Clinical Efficacy of Hyaluronic Acid with Iodine in Hard-to-Heal Wounds
Abstract
:1. Introduction
2. Materials and Methods
2.1. Materials
2.2. Study Design
2.3. Inclusion and Exclusion Criteria
2.4. Patient Enrolment and Characteristics
2.5. Treatment Regimen
2.6. The Evaluated Characteristics
2.7. Data Analysis
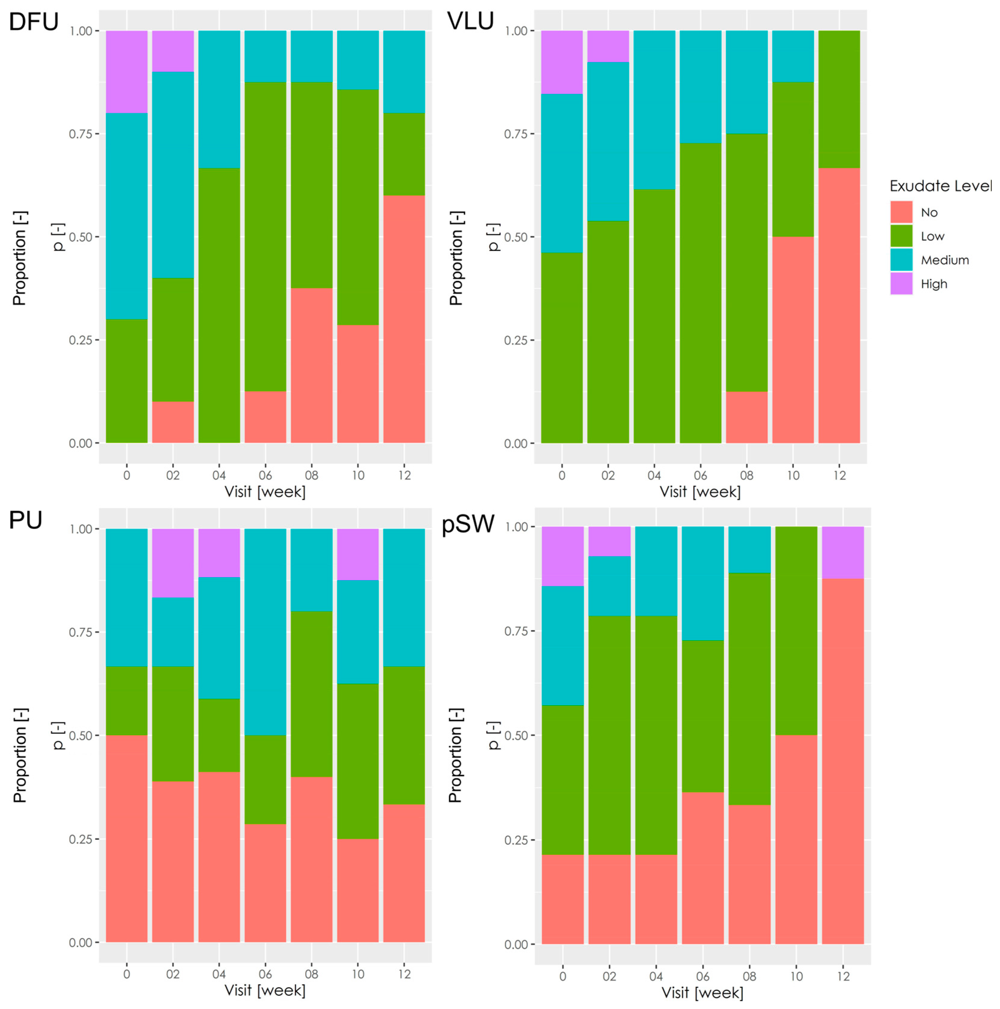
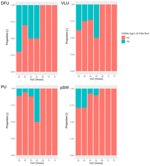
3. Results




4. Discussion
5. Conclusions
Author Contributions
Funding
Institutional Review Board Statement
Informed Consent Statement
Data Availability Statement
Conflicts of Interest
References
- Wilkinson, H.N.; Hardman, M.J. Wound healing: Cellular mechanisms and pathological outcomes. Open Biol. 2020, 10, 200223. [Google Scholar] [CrossRef]
- Boateng, J.; Catanzano, O. Advanced Therapeutic Dressings for Effective Wound Healing—A Review. J. Pharm. Sci. 2015, 104, 3653–3680. [Google Scholar] [CrossRef]
- Žádníková, P.; Šínová, R.; Pavlík, V.; Šimek, M.; Šafránková, B.; Hermannová, M.; Nešporová, K.; Velebný, V. The Degradation of Hyaluronan in the Skin. Biomolecules 2022, 12, 251. [Google Scholar] [CrossRef]
- Aya, K.L.; Stern, R. Hyaluronan in Wound Healing: Rediscovering a Major Player. Wound Repair Regen. Off. Publ. Wound Heal. Soc. Eur. Tissue Repair Soc. 2014, 22, 579–593. [Google Scholar] [CrossRef]
- Petrey, A.C.; de la Motte, C.A. Hyaluronan in inflammatory bowel disease: Cross-linking inflammation and coagulation. Matrix Biol. 2019, 78–79, 314–323. [Google Scholar] [CrossRef]
- Petrey, A.C.; De La Motte, C.A. Hyaluronan, a Crucial Regulator of Inflammation. Front. Immunol. 2014, 5, 101. [Google Scholar] [CrossRef]
- King, I.C.; Sorooshian, P. Hyaluronan in skin wound healing: Therapeutic applications. J. Wound Care 2020, 29, 782–787. [Google Scholar] [CrossRef]
- Humbert, P.; Mikosinki, J.; Benchikhi, H.; Allaert, F.-A. Efficacy and safety of a gauze pad containing hyaluronic acid in treatment of leg ulcers of venous or mixed origin: A double-blind, randomised, controlled trial. Int. Wound J. 2012, 10, 159–166. [Google Scholar] [CrossRef]
- Ramos-Torrecillas, J.; García-Martínez, O.; De Luna-Bertos, E.; Ocaña-Peinado, F.M.; Ruiz, C. Effectiveness of Platelet-Rich Plasma and Hyaluronic Acid for the Treatment and Care of Pressure Ulcers. Biol. Res. Nurs. 2014, 17, 152–158. [Google Scholar] [CrossRef]
- Kirketerp-Møller, K.; Stewart, P.S.; Bjarnsholt, T. The zone model: A conceptual model for understanding the microenvironment of chronic wound infection. Wound Repair Regen. 2020, 28, 593–599. [Google Scholar] [CrossRef]
