Development of Avocado and Lemon Oil Emulgels Based on Natural Products: Phycocyanin and Pectin
Abstract
1. Introduction
2. Materials and Methods
2.1. Materials
2.2. Emulgel Preparation
2.3. Droplet Size Distribution and Mean Diameter Determination
2.4. Rheological Characterization
2.5. Analysis of Physical Stability
3. Results and Discussion
3.1. Exploring the Optimal Phycocyanin Concentration
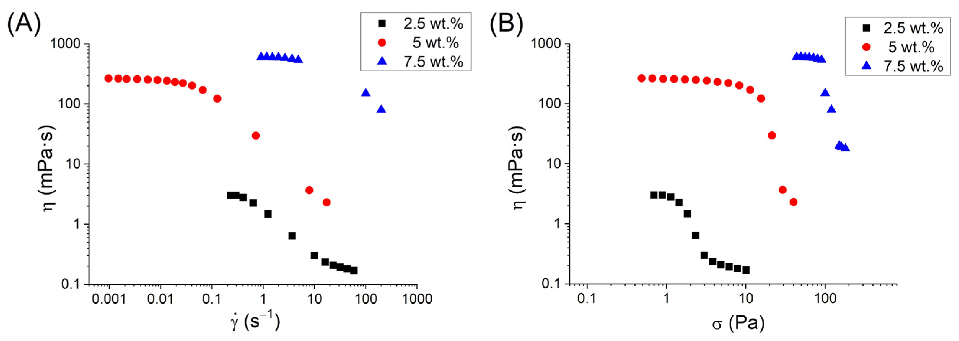
3.2. Strategy to Solve the Creaming Destabilization Process
4. Conclusions
Author Contributions
Funding
Data Availability Statement
Conflicts of Interest
References
- Aithal, G.C.; Narayan, R.; Nayak, U.Y. Nanoemulgel: A Promising Phase in Drug Delivery. Curr. Pharm. Des. 2020, 26, 279–291. [Google Scholar] [CrossRef] [PubMed]
- Talat, M.; Zaman, M.; Khan, R.; Jamshaid, M.; Akhtar, M.; Mirza, A.Z. Emulgel: An Effective Drug Delivery System. Drug Dev. Ind. Pharm. 2021, 47, 1193–1199. [Google Scholar] [CrossRef]
- Giacoman, C.; Ayala Arancibia, P.; Alfaro, J. Choosing to Stop Consuming Meat for Environmental Reasons: Exploring the Influence of Gender and Social Status Variables in Chile. Br. Food J. 2021, 123, 2996–3013. [Google Scholar] [CrossRef]
- Ashaolu, T.J. Nanoemulsions for Health, Food, and Cosmetics: A Review. Environ. Chem. Lett. 2021, 19, 3381–3395. [Google Scholar] [CrossRef]
- Jiang, L.; Wang, Y.; Yin, Q.; Liu, G.; Liu, H.; Huang, Y.; Li, B. Phycocyanin: A Potential Drug for Cancer Treatment. J. Cancer 2017, 8, 3416. [Google Scholar] [CrossRef]
- de Morais, M.G.; da Fontoura Prates, D.; Moreira, J.B.; Duarte, J.H.; Costa, J.A.V. Phycocyanin from Microalgae: Properties, Extraction and Purification, with Some Recent Applications. Ind. Biotechnol. 2018, 14, 30–37. [Google Scholar] [CrossRef]
- Tello, P.; Sanchez, R.; Trujillo-Cayado, L.A.; Santos, J.; Vladisavljevic, G. Microfluidization and Characterization of Phycocyanin-Based Emulsions Stabilised Using a Fumed Silica. LWT 2023, 184, 115077. [Google Scholar] [CrossRef]
- Willats, W.G.T.; Knox, J.P.; Mikkelsen, J.D. Pectin: New Insights into an Old Polymer Are Starting to Gel. Trends Food Sci. Technol. 2006, 17, 97–104. [Google Scholar] [CrossRef]
- Christiaens, S.; Van Buggenhout, S.; Houben, K.; Jamsazzadeh Kermani, Z.; Moelants, K.R.N.; Ngouémazong, E.D.; Van Loey, A.; Hendrickx, M.E.G. Process–Structure–Function Relations of Pectin in Food. Crit. Rev. Food Sci. Nutr. 2016, 56, 1021–1042. [Google Scholar] [CrossRef]
- Blanco-Pérez, F.; Steigerwald, H.; Schülke, S.; Vieths, S.; Toda, M.; Scheurer, S. The Dietary Fiber Pectin: Health Benefits and Potential for the Treatment of Allergies by Modulation of Gut Microbiota. Curr. Allergy Asthma Rep. 2021, 21, 43. [Google Scholar] [CrossRef] [PubMed]
