Synthesis, Biophysical Properties, and Antitumor Activity of Antisense Oligonucleotides Conjugated with Anisamide
Abstract
1. Introduction
2. Materials and Methods
2.1. Materials
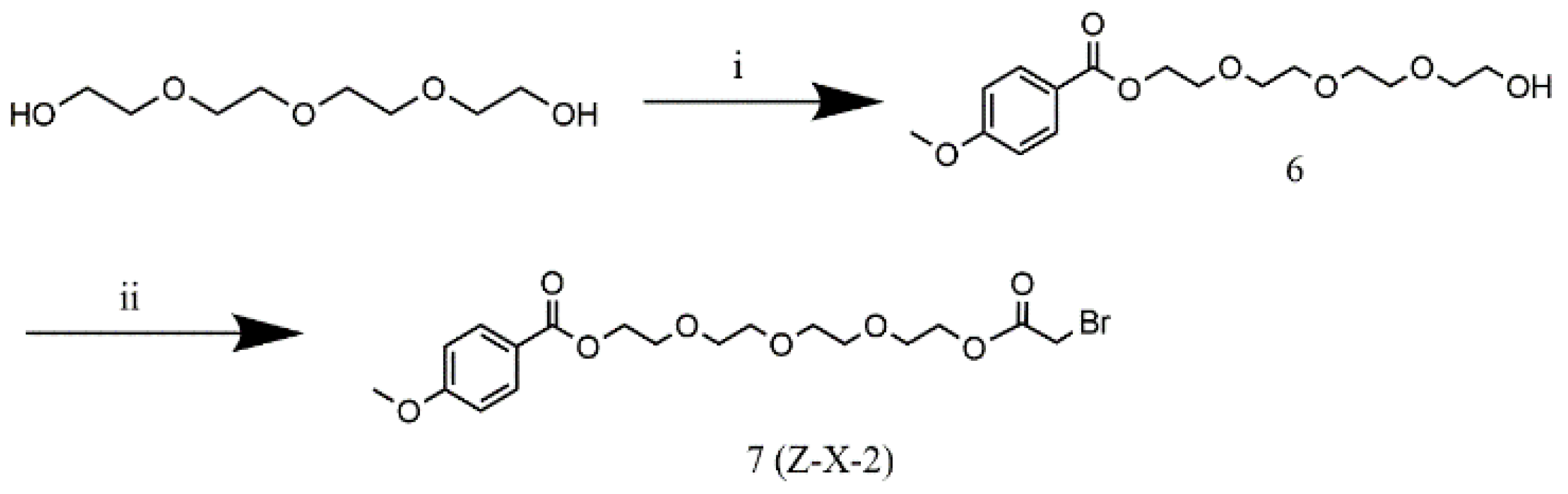
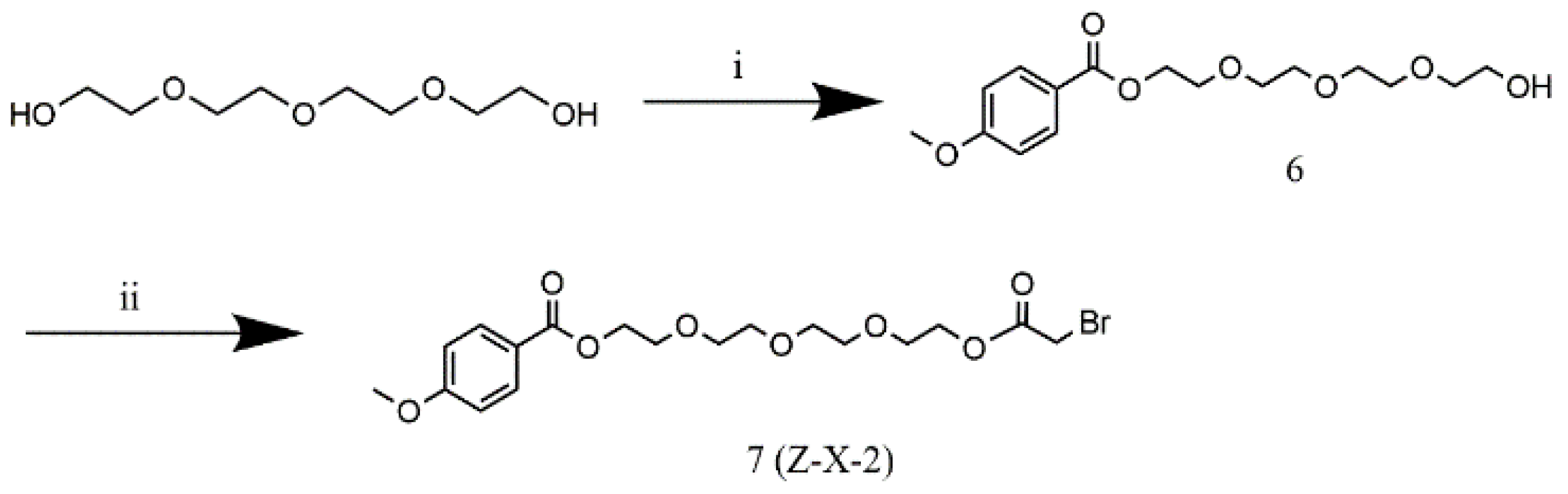
2.2. Synthesis of Z-X-1 and Z-X-2 Compounds
2.3. Oligonucleotide Synthesis and Characterization
2.4. Preparation of AA-ASON Conjugates (T2–T6)
2.5. Assessment of ASONs’ Resistance to Degradation in Serum- and DNase I–Containing Buffers
2.6. Target mRNA Binding Assay
2.7. In Vitro Studies
2.7.1. Cell Culture
2.7.2. Assessment of Cellular Uptake
2.7.3. Assessment of Cytotoxicity Study
2.7.4. Assessment of the Mechanism of Cellular Uptake
2.8. Cell Apoptosis Experiment
2.9. Reverse-Transcriptase Quantitative Polymerase Chain Reaction Assay
2.10. In Vivo Studies
2.11. Statistical Analysis
3. Results and Discussion
3.1. Z-X-1 and Z-X-2 Compounds
3.2. ASON Conjugation
3.3. Anti-Serum and Anti-Enzymolysis Stability
3.4. In Vitro Cellular Uptake
3.5. In Vitro Cytotoxicity
3.6. Binding Affinity of T6 to Target mRNA
3.7. Mechanism of Cellular Uptake
3.8. In Vitro Antitumor Mechanism of T6
3.9. RT-qPCR Results
3.10. In Vivo Antitumor Capacity of T6
4. Conclusions
Supplementary Materials
Author Contributions
Funding
Institutional Review Board Statement
Informed Consent Statement
Data Availability Statement
Conflicts of Interest
References
- Milligan, J.F.; Matteucci, M.D.; Martin, J.C. Current concepts in antisense drug design. J. Med. Chem. 1993, 36, 1923–1937. [Google Scholar] [CrossRef]
- Crooke, S.T.; Baker, B.F.; Crooke, R.M.; Liang, X.H. Antisense technology: An overview and prospectus. Nat. Rev. Drug. Discov. 2021, 20, 427–453. [Google Scholar] [CrossRef]
- Thompson, A.J.; Patel, K. Antisense inhibitors, ribozymes, and siRNAs. Clin. Liver Dis. 2009, 13, 375–390. [Google Scholar] [CrossRef] [PubMed]
- Roberts, T.C.; Langer, R.; Wood, M.J. Advances in oligonucleotide drug delivery. Nat. Rev. Drug. Discov. 2020, 19, 673–694. [Google Scholar] [CrossRef] [PubMed]
- Agrawal, S.; Temsamani, J.; Galbraith, W.; Tang, J. Pharmacokinetics of antisense oligonucleotides. Clin. Pharmacokinet. 1995, 28, 7–16. [Google Scholar] [CrossRef] [PubMed]