- Davies, J. Selections in Pathology and Surgery; Longman, Orme, Brown, Green and Longmans: London, UK, 1839. [Google Scholar]
- Maillard, J.-Y. Bacterial resistance to biocides in the healthcare environment: Should it be of genuine concern? J. Hosp. Infect. 2007, 65, 60–72. [Google Scholar] [CrossRef] [PubMed]
- Lachapelle, J.-M.; Castel, O.; Casado, A.F.; Leroy, B.; Micali, G.; Tennstedt, D.; Lambert, J. Antiseptics in the era of bacterial resistance: A focus on povidone iodine. Clin. Pract. 2013, 10, 579–592. [Google Scholar] [CrossRef]
- Gottardi, W. The influence of the chemical behaviour of iodine on the germicidal action of disinfectant solutions containing iodine. J. Hosp. Infect. 1985, 6, 1–11. [Google Scholar] [CrossRef] [PubMed]
- Brett, D. Cadexomer iodine: A fresh look at an old gem. Wound Pract. Res. 2019, 27, 42–48. [Google Scholar] [CrossRef]
- Frankova, J.; Kubala, L.; Velebny, V.; Ciz, M.; Lojek, A. The effect of hyaluronan combined with KI3 complex (Hyiodine wound dressing) on keratinocytes and immune cells. J. Mater. Sci. Mater. Med. 2006, 17, 891–898. [Google Scholar] [CrossRef] [PubMed]
- Slavkovsky, R.; Kohlerova, R.; Jiroutova, A.; Hajzlerova, M.; Sobotka, L.; Cermakova, E.; Kanta, J. Effects of hyaluronan and iodine on wound contraction and granulation tissue formation in rat skin wounds. Clin. Exp. Dermatol. 2010, 35, 373–379. [Google Scholar] [CrossRef]
- Laznicek, M.; Svik, K.; Laznickova, A.; Velebny, V. Preclinical evaluation of wound treatment with hyaluronan-iodine hydrogel. Wounds 2012, 24, 267–274. [Google Scholar]
- Sobotka, L.; Smahelova, A.; Pastorova, J.; Kusalova, M. A Case Report of the Treatment of Diabetic Foot Ulcers Using a Sodium Hyaluronate and Iodine Complex. Int. J. Low. Extrem. Wounds 2007, 6, 143–147. [Google Scholar] [CrossRef]
- Sobotka, L.; Manak, J.; Vyroubal, P.; Mottl, R.; Bláha, V.; Slemrova, M.; Chobola, M. Successful Treatment of Surgical Abdominal Wounds Complicated by Multiple Bowel Fistulas with a Combination of Total Parenteral Nutrition, Hyaluronan-Iodine Complex and Delayed Surgery: Results of a Monocentric Experience. Nutr. Ther. Metab. 2008, 26, 177–183. [Google Scholar]
- Sobotka, L.; Velebný, V.; Růžičková, J.; Šlemrová, M.; Zadák, Z. Sodium Hyaluronate with an Jodide Complex in the Treatment of Different Wounds. In Hyaluronan—Structure, Metabolism, Biological Activities, Therapeutic Applications; Matrix Biology Institute: Edgewater, NJ, USA, 2005; pp. 847–849. [Google Scholar]
