Effect of Ionic Liquid on Silver-Nanoparticle-Complexed Ganoderma applanatum and Its Topical Film Formulation
Abstract
1. Introduction
2. Materials and Methods
2.1. Preparation of G. applanatum Extract
2.2. Biosynthesis of Silver-Nanoparticle-Complexed G. applanatum
2.2.1. Particle Size
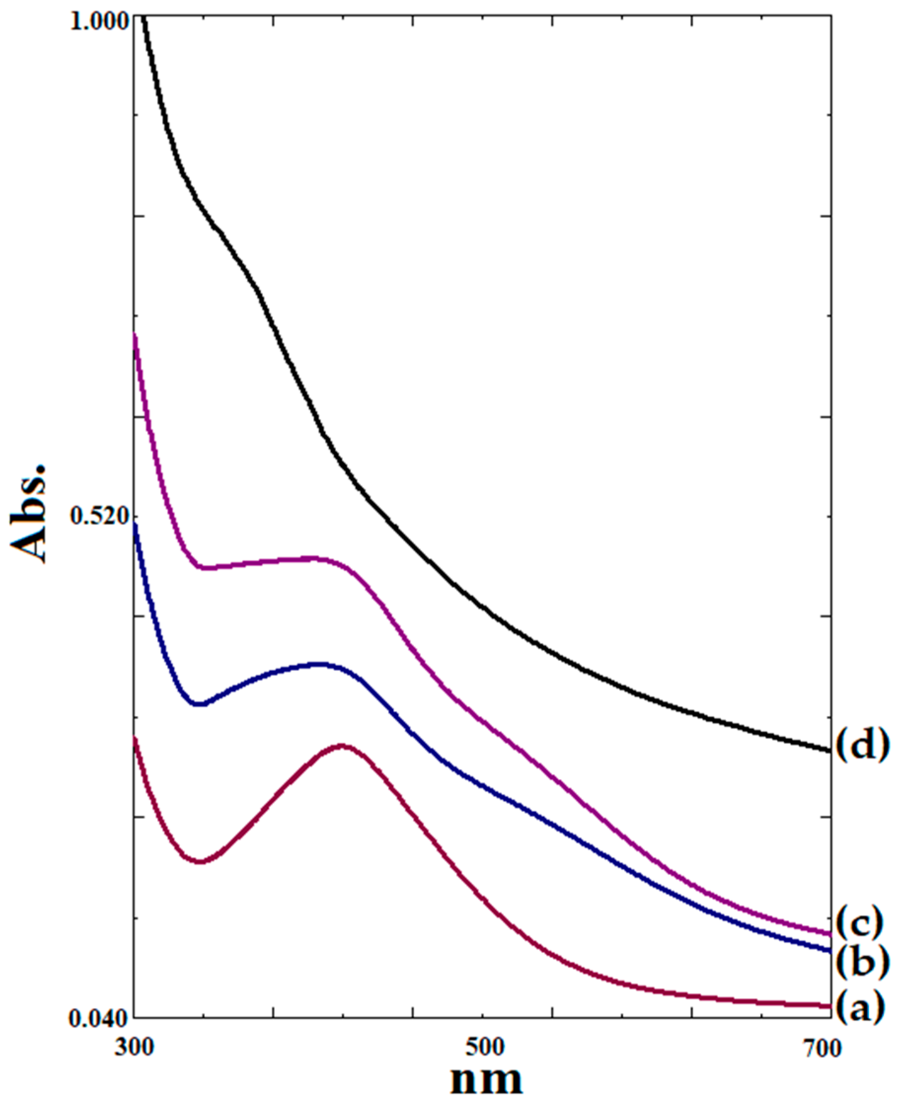
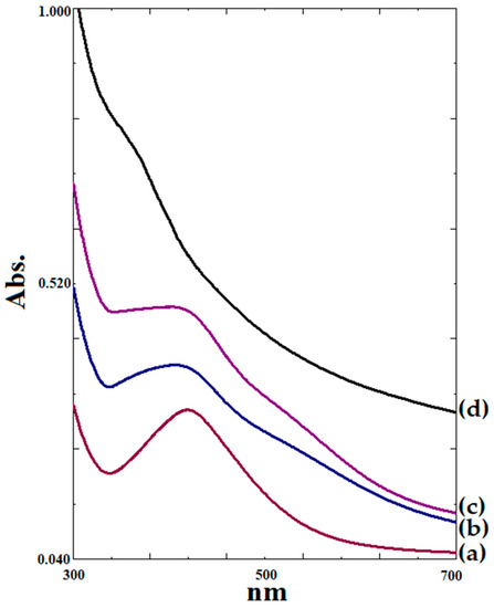
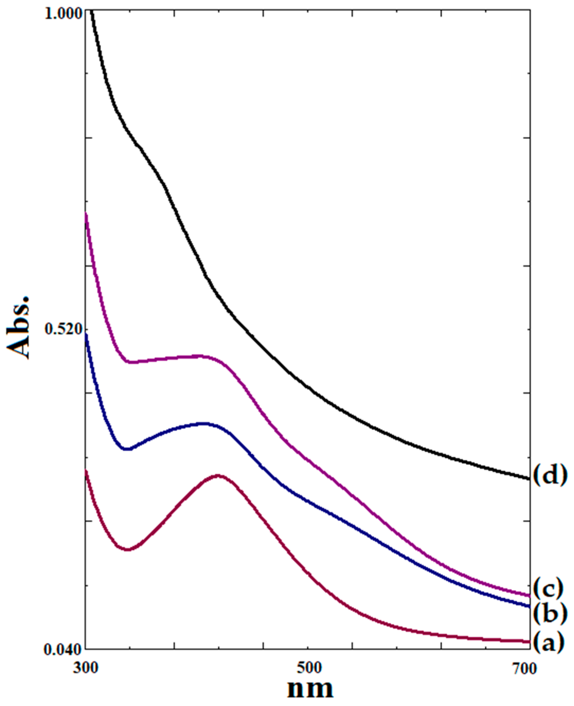
2.2.2. UV–Vis Spectra
2.2.3. Antioxidant Activity Assay
2.2.4. SEM and TEM
2.3. Preparation of Topical Film Loaded with Silver-Nanoparticle-Complexed G. applanatum
2.3.1. Characterization of Topical Film Loaded with Silver-Nanoparticle-Complexed G. applanatum
Folding Endurance
FTIR Spectrum
DSC
TGA
XRD
SEM
2.3.2. Determination of the Content of Silver-Nanoparticle-Complexed G. applanatum in Topical Film
2.3.3. In Vitro Release of Silver-Nanoparticle-Complexed G. applanatum from Topical Film
2.3.4. Kinetic Models
2.3.5. In Vitro Permeation of Silver-Nanoparticle-Complexed G. applanatum from Topical Film
3. Results and Discussion
3.1. Optimization of Composition and Preparation Conditions of Silver-Nanoparticle-Complexed G. applanatum
3.1.1. UV–Vis Spectra
3.1.2. Antioxidant Activity Assay
3.1.3. SEM
3.2. Preparation of Topical Film Loaded with Silver-Nanoparticle-Complexed G. applanatum
3.2.1. Characterization of Topical Film Loaded with Silver-Nanoparticle-Complexed G. applanatum
Folding Endurance
FTIR Spectrum
DSC
TGA
XRD
SEM
3.2.2. Determination of the Content of Silver-Nanoparticle-Complexed G. applanatum in Topical Film
3.2.3. In Vitro Release of Silver-Nanoparticle-Complexed G. applanatum from Topical Film
3.2.4. Kinetic Models
3.2.5. In Vitro Permeation of Silver-Nanoparticle-Complexed G. applanatum from Topical Film
4. Conclusions
Author Contributions
Funding
Institutional Review Board Statement
Informed Consent Statement
Data Availability Statement
Acknowledgments
Conflicts of Interest
References
- Sharma, V.K.; Yngard, R.A.; Lin, Y. Silver nanoparticles: Green synthesis and their antimicrobial activities. Adv. Colloid Interface Sci. 2009, 145, 83–96. [Google Scholar] [CrossRef] [PubMed]
- Beyene, H.D.; Werkneh, A.A.; Bezabh, H.K.; Ambaye, T.G. Synthesis paradigm and applications of silver nanoparticles (AgNPs), a review. Sustain. Mater. Technol. 2017, 13, 18–23. [Google Scholar] [CrossRef]
- Tsivileva, O.; Pankratov, A.; Misin, V.; Zavyalov, A.; Volkov, V.; Tsymbal, O.; Yurasov, N.; Nikitina, V.E. Antioxidant properties of the artist’s conk medicinal mushroom, Ganoderma applanatum (Agaricomycetes), upon cultivation with para-substituted phenolic compounds and tea leaf extracts. Int. J. Med. Mushrooms 2018, 20, 549–560. [Google Scholar] [CrossRef] [PubMed]