- Kool, E.T. Circular oligonucleotides: New concepts in oligonucleotide design. Annu. Rev. Biophys. 1996, 25, 1–28. [Google Scholar] [CrossRef]
- Samad, M.A.; Pandiri, K.; Bojanapally, A.P. Antisense oligonucleotides: Pharmacology and delivery strategies. Int. J. Appl. Pharm. Sci. Res. 2020, 5, 7–11. [Google Scholar] [CrossRef]
- Arar, K.; Aubertin, A.-M.; Roche, A.-C.; Monsigny, M.; Mayer, R. Synthesis and Antiviral Activity of Peptide-Oligonucleotide Conjugates Prepared by Using N. Alpha-(Bromoacetyl) Peptides. Bioconjug. Chem. 1995, 6, 573–577. [Google Scholar] [CrossRef]
- Juliano, R.L. The delivery of therapeutic oligonucleotides. Nucleic Acids Res. 2016, 44, 6518–6548. [Google Scholar] [CrossRef]
- Bortolozzi, A.; Manashirov, S.; Chen, A.; Artigas, F. Oligonucleotides as therapeutic tools for brain disorders: Focus on major depressive disorder and Parkinson’s disease. Pharmacol. Ther. 2021, 227, 107873. [Google Scholar] [CrossRef]
- Xu, D.; Wang, B.; Xu, Y.; Chen, Z.; Cui, Q.; Yang, Y.; Chen, H.; Kong, M.G. Intracellular ROS mediates gas plasma-facilitated cellular transfection in 2D and 3D cultures. Sci. Rep. 2016, 6, 27872. [Google Scholar] [CrossRef]
- Banerjee, R.; Tyagi, P.; Li, S.; Huang, L. Anisamide-targeted stealth liposomes: A potent carrier for targeting doxorubicin to human prostate cancer cells. Int. J. Cancer 2004, 112, 693–700. [Google Scholar] [CrossRef]
- Garg, N.K.; Dwivedi, P.; Campbell, C.; Tyagi, R.K. Site specific/targeted delivery of gemcitabine through anisamide anchored chitosan/poly ethylene glycol nanoparticles: An improved understanding of lung cancer therapeutic intervention. Eur. J. Pharm. Sci. 2012, 47, 1006–1014. [Google Scholar] [CrossRef] [PubMed]
- Vilner, B.J.; John, C.S.; Bowen, W.D. Sigma-1 and sigma-2 receptors are expressed in a wide variety of human and rodent tumor cell lines. Cancer Res. 1995, 55, 408–413. [Google Scholar] [PubMed]
