Cationic BODIPY Photosensitizers for Mitochondrion-Targeted Fluorescence Cell-Imaging and Photodynamic Therapy
Abstract
1. Introduction
2. Materials and Methods
2.1. Materials
2.2. Synthesis of Cationic BODIPY Dyes
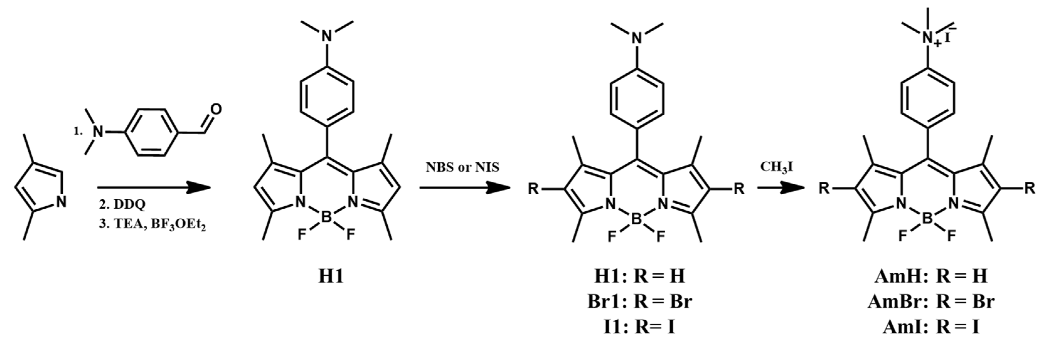
2.2.1. Acid-Catalyzed Condensation Reaction (BODIPY H1)
2.2.2. Halogenation Reactions (BODIPY Br1 and I1)
2.2.3. Methylation Reaction (AmH, AmBr and AmI)
2.3. Spectroscopic Measurements
2.3.1. Structural Characterization
2.3.2. Spectroscopic and Photophysical Properties
2.3.3. Singlet Oxygen Generation Efficiency
2.4. Cells and Culture Conditions
2.5. Assessment of Cell Proliferation
2.6. Photodynamic Activity Assay
2.7. Fluorescence Cell Imaging
2.8. Statistical Analysis
2.9. Theoretical Calculations
3. Results
3.1. Synthesis of Cationic BODIPY Derivatives
3.2. Photophysical Properties and Computational Analysis of Cationic BODIPY Dyes
3.3. Singlet Oxygen Generation of Cationic BODIPY Derivatives
3.4. Confocal Imaging and Photodynamic Activity of the Cationic BODIPY Dyes
3.5. Mitochondria-Targeting Ability of the Cationic BODIPY Derivatives
4. Conclusions
Supplementary Materials
Author Contributions
Funding
Institutional Review Board Statement
Informed Consent Statement
Data Availability Statement
Conflicts of Interest
References
- Huang, H.; Yu, B.; Zhang, P.; Huang, J.; Chen, Y.; Gasser, G.; Ji, L.; Chao, H. Highly charged ruthenium (II) polypyridyl complexes as lysosome-localized photosensitizers for two-photon photodynamic therapy. Angew. Chem. Int. Ed. 2015, 54, 14049–14052. [Google Scholar] [CrossRef] [PubMed]
- Lv, W.; Zhang, Z.; Zhang, K.Y.; Yang, H.; Liu, S.; Xu, A.; Guo, S.; Zhao, Q.; Huang, W. A mitochondria-targeted photosensitizer showing improved photodynamic therapy effects under hypoxia. Angew. Chem. Int. Ed. 2016, 55, 9947–9951. [Google Scholar] [CrossRef] [PubMed]
- Lu, K.; He, C.; Lin, W. Nanoscale metal–organic framework for highly effective photodynamic therapy of resistant head and neck cancer. J. Am. Chem. Soc. 2014, 136, 16712–16715. [Google Scholar] [CrossRef] [PubMed]
- Xiang, Z.; Zhu, L.; Qi, L.; Yan, L.; Xue, Y.; Wang, D.; Chen, J.F.; Dai, L. Two-dimensional fully conjugated polymeric photosensitizers for advanced photodynamic therapy. Chem. Mater. 2016, 28, 8651–8658. [Google Scholar] [CrossRef]
- Nowak-Król, A.; Grzybowski, M.; Romiszewski, J.; Drobizhev, M.; Wicks, G.; Chotkowski, M.; Rebane, A.; Górecka, E.; Gryko, D.T. Strong two-photon absorption enhancement in a unique bis-porphyrin bearing a diketopyrrolopyrrole unit. Chem. Commun. 2013, 49, 8368–8370. [Google Scholar] [CrossRef] [PubMed]
- Poß, M.; Zittel, E.; Seidl, C.; Meschkov, A.; Muñoz, L.; Schepers, U.; Feldmann, C. Gd43+[AlPCS4]34− nanoagent generating 1O2 for photodynamic therapy. Adv. Funct. Mater. 2018, 28, 1801074. [Google Scholar] [CrossRef]
- Ji, C.; Gao, Q.; Dong, X.; Yin, W.; Gu, Z.; Gan, Z.; Zhao, Y.; Yin, M. A size-reducible nanodrug with an aggregation-enhanced photodynamic effect for deep chemo-photodynamic therapy. Angew. Chem. Int. Ed. 2018, 57, 11384–11388. [Google Scholar] [CrossRef]
