Design and Investigation of New Water-Soluble Forms of α-Tocopherol with Antioxidant and Antiglycation Activity Using Amphiphilic Copolymers of N-Vinylpyrrolidone
Abstract
1. Introduction
2. Materials and Methods
2.1. Chemicals and Materials
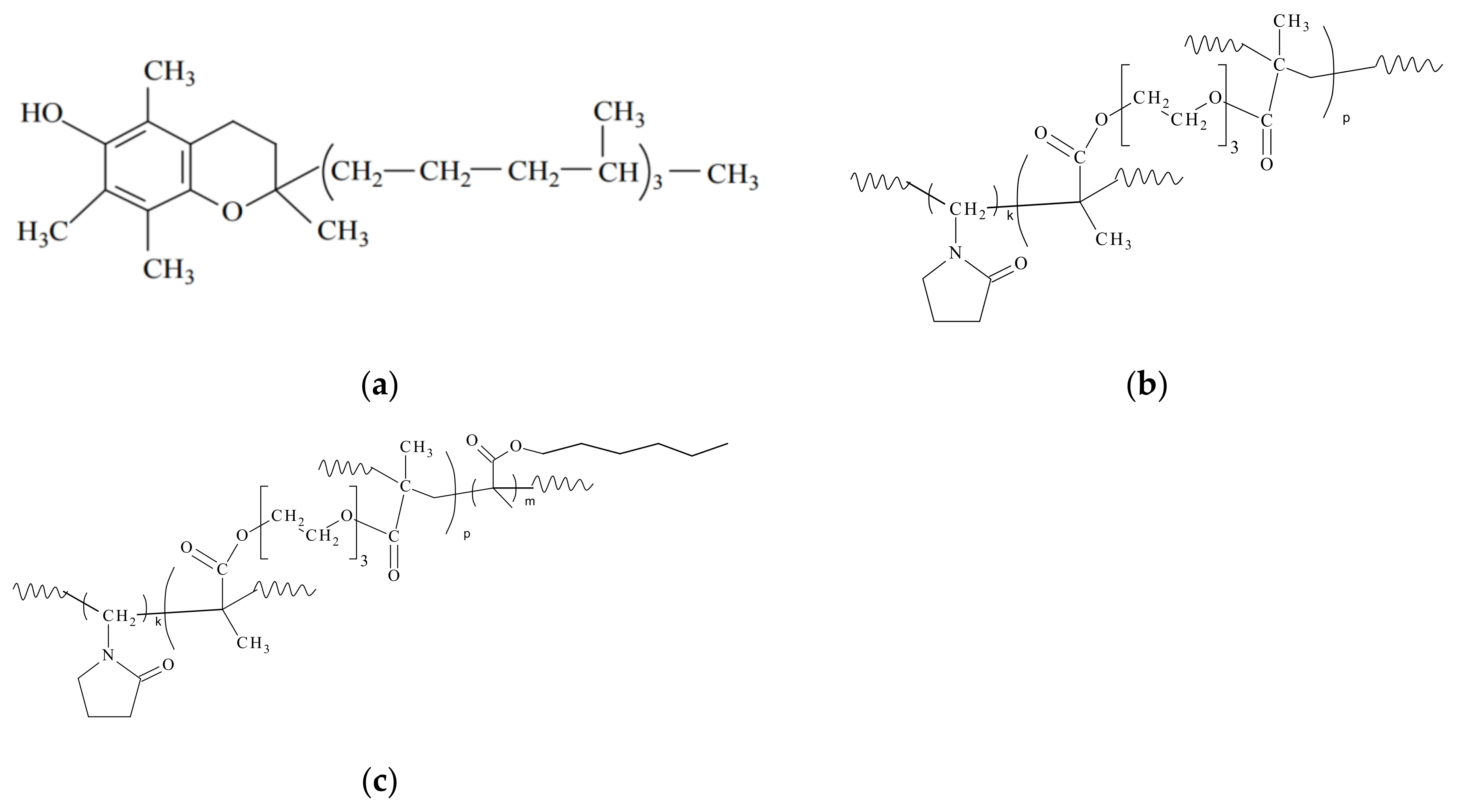
2.2. Synthesis of the Copolymers
2.3. The Method of TP Copolymer Compositions’ Formation
2.4. Elemental Analysis
2.5. Size Exclusion Chromatography
2.6. Dynamic Light Scattering
2.7. Electronic Absorption Spectroscopy
2.8. TEM Study of CPL2 and CPL1-TP, CPL2-TP
2.9. Quantum Chemical Calculations
2.10. Tissue Preparation
2.11. Luminol Chemiluminescence Assay
2.12. TBARS Assay
2.13. The Antiglycation Assay
2.14. Statistical Analysis
3. Results and Discussion
3.1. The VP Copolymer Parameters and Properties
3.2. Encapsulation TP in VP-Copolymer and Characterization of TP-NPs
3.3. Antioxidant Activity
3.3.1. TBARS Assay
3.3.2. Radical Scavenging Capacity in Luminol Chemiluminescence Assay
3.4. Antiglycation Activity
4. Conclusions
Supplementary Materials
Author Contributions
Funding
Institutional Review Board Statement
Informed Consent Statement
Data Availability Statement
Acknowledgments
Conflicts of Interest
References
- Liu, P.; Feng, Y.; Wang, Y.; Zhou, Y.; Zhao, L. Protective Effect of Vitamin E against Acute Kidney Injury. Biomed. Mater. Eng. 2015, 26, S2133–S2144. [Google Scholar] [CrossRef] [PubMed]
- Song, Q.; Liu, J.; Dong, L.; Wang, X.; Zhang, X. Novel Advances in Inhibiting Advanced Glycation End Product Formation Using Natural Compounds. Biomed. Pharmacother. 2021, 140, 111750. [Google Scholar] [CrossRef] [PubMed]
- Niki, E.; Traber, M.G. A History of Vitamin E. Ann. Nutr. Metab. 2012, 61, 207–212. [Google Scholar] [CrossRef] [PubMed]
- Niki, E. Lipid Oxidation That Is, and Is Not, Inhibited by Vitamin E: Consideration about Physiological Functions of Vitamin E. Free Radic. Biol. Med. 2021, 176, 1–15. [Google Scholar] [CrossRef] [PubMed]
- Singh, P.; Jayaramaiah, R.H.; Agawane, S.B.; Vannuruswamy, G.; Korwar, A.M.; Anand, A.; Dhaygude, V.S.; Shaikh, M.L.; Joshi, R.S.; Boppana, R.; et al. Potential Dual Role of Eugenol in Inhibiting Advanced Glycation End Products in Diabetes: Proteomic and Mechanistic Insights. Sci. Rep. 2016, 6, 18798. [Google Scholar] [CrossRef]
- Chang, C.-J.; Hsien, R.-H.; Wang, H.-F.; Chin, M.-Y.; Huang, S.-Y. Effects of Glucose and α-Tocopherol on Low-Density Lipoprotein Oxidation and Glycation. Ann. N. Y. Acad. Sci. 2005, 1042, 294–302. [Google Scholar] [CrossRef]
- Pazdro, R.; Burgess, J.R. Differential Effects of α-Tocopherol and N-Acetyl-Cysteine on Advanced Glycation End Product-Induced Oxidative Damage and Neurite Degeneration in SH-SY5Y Cells. Biochim. Biophys. Acta Mol. Basis Dis. 2012, 1822, 550–556. [Google Scholar] [CrossRef]