- Lee, Y.; Vassilakos, A.; Feng, N.; Lam, V.; Xie, H.; Wang, M.; Jin, H.; Xiong, K.; Liu, C.; Wright, J. GTI-2040, an antisense agent targeting the small subunit component (R2) of human ribonucleotide reductase, shows potent antitumor activity against a variety of tumors. Cancer Res. 2003, 63, 2802–2811. [Google Scholar]
- Xiao, G.G.; Zhou, B.-S.; Somlo, G.; Portnow, J.; Juhasz, A.; Un, F.; Chew, H.; Gandara, D.; Yen, Y. Identification of F-box/LLR-repeated protein 17 as potential useful biomarker for breast cancer therapy. Cancer Genom. Proteom. 2008, 5, 151–160. [Google Scholar]
- Zhang, Z.; Ren, H.; Chen, Z.; Zhang, Y.; Zhang, Z.; Luo, Y.; Wang, S.; Feng, X.; Xu, L. Dumbbell-Shaped Antisense Oligonucleotide Prodrugs Showed Improved Antinuclease Stability and Anticancer Efficacy. Mol. Pharm. 2022, 19, 3915–3921. [Google Scholar] [CrossRef] [PubMed]
- Liu, J.; Li, Y.; Liu, S.; Zhang, Y.; Luo, Y.; Yang, Y.; Zhuang, X.; Wang, X.; Zhao, B.; Xu, T. Alkoxy cyanoacrylate-based nanoparticles with stealth and brain-targeting properties. J. Drug Target. 2022, 30, 219–231. [Google Scholar] [CrossRef]
- Chiou, H.C.; Tangco, M.V.; Kormis, K.; Levine, S.M.; Robertson, D.; Kormis, K.; Wu, C.H.; Wu, G.Y. Enhanced resistance to nuclease degradation of nucleic acids complexed to asialoglycoprotein-polylysine carriers. Nucleic Acids Res. 1994, 22, 5439–5446. [Google Scholar] [CrossRef]
- Boado, R.J.; Pardridge, W.M. Complete protection of antisense oligonucleotides against serum nuclease degradation by an avidin-biotin system. Bioconjug. Chem. 1992, 3, 519–523. [Google Scholar] [CrossRef]
- Manoharan, M.; Johnson, L.K.; Bennett, C.F.; Vickers, T.A.; Ecker, D.J.; Cowsert, L.M.; Freier, S.M.; Cook, P.D. Cholic acid-oligonucleotide conjugates for antisense applications. Bioorganic Med. Chem. Lett. 1994, 4, 1053–1060. [Google Scholar] [CrossRef]
- Li, S.-D.; Huang, L. Targeted delivery of antisense oligodeoxynucleotide and small interference RNA into lung cancer cells. Mol. Pharm. 2006, 3, 579–588. [Google Scholar] [CrossRef] [PubMed]
- Ablordeppey, S.Y.; Fischer, J.B.; Glennon, R.A. Is a nitrogen atom an important pharmacophoric element in sigma ligand binding? Bioorg. Med. Chem. 2000, 8, 2105–2111. [Google Scholar] [CrossRef]