- Fulgoni, V.L.; Dreher, M.; Davenport, A.J. Avocado Consumption Is Associated with Better Diet Quality and Nutrient Intake, and Lower Metabolic Syndrome Risk in US Adults: Results from the National Health and Nutrition Examination Survey (NHANES) 2001–2008. Nutr. J. 2013, 12, 1. [Google Scholar] [CrossRef]
- Mojtahedin, A.; Seifdavati, J.; Seyedsharifi, R. Effects of Different Levels of Dietary Citrus Limon Essential Oil on Some Blood Parameters and Antioxidant Status in Afshari Ewes. Cell. Mol. Biol. 2018, 64, 47–51. [Google Scholar] [CrossRef]
- Henry, J.V.L.; Fryer, P.J.; Frith, W.J.; Norton, I.T. The Influence of Phospholipids and Food Proteins on the Size and Stability of Model Sub-Micron Emulsions. Food Hydrocoll. 2010, 24, 66–71. [Google Scholar] [CrossRef]
- McClements, D.J.; Lu, J.; Grossmann, L. Proposed Methods for Testing and Comparing the Emulsifying Properties of Proteins from Animal, Plant, and Alternative Sources. Colloids Interfaces 2022, 6, 19. [Google Scholar] [CrossRef]
- Züge, L.C.B.; Maieves, H.A.; Silveira, J.L.M.; da Silva, V.R.; de Paula Scheer, A. Use of Avocado Phospholipids as Emulsifier. LWT-Food Sci. Technol. 2017, 79, 42–51. [Google Scholar] [CrossRef]
- Warncke, M.; Kieferle, I.; Nguyen, T.M.; Kulozik, U. Impact of Heat Treatment, Casein/Whey Protein Ratio and Protein Concentration on Rheological Properties of Milk Protein Concentrates Used for Cheese Production. J. Food Eng. 2022, 312, 110745. [Google Scholar] [CrossRef]
- Chhabra, R.P.; Richardson, J.F. Non-Newtonian Flow and Applied Rheology: Engineering Applications; Butterworth-Heinemann: Oxford, UK, 2011; ISBN 0080951600. [Google Scholar]
- Zhang, Z.; McClements, D.J. Overview of Nanoemulsion Properties: Stability, Rheology, and Appearance. In Nanoemulsions; Elsevier: Amsterdam, The Netherlands, 2018; pp. 21–49. [Google Scholar]
- de Oca-Ávalos, J.M.M.; Candal, R.J.; Herrera, M.L. Nanoemulsions: Stability and Physical Properties. Curr. Opin. Food Sci. 2017, 16, 1–6. [Google Scholar] [CrossRef]
- McClements, D.J. Critical Review of Techniques and Methodologies for Characterization of Emulsion Stability. Crit. Rev. Food Sci. Nutr. 2007, 47, 611–649. [Google Scholar] [CrossRef]
- Calero, N.; Santos, J.; Muñoz, J. Methodology to Estimate the Yield Stress Applied to Ultraconcentrated Detergents as Model Systems. Chem. Eng. Sci. 2017, 166, 115–121. [Google Scholar] [CrossRef]
- Ganley, W.J.; van Duijneveldt, J.S. Controlling the Rheology of Montmorillonite Stabilized Oil-in-Water Emulsions. Langmuir 2017, 33, 1679–1686. [Google Scholar] [CrossRef]