- Niki, E.; Noguchi, N. Dynamics of Antioxidant Action of Vitamin E. Acc. Chem. Res. 2004, 37, 45–51. [Google Scholar] [CrossRef]
- Ihara, Y.; Yamada, Y.; Toyokuni, S.; Miyawaki, K.; Ban, N.; Adachi, T.; Kuroe, A.; Iwakura, T.; Kubota, A.; Hiai, H.; et al. Antioxidant α-Tocopherol Ameliorates Glycemic Control of GK Rats, a Model of Type 2 Diabetes. FEBS Lett. 2000, 473, 24–26. [Google Scholar] [CrossRef]
- Je, H.D.; Shin, C.Y.; Park, H.S.; Huh, I.H.; Sohn, U.D. The Comparison of Vitamin C and Vitamin E on the Protein Oxidation of Diabetic Rats. J. Auton. Pharmacol. 2001, 21, 231–236. [Google Scholar] [CrossRef]
- Minamiyama, Y.; Takemura, S.; Bito, Y.; Shinkawa, H.; Tsukioka, T.; Nakahira, A.; Suehiro, S.; Okada, S. Supplementation of α -Tocopherol Improves Cardiovascular Risk Factors via the Insulin Signalling Pathway and Reduction of Mitochondrial Reactive Oxygen Species in Type II Diabetic Rats. Free Radic. Res. 2008, 42, 261–271. [Google Scholar] [CrossRef]
- Pazdro, R.; Burgess, J.R. The Role of Vitamin E and Oxidative Stress in Diabetes Complications. Mech. Ageing Dev. 2010, 131, 276–286. [Google Scholar] [CrossRef]
- Rafraf, M.; Bazyun, B.; Sarabchian, M.A.; Safaeiyan, A.; Gargari, B.P. Vitamin E Improves Serum Paraoxonase-1 Activity and Some Metabolic Factors in Patients with Type 2 Diabetes: No Effects on Nitrite/Nitrate Levels. J. Am. Coll. Nutr. 2016, 35, 521–528. [Google Scholar] [CrossRef]
- Manzella, D.; Barbieri, M.; Ragno, E.; Paolisso, G. Chronic Administration of Pharmacologic Doses of Vitamin E Improves the Cardiac Autonomic Nervous System in Patients with Type 2 Diabetes. Am. J. Clin. Nutr. 2001, 73, 1052–1057. [Google Scholar] [CrossRef]
- Fardoun, R.Z. The Use of Vitamin E in Type 2 Diabetes Mellitus. Clin. Exp. Hypertens. 2007, 29, 135–148. [Google Scholar] [CrossRef]
- Selvaraj, N.; Bobby, Z.; Sathiyapriya, V. Effect of Lipid Peroxides and Antioxidants on Glycation of Hemoglobin: An In Vitro Study on Human Erythrocytes. Clin. Chim. Acta 2006, 366, 190–195. [Google Scholar] [CrossRef]
- Schleicher, E.D.; Wagner, E.; Nerlich, A.G. Increased Accumulation of the Glycoxidation Product N(Epsilon)-(Carboxymethyl)Lysine in Human Tissues in Diabetes and Aging. J. Clin. Investig. 1997, 99, 457–468. [Google Scholar] [CrossRef]
- Traber, M.G. Vitamin E: Metabolism and Requirements. In Encyclopedia of Human Nutrition; Elsevier: Amsterdam, The Netherlands, 2013; pp. 383–389. [Google Scholar]
- Tarugi, P.; Averna, M. Hypobetalipoproteinemia: Genetics, Biochemistry, and Clinical Spectrum. Adv. Clin. Chem. 2011, 54, 81–107. [Google Scholar] [CrossRef]
