Ornidazole Transfer into Colostrum and Assessment of Exposure Risk for Breastfeeding Infant: A Population Pharmacokinetic Analysis
Abstract
:1. Introduction
2. Materials and Methods
2.1. Patients and Study Design
2.2. Analytical Methods
2.3. Pharmacokinetic Modeling
2.4. Model Evaluation
2.5. Simulation and Calculation
3. Results
3.1. Patients’ Characteristics
3.2. Population Pharmacokinetic Analysis
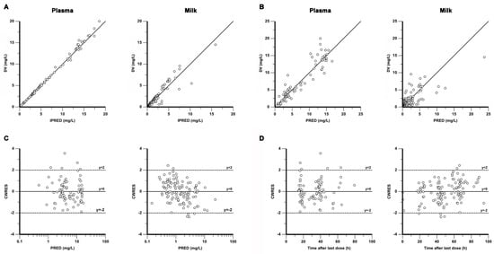
3.3. Model Evaluation
3.4. Simulation and Calculation
4. Discussion
5. Conclusions
Supplementary Materials
Author Contributions
Funding
Institutional Review Board Statement
Informed Consent Statement
Data Availability Statement
Acknowledgments
Conflicts of Interest
References
- Ballard, O.; Morrow, A.L. Human milk composition: Nutrients and bioactive factors. Pediatr. Clin. N. Am. 2013, 60, 49–74. [Google Scholar] [CrossRef] [PubMed]
- Mosca, F.; Giannì, M.L. Human milk: Composition and health benefits. Pediatr. Med. Chir. 2017, 39, 155. [Google Scholar] [CrossRef]
- Protecting, promoting and supporting breastfeeding: The special role of maternity services. A joint WHO/UNICEF statement. Int. J. Gynaecol. Obstet. 1990, 31 (Suppl. 1), 171–183. [CrossRef]
- Raether, W.; Hänel, H. Nitroheterocyclic drugs with broad spectrum activity. Parasitol. Res. 2003, 90 (Suppl. 1), S19–S39. [Google Scholar] [CrossRef]
- Andersson, K.E. Pharmacokinetics of nitroimidazoles. Spectrum of adverse reactions. Scand. J. Infect. Dis. Suppl. 1981, 26, 60–67. [Google Scholar]
- Lamp, K.C.; Freeman, C.D.; Klutman, N.E.; Lacy, M.K. Pharmacokinetics and pharmacodynamics of the nitroimidazole antimicrobials. Clin. Pharmacokinet. 1999, 36, 353–373. [Google Scholar] [CrossRef]
- Schwartz, D.E.; Jeunet, F. Comparative pharmacokinetic studies of ornidazole and metronidazole in man. Chemotherapy 1976, 22, 19–29. [Google Scholar] [CrossRef] [PubMed]
- Jokipii, L.; Jokipii, A.M. Treatment of giardiasis: Comparative evaluation of ornidazole and tinidazole as a single oral dose. Gastroenterology 1982, 83, 399–404. [Google Scholar] [CrossRef] [PubMed]
- Du, J.; You, T.; Chen, X.; Zhong, D. Stereoselective glucuronidation of ornidazole in humans: Predominant contribution of UDP-glucuronosyltransferases 1A9 and 2B7. Drug Metab. Dispos. 2013, 41, 1306–1318. [Google Scholar] [CrossRef] [PubMed]
- Schwartz, D.E.; Jordan, J.C.; Vetter, W.; Oesterhelt, G. Metabolic studies of ornidazole in the rat, in the dog and in man. Xenobiotica 1979, 9, 571–581. [Google Scholar] [CrossRef] [PubMed]
- Erickson, S.H.; Oppenheim, G.L.; Smith, G.H. Metronidazole in breast milk. Obstet. Gynecol. 1981, 57, 48–50. [Google Scholar] [PubMed]
- Verstegen, R.H.J.; Anderson, P.O.; Ito, S. Infant drug exposure via breast milk. Br. J. Clin. Pharmacol. 2022, 88, 4311–4327. [Google Scholar] [CrossRef]
- Verstegen, R.H.J.; Ito, S. Drugs in lactation. J. Obstet. Gynaecol. Res. 2019, 45, 522–531. [Google Scholar] [CrossRef]