- Huang, L.; Li, Z.; Zhao, Y.; Yang, J.; Yang, Y.; Pendharkar, A.I.; Zhang, Y.; Kelmar, S.; Chen, L.; Wu, W.; et al. Enhancing photodynamic therapy through resonance energy transfer constructed near-infrared photosensitized nanoparticles. Adv. Mater. 2017, 29, 1604789. [Google Scholar] [CrossRef] [PubMed]
- Awuah, S.G.; You, Y. Boron dipyrromethene (BODIPY)-based photosensitizers for photodynamic therapy. RSC Adv. 2012, 2, 11169–11183. [Google Scholar] [CrossRef]
- Kamkaew, A.; Lim, S.H.; Lee, H.B.; Kiew, L.V.; Chung, L.Y.; Burgess, K. BODIPY dyes in photodynamic therapy. Chem. Soc. Rev. 2013, 42, 77–88. [Google Scholar] [CrossRef]
- Agazzi, M.L.; Ballatore, M.B.; Durantini, A.M.; Durantini, E.N.; Tome, A.C. BODIPYs in antitumoral and antimicrobial photodynamic therapy: An integrating review. J. Photochem. Photobiol. C Photochem. Rev. 2019, 40, 21–48. [Google Scholar] [CrossRef]
- Wood, T.E.; Thompson, A. Advances in the chemistry of dipyrrins and their complexes. Chem. Rev. 2007, 107, 1831–1861. [Google Scholar] [CrossRef] [PubMed]
- Zatsikha, Y.V.; Yakubovskyi, V.P.; Shandura, M.P.; Dubey, I.Y.; Kovtun, Y.P. An efficient method of chemical modification of BODIPY core. Tetrahedron 2013, 69, 2233–2238. [Google Scholar] [CrossRef]
- Lei, H.; Han, H.; Wang, G.; Mukherjee, S.; Bian, H.; Liu, J.; Zhao, C.; Fang, Y. Self-Assembly of Amphiphilic BODIPY Derivatives on Micropatterned Ionic Liquid Surfaces for Fluorescent Films with Excellent Stability and Sensing Performance. ACS Appl. Mater. Interfaces 2022, 14, 13962–13969. [Google Scholar] [CrossRef]
- Huang, J.; Fang, Y.; Dehaen, W. Macrocyclic arenes functionalized with BODIPY: Rising stars among chemosensors and smart materials. Chemosensors 2020, 8, 51. [Google Scholar] [CrossRef]
- Pang, E.; Zhao, S.; Wang, B.; Niu, G.; Song, X.; Lan, M. Strategies to construct efficient singlet oxygen-generating photosensitizers. Coord. Chem. Rev. 2022, 472, 214780. [Google Scholar] [CrossRef]
- Lee, J.S.; Kang, N.Y.; Kim, Y.K.; Samanta, A.; Feng, S.; Kim, H.K.; Vendrell, M.; Park, J.H.; Chang, Y.T. Synthesis of a BODIPY library and its application to the development of live cell glucagon imaging probe. J. Am. Chem. Soc. 2009, 131, 10077–10082. [Google Scholar] [CrossRef] [PubMed]
- Kähärä, I.; Durandin, N.; Ilina, P.; Efimov, A.; Laaksonen, T.; Vuorimaa-Laukkanen, E.; Lisitsyna, E. Phototoxicity of BODIPY in long-term imaging can be reduced by intramolecular motion. Photochem. Photobiol. Sci. 2022, 21, 1677–1687. [Google Scholar] [CrossRef] [PubMed]
- Prieto-Castañeda, A.; García-Garrido, F.; Díaz-Norambuena, C.; Escriche-Navarro, B.; García-Fernández, A.; Bañuelos, J.; Rebollar, E.; García-Moreno, I.; Martínez-Máñez, R.; de la Moya, S.; et al. Development of Geometry-Controlled All-Orthogonal BODIPY Trimers for Photodynamic Therapy and Phototheragnosis. Org. Lett. 2022, 24, 3636–3641. [Google Scholar] [CrossRef]