- Cuerq, C.; Henin, E.; Restier, L.; Blond, E.; Drai, J.; Marçais, C.; Di Filippo, M.; Laveille, C.; Michalski, M.-C.; Poinsot, P.; et al. Efficacy of Two Vitamin E Formulations in Patients with Abetalipoproteinemia and Chylomicron Retention Disease. J. Lipid Res. 2018, 59, 1640–1648. [Google Scholar] [CrossRef]
- Singh, P.; Wu, L.; Ren, X.; Zhang, W.; Tang, Y.; Chen, Y.; Carrier, A.; Zhang, X.; Zhang, J. Hyaluronic-Acid-Based β-Cyclodextrin Grafted Copolymers as Biocompatible Supramolecular Hosts to Enhance the Water Solubility of Tocopherol. Int. J. Pharm. 2020, 586, 119542. [Google Scholar] [CrossRef]
- Guo, Y.; Luo, J.; Tan, S.; Otieno, B.O.; Zhang, Z. The Applications of Vitamin E TPGS in Drug Delivery. Eur. J. Pharm. Sci. 2013, 49, 175–186. [Google Scholar] [CrossRef] [PubMed]
- Chen, Y.; Feng, S.; Liu, W.; Yuan, Z.; Yin, P.; Gao, F. Vitamin E Succinate-Grafted-Chitosan Oligosaccharide/RGD-Conjugated TPGS Mixed Micelles Loaded with Paclitaxel for U87MG Tumor Therapy. Mol. Pharm. 2017, 14, 1190–1203. [Google Scholar] [CrossRef] [PubMed]
- Gao, M.; Deng, J.; Chu, H.; Tang, Y.; Wang, Z.; Zhao, Y.; Li, G. Stereoselective Stabilization of Polymeric Vitamin E Conjugate Micelles. Biomacromolecules 2017, 18, 4349–4356. [Google Scholar] [CrossRef] [PubMed]
- Hobson, R. Vitamin E and Wound Healing: An Evidence-Based Review. Int. Wound J. 2016, 13, 331–335. [Google Scholar] [CrossRef]
- Zuccari, G.; Alfei, S.; Zorzoli, A.; Marimpietri, D.; Turrini, F.; Baldassari, S.; Marchitto, L.; Caviglioli, G. Increased Water-Solubility and Maintained Antioxidant Power of Resveratrol by Its Encapsulation in Vitamin E TPGS Micelles: A Potential Nutritional Supplement for Chronic Liver Disease. Pharmaceutics 2021, 13, 1128. [Google Scholar] [CrossRef]
- Mu, L.; Feng, S. A Novel Controlled Release Formulation for the Anticancer Drug Paclitaxel (Taxol®): PLGA Nanoparticles Containing Vitamin E TPGS. J. Control. Release 2003, 86, 33–48. [Google Scholar] [CrossRef]
- Sheng, X.; Fan, L.; He, C.; Zhang, K.; Mo, X.; Wang, H. Vitamin E-Loaded Silk Fibroin Nanofibrous Mats Fabricated by Green Process for Skin Care Application. Int. J. Biol. Macromol. 2013, 56, 49–56. [Google Scholar] [CrossRef]
- Bramley, P.; Elmadfa, I.; Kafatos, A.; Kelly, F.; Manios, Y.; Roxborough, H.; Schuch, W.; Sheehy, P.; Wagner, K.-H. Vitamin E. J. Sci. Food Agric. 2000, 80, 913–938. [Google Scholar] [CrossRef]
- Yang, Y.; McClements, D.J. Vitamin E Bioaccessibility: Influence of Carrier Oil Type on Digestion and Release of Emulsified α-Tocopherol Acetate. Food Chem. 2013, 141, 473–481. [Google Scholar] [CrossRef]
