M.; et al. Carteriosulfonic Acids A−C, GSK-3β Inhibitors from a Carteriospongia sp. J. Nat. Prod. 2009, 72, 1651–1656. [Google Scholar] [CrossRef]
- Hamann, M.; Alonso, D.; Martín-Aparicio, E.; Fuertes, A.; Pérez-Puerto, M.J.; Castro, A.; Morales, S.; Navarro, M.L.; del Monte-Millán, M.; Medina, M.; et al. Glycogen Synthase Kinase-3 (GSK-3) Inhibitory Activity and Structure–Activity Relationship (SAR) Studies of the Manzamine Alkaloids. Potential for Alzheimer’s Disease. J. Nat. Prod. 2007, 70, 1397–1405. [Google Scholar] [CrossRef]
- Khanfar, M.A.; Asal, B.A.; Mudit, M.; Kaddoumi, A.; El Sayed, K.A. The Marine Natural-Derived Inhibitors of Glycogen Synthase Kinase-3β Phenylmethylene Hydantoins: In Vitro and in Vivo Activities and Pharmacophore Modeling. Bioorganic Med. Chem. 2009, 17, 6032–6039. [Google Scholar] [CrossRef] [PubMed]
- Bidon-Chanal, A.; Fuertes, A.; Alonso, D.; Pérez, D.I.; Martínez, A.; Luque, F.J.; Medina, M. Evidence for a New Binding Mode to GSK-3: Allosteric Regulation by the Marine Compound Palinurin. Eur. J. Med. Chem. 2013, 60, 479–489. [Google Scholar] [CrossRef] [PubMed]
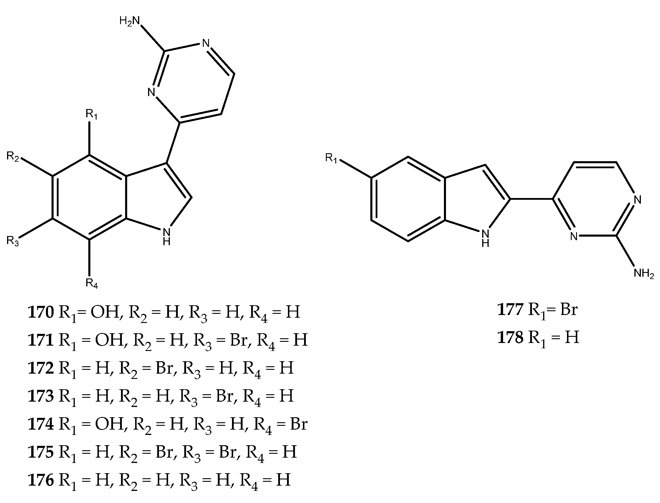
- Franco, L.H.; de Kier Joffé, D.K.; Puricelli, L.; Tatian, M.; Seldes, A.M.; Palermo, J.A. Indole Alkaloids from the Tunicate Aplidium meridianum. J. Nat. Prod. 1998, 61, 1130–1132. [Google Scholar] [CrossRef] [PubMed]
- Llorach-Pares, L.; Rodriguez-Urgelles, E.; Nonell-Canals, A.; Alberch, J.; Avila, C.; Sanchez-Martinez, M.; Giralt, A. Meridianins and Lignarenone B as Potential GSK3β Inhibitors and Inductors of Structural Neuronal Plasticity. Biomolecules 2020, 10, 639. [Google Scholar] [CrossRef] [PubMed]
- Gompel, M.; Leost, M.; De Kier Joffe, E.B.; Puricelli, L.; Franco, L.H.; Palermo, J.; Meijer, L. Meridianins, a New Family of Protein Kinase Inhibitors Isolated from the Ascidian Aplidium meridianum. Bioorganic Med. Chem. Lett. 2004, 14, 1703–1707. [Google Scholar] [CrossRef] [PubMed]