- Sarbadhikary, P.; George, B.P.; Abrahamse, H. Recent advances in photosensitizers as multifunctional theranostic agents for imaging-guided photodynamic therapy of cancer. Theranostics 2021, 11, 9054. [Google Scholar] [CrossRef]
- Guo, X.; Yang, N.; Ji, W.; Zhang, H.; Dong, X.; Zhou, Z.; Li, L.; Shen, H.M.; Yao, S.Q.; Huang, W. Mito-Bomb: Targeting Mitochondria for Cancer Therapy. Adv. Mater. 2021, 33, 2007778. [Google Scholar] [CrossRef] [PubMed]
- Cheng, H.; Zheng, R.R.; Fan, G.L.; Fan, J.H.; Zhao, L.P.; Jiang, X.Y.; Yang, B.; Yu, X.Y.; Li, S.Y.; Zhang, X.Z. Mitochondria and plasma membrane dual-targeted chimeric peptide for single-agent synergistic photodynamic therapy. Biomaterials 2019, 188, 1–11. [Google Scholar] [CrossRef] [PubMed]
- Huang, Y.; You, X.; Wang, L.; Zhang, G.; Gui, S.; Jin, Y.; Zhao, R.; Zhang, D. Pyridinium-Substituted Tetraphenylethylenes Functionalized with Alkyl Chains as Autophagy Modulators for Cancer Therapy. Angew. Chem. 2020, 132, 10128–10137. [Google Scholar] [CrossRef]
- Agazzi, M.L.; Ballatore, M.B.; Reynoso, E.; Quiroga, E.D.; Durantini, E.N. Synthesis, spectroscopic properties and photodynamic activity of two cationic BODIPY derivatives with application in the photoinactivation of microorganisms. Eur. J. Med. Chem. 2017, 126, 110–121. [Google Scholar] [CrossRef] [PubMed]
- Gorbe, M.; Costero, A.M.; Sancenon, F.; Martinez-Manez, R.; Ballesteros-Cillero, R.; Ochando, L.E.; Chulvi, K.; Gotor, R.; Gil, S. Halogen-containing BODIPY derivatives for photodynamic therapy. Dye. Pigment. 2019, 160, 198–207. [Google Scholar] [CrossRef]
- Badon, I.W.; Kim, C.; Lim, J.M.; Mai, D.K.; Vales, T.P.; Kang, D.; Cho, S.; Lee, J.; Kim, H.J.; Yang, J. Mitochondrion-targeting PEGylated BODIPY dyes for near-infrared cell imaging and photodynamic therapy. J. Mater. Chem. B 2022, 10, 1196–1209. [Google Scholar] [CrossRef] [PubMed]
- Neese, F. The ORCA program system. Wiley Interdiscip. Rev. Comput. Mol. Sci. 2012, 2, 73–78. [Google Scholar] [CrossRef]
- Neese, F. Software update: The ORCA program system, version 4.0. Wiley Interdiscip. Rev. Comput. Mol. Sci. 2018, 8, e1327. [Google Scholar] [CrossRef]
- Fron, E.; Coutiño-Gonzalez, E.; Pandey, L.; Sliwa, M.; Van der Auweraer, M.; De Schryver, F.C.; Thomas, J.; Dong, Z.; Leen, V.; Smet, M.; et al. Synthesis and photophysical characterization of chalcogen substituted BODIPY dyes. New J. Chem. 2009, 33, 1490–1496. [Google Scholar] [CrossRef]
- Vales, T.P.; Cho, S.; Lee, J.; Bui, H.T.; Mai, D.K.; Badon, I.W.; Lim, H.; Jeong, W.; Kim, J.L.; Kim, H.K.; et al. Functionalization of 4, 4-difluoro-4-bora-3a, 4a-diaza-s-indacene (BODIPY)-based photosensitizers with Triphenylphosphonium (TPP) for mitochondria-targeted fluorescence bioimaging and photodynamic therapy. J. Mol. Struct. 2021, 1246, 131284. [Google Scholar] [CrossRef]
- Khuong Mai, D.; Kang, B.; Pegarro Vales, T.; Badon, I.W.; Cho, S.; Lee, J.; Kim, E.; Kim, H.J. Synthesis and photophysical properties of tumor-targeted water-soluble BODIPY photosensitizers for photodynamic therapy. Molecules 2020, 25, 3340. [Google Scholar] [CrossRef] [PubMed]