- García, P.; Vega, J.; Jimenez, P.; Santos, J.; Robert, P. Alpha-tocopherol Microspheres with Cross-linked and Acetylated Inulin and Their Release Profile in a Hydrophilic Model. Eur. J. Lipid Sci. Technol. 2013, 115, 811–819. [Google Scholar] [CrossRef]
- Cheng, C.-C.; Chang, F.-C.; Kao, W.-Y.; Hwang, S.-M.; Liao, L.-C.; Chang, Y.-J.; Liang, M.-C.; Chen, J.-K.; Lee, D.-J. Highly Efficient Drug Delivery Systems Based on Functional Supramolecular Polymers: In Vitro Evaluation. Acta Biomater. 2016, 33, 194–202. [Google Scholar] [CrossRef]
- Jain, H.; Chella, N. Methods to Improve the Solubility of Therapeutical Natural Products: A Review. Environ. Chem. Lett. 2021, 19, 111–121. [Google Scholar] [CrossRef]
- Zhang, X.; Xing, H.; Zhao, Y.; Ma, Z. Pharmaceutical Dispersion Techniques for Dissolution and Bioavailability Enhancement of Poorly Water-Soluble Drugs. Pharmaceutics 2018, 10, 74. [Google Scholar] [CrossRef]
- Dima, Ş.; Dima, C.; Iordăchescu, G. Encapsulation of Functional Lipophilic Food and Drug Biocomponents. Food Eng. Rev. 2015, 7, 417–438. [Google Scholar] [CrossRef]
- Torchilin, V. Introduction. Nanocarriers for Drug Delivery: Needs and Requirements. In Nanoparticulates as Drug Carriers; Imperial College Press: London, UK, 2006; pp. 1–8. [Google Scholar]
- Kwon, G.S.; Forrest, M.L. Amphiphilic Block Copolymer Micelles for Nanoscale Drug Delivery. Drug Dev. Res. 2006, 67, 15–22. [Google Scholar] [CrossRef]
- Letchford, K.; Burt, H. A Review of the Formation and Classification of Amphiphilic Block Copolymer Nanoparticulate Structures: Micelles, Nanospheres, Nanocapsules and Polymersomes. Eur. J. Pharm. Biopharm. 2007, 65, 259–269. [Google Scholar] [CrossRef]
- Kurmaz, S.V.; Fadeeva, N.V.; Komendant, A.V.; Ignatiev, V.M.; Emelyanova, N.S.; Shilov, G.V.; Stupina, T.S.; Filatova, N.V.; Lapshina, M.A.; Terentyev, A.A. New Amphiphilic Terpolymers of N-Vinylpyrrolidone with Poly(Ethylene Glycol) Methyl Ether Methacrylate and Triethylene Glycol Dimethacrylate as Carriers of the Hydrophobic Fluorescent Dye. Polym. Bull. 2022, 79, 8905–8925. [Google Scholar] [CrossRef]
- Kurmaz, S.V.; Rudneva, T.N.; Sanina, N.A. New Nitric Oxide-Carrier Systems Based on an Amphiphilic Copolymer of N -Vinylpyrrolidone with Triethylene Glycol Dimethacrylate. Mendeleev Commun. 2018, 28, 73–75. [Google Scholar] [CrossRef]
- Faingol’d, I.I.; Lozhkin, A.D.; Smolina, A.V.; Soldatova, Y.V.; Obraztsova, N.A.; Kurmaz, S.V.; Romanova, V.S.; Shtol’ko, V.N.; Kotel’nikova, R.A. Membranotropic Properties of Fullerene-Containing Amphiphilic (Co)Polymers of N-Vinylpyrrolidone. Russ. Chem. Bull. 2018, 67, 800–805. [Google Scholar] [CrossRef]