- Oberreiter, M.; Plodr, M.; Pavlík, V. The Efficacy of Hyaluronic Acid in Combination with an Antiseptic—Experience from Acute Military-Based Wound Care. Worldw. Mil. Med. ALMANAC 2021, 6. [Google Scholar]
- Lantis, J.; Lullove, E.; Liden, B.; McEneaney, P.; Raphael, A.; Klein, R.; Winters, C.; Huynh, R. Final Efficacy and Cost Analysis of a Fish Skin Graft vs Standard of Care in the Management of Chronic Diabetic Foot Ulcers: A Prospective, Multicenter, Randomized Controlled Clinical Trial. Wounds 2023, 35, 71–79. [Google Scholar] [CrossRef] [PubMed]
- Rastogi, A.; Kulkarni, S.A.; Agarwal, S.; Akhtar, M.; Arsule, S.; Bhamre, S.; Bhosle, D.; Desai, S.; Deshmukh, M.; Giriraja, K.V.; et al. Topical Esmolol Hydrochloride as a Novel Treatment Modality for Diabetic Foot Ulcers: A Phase 3 Randomized Clinical Trial. JAMA Netw. Open 2023, 6, e2311509. [Google Scholar] [CrossRef] [PubMed]
- Della Pepa, G.; Lombardi, G.; Gianfrancesco, S.; Piccolo, R.; Chirico, G.; Pellegrino, M.; Santella, L.; Tecce, N.; Volpicelli, A.; Sollo, E.; et al. Triticum vulgare Extract and Polyhexanide (Fitostimoline® Hydrogel/Fitostimoline® Plus Gauze) versus Saline Gauze Dressing in Patients with Diabetic Foot Ulcers: Results of a Randomized Controlled Trial. J. Clin. Med. 2023, 12, 3596. [Google Scholar] [CrossRef] [PubMed]
- Berezo, M.L.; Budman, J.; Deutscher, D.; Hess, C.T.; Smith, K.; Hayes, D. Predicting Chronic Wound Healing Time Using Machine Learning. Adv. Wound Care 2022, 11, 281–296. [Google Scholar] [CrossRef]
- Lafontaine, N.; Jolley, J.; Kyi, M.; King, S.; Iacobaccio, L.; Staunton, E.; Wilson, B.; Seymour, C.; Rogasch, S.; Wraight, P. Prospective randomised placebo-controlled trial assessing the efficacy of silver dressings to enhance healing of acute diabetes-related foot ulcers. Diabetologia 2023, 66, 768–776. [Google Scholar] [CrossRef]
- A Michaels, J.; Campbell, B.; King, B.; Palfreyman, S.J.; Shackley, P.; Stevenson, M. Randomized controlled trial and cost-effectiveness analysis of silver-donating antimicrobial dressings for venous leg ulcers (VULCAN trial). Br. J. Surg. 2009, 96, 1147–1156. [Google Scholar] [CrossRef]
- Serena, T.E.; Orgill, D.P.; Armstrong, D.G.D.; Galiano, R.D.; Glat, P.M.; Carter, M.J.; Kaufman, J.P.; Li, W.W.; Zelen, C.M.D. A Multicenter, Randomized, Controlled, Clinical Trial Evaluating Dehydrated Human Amniotic Membrane in the Treatment of Venous Leg Ulcers. Plast. Reconstr. Surg. 2022, 150, 1128–1136. [Google Scholar] [CrossRef]