- Han, S.; Zhuang, C.; Zhou, W.; Chen, F. Structural-Based Optimizations of the Marine-Originated Meridianin C as Glucose Uptake Agents by Inhibiting GSK-3β. Mar. Drugs 2021, 19, 149. [Google Scholar] [CrossRef] [PubMed]
- Han, S.; Zhou, W.; Zhuang, C.; Chen, F. Structure-Based Design of Marine-Derived Meridianin C Derivatives as Glycogen Synthase Kinase 3β Inhibitors with Improved Oral Bioavailability: From Aminopyrimidyl-Indoles to the Sulfonyl Analogues. Bioorganic Chem. 2022, 119, 105537. [Google Scholar] [CrossRef]
- Bracegirdle, J.; Gordon, D.P.; Harvey, J.E.; Keyzers, R.A. Kinase-Inhibitory Nucleoside Derivatives from the Pacific Bryozoan Nelliella Nelliiformis. J. Nat. Prod. 2020, 83, 547–551. [Google Scholar] [CrossRef]
- He, F.; Mai, L.; Longeon, A.; Copp, B.; Loaëc, N.; Bescond, A.; Meijer, L.; Bourguet-Kondracki, M.-L. Novel Adociaquinone Derivatives from the Indonesian Sponge Xestospongia sp. Mar. Drugs 2015, 13, 2617–2628. [Google Scholar] [CrossRef]
- Cimino, G.; De Rosa, S.; De Stefano, S.; Mazzarella, L.; Puliti, R.; Sodano, G. Isolation and X-Ray Crystal Structure of a Novel Bromo-Compound from Two Marine Sponges. Tetrahedron Lett. 1982, 23, 767–768. [Google Scholar] [CrossRef]
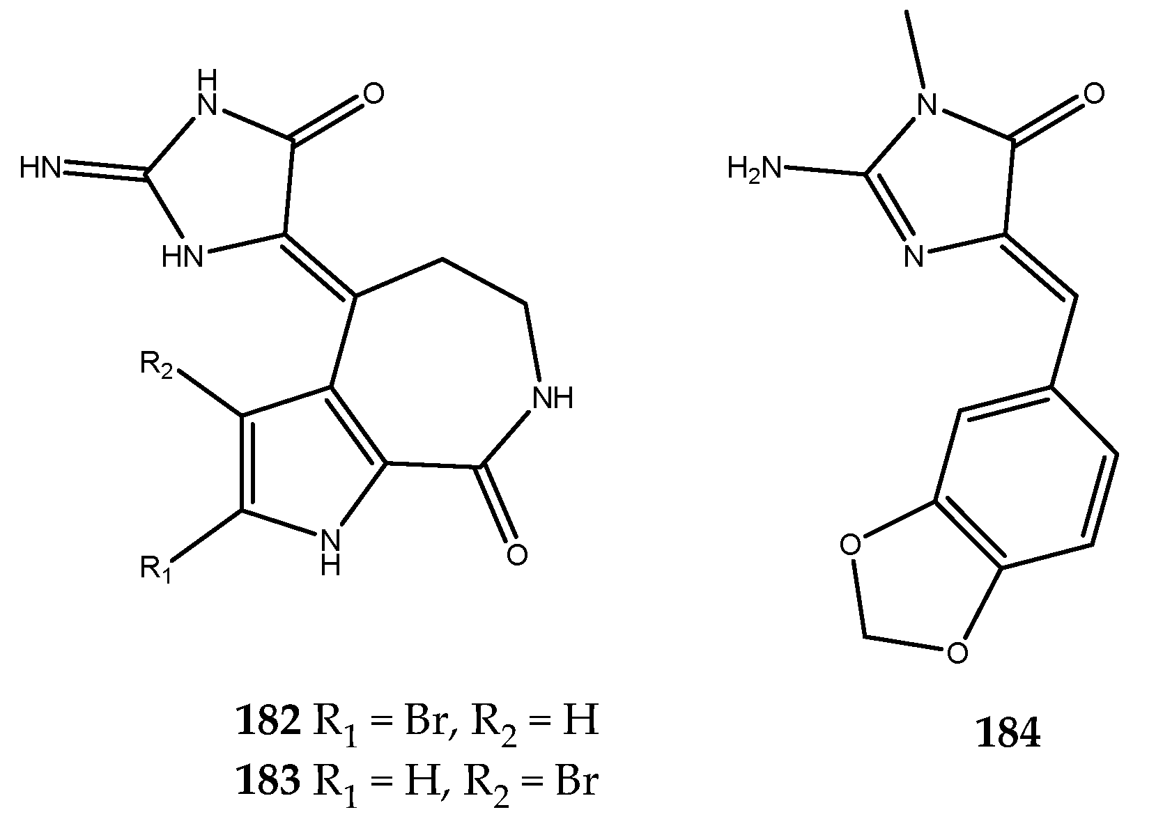
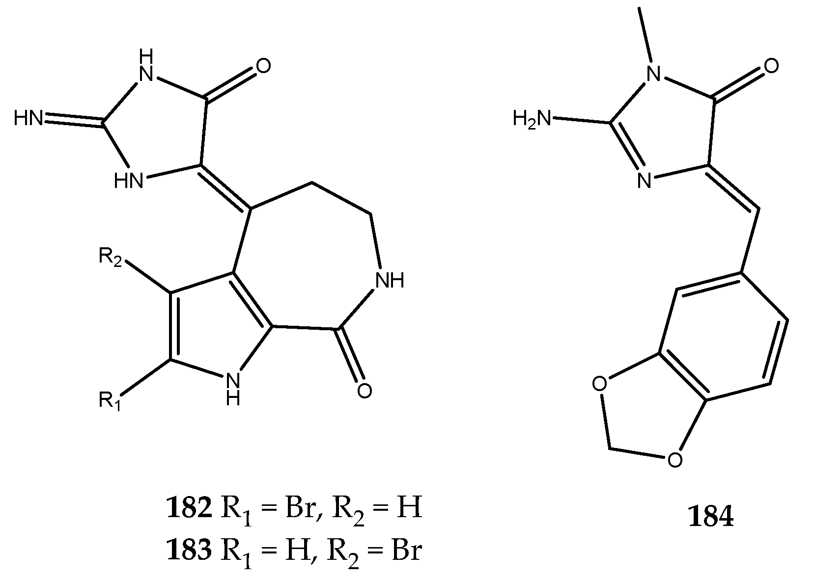
- Loaëc, N.; Attanasio, E.; Villiers, B.; Durieu, E.; Tahtouh, T.; Cam, M.; Davis, R.; Alencar, A.; Roué, M.; Bourguet-Kondracki, M.-L.; et al. Marine-Derived 2-Aminoimidazolone Alkaloids. Leucettamine B-Related Polyandrocarpamines Inhibit Mammalian and Protozoan DYRK & CLK Kinases. Mar. Drugs 2017, 15, 316. [Google Scholar] [CrossRef] [PubMed]