- Kurmaz, S.V.; Fadeeva, N.V.; Fedorov, B.S.; Kozub, G.I.; Emel’yanova, N.S.; Kurmaz, V.A.; Manzhos, R.A.; Balakina, A.A.; Terentyev, A.A. New Antitumor Hybrid Materials Based on PtIV Organic Complex and Polymer Nanoparticles Consisting of N-Vinylpyrrolidone and (Di)Methacrylates. Mendeleev Commun. 2020, 30, 22–24. [Google Scholar] [CrossRef]
- Rybkin, A.Y.; Kurmaz, S.V.; Urakova, E.A.; Filatova, N.V.; Sizov, L.R.; Kozlov, A.V.; Koifman, M.O.; Goryachev, N.S. Nanoparticles of N-Vinylpyrrolidone Amphiphilic Copolymers and Pheophorbide a as Promising Photosensitizers for Photodynamic Therapy: Design, Properties and In Vitro Phototoxic Activity. Pharmaceutics 2023, 15, 273. [Google Scholar] [CrossRef] [PubMed]
- Kurmaz, S.V.; Obraztsova, N.A.; Balakina, A.A.; Terent’ev, A.A. Preparation of the Amphiphilic Copolymer of N-Vinylpyrrolidone with Triethylene Glycol Dimethacrylate Nanoparticles and the Study of Their Properties In Vitro. Russ. Chem. Bull. 2016, 65, 2097–2102. [Google Scholar] [CrossRef]
- Kurmaz, S.V.; Fadeeva, N.V.; Terentiev, A.A. Method for Obtaining Nanoscale Systems of Low Molecular Weight Biologically Active Compounds Based on Amphiphilic Copolymers of N-Vinylpyrrolidone with Branched (Di)Methacrylates for Cosmeceutical Applications. RF Patent No 2760274, 10 July 2020. [Google Scholar]
- Connors, K.A. Binding Constants: The Measurement of Molecular Complex Stability; John Wiley & Sons: New York, NY, USA, 1987. [Google Scholar]
- Todd, A.; Keith, T. Gristmill Software; Version 10.05.04; AIMAll: Overland Park, KS, USA, 2010. [Google Scholar]
- Espinosa, E.; Molins, E.; Lecomte, C. Hydrogen Bond Strengths Revealed by Topological Analyses of Experimentally Observed Electron Densities. Chem. Phys. Lett. 1998, 285, 170–173. [Google Scholar] [CrossRef]
- Lowry, O.; Rosebrough, N.J.; Farr, A.L.; Randall, R.J. Protein Measurement with the Folin Phenol Reagent. Biol. Chem. 1951, 193, 265–269. [Google Scholar] [CrossRef]
- Poletaeva, D.A.; Soldatova, Y.V.; Smolina, A.V.; Savushkin, M.A.; Klimanova, E.N.; Sanina, N.A.; Faingold, I.I. The Influence of Cationic Nitrosyl Iron Complex with Penicillamine Ligands on Model Membranes, Membrane-Bound Enzymes and Lipid Peroxidation. Membranes 2022, 12, 1088. [Google Scholar] [CrossRef]
- Soldatova, Y.V.; Zhilenkov, A.V.; Kraevaya, O.A.; Troshin, P.A.; Faingold, I.I.; Kotelnikova, R.A. Antioxidant and Antiglycation Activity of Pentaamino Acid Derivatives of C60 Fullerene. Nanotechnol. Russ. (Nanobiotechnol. Rep.) 2022, 17, 840–845. [Google Scholar] [CrossRef]
- Chen, Y.F.; Roan, H.Y.; Lii, C.K.; Huang, Y.C.; Wang, T.-S. Relationship between Antioxidant and Antiglycation Ability of Saponins, Polyphenols, and Polysaccharides in Chinese Herbal Medicines Used to Treat Diabetes. J. Med. Plants Res. 2011, 5, 2322–2331. [Google Scholar]