- Mościcka, P.; Cwajda-Białasik, J.; Szewczyk, M.T.; Jawień, A. Healing Process, Pain, and Health-Related Quality of Life in Patients with Venous Leg Ulcers Treated with Fish Collagen Gel: A 12-Week Randomized Single-Center Study. Int. J. Environ. Res. Public Health 2022, 19, 7108. [Google Scholar] [CrossRef]
- Elsharnoby, A.M.; El-Barbary, A.H.; Eldeeb, A.E.; Hassan, H.A. Resistant Chronic Venous Leg Ulcers: Effect of Adjuvant Systemic Hyperbaric Oxygen Therapy Versus Venous Intervention Alone. Int. J. Low. Extrem. Wounds 2022, 15347346221100892. [Google Scholar] [CrossRef]
- Bianchi, C.; Cazzell, S.; Vayser, D.; Reyzelman, A.M.; Dosluoglu, H.; Tovmassian, G. EpiFix VLU Study Group A multicentre randomised controlled trial evaluating the efficacy of dehydrated human amnion/chorion membrane (EpiFix®) allograft for the treatment of venous leg ulcers. Int. Wound J. 2017, 15, 114–122. [Google Scholar] [CrossRef]
- Miller, C.N.; Newall, N.; Kapp, S.E.; Lewin, G.; Karimi, L.; Carville, K.; Gliddon, T.; Santamaria, N.M. A randomized-controlled trial comparing cadexomer iodine and nanocrystalline silver on the healing of leg ulcers. Wound Repair Regen. 2010, 18, 359–367. [Google Scholar] [CrossRef] [PubMed]
- Holloway, G.; Johansen, K.H.; Barnes, R.W.; Pierce, G.E. Multicenter trial of cadexomer iodine to treat venous stasis ulcer. West. J. Med. 1989, 151, 35–38. [Google Scholar] [PubMed]
- Takahashi, J.; Nakae, K.; Miyagawa, M.; Yokota, O.; Fujiki, Y.; Ide, M.; Sumio; Nishida; Aoki, H.; Aoki, T. Plastic Wrap as a Dressing Material to Treat Stage III/IV Pressure Ulcers in the Inflammatory Phase: A Randomized Controlled Trial. Int. J. Clin. Exp. Med. 2017, 10, 5586–5594. [Google Scholar]
- Brown-Etris, M.; Milne, C.T.; Hodde, J.P. An extracellular matrix graft (Oasis® wound matrix) for treating full-thickness pressure ulcers: A randomized clinical trial. J. Tissue Viability 2018, 28, 21–26. [Google Scholar] [CrossRef]
- Tolg, C.; Telmer, P.; Turley, E. Specific Sizes of Hyaluronan Oligosaccharides Stimulate Fibroblast Migration and Excisional Wound Repair. PLoS ONE 2014, 9, e88479. [Google Scholar] [CrossRef]
- Shatirishvili, M.; Burk, A.S.; Franz, C.M.; Pace, G.; Kastilan, T.; Breuhahn, K.; Hinterseer, E.; Dierich, A.; Bakiri, L.; Wagner, E.F.; et al. Epidermal-specific deletion of CD44 reveals a function in keratinocytes in response to mechanical stress. Cell Death Dis. 2016, 7, e2461. [Google Scholar] [CrossRef]