- Chan, G.W.; Mong, S.; Hemling, M.E.; Freyer, A.J.; Offen, P.H.; DeBrosse, C.W.; Sarau, H.M.; Westley, J.W. New Leukotriene B 4 Receptor Antagonist: Leucettamine A and Related Imidazole Alkaloids from the Marine Sponge Leucetta Microraphis. J. Nat. Prod. 1993, 56, 116–121. [Google Scholar] [CrossRef] [PubMed]
- Inaba, K.; Sato, H.; Tsuda, M.; Kobayashi, J. Spongiacidins A−D, New Bromopyrrole Alkaloids from Hymeniacidon Sponge. J. Nat. Prod. 1998, 61, 693–695. [Google Scholar] [CrossRef]
- Dirice, E.; Walpita, D.; Vetere, A.; Meier, B.C.; Kahraman, S.; Hu, J.; Dančík, V.; Burns, S.M.; Gilbert, T.J.; Olson, D.E.; et al. Inhibition of DYRK1A Stimulates Human β-Cell Proliferation. Diabetes 2016, 65, 1660–1671. [Google Scholar] [CrossRef] [PubMed]
- Davis, R.A.; Aalbersberg, W.; Meo, S.; da Rocha, R.M.; Ireland, C.M. The Isolation and Synthesis of Polyandrocarpamines A and B. Two New 2-Aminoimidazolone Compounds from the Fijian Ascidian, Polyandrocarpa sp. Tetrahedron 2002, 58, 3263–3269. [Google Scholar] [CrossRef]
- Tahtouh, T.; Durieu, E.; Villiers, B.; Bruyère, C.; Nguyen, T.L.; Fant, X.; Ahn, K.H.; Khurana, L.; Deau, E.; Lindberg, M.F.; et al. Structure–Activity Relationship in the Leucettine Family of Kinase Inhibitors. J. Med. Chem. 2022, 65, 1396–1417. [Google Scholar] [CrossRef] [PubMed]
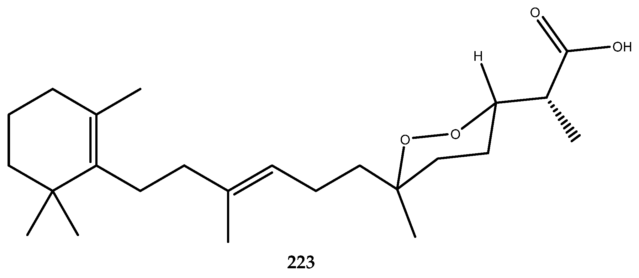
- Thakur, S.; Gupta, S.K.; Ali, V.; Singh, P.; Verma, M. Aldose Reductase: A Cause and a Potential Target for the Treatment of Diabetic Complications. Arch. Pharm. Res. 2021, 44, 655–667. [Google Scholar] [CrossRef] [PubMed]
- Norton, R.S.; Croft, K.D.; Wells, R.J. Polybrominated Oxydiphenol Derivatives from the Sponge Dysidea Herbacea. Tetrahedron 1981, 37, 2341–2349. [Google Scholar] [CrossRef]