- Santos, J.; Calero, N.; Trujillo-Cayado, L.A.; Muñoz, J. Development and Characterisation of a Continuous Phase Based on a Fumed Silica and a Green Surfactant with Emulsion Applications. Colloids Surf. A Physicochem. Eng. Asp. 2018, 555, 351–357. [Google Scholar] [CrossRef]
- Mezger, T.G. The Rheology Handbook: For Users of Rotational and Oscillatory Rheometers; Vincentz Network GmbH & Co KG: Hanover, Germany, 2006; ISBN 3878701748. [Google Scholar]







| Phycocyanin Concentration (wt.%) | D3,2 (μm) | D4,3 (μm) | Span |
|---|---|---|---|
| 1 | 1.43 | 2.31 | 1.696 |
| 2 | 0.98 | 1.21 | 1.239 |
| 3 | 0.83 | 1.08 | 1.115 |
| 4 | 0.75 | 0.85 | 0.929 |
| 5 | 0.65 | 0.77 | 0.887 |
| Pre-emulsion (3 wt.%) | 1.69 | 2.40 | 1.243 |
| Phycocyanin Concentration (wt.%) | σ1 (Pa) | n | η2Pa (mPa·s) |
|---|---|---|---|
| 1 | 0.011 | 0.92 | 7.21 |
| 2 | 0.013 | 0.90 | 7.54 |
| 3 | 0.016 | 0.86 | 7.72 |
| 4 | 0.017 | 0.86 | 8.21 |
| 5 | 0.017 | 0.85 | 8.49 |
| Pre-emulsion (3 wt.%) | 0.011 | 0.89 | 7.13 |
| Pectin Concentration (wt.%) | Yield Stress (Pa) |
|---|---|
| 2.5 | 1.8 |
| 5 | 20 |
| 7.5 | 125 |
Disclaimer/Publisher’s Note: The statements, opinions and data contained in all publications are solely those of the individual author(s) and contributor(s) and not of MDPI and/or the editor(s). MDPI and/or the editor(s) disclaim responsibility for any injury to people or property resulting from any ideas, methods, instructions or products referred to in the content. |
© 2023 by the authors. Licensee MDPI, Basel, Switzerland. This article is an open access article distributed under the terms and conditions of the Creative Commons Attribution (CC BY) license (https://creativecommons.org/licenses/by/4.0/).
Share and Cite
Tello, P.; Calero, N.; Santos, J.; Trujillo-Cayado, L.A. Development of Avocado and Lemon Oil Emulgels Based on Natural Products: Phycocyanin and Pectin. Pharmaceutics 2023, 15, 2067. https://doi.org/10.3390/pharmaceutics15082067
Tello P, Calero N, Santos J, Trujillo-Cayado LA. Development of Avocado and Lemon Oil Emulgels Based on Natural Products: Phycocyanin and Pectin. Pharmaceutics. 2023; 15(8):2067. https://doi.org/10.3390/pharmaceutics15082067
Chicago/Turabian StyleTello, Patricia, Nuria Calero, Jenifer Santos, and Luis A. Trujillo-Cayado. 2023. "Development of Avocado and Lemon Oil Emulgels Based on Natural Products: Phycocyanin and Pectin" Pharmaceutics 15, no. 8: 2067. https://doi.org/10.3390/pharmaceutics15082067
APA StyleTello, P., Calero, N., Santos, J., & Trujillo-Cayado, L. A. (2023). Development of Avocado and Lemon Oil Emulgels Based on Natural Products: Phycocyanin and Pectin. Pharmaceutics, 15(8), 2067. https://doi.org/10.3390/pharmaceutics15082067