- Pavlík, V.; Sojka, M.; Mazúrová, M.; Velebný, V. Dual role of iodine, silver, chlorhexidine and octenidine as antimicrobial and antiprotease agents. PLoS ONE 2019, 14, e0211055. [Google Scholar] [CrossRef]
| Characteristic | Value | SD/% |
|---|---|---|
| Participant characteristics (n) | 56 | |
| Age, years, (mean ± SD) | 67.86 | 14.46 |
| Sex, female, n (%) | 21 | 37.5% |
| Sex, male, n (%) | 35 | 62.5% |
| Smoker, n (%) | ||
| Yes | 10 | 17.24% |
| Comorbidities, n (%) | ||
| Diabetes mellitus type I | 5 | 8.62% |
| Diabetes mellitus type II | 22 | 37.93% |
| Hypertension | 34 | 58.62% |
| Obesity | 18 | 31.03% |
| Heart disease | 23 | 39.66% |
| Ischaemic heart disease | 16 | 27.59% |
| Angiopathy | 6 | 10.34% |
| Other | 22 | 37.93% |
| Wound type, n (%) | ||
| DFU | 10 | 17.24% |
| VLU | 13 | 22.41% |
| PU | 18 | 31.03% |
| pSW | 15 | 24.14% |
| Infection, n (%) | ||
| Yes | 19 | 32.76% |
| DFU | VLU | PU | pSW | |
|---|---|---|---|---|
| Discontinued treatment | 1 | 1 | 2 | 1 |
| Dismissed and lost to follow-up | 1 | 1 | 2 | 4 |
| Died | 1 | 1 | 2 | - |
| Unspecified | - | 1 | 3 | 2 |
| Total | 30% (3/10) | 30.8% (4/13) | 50% (9/18) | 46.7% (7/15) |
| All Wounds | DFU | VLU | PU | pSW | |
|---|---|---|---|---|---|
| Healed | 57.6% (19/33) | 71.4% (5/7) | 55.6% (5/9) | 44.4% (4/9) | 62.5% (5/8) |
| All Wounds | DFU | VLU | PU | pSW | |||||||||||
|---|---|---|---|---|---|---|---|---|---|---|---|---|---|---|---|
| Mean | SD | n | Mean | SD | n | Mean | SD | n | Mean | SD | n | Mean | SD | n | |
| Overall | 1.27 | 1.06 | 56 | 1.62 | 1.19 | 10 | 1.04 | 0.77 | 13 | 1.22 | 1.11 | 18 | 1.22 | 1.23 | 15 |
| Week 2 | 0.54 | 3.08 | 56 | 1.11 | 2.03 | 10 | −0.44 | 2.93 | 13 | 1.39 | 2.41 | 18 | −0.06 | 4.54 | 15 |
| Week 4 | 2.15 | 2.38 | 52 | 2.54 | 1.43 | 9 | 1.99 | 2.11 | 11 | 1.58 | 2.50 | 17 | 2.28 | 2.73 | 15 |
| Week 6 | 2.43 | 2.37 | 42 | 3.61 | 0.67 | 8 | 2.53 | 1.97 | 9 | 2.14 | 2.82 | 14 | 1.75 | 1.28 | 11 |
| Week 8 | 2.63 | 2.78 | 33 | 3.38 | 2.85 | 8 | 3.13 | 3.13 | 6 | 2.42 | 3.11 | 10 | 2.06 | 2.66 | 9 |
| Week 10 | 2.89 | 3.43 | 25 | 4.76 | 2.34 | 7 | 2.16 | 2.48 | 6 | 0.79 | 4.63 | 8 | 4.04 | 2.43 | 4 |
| Week 12 | 4.38 | 3.19 | 17 | 5.69 | 1.71 | 5 | 4.00 | 3.40 | 4 | 2.53 | 4.09 | 6 | 6.51 | 0.90 | 2 |
| All Wounds | DFU | VLU | PU | pSW | ||||||||||||||||