- Costantino, L.; Rastelli, G.; Cignarella, G.; Vianello, P.; Barlocco, D. New Aldose Reductase Inhibitors as Potential Agents for the Prevention of Long-Term Diabetic Complications. Expert. Opin. Ther. Pat. 1997, 7, 843–858. [Google Scholar] [CrossRef]
- de la Fuente, J.Á.; Manzanaro, S.; Martín, M.J.; de Quesada, T.G.; Reymundo, I.; Luengo, S.M.; Gago, F. Synthesis, Activity, and Molecular Modeling Studies of Novel Human Aldose Reductase Inhibitors Based on a Marine Natural Product. J. Med. Chem. 2003, 46, 5208–5221. [Google Scholar] [CrossRef]
- Yoshida, W.Y.; Lee, K.K.; Carroll, A.R.; Scheuer, P.J. A Complex Pyrrolo-Oxazinone and Its Iodo Derivative Isolated from a Tunicate. Helv. Chim. Acta 1992, 75, 1721–1725. [Google Scholar] [CrossRef]
- Manzanaro, S.; Salvá, J.; de la Fuente, J.Á. Phenolic Marine Natural Products as Aldose Reductase Inhibitors. J. Nat. Prod. 2006, 69, 1485–1487. [Google Scholar] [CrossRef] [PubMed]
- Miao, S.; Andersen, R.J. Rubrolides A-H, Metabolites of the Colonial Tunicate Ritterella Rubra. J. Org. Chem. 1991, 56, 6275–6280. [Google Scholar] [CrossRef]
- Ortega, M.J.; Zubίa, E.; Ocaña, J.M.; Naranjo, S.; Salvá, J. New Rubrolides from the Ascidian Synoicum Blochmanni. Tetrahedron 2000, 56, 3963–3967. [Google Scholar] [CrossRef]
- Wang, Q.; Gao, C.; Wei, Z.; Tang, X.; Ji, L.; Luo, X.; Peng, X.; Li, G.; Lou, H. A Series of New Pyrrole Alkaloids with ALR2 Inhibitory Activities from the Sponge Stylissa Massa. Mar. Drugs 2022, 20, 454. [Google Scholar] [CrossRef] [PubMed]
- Doupis, J.; Veves, A. DPP4 Inhibitors: A New Approach in Diabetes Treatment. Adv. Ther. 2008, 25, 627–643. [Google Scholar] [CrossRef] [PubMed]
- Bermúdez, V.; Finol, F.; Parra, N.; Parra, M.; Pérez, A.; Peñaranda, L.; Vílchez, D.; Rojas, J.; Arráiz, N.; Velasco, M. PPAR-γ Agonists and Their Role in Type 2 Diabetes Mellitus Management. Am. J. Ther. 2010, 17, 274–283. [Google Scholar] [CrossRef]