- Matsuura, N.; Aradate, T.; Sasaki, C.; Kojima, H.; Ohara, M.; Hasegawa, J.; Ubukata, M. Screening System for the Maillard Reaction Inhibitor from Natural Product Extracts. J. Health Sci. 2002, 48, 520–526. [Google Scholar] [CrossRef]
- Séro, L.; Sanguinet, L.; Blanchard, P.; Dang, B.; Morel, S.; Richomme, P.; Séraphin, D.; Derbré, S. Tuning a 96-Well Microtiter Plate Fluorescence-Based Assay to Identify AGE Inhibitors in Crude Plant Extracts. Molecules 2013, 18, 14320–14339. [Google Scholar] [CrossRef]
- Kurmaz, S.V.; Ignatiev, V.M.; Emel’yanova, N.S.; Kurmaz, V.A.; Konev, D.V.; Balakina, A.A.; Terentyev, A.A. New Nanosized Systems Doxorubicin—Amphiphilic Copolymers of N-Vinylpyrrolidone and (Di)Methacrylates with Antitumor Activity. Pharmaceutics 2022, 14, 2572. [Google Scholar] [CrossRef]
- Kurmaz, S.V.; Pyryaev, A.N. Synthesis of N-Vinyl-2-Pyrrolidone-Based Branched Copolymers via Crosslinking Free-Radical Copolymerization in the Presence of a Chain-Transfer Agent. Polym. Sci. Ser. B 2010, 52, 1–8. [Google Scholar] [CrossRef]
- Kurmaz, S.V.; Fadeeva, N.V.; Ignat’ev, V.M.; Kurmaz, V.A.; Kurochkin, S.A.; Emel’yanova, N.S. Structure and State of Water in Branched N-Vinylpyrrolidone Copolymers as Carriers of a Hydrophilic Biologically Active Compound. Molecules 2020, 25, 6015. [Google Scholar] [CrossRef]
- Zhou, Y.; Huang, W.; Liu, J.; Zhu, X.; Yan, D. Self-Assembly of Hyperbranched Polymers and Its Biomedical Applications. Adv. Mater. 2010, 22, 4567–4590. [Google Scholar] [CrossRef]
- Kurmaz, S.V.; Fadeeva, N.V.; Skripets, J.A.; Komendant, R.I.; Ignatiev, V.M.; Emel’yanova, N.S.; Soldatova, Y.V.; Faingold, I.I.; Poletaeva, D.A.; Kotelnikova, R.A. New Water-Soluble Forms of α-Tocopherol: Preparation and Study of Antioxidant Activity In Vitro. Mendeleev Commun. 2022, 32, 117–119. [Google Scholar] [CrossRef]
- Checheta, O.V.; Safonova, E.F.; Slivkin, A.I. Study of Hydrogen Bonds of α-Tocopherol IR Spectroscopy Method. Vestn. VGU 2010, 2, 164–167. (In Russian) [Google Scholar]
- Nadirov, N.K. Tocopherols and Their Use in Medicine and Agriculture; Nadirov, N.K., Emanuel, N.M., Evstigneeva, R.P., Eds.; Nauka: Moscow, Russia, 1991. (In Russian) [Google Scholar]
- Niki, E. Oxidant-Specific Biomarkers of Oxidative Stress. Association with Atherosclerosis and Implication for Antioxidant Effects. Free Radic. Biol. Med. 2018, 120, 425–440. [Google Scholar] [CrossRef]
- Traber, M.G. Vitamin E Regulatory Mechanisms. Annu. Rev. Nutr. 2007, 27, 347–362. [Google Scholar] [CrossRef]