- Elkhateeb, W.; Daba, G.; El-Dein, A.; Sheir, D.; Fayad, W.; Shaheen, M.; Elmahdy, E.; Wen, T.-C. Insights into the in-vitro hypocholesterolemic, antioxidant, antirotavirus, and anticolon cancer activities of the methanolic extracts of a Japanese lichen, Candelariella vitellina, and a Japanese mushroom, Ganoderma applanatum. Egypt. Pharm. J. 2020, 19, 67–73. [Google Scholar] [CrossRef]
- Mohammadifar, S.; Fallahi Gharaghoz, S.; Asef Shayan, M.R.; Vaziri, A. Comparison between antioxidant activity and bioactive compounds of Ganoderma applanatum (Pers.) Pat. and Ganoderma lucidum (Curt.) P. Karst from Iran. Iran. J. Plant Physiol. 2020, 11, 3417–3424. [Google Scholar] [CrossRef]
- Jogaiah, S.; Kurjogi, M.; Abdelrahman, M.; Hanumanthappa, N.; Tran, L.-S.P. Ganoderma applanatum-mediated green synthesis of silver nanoparticles: Structural characterization, and in vitro and in vivo biomedical and agrochemical properties. Arab. J. Chem. 2019, 12, 1108–1120. [Google Scholar] [CrossRef]
- Jeong, Y.-T.; Yang, B.-K.; Jeong, S.-C.; Kim, S.-M.; Song, C.-H. Ganoderma applanatum: A promising mushroom for antitumor and immunomodulating activity. Phytother. Res. 2008, 22, 614–619. [Google Scholar] [CrossRef]
- Sun, X.; Zhao, C.; Pan, W.; Wang, J.; Wang, W. Carboxylate groups play a major role in antitumor activity of Ganoderma applanatum polysaccharide. Carbohydr. Polym. 2015, 123, 283–287. [Google Scholar] [CrossRef]
- Elkhateeb, W.A.; Zaghlol, G.M.; El-Garawani, I.M.; Ahmed, E.F.; Rateb, M.E.; Abdel Moneim, A.E. Ganoderma applanatum secondary metabolites induced apoptosis through different pathways: In vivo and in vitro anticancer studies. Biomed. Pharmacother. 2018, 101, 264–277. [Google Scholar] [CrossRef]
- Suksaeree, J.; Thuengernthong, A.; Pongpichayasiri, K.; Maneewattanapinyo, P.; Settharaksa, S.; Pichayakorn, W. Formulation and evaluation of matrix type transdermal patch containing silver nanoparticles. J. Polym. Environ. 2018, 26, 4369–4375. [Google Scholar] [CrossRef]
- Qin, Y.; Xiong, L.; Li, M.; Liu, J.; Wu, H.; Qiu, H.; Mu, H.; Xu, X.; Sun, Q. Preparation of bioactive polysaccharide nanoparticles with enhanced radical scavenging activity and antimicrobial activity. J. Agric. Food Chem. 2018, 66, 4373–4383. [Google Scholar] [CrossRef] [PubMed]