|---|---|---|---|---|---|---|---|---|---|---|---|---|---|---|---|---|---|---|---|---|
| M | IQR | p | n | M | IQR | p | n | M | IQR | p | n | M | IQR | p | n | M | IQR | p | n | |
| Week 0 | 16.8 | 34 | NA | 56 | 30 | 30 | NA | 10 | 38 | 37 | NA | 13 | 11.3 | 18 | NA | 18 | 11.5 | 26 | NA | 15 |
| Week 2 | 15 | 32 | ** | 56 | 22 | 23 | 0.1 | 10 | 38 | 27 | 0.22 | 13 | 8.8 | 19 | 0.06 | 18 | 12.9 | 20 | 0.11 | 15 |
| Week 4 | 8 | 24 | *** | 52 | 11 | 14 | ** | 9 | 32 | 45 | 0.11 | 11 | 5.0 | 10 | ** | 17 | 4.8 | 22 | 0.05 | 15 |
| Week 6 | 6 | 16 | *** | 42 | 6.8 | 6.3 | ** | 8 | 15 | 44 | 0.06 | 9 | 5.5 | 11 | ** | 14 | 7.0 | 24 | ** | 11 |
| Week 8 | 5.3 | 18 | *** | 33 | 4.5 | 5.1 | ** | 8 | 4.5 | 55 | 0.05 | 6 | 7.1 | 9.8 | ** | 10 | 14.4 | 23 | * | 9 |
| Week 10 | 2 | 16 | *** | 25 | 0.5 | 2.7 | ** | 7 | 22 | 46 | 0.08 | 6 | 11.3 | 16 | * | 8 | 6.4 | 11 | 0.13 | 4 |
| Week 12 | 1.1 | 21 | *** | 17 | 0.5 | 0.8 | * | 5 | 17 | 36 | 0.06 | 4 | 12.1 | 19 | * | 6 | 1.0 | 1 | NA | 2 |
Disclaimer/Publisher’s Note: The statements, opinions and data contained in all publications are solely those of the individual author(s) and contributor(s) and not of MDPI and/or the editor(s). MDPI and/or the editor(s) disclaim responsibility for any injury to people or property resulting from any ideas, methods, instructions or products referred to in the content. |
© 2023 by the authors. Licensee MDPI, Basel, Switzerland. This article is an open access article distributed under the terms and conditions of the Creative Commons Attribution (CC BY) license (https://creativecommons.org/licenses/by/4.0/).
Share and Cite
Pecová, J.; Rohlíková, V.; Šmoldasová, M.; Marek, J. Clinical Efficacy of Hyaluronic Acid with Iodine in Hard-to-Heal Wounds. Pharmaceutics 2023, 15, 2268. https://doi.org/10.3390/pharmaceutics15092268
Pecová J, Rohlíková V, Šmoldasová M, Marek J. Clinical Efficacy of Hyaluronic Acid with Iodine in Hard-to-Heal Wounds. Pharmaceutics. 2023; 15(9):2268. https://doi.org/10.3390/pharmaceutics15092268
Chicago/Turabian StylePecová, Jana, Vladimíra Rohlíková, Markéta Šmoldasová, and Jan Marek. 2023. "Clinical Efficacy of Hyaluronic Acid with Iodine in Hard-to-Heal Wounds" Pharmaceutics 15, no. 9: 2268. https://doi.org/10.3390/pharmaceutics15092268
APA StylePecová, J., Rohlíková, V., Šmoldasová, M., & Marek, J. (2023). Clinical Efficacy of Hyaluronic Acid with Iodine in Hard-to-Heal Wounds. Pharmaceutics, 15(9), 2268. https://doi.org/10.3390/pharmaceutics15092268