- Zhu, S.; Zhang, J.; Vegesna, G.; Luo, F.T.; Green, S.A.; Liu, H. Highly water-soluble neutral BODIPY dyes with controllable fluorescence quantum yields. Org. Lett. 2011, 13, 438–441. [Google Scholar] [CrossRef] [PubMed]
- Sun, H.; Dong, X.; Liu, S.; Zhao, Q.; Mou, X.; Yang, H.Y.; Huang, W. Excellent BODIPY dye containing dimesitylboryl groups as PeT-based fluorescent probes for fluoride. J. Phys. Chem. C 2011, 115, 19947–19954. [Google Scholar] [CrossRef]
- Gorman, A.; Killoran, J.; O’Shea, C.; Kenna, T.; Gallagher, W.M.; O’Shea, D.F. In vitro demonstration of the heavy-atom effect for photodynamic therapy. J. Am. Chem. Soc. 2004, 126, 10619–10631. [Google Scholar] [CrossRef] [PubMed]
- Sun, Y.; Qu, Z.; Zhou, Z.; Gai, L.; Lu, H. Thieno [3, 2-b] thiophene fused BODIPYs: Synthesis, near-infrared luminescence and photosensitive properties. Org. Biomol. Chem. 2019, 17, 3617–3622. [Google Scholar] [CrossRef] [PubMed]
- Fujishiro, R.; Sonoyama, H.; Ide, Y.; Fujimura, T.; Sasai, R.; Nagai, A.; Mori, S.; Kaufman, N.E.; Zhou, Z.; Vicente, M.G.H.; et al. Synthesis, photodynamic activities, and cytotoxicity of new water-soluble cationic gallium (III) and zinc (II) phthalocyanines. J. Inorg. Biochem. 2019, 192, 7–16. [Google Scholar] [CrossRef] [PubMed]
- Demirbaş, Ü.; Pişkin, M.; Barut, B.; Bayrak, R.; Durmuş, M.; Kantekin, H. Metal-free, zinc (II) and lead (II) phthalocyanines functioning with 3-(2H-benzo [d][1, 2, 3] triazol-2-yl)-4-hydroxyphenethyl methacrylate groups: Synthesis and investigation of photophysical and photochemical properties. Synth. Met. 2016, 220, 276–285. [Google Scholar] [CrossRef]
- Chen, Y.L.; Li, S.W.; Chi, Y.; Cheng, Y.M.; Pu, S.C.; Yeh, Y.S.; Chou, P.T. Switching luminescent properties in osmium-based β-diketonate complexes. ChemPhysChem 2005, 6, 2012–2017. [Google Scholar] [CrossRef]
- Kasha, M. Characterization of electronic transitions in complex molecules. Discuss. Faraday Soc. 1950, 9, 14–19. [Google Scholar] [CrossRef]
- Lower, S.K.; El-Sayed, M.A. The triplet state and molecular electronic processes in organic molecules. Chem. Rev. 1966, 66, 199–241. [Google Scholar] [CrossRef]
- Yuster, P.; Weissman, S.I. Effects of perturbations on phosphorescence: Luminescence of metal organic complexes. J. Chem. Phys. 1949, 17, 1182–1188. [Google Scholar] [CrossRef]
- Choi, K.H.; Wang, K.K.; Shin, E.P.; Oh, S.L.; Jung, J.S.; Kim, H.K.; Kim, Y.R. Water-soluble magnetic nanoparticles functionalized with photosensitizer for photocatalytic application. J. Phys. Chem. C 2011, 115, 3212–3219. [Google Scholar] [CrossRef]
- Watley, R.L.; Awuah, S.G.; Bio, M.; Cantu, R.; Gobeze, H.B.; Nesterov, V.N.; Das, S.K.; D’Souza, F.; You, Y. Dual functioning thieno-pyrrole fused BODIPY dyes for NIR optical imaging and photodynamic therapy: Singlet oxygen generation without heavy halogen atom assistance. Chem. Asian J. 2015, 10, 1335–1343. [Google Scholar] [CrossRef] [PubMed]