- Clowse, M.E.; Förger, F.; Hwang, C.; Thorp, J.; Dolhain, R.J.; van Tubergen, A.; Shaughnessy, L.; Simpson, J.; Teil, M.; Toublanc, N.; et al. Minimal to no transfer of certolizumab pegol into breast milk: Results from CRADLE, a prospective, postmarketing, multicentre, pharmacokinetic study. Ann. Rheum. Dis. 2017, 76, 1890–1896. [Google Scholar] [CrossRef] [PubMed]
- Ito, S.; Lee, A. Drug excretion into breast milk—Overview. Adv. Drug Deliv. Rev. 2003, 55, 617–627. [Google Scholar] [CrossRef] [PubMed]
- Van Wattum, J.J.; Leferink, T.M.; Wilffert, B.; Ter Horst, P.G.J. Antibiotics and lactation: An overview of relative infant doses and a systematic assessment of clinical studies. Basic Clin. Pharmacol. Toxicol. 2019, 124, 5–17. [Google Scholar] [CrossRef] [PubMed]
- Evaldson, G.R.; Lindgren, S.; Nord, C.E.; Rane, A.T. Tinidazole milk excretion and pharmacokinetics in lactating women. Br. J. Clin. Pharmacol. 1985, 19, 503–507. [Google Scholar] [CrossRef]
- Heisterberg, L.; Branebjerg, P.E. Blood and milk concentrations of metronidazole in mothers and infants. J. Perinat. Med. 1983, 11, 114–120. [Google Scholar] [CrossRef] [PubMed]
- Passmore, C.M.; McElnay, J.C.; Rainey, E.A.; D'Arcy, P.F. Metronidazole excretion in human milk and its effect on the suckling neonate. Br. J. Clin. Pharmacol. 1988, 26, 45–51. [Google Scholar] [CrossRef] [PubMed]
- Moltó-Puigmartí, C.; Castellote, A.I.; Carbonell-Estrany, X.; López-Sabater, M.C. Differences in fat content and fatty acid proportions among colostrum, transitional, and mature milk from women delivering very preterm, preterm, and term infants. Clin. Nutr. 2011, 30, 116–123. [Google Scholar] [CrossRef]
- Baltrusaitis, K.; Makanani, B.; Tierney, C.; Fowler, M.G.; Moodley, D.; Theron, G.; Nyakudya, L.H.; Tomu, M.; Fairlie, L.; George, K.; et al. Maternal and infant renal safety following tenofovir disoproxil fumarate exposure during pregnancy in a randomized control trial. BMC Infect. Dis. 2022, 22, 634. [Google Scholar] [CrossRef]
- Quadri, K.H.; Bernardini, J.; Greenberg, A.; Laifer, S.; Syed, A.; Holley, J.L. Assessment of renal function during pregnancy using a random urine protein to creatinine ratio and Cockcroft-Gault formula. Am. J. Kidney Dis. 1994, 24, 416–420. [Google Scholar] [CrossRef]
- Sachs, H.C. The transfer of drugs and therapeutics into human breast milk: An update on selected topics. Pediatrics 2013, 132, e796–e809. [Google Scholar] [CrossRef]
- Yeung, C.H.T.; Ito, S.; Autmizguine, J.; Edginton, A.N. Incorporating Breastfeeding-Related Variability with Physiologically Based Pharmacokinetic Modeling to Predict Infant Exposure to Maternal Medication Through Breast Milk: A Workflow Applied to Lamotrigine. AAPS J. 2021, 23, 70. [Google Scholar] [CrossRef] [PubMed]
- Rowe, H.; Baker, T.; Hale, T.W. Maternal medication, drug use, and breastfeeding. Pediatr. Clin. N. Am. 2013, 60, 275–294. [Google Scholar] [CrossRef]