- Vinson, J.A.; Howard, T.B. Inhibition of Protein Glycation and Advanced Glycation End Products by Ascorbic Acid and Other Vitamins and Nutrients. J. Nutr. Biochem. 1996, 7, 659–663. [Google Scholar] [CrossRef]

















| Copolymers | [VP]:[(di)methacrylate] /mol% | Mw, kDa | PD | CAC in Water/ mg mL−1 | Rh a in Water/nm 25 °C |
|---|---|---|---|---|---|
| CPL1 CPL2 | 95.3:4.7 96.6:3.4 | 34.9 33.7 | 1.3 1.3 | 2.8 0.3 | 4.4 ± 2.9; 77.2 ± 37.4 89.9 ± 14.5 |
| Compound | CPL1-TP | CPL2-TP | TP |
|---|---|---|---|
| IC50, µM | 9.7 ± 0.7 | 5.1 ± 0.5 | 10.6 ± 1.0 |
Disclaimer/Publisher’s Note: The statements, opinions and data contained in all publications are solely those of the individual author(s) and contributor(s) and not of MDPI and/or the editor(s). MDPI and/or the editor(s) disclaim responsibility for any injury to people or property resulting from any ideas, methods, instructions or products referred to in the content. |
© 2023 by the authors. Licensee MDPI, Basel, Switzerland. This article is an open access article distributed under the terms and conditions of the Creative Commons Attribution (CC BY) license (https://creativecommons.org/licenses/by/4.0/).
Share and Cite
Soldatova, Y.V.; Faingold, I.I.; Poletaeva, D.A.; Kozlov, A.V.; Emel’yanova, N.S.; Khodos, I.I.; Chernyaev, D.A.; Kurmaz, S.V. Design and Investigation of New Water-Soluble Forms of α-Tocopherol with Antioxidant and Antiglycation Activity Using Amphiphilic Copolymers of N-Vinylpyrrolidone. Pharmaceutics 2023, 15, 1388. https://doi.org/10.3390/pharmaceutics15051388
Soldatova YV, Faingold II, Poletaeva DA, Kozlov AV, Emel’yanova NS, Khodos II, Chernyaev DA, Kurmaz SV. Design and Investigation of New Water-Soluble Forms of α-Tocopherol with Antioxidant and Antiglycation Activity Using Amphiphilic Copolymers of N-Vinylpyrrolidone. Pharmaceutics. 2023; 15(5):1388. https://doi.org/10.3390/pharmaceutics15051388
Chicago/Turabian StyleSoldatova, Yuliya V., Irina I. Faingold, Darya A. Poletaeva, Alexei V. Kozlov, Nina S. Emel’yanova, Igor I. Khodos, Dmitry A. Chernyaev, and Svetlana V. Kurmaz. 2023. "Design and Investigation of New Water-Soluble Forms of α-Tocopherol with Antioxidant and Antiglycation Activity Using Amphiphilic Copolymers of N-Vinylpyrrolidone" Pharmaceutics 15, no. 5: 1388. https://doi.org/10.3390/pharmaceutics15051388
APA StyleSoldatova, Y. V., Faingold, I. I., Poletaeva, D. A., Kozlov, A. V., Emel’yanova, N. S., Khodos, I. I., Chernyaev, D. A., & Kurmaz, S. V. (2023). Design and Investigation of New Water-Soluble Forms of α-Tocopherol with Antioxidant and Antiglycation Activity Using Amphiphilic Copolymers of N-Vinylpyrrolidone. Pharmaceutics, 15(5), 1388. https://doi.org/10.3390/pharmaceutics15051388