- Qi, S.; Kwon, N.; Yim, Y.; Nguyen, V.N.; Yoon, J. Fine-tuning the electronic structure of heavy-atom-free BODIPY photosensitizers for fluorescence imaging and mitochondria-targeted photodynamic therapy. Chem. Sci. 2020, 11, 6479–6484. [Google Scholar] [CrossRef] [PubMed]
- Liang, H.F.; Chen, C.T.; Chen, S.C.; Kulkarni, A.R.; Chiu, Y.L.; Chen, M.C.; Sung, H.W. Paclitaxel-loaded poly (γ-glutamic acid)-poly (lactide) nanoparticles as a targeted drug delivery system for the treatment of liver cancer. Biomaterials 2006, 27, 2051–2059. [Google Scholar] [CrossRef]






| Sample | λabs (nm) a | λemi (nm) b | ΦF c | ΦΔ d |
|---|---|---|---|---|
| AmH | 501 | 513 | 0.34 | 0.01 |
| AmBr | 526 | 546 | 0.06 | 0.13 |
| AmI | 536 | 558 | 0.01 | 0.55 |
| Manifold | a | a | a | b | |
|---|---|---|---|---|---|
| AmH | S1 − T1 | 1.52 | 1.40 | 0.74 | |
| S1 − T2 | 2.92 | 2.99 | 0.07 | 0.04 | |
| S1 − T3 | 4.53 | 1.61 | 0.14 | ||
| AmBr | S1 − T1 | 1.52 | 1.19 | 0.86 | |
| S1 − T2 | 2.71 | 2.71 | 0.00 | 0.40 | |
| S1 − T3 | 4.08 | 1.37 | 0.16 | ||
| AmI | S1 − T1 | 1.56 | 1.10 | 3.33 | |
| S1 − T2 | 2.66 | 2.67 | 0.01 | 0.99 | |
| S1 − T3 | 3.95 | 1.29 | 0.44 |
| HeLa | MCF-7 | |
|---|---|---|
| AmBr | 64.54 ± 3.00 | 48.57 ± 3.51 |
| AmI | 59.27 ± 0.53 | 49.35 ± 0.52 |
Disclaimer/Publisher’s Note: The statements, opinions and data contained in all publications are solely those of the individual author(s) and contributor(s) and not of MDPI and/or the editor(s). MDPI and/or the editor(s) disclaim responsibility for any injury to people or property resulting from any ideas, methods, instructions or products referred to in the content. |
© 2023 by the authors. Licensee MDPI, Basel, Switzerland. This article is an open access article distributed under the terms and conditions of the Creative Commons Attribution (CC BY) license (https://creativecommons.org/licenses/by/4.0/).
Share and Cite
Badon, I.W.; Jee, J.-P.; Vales, T.P.; Kim, C.; Lee, S.; Yang, J.; Yang, S.K.; Kim, H.-J. Cationic BODIPY Photosensitizers for Mitochondrion-Targeted Fluorescence Cell-Imaging and Photodynamic Therapy. Pharmaceutics 2023, 15, 1512. https://doi.org/10.3390/pharmaceutics15051512
Badon IW, Jee J-P, Vales TP, Kim C, Lee S, Yang J, Yang SK, Kim H-J. Cationic BODIPY Photosensitizers for Mitochondrion-Targeted Fluorescence Cell-Imaging and Photodynamic Therapy. Pharmaceutics. 2023; 15(5):1512. https://doi.org/10.3390/pharmaceutics15051512
Chicago/Turabian StyleBadon, Isabel Wen, Jun-Pil Jee, Temmy Pegarro Vales, Chanwoo Kim, Seungbin Lee, Jaesung Yang, Si Kyung Yang, and Ho-Joong Kim. 2023. "Cationic BODIPY Photosensitizers for Mitochondrion-Targeted Fluorescence Cell-Imaging and Photodynamic Therapy" Pharmaceutics 15, no. 5: 1512. https://doi.org/10.3390/pharmaceutics15051512
APA StyleBadon, I. W., Jee, J.-P., Vales, T. P., Kim, C., Lee, S., Yang, J., Yang, S. K., & Kim, H.-J. (2023). Cationic BODIPY Photosensitizers for Mitochondrion-Targeted Fluorescence Cell-Imaging and Photodynamic Therapy. Pharmaceutics, 15(5), 1512. https://doi.org/10.3390/pharmaceutics15051512