- Bologna, J.-C.; Dorn, G.; Natt, F.; Weiler, J. Linear Polyethylenimine as a Tool for Comparative Studies of Antisense and Short Double-Stranded RNA Oligonucleotides. Nucleosides Nucleotides Nucleic Acids 2003, 22, 1729–1731. [Google Scholar] [CrossRef] [PubMed]
- Megalizzi, V.; Le Mercier, M.; Decaestecker, C. Sigma receptors and their ligands in cancer biology: Overview and new perspectives for cancer therapy. Med. Res. Rev. 2012, 32, 410–427. [Google Scholar] [CrossRef] [PubMed]
- Kirschbaum, M.H.; Frankel, P.; Synold, T.W.; Xie, Z.; Yen, Y.; Popplewell, L.; Chen, R.; Aljitawi, O.; Tuscano, J.M.; Chan, K.K. A phase I pharmacodynamic study of GTI-2040, an antisense oligonucleotide against ribonuclotide reductase, in acute leukemias: A California Cancer Consortium study. Leuk. Lymphoma 2016, 57, 2307–2314. [Google Scholar] [CrossRef] [PubMed]
- Zhou, B.; Yen, Y. Characterization of the human ribonucleotide reductase M2 subunit gene; genomic structure and promoter analyses. Cytogenet. Genome Res. 2001, 95, 52–59. [Google Scholar] [CrossRef] [PubMed]











| Gene | Sequence |
|---|---|
| β-actin | Forward: 5′-CGAGCGCGGCTACAGCTT-3′ |
| Reverse: 5′-CCTTAATGTCACGCACGATT-3′ | |
| RRM2 | Forward: 5′-ATGAAAACTTGGTGGAGCGATT-3′ |
| Reverse: 5′-TGGCAATTTGGAAGCCATAGA-3′ |
| No. | Sequence (5′-3′) | Molecular Weight (Estimated) | Molecular Weight (Actual) |
|---|---|---|---|
| T1 | GGCTAAATCGCTCCACCAAG | 6071.0 | 6071.0 |
| T2 | GGCTAAATCGCTCCACCAA #G | 6453.3 | 6453.1 |
| T3 | GGCTAAATCGCTCCACCAA *G | 6455.0 | 6454.7 |
| T4 | G*GCTAAATCGCTCCACCAAG | 6455.0 | 6453.3 |
| T5 | GGCTAAATCG*CTCCACCAAG | 6455.0 | 6454.7 |
| T6 | G*GCTAAATCGCTCCACCAA *G | 6836.8 | 6836.1 |
| Composition of Coupling Solvent | Coupling Solvent Ratio | Reaction Time (h) | Yield (%) | ||
|---|---|---|---|---|---|
| Organic Phase(A) | Aqueous(B) | A | B | ||
| d6-DMSO | Sterile water | 1 | 1 | 4 | 98.9 |
| d6-DMSO | Sterile water | 1 | 4 | 5 | 95 |
| Acetonitrile | Sterile water | 1 | 1 | 12 | 0 |
| Acetonitrile | Sterile water | 1 | 4 | 12 | 0 |
| Acetonitrile | PBS | 1 | 1 | 12 | 0 |
| Acetonitrile | PBS | 1 | 4 | 12 | 0 |
| Acetonitrile | PBS + 100 mM NaCl | 1 | 1 | 12 | 0 |