- Vijayan, R.; Joseph, S.; Mathew, B. Eco-friendly synthesis of silver and gold nanoparticles with enhanced antimicrobial, antioxidant, and catalytic activities. IET Nanobiotechnol. 2018, 12, 850–856. [Google Scholar] [CrossRef] [PubMed]
- Ali, M.K.; Moshikur, R.M.; Wakabayashi, R.; Moniruzzaman, M.; Kamiya, N.; Goto, M. Biocompatible ionic liquid surfactant-based microemulsion as a potential carrier for sparingly soluble drugs. ACS Sustain. Chem. Eng. 2020, 8, 6263–6272. [Google Scholar] [CrossRef]
- Zhuang, W.; Hachem, K.; Bokov, D.; Javed Ansari, M.; Taghvaie Nakhjiri, A. Ionic liquids in pharmaceutical industry: A systematic review on applications and future perspectives. J. Mol. Liq. 2022, 349, 118145. [Google Scholar] [CrossRef]
- Kubota, K.; Shibata, A.; Yamaguchi, T. The molecular assembly of the ionic liquid/aliphatic carboxylic acid/aliphatic amine as effective and safety transdermal permeation enhancers. Eur. J. Pharm. Sci. 2016, 86, 75–83. [Google Scholar] [CrossRef] [PubMed]
- Zakrewsky, M.; Mitragotri, S. Therapeutic RNAi robed with ionic liquid moieties as a simple, scalable prodrug platform for treating skin disease. J. Control. Release 2016, 242, 80–88. [Google Scholar] [CrossRef] [PubMed]
- Park, H.J.; Prausnitz, M.R. Lidocaine-ibuprofen ionic liquid for dermal anesthesia. AIChE J. 2015, 61, 2732–2738. [Google Scholar] [CrossRef]
- Wang, C.; Zhu, J.; Zhang, D.; Yang, Y.; Zheng, L.; Qu, Y.; Yang, X.; Cui, X. Ionic liquid—Microemulsions assisting in the transdermal delivery of Dencichine: Preparation, in-vitro and in-vivo evaluations, and investigation of the permeation mechanism. Int. J. Pharm. 2018, 535, 120–131. [Google Scholar] [CrossRef]
- Monti, D.; Egiziano, E.; Burgalassi, S.; Chetoni, P.; Chiappe, C.; Sanzone, A.; Tampucci, S. Ionic liquids as potential enhancers for transdermal drug delivery. Int. J. Pharm. 2017, 516, 45–51. [Google Scholar] [CrossRef] [PubMed]
- Dobler, D.; Schmidts, T.; Klingenhöfer, I.; Runkel, F. Ionic liquids as ingredients in topical drug delivery systems. Int. J. Pharm. 2013, 441, 620–627. [Google Scholar] [CrossRef]
- Priyanka, K.; Kumar, G.; Uttam Singh, B. Novel herbal topical patch containing Curcumin and Arnica montana for the treatment of osteoarthritis. Curr. Rheumatol. Rev. 2020, 16, 43–60. [Google Scholar] [CrossRef]
- Dandapat, S.; Kumar, M.; Ranjan, R.; Sinha, M.P. Ganoderma applanatum extract mediated synthesis of silver nanoparticles. Braz. J. Pharm. Sci. 2022, 58, e19173. [Google Scholar] [CrossRef]