- Quiñoà, E.; Crews, P. Phenolic Constituents of. Tetrahedron Lett. 1987, 28, 3229–3232. [Google Scholar] [CrossRef]
- Mora, F.D.; Jones, D.K.; Desai, P.V.; Patny, A.; Avery, M.A.; Feller, D.R.; Smillie, T.; Zhou, Y.-D.; Nagle, D.G. Bioassay for the Identification of Natural Product-Based Activators of Peroxisome Proliferator-Activated Receptor-γ (PPARγ): The Marine Sponge Metabolite Psammaplin A Activates PPARγ and Induces Apoptosis in Human Breast Tumor Cells. J. Nat. Prod. 2006, 69, 547–552. [Google Scholar] [CrossRef]
- Li, J.L.; Xiao, B.; Park, M.; Yoo, E.S.; Shin, S.; Hong, J.; Chung, H.Y.; Kim, H.S.; Jung, J.H. PPAR-γ Agonistic Metabolites from the Ascidian Herdmania momus. J. Nat. Prod. 2012, 75, 2082–2087. [Google Scholar] [CrossRef]
- Braekman, J.C.; Daloze, D.; De Groote, S.; Fernandes, J.B.; Van Soest, R.W.M. New Polyketides from the Sponge Plakortis sp. J. Nat. Prod. 1998, 61, 1038–1042. [Google Scholar] [CrossRef] [PubMed]
- Festa, C.; Lauro, G.; De Marino, S.; D’Auria, M.V.; Monti, M.C.; Casapullo, A.; D’Amore, C.; Renga, B.; Mencarelli, A.; Petek, S.; et al. Plakilactones from the Marine Sponge Plakinastrella mamillaris. Discovery of a New Class of Marine Ligands of Peroxisome Proliferator-Activated Receptor γ. J. Med. Chem. 2012, 55, 8303–8317. [Google Scholar] [CrossRef] [PubMed]
- Chianese, G.; Yu, H.-B.; Yang, F.; Sirignano, C.; Luciano, P.; Han, B.-N.; Khan, S.; Lin, H.-W.; Taglialatela-Scafati, O. PPAR Modulating Polyketides from a Chinese Plakortis simplex and Clues on the Origin of Their Chemodiversity. J. Org. Chem. 2016, 81, 5135–5143. [Google Scholar] [CrossRef] [PubMed]
- D’Aniello, E.; Iannotti, F.; Falkenberg, L.; Martella, A.; Gentile, A.; De Maio, F.; Ciavatta, M.; Gavagnin, M.; Waxman, J.; Di Marzo, V.; et al. In Silico Identification and Experimental Validation of (−)-Muqubilin A, a Marine Norterpene Peroxide, as PPARα/γ-RXRα Agonist and RARα Positive Allosteric Modulator. Mar. Drugs 2019, 17, 110. [Google Scholar] [CrossRef] [PubMed]