| Acetonitrile | PBS + 100 mM NaCl | 1 | 4 | 12 | 0 |
| Methanol | Sterile water | 1 | 1 | 6 | 70.1 |
| Methanol | Sterile water | 1 | 4 | 6 | 64.3 |
| Methanol | PBS | 1 | 1 | 12 | 27.2 |
| Methanol | PBS | 1 | 4 | 12 | 25.8 |
| Methanol | PBS + 100 mM NaCl | 1 | 1 | 12 | 28.9 |
| Methanol | PBS + 100 mM NaCl | 1 | 4 | 12 | 25.3 |
| T1 | T6 | |
|---|---|---|
| Tm | 67.54 ± 0.26 | 68.56 ± 1.51 |
| p value | 0.30 |
Disclaimer/Publisher’s Note: The statements, opinions and data contained in all publications are solely those of the individual author(s) and contributor(s) and not of MDPI and/or the editor(s). MDPI and/or the editor(s) disclaim responsibility for any injury to people or property resulting from any ideas, methods, instructions or products referred to in the content. |
© 2023 by the authors. Licensee MDPI, Basel, Switzerland. This article is an open access article distributed under the terms and conditions of the Creative Commons Attribution (CC BY) license (https://creativecommons.org/licenses/by/4.0/).
Share and Cite
Zhang, Z.; Chen, Z.; Li, C.; Xiao, Z.; Luo, Y.; Pan, X.; Xu, L.; Feng, X. Synthesis, Biophysical Properties, and Antitumor Activity of Antisense Oligonucleotides Conjugated with Anisamide. Pharmaceutics 2023, 15, 1645. https://doi.org/10.3390/pharmaceutics15061645
Zhang Z, Chen Z, Li C, Xiao Z, Luo Y, Pan X, Xu L, Feng X. Synthesis, Biophysical Properties, and Antitumor Activity of Antisense Oligonucleotides Conjugated with Anisamide. Pharmaceutics. 2023; 15(6):1645. https://doi.org/10.3390/pharmaceutics15061645
Chicago/Turabian StyleZhang, Zhe, Zuyi Chen, Cheng Li, Zhenyu Xiao, Yuan Luo, Xiaochen Pan, Liang Xu, and Xuesong Feng. 2023. "Synthesis, Biophysical Properties, and Antitumor Activity of Antisense Oligonucleotides Conjugated with Anisamide" Pharmaceutics 15, no. 6: 1645. https://doi.org/10.3390/pharmaceutics15061645
APA StyleZhang, Z., Chen, Z., Li, C., Xiao, Z., Luo, Y., Pan, X., Xu, L., & Feng, X. (2023). Synthesis, Biophysical Properties, and Antitumor Activity of Antisense Oligonucleotides Conjugated with Anisamide. Pharmaceutics, 15(6), 1645. https://doi.org/10.3390/pharmaceutics15061645