- Li, M.-X.; Bai, X.; Ma, Y.-P.; Zhang, H.-X.; Nama, N.; Pei, S.-J.; Du, Z.-Z. Cosmetic potentials of extracts and compounds from Zingiber cassumunar Roxb. rhizome. Ind. Crops Prod. 2019, 141, 111764. [Google Scholar] [CrossRef]
- Pichayakorn, W.; Monton, C.; Sampaopan, Y.; Panrat, K.; Suksaeree, J. Fabrication and characterization of buccal film loaded self-emulsifying drug delivery system containing Lysiphyllum strychnifolium stem extracts. AAPS PharmSciTech 2022, 23, 194. [Google Scholar] [CrossRef]
- Pichayakorn, W.; Maneewattanapinyo, P.; Panrat, K.; Monton, C.; Suksaeree, J. Formulation design of oral strip-films based on PVA/PVP polymer blends for nicotine delivery. J. Polym. Environ. 2022, 30, 4479–4491. [Google Scholar] [CrossRef]
- Zhang, Y.; Huo, M.; Zhou, J.; Zou, A.; Li, W.; Yao, C.; Xie, S. DDSolver: An add-in program for modeling and comparison of drug dissolution profiles. AAPS J. 2010, 12, 263–271. [Google Scholar] [CrossRef] [PubMed]
- Costa, S.; Barroso, M.; Castañera, A.; Dias, M. Design of experiments, a powerful tool for method development in forensic toxicology: Application to the optimization of urinary morphine 3-glucuronide acid hydrolysis. Anal. Bioanal. Chem. 2010, 396, 2533–2542. [Google Scholar] [CrossRef] [PubMed]
- Quester, K.; Ávalos Borja, M.; Castro Longoria, E. Controllable biosynthesis of small silver nanoparticles using fungal extract. J. Biomat. Nanobiotechnol. 2016, 7, 118–125. [Google Scholar] [CrossRef]
- Li, X.; Xu, H.; Chen, Z.-S.; Chen, G. Biosynthesis of nanoparticles by microorganisms and their applications. J. Nanomater. 2011, 2011, 270974. [Google Scholar] [CrossRef]
- Rahi, D.K.; Madhurika, B. Biosynthesis of silver nanoparticles by Ganoderma applanatum, evaluation of their antibacterial and antibiotic activity enhancing potential. World J. Pharma. Pharm. 2015, 4, 1234–1247. [Google Scholar]
- Ullah, H.; Wilfred, C.D.; Shaharun, M.S. Synthesis of silver nanoparticles using ionic-liquid-based microwave-assisted extraction from Polygonum minus and photodegradation of methylene blue. J. Chin. Chem. Soc. 2017, 64, 1164–1171. [Google Scholar] [CrossRef]
- Dong, Y.; Zhu, H.; Shen, Y.; Zhang, W.; Zhang, L. Antibacterial activity of silver nanoparticles of different particle size against Vibrio Natriegens. PLoS ONE 2019, 14, e0222322. [Google Scholar] [CrossRef] [PubMed]
- Jyoti, K.; Baunthiyal, M.; Singh, A. Characterization of silver nanoparticles synthesized using Urtica dioica Linn. leaves and their synergistic effects with antibiotics. J. Rad. Res. Appl. Sci. 2016, 9, 217–227. [Google Scholar] [CrossRef]