- Kashman, Y.; Rotem, M. Muqubilin, a New C24-Isoprenoid from a Marine Sponge. Tetrahedron Lett. 1979, 20, 1707–1708. [Google Scholar] [CrossRef]
- Pathak, K.; Gogoi, U.; Saikia, R.; Pathak, M.P.; Das, A. Marine-Derived Antidiabetic Compounds: An Insight into Their Sources, Chemistry, SAR, and Molecular Mechanisms. Stud. Nat. Prod. Chem. 2022, 73, 467–504. [Google Scholar]
- Malve, H. Exploring the Ocean for New Drug Developments: Marine Pharmacology. J. Pharm. Bioallied Sci. 2016, 8, 83. [Google Scholar] [CrossRef]













































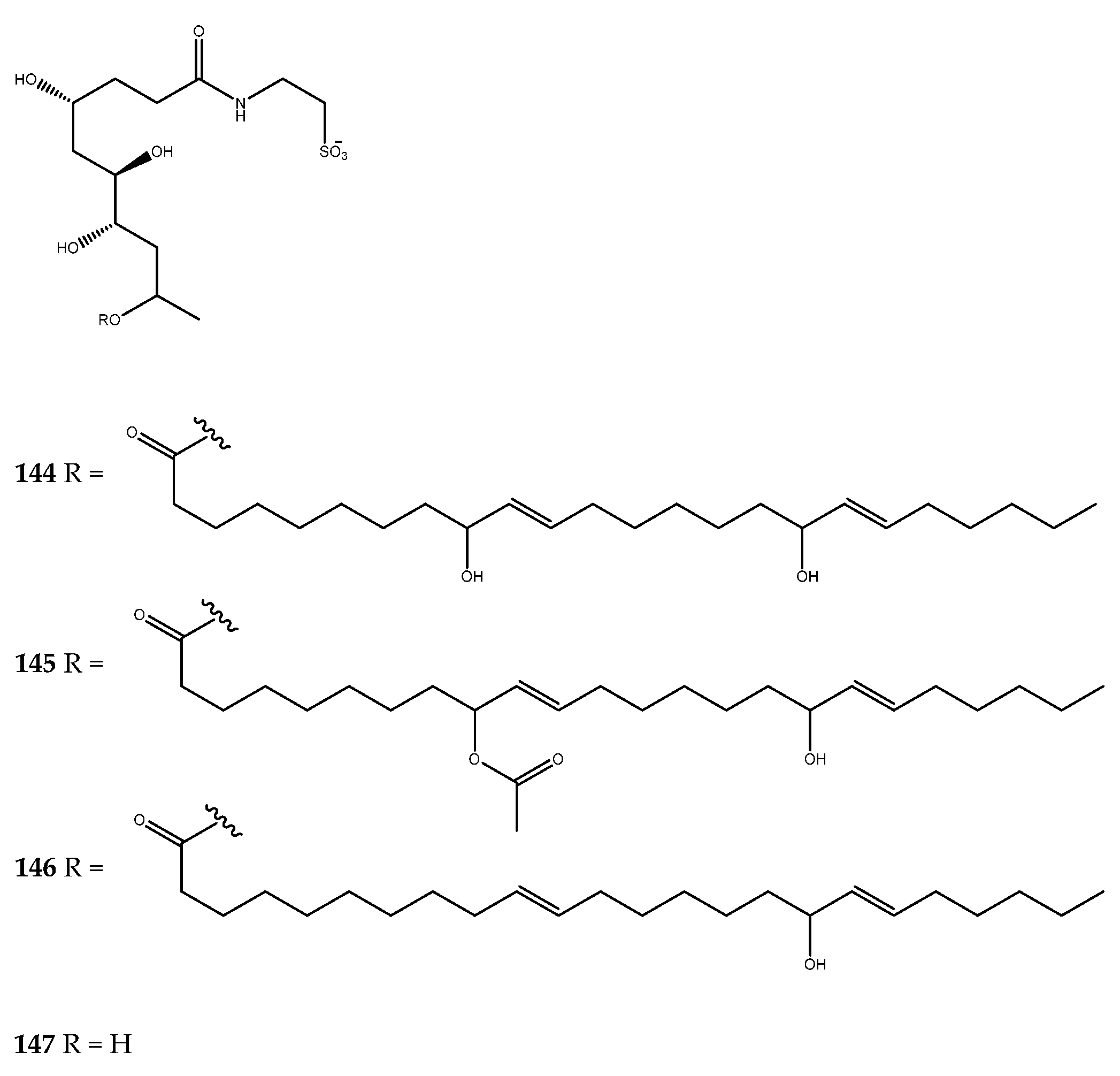
![]() | |||||||
|---|---|---|---|---|---|---|---|
| Compound | R1 | R2 | R3 | R4 | X-Y | GSK3β Inhibition at 25 µM | GSK3β IC50 |
| 152 | OTs | H | H | ![]() | HC=CH | 80.4 | n.d. a |
| 153 | OMe | H | Me | ![]() | HC=CH | 72.4 | n.d. a |
| 154 | OEt | H | Et | ![]() | HC=CH | 78.0 | 10.4 |
| 155 | O-i-But | H | i-But | ![]() | HC=CH | 24.2 | n.d. a |
| 156 | H | H | (CH2)11CH3 | ![]() | HC=CH | 0 | n.d. a |
| 157 | H | H | t-BuOCOMe | ![]() | HC=CH | 3 | n.d. a |
| 158 | H | H | H | ![]() | HC=CH | 88.4 | n.d. a |
| 159 | OH | H | H | ![]() | (CH2)2 | 29.0 | n.d. a |
| 160 | OH | H | H | ![]() | HC=CH | 30.0 | n.d. a |
| 161 | H | H | H | ![]() | (CH2)2 | 0 | n.d. a |
| 162 | ![]() | H | H | ![]() | HC=CH | 78.8 | 8.5 |
| 163 | ![]() | H | H | ![]() | HC=CH | 76.7 | 7.2 |
| 164 | ![]() | H | H | ![]() | HC=CH | 63.0 | 23.0 |
| 165 | H | H | H | ![]() | HC=CH | 71.2 | 5.4 |
| 166 | OCOMe | H | H | ![]() | HC=CH | 79.1 | 4.8 |