- Männistö, P.T.; Karhunen, M.; Koskela, O.; Suikkari, A.M.; Mattila, J.; Haataja, H. Concentrations of tinidazole in breast milk. Acta Pharmacol. Toxicol. 1983, 53, 254–256. [Google Scholar] [CrossRef] [PubMed]
- Chung, A.M.; Reed, M.D.; Blumer, J.L. Antibiotics and breast-feeding: A critical review of the literature. Paediatr. Drugs 2002, 4, 817–837. [Google Scholar] [CrossRef]
- Taburet, A.M.; Attali, P.; Bourget, P.; Etienne, J.P.; Singlas, E. Pharmacokinetics of ornidazole in patients with acute viral hepatitis, alcoholic cirrhosis, and extrahepatic cholestasis. Clin. Pharmacol. Ther. 1989, 45, 373–379. [Google Scholar] [CrossRef]
- Tang, D.; Yan, M.; Song, B.L.; Zhao, Y.C.; Xiao, Y.W.; Wang, F.; Liang, W.; Zhang, B.K.; Chen, X.J.; Zou, J.J.; et al. Population pharmacokinetics, safety and dosing optimization of voriconazole in patients with liver dysfunction: A prospective observational study. Br. J. Clin. Pharmacol. 2021, 87, 1890–1902. [Google Scholar] [CrossRef] [PubMed]
- Li, F.; Zhou, M.; Jiao, Z.; Zou, Z.; Yu, E.; He, Z. Caspofungin pharmacokinetics and probability of target attainment in ICU patients in China. J. Glob. Antimicrob. Resist. 2021, 25, 238–263. [Google Scholar] [CrossRef] [PubMed]
- Hatmal, M.M.; Al-Hatamleh, M.A.I.; Olaimat, A.N.; Alshaer, W.; Hasan, H.; Albakri, K.A.; Alkhafaji, E.; Issa, N.N.; Al-Holy, M.A.; Abderrahman, S.M.; et al. Immunomodulatory Properties of Human Breast Milk: MicroRNA Contents and Potential Epigenetic Effects. Biomedicines 2022, 10, 1219. [Google Scholar] [CrossRef] [PubMed]
- Fleishaker, J.C.; Desai, N.; McNamara, P.J. Factors affecting the milk-to-plasma drug concentration ratio in lactating women: Physical interactions with protein and fat. J. Pharm. Sci. 1987, 76, 189–193. [Google Scholar] [CrossRef] [PubMed]





| Characteristic | Number | Mean ± SD | Median (Range) |
|---|---|---|---|
| Patients | 77 | ||
| Maternal age (years) | 30.6 ± 4.3 | 30.0 (18.0–41.0) | |
| WT (kg) | 63.6 ± 9.9 | 64.0 (43.7–90.0) | |
| Laboratory parameter | |||
| BUN (mmol/L) | 3.09 ± 0.73 | 2.90 (1.60–5.00) | |
| SCR (μmol/L) | 44.6 ± 7.9 | 45.0 (31.2–74.0) | |
| UA (umol/L) | 321.8 ± 78.9 | 308.0 (147.0–538.9) | |
| CysC (mg/L) | 1.25 ± 0.26 | 1.25 (0.70–2.60) | |
| CrCL (mL/min) | 185.51 ± 38.74 | 185.51 (108.52–307.12) | |
| TBIL (μmol/L) | 9.3 ± 3.5 | 9.1 (3.4–20.9) | |
| DBIL (μmol/L) | 2.7 ± 0.9 | 2.6 (0.9–6.2) | |
| ALT (IU/L) | 9.1 ± 5.1 | 8.0 (1.0–28.0) | |
| AST (IU/L) | 14.3 ± 4.9 | 14.0 (6.0–36.0) | |
| GGT (IU/L) | 11.4 ± 7.7 | 10.0 (3.0–46.0) |
| Step | Covariates Screening | OFV | ΔOFV | p Value | Comments |
|---|---|---|---|---|---|
| 1 | None | 603.18 | - | - | Base model |
| Forward inclusion | |||||
| 2 | MPRcon-PST | 565.06 | −38.12 | <0.05 | |
| 3 | CL-WT | 598.23 | −4.95 | <0.05 | |
| 4 | CL-Age | 602.93 | −0.25 | >0.05 | |
| 5 | CL-CrCL | 597.52 | −5.66 | <0.05 | |
| 6 | CL-SCR | 601.79 | −1.39 | >0.05 | |
| 7 | CL-TBIL | 592.63 | −10.55 | <0.05 | |