- Menéndez-Manjón, A.; Chichkov, B.N.; Barcikowski, S. Influence of water temperature on the hydrodynamic diameter of gold nanoparticles from laser ablation. J. Phys. Chem. C 2010, 114, 2499–2504. [Google Scholar] [CrossRef]
- Alsofany, J.M.; Hamza, M.Y.; Abdelbary, A.A. Fabrication of nanosuspension directly loaded fast-dissolving films for enhanced oral bioavailability of olmesartan medoxomil: In vitro characterization and pharmacokinetic evaluation in healthy human volunteers. AAPS PharmSciTech 2018, 19, 2118–2132. [Google Scholar] [CrossRef]
- Singh, S.; Bharti, A.; Meena, V.K. Structural, thermal, zeta potential and electrical properties of disaccharide reduced silver nanoparticles. J. Mater. Sci. Mater. Electron. 2014, 25, 3747–3752. [Google Scholar] [CrossRef]
- Djerahov, L.; Vasileva, P.; Karadjova, I.; Kurakalva, R.M.; Aradhi, K.K. Chitosan film loaded with silver nanoparticles—Sorbent for solid phase extraction of Al(III), Cd(II), Cu(II), Co(II), Fe(III), Ni(II), Pb(II) and Zn(II). Carbohydr. Polym. 2016, 147, 45–52. [Google Scholar] [CrossRef]
- Monton, C.; Sampaopan, Y.; Pichayakorn, W.; Panrat, K.; Suksaeree, J. Herbal transdermal patches made from optimized polyvinyl alcohol blended film: Herbal extraction process, film properties, and in vitro study. J. Drug Deliv. Sci. Technol. 2022, 69, 103170. [Google Scholar] [CrossRef]
- Suksaeree, J.; Waiprib, R.; Pichayakorn, W. Improving the hydrophilic properties of deproteinized natural rubber latex films for lidocaine transdermal patches by starch blending. J. Polym. Environ. 2022, 30, 1574–1586. [Google Scholar] [CrossRef]
- Fu, Y.; Kao, W.J. Drug release kinetics and transport mechanisms of non-degradable and degradable polymeric delivery systems. Expert Opin. Drug Deliv. 2010, 7, 429–444. [Google Scholar] [CrossRef]
- Olejnik, A.; Kapuscinska, A.; Schroeder, G.; Nowak, I. Physico-chemical characterization of formulations containing endomorphin-2 derivatives. Amino Acids 2017, 49, 1719–1731. [Google Scholar] [CrossRef] [PubMed]
- Dhar, S.; Murawala, P.; Shiras, A.; Pokharkar, V.; Prasad, B.L.V. Gellan gum capped silver nanoparticle dispersions and hydrogels: Cytotoxicity and in vitro diffusion studies. Nanoscale 2012, 4, 563–567. [Google Scholar] [CrossRef] [PubMed]
- Sampaopan, Y.; Suksaeree, J. Formulation development and pharmaceutical evaluation of Lysiphyllum strychnifolium topical patches for their anti-inflammatory potential. AAPS PharmSciTech 2022, 23, 116. [Google Scholar] [CrossRef]