Disclaimer/Publisher’s Note: The statements, opinions and data contained in all publications are solely those of the individual author(s) and contributor(s) and not of MDPI and/or the editor(s). MDPI and/or the editor(s) disclaim responsibility for any injury to people or property resulting from any ideas, methods, instructions or products referred to in the content. |
© 2023 by the authors. Licensee MDPI, Basel, Switzerland. This article is an open access article distributed under the terms and conditions of the Creative Commons Attribution (CC BY) license (https://creativecommons.org/licenses/by/4.0/).
Share and Cite
Casertano, M.; Vito, A.; Aiello, A.; Imperatore, C.; Menna, M. Natural Bioactive Compounds from Marine Invertebrates That Modulate Key Targets Implicated in the Onset of Type 2 Diabetes Mellitus (T2DM) and Its Complications. Pharmaceutics 2023, 15, 2321. https://doi.org/10.3390/pharmaceutics15092321
Casertano M, Vito A, Aiello A, Imperatore C, Menna M. Natural Bioactive Compounds from Marine Invertebrates That Modulate Key Targets Implicated in the Onset of Type 2 Diabetes Mellitus (T2DM) and Its Complications. Pharmaceutics. 2023; 15(9):2321. https://doi.org/10.3390/pharmaceutics15092321
Chicago/Turabian StyleCasertano, Marcello, Alessio Vito, Anna Aiello, Concetta Imperatore, and Marialuisa Menna. 2023. "Natural Bioactive Compounds from Marine Invertebrates That Modulate Key Targets Implicated in the Onset of Type 2 Diabetes Mellitus (T2DM) and Its Complications" Pharmaceutics 15, no. 9: 2321. https://doi.org/10.3390/pharmaceutics15092321
APA StyleCasertano, M., Vito, A., Aiello, A., Imperatore, C., & Menna, M. (2023). Natural Bioactive Compounds from Marine Invertebrates That Modulate Key Targets Implicated in the Onset of Type 2 Diabetes Mellitus (T2DM) and Its Complications. Pharmaceutics, 15(9), 2321. https://doi.org/10.3390/pharmaceutics15092321