| 8 | CL-ALT | 603.14 | −0.04 | >0.05 | |
| 9 | CL-AST | 603.11 | −0.07 | >0.05 | |
| 10 | CL-GGT | 601.14 | −2.04 | >0.05 | |
| 11 | MPRcon-PST, CL-TBIL | 554.58 | −10.48 | <0.05 | |
| 12 | MPRcon-PST, CL-WT | 559.22 | −5.84 | <0.05 | |
| 13 | MPRcon-PST, CL-CrCL | 559.32 | −5.74 | <0.05 | |
| 14 | MPRcon-PST, CL-TBIL-WT | 548.68 | −5.90 | <0.05 | Full model |
| Backward elimination | |||||
| 15 | MPRcon-PST, CL-TBIL | 554.58 | 5.90 | >0.01 | Final model |
| Parameters | Final Model | Bootstrap | Bias a (%) | |||
|---|---|---|---|---|---|---|
| Estimate | RSE (%) | Median Estimate | 2.5th Percentile | 97.5th Percentile | ||
| V (L) | 35.75 | 4.89 | 35.77 | 31.99 | 39.81 | 0.06 |
| CL (L/h) | 1.89 | 2.78 | 1.89 | 1.78 | 2.00 | 0.11 |
| MPRcon | 0.58 | 8.63 | 0.58 | 0.48 | 0.68 | 0.02 |
| θTBIL | −0.17 | −31.99 | −0.16 | −0.27 | −0.07 | −2.09 |
| θPST | 1.37 | 15.32 | 1.38 | 0.95 | 1.80 | 0.47 |
| Interindividual variability | ||||||
| ωCL2 | 0.024 | 0.25 | 0.023 | 0.011 | 0.035 | −4.21 |
| ωMPRcon2 | 0.327 | 0.20 | 0.319 | 0.189 | 0.449 | −2.48 |
| Residual error (proportional error, %) | ||||||
| σ1 (%) | 8.18 | 13.01 | 8.02 | 5.67 | 11.30 | −1.86 |
| σ2 (%) | 31.75 | 11.99 | 31.30 | 24.10 | 38.50 | −1.30 |
Disclaimer/Publisher’s Note: The statements, opinions and data contained in all publications are solely those of the individual author(s) and contributor(s) and not of MDPI and/or the editor(s). MDPI and/or the editor(s) disclaim responsibility for any injury to people or property resulting from any ideas, methods, instructions or products referred to in the content. |
© 2023 by the authors. Licensee MDPI, Basel, Switzerland. This article is an open access article distributed under the terms and conditions of the Creative Commons Attribution (CC BY) license (https://creativecommons.org/licenses/by/4.0/).
Share and Cite
Li, S.; Cao, M.; Zhou, Y.; Shu, C.; Wang, Y. Ornidazole Transfer into Colostrum and Assessment of Exposure Risk for Breastfeeding Infant: A Population Pharmacokinetic Analysis. Pharmaceutics 2023, 15, 2524. https://doi.org/10.3390/pharmaceutics15112524
Li S, Cao M, Zhou Y, Shu C, Wang Y. Ornidazole Transfer into Colostrum and Assessment of Exposure Risk for Breastfeeding Infant: A Population Pharmacokinetic Analysis. Pharmaceutics. 2023; 15(11):2524. https://doi.org/10.3390/pharmaceutics15112524
Chicago/Turabian StyleLi, Sichan, Ming Cao, Yan Zhou, Chang Shu, and Yang Wang. 2023. "Ornidazole Transfer into Colostrum and Assessment of Exposure Risk for Breastfeeding Infant: A Population Pharmacokinetic Analysis" Pharmaceutics 15, no. 11: 2524. https://doi.org/10.3390/pharmaceutics15112524
APA StyleLi, S., Cao, M., Zhou, Y., Shu, C., & Wang, Y. (2023). Ornidazole Transfer into Colostrum and Assessment of Exposure Risk for Breastfeeding Infant: A Population Pharmacokinetic Analysis. Pharmaceutics, 15(11), 2524. https://doi.org/10.3390/pharmaceutics15112524