- Larese, F.F.; D’Agostin, F.; Crosera, M.; Adami, G.; Renzi, N.; Bovenzi, M.; Maina, G. Human skin penetration of silver nanoparticles through intact and damaged skin. Toxicology 2009, 255, 33–37. [Google Scholar] [CrossRef]
- Baroli, B.; Ennas, M.G.; Loffredo, F.; Isola, M.; Pinna, R.; Arturo López-Quintela, M. Penetration of metallic nanoparticles in human full-thickness skin. J. Investig. Dermatol. 2007, 127, 1701–1712. [Google Scholar] [CrossRef]
- Miwa, Y.; Hamamoto, H.; Ishida, T. Lidocaine self-sacrificially improves the skin permeation of the acidic and poorly water-soluble drug etodolac via its transformation into an ionic liquid. Eur. J. Pharm. Biopharm. 2016, 102, 92–100. [Google Scholar] [CrossRef] [PubMed]
- Marrucho, I.; Branco, L.; Rebelo, L. Ionic liquids in pharmaceutical applications. Annu. Rev. Chem. Biomol. Eng. 2014, 5, 527–546. [Google Scholar] [CrossRef]
- Tanner, E.E.L.; Ibsen, K.N.; Mitragotri, S. Transdermal insulin delivery using choline-based ionic liquids (CAGE). J. Control. Release 2018, 286, 137–144. [Google Scholar] [CrossRef]
- Wu, X.; Chen, Z.; Li, Y.; Yu, Q.; Lu, Y.; Zhu, Q.; Li, Y.; An, D.; Qi, J.; Wu, W. Improving dermal delivery of hydrophilic macromolecules by biocompatible ionic liquid based on choline and malic acid. Int. J. Pharm. 2019, 558, 380–387. [Google Scholar] [CrossRef]
















| Sample | Silver Nanoparticles | G. applanatum Extract | Ionic Liquid |
|---|---|---|---|
| (X1) | (X2) | (X3) | |
| 1.1 | 91 | 1 | 4 |
| 1.2 | 97 | 1 | 4 |
| 1.3 | 91 | 3 | 4 |
| 1.4 | 97 | 3 | 4 |
| 1.5 | 91 | 2 | 2 |
| 1.6 | 97 | 2 | 2 |
| 1.7 | 91 | 2 | 6 |
| 1.8 | 97 | 2 | 6 |
| 1.9 | 94 | 1 | 2 |
| 1.10 | 94 | 3 | 2 |
| 1.11 | 94 | 1 | 6 |
| 1.12 | 94 | 3 | 6 |
| 1.13 | 94 | 2 | 4 |
| Sample | Temperature (°C) | Time (h) |
|---|---|---|
| (X4) | (X5) | |
| 2.1 | 40 | 1 |
| 2.2 | 40 | 2 |
| 2.3 | 40 | 3 |
| 2.4 | 60 | 1 |
| 2.5 | 60 | 2 |
| 2.6 | 60 | 3 |
| 2.7 | 80 | 1 |
| 2.8 | 80 | 2 |
| 2.9 | 80 | 3 |
| Wavenumber (cm−1) | Peak Assignment |
|---|---|
| Silver-nanoparticle-complexed G. applanatum | |
| 3444 | O–H stretching in alcohol and phenol and N–H stretching in primary and secondary amide |
| 2923 | C–H stretching |
| 1642 | C=N stretching in amide and C=O stretching in an unsaturated aromatic carboxylic acid |
| 1457 | C=O and N–O stretching in ester and nitro groups |
| 1377 | C–O stretching in an aromatic compound |
| 1024 | C–F stretching in fluroalkanes |
| 936 | C=C stretching in alkanes and O–H stretching |
| Blank film | |
| 3309 | O–H stretching |
| 2938, 2892 | C–H stretching |
| 1730 | C=O stretching in ester |
| 1443 | C–H bending |
| 1241 | C–O stretching or –O–CH2–C |
| 1110 | C–C stretching and C–H bending |
| 1036 | C–O stretching and C–H bending |
| 848 | O–H bending |
| R2 | n | Release Rate (KH) * (%/) | |||
|---|---|---|---|---|---|
| Zero Order | First Order | Higuchi | Korsmeyer–Peppas | ||
| Silver-nanoparticle-complexed G. applanatum from the solution | 0.9651 | 0.9899 | 0.9909 | - | 69.254 ± 7.566 |
| Silver-nanoparticle-complexed G. applanatum from the topical film | 0.9379 | 0.9923 | 0.9932 | 0.440 | 30.942 ± 2.444 |
| Silver-nanoparticle-complexed G. applanatum from the topical film (without ionic liquid) | 0.9326 | 0.9876 | 0.9886 | 0.478 | 30.060 ± 2.757 |
Disclaimer/Publisher’s Note: The statements, opinions and data contained in all publications are solely those of the individual author(s) and contributor(s) and not of MDPI and/or the editor(s). MDPI and/or the editor(s) disclaim responsibility for any injury to people or property resulting from any ideas, methods, instructions or products referred to in the content. |
© 2023 by the authors. Licensee MDPI, Basel, Switzerland. This article is an open access article distributed under the terms and conditions of the Creative Commons Attribution (CC BY) license (https://creativecommons.org/licenses/by/4.0/).
Share and Cite
Maneewattanapinyo, P.; Pichayakorn, W.; Monton, C.; Dangmanee, N.; Wunnakup, T.; Suksaeree, J. Effect of Ionic Liquid on Silver-Nanoparticle-Complexed Ganoderma applanatum and Its Topical Film Formulation. Pharmaceutics 2023, 15, 1098. https://doi.org/10.3390/pharmaceutics15041098
Maneewattanapinyo P, Pichayakorn W, Monton C, Dangmanee N, Wunnakup T, Suksaeree J. Effect of Ionic Liquid on Silver-Nanoparticle-Complexed Ganoderma applanatum and Its Topical Film Formulation. Pharmaceutics. 2023; 15(4):1098. https://doi.org/10.3390/pharmaceutics15041098
Chicago/Turabian StyleManeewattanapinyo, Pattwat, Wiwat Pichayakorn, Chaowalit Monton, Nattakan Dangmanee, Thaniya Wunnakup, and Jirapornchai Suksaeree. 2023. "Effect of Ionic Liquid on Silver-Nanoparticle-Complexed Ganoderma applanatum and Its Topical Film Formulation" Pharmaceutics 15, no. 4: 1098. https://doi.org/10.3390/pharmaceutics15041098
APA StyleManeewattanapinyo, P., Pichayakorn, W., Monton, C., Dangmanee, N., Wunnakup, T., & Suksaeree, J. (2023). Effect of Ionic Liquid on Silver-Nanoparticle-Complexed Ganoderma applanatum and Its Topical Film Formulation. Pharmaceutics, 15(4), 1098. https://doi.org/10.3390/pharmaceutics15041098

