Phenylboronic Acid-Grafted Chitosan Nanocapsules for Effective Delivery and Controllable Release of Natural Antioxidants: Olive Oil and Hydroxytyrosol
Abstract
1. Introduction
2. Materials and Methods
2.1. VOO Extraction and Characterization
2.1.1. Sample Collection
2.1.2. Oil Extraction
2.1.3. GC-MS Analysis
2.1.4. Phenolic Compound Profiles
2.2. Synthesis of PBA-CSNPs Conjugate (NF-1)
2.3. Preparation of VOO-Loaded PBA-CSNPs (NF-2)
2.4. Preparation of HT-Loaded PBA-CSNPs (NF-3)
2.5. Encapsulation Efficiency and Loading Capacity
2.6. In Vitro Release
2.7. Antimicrobial Activity
2.7.1. Well Diffusion Assay
2.7.2. Minimal Inhibitory/Bactericidal Concentrations (MIC/MBC)
2.8. Antioxidant Activity
2.8.1. 1,1-Diphenyl-2-picrylhydrazyl (DPPH) Radical Scavenging Activity
2.8.2. Lipid Peroxidation Inhibition
2.9. In Vitro Anti-Breast Cancer Assay
2.9.1. Cell Cultures
2.9.2. In Vitro Anti-Proliferative Activity
2.10. Statistics
3. Results and Discussion
3.1. Chemical Composition of Volatile Components of VOO
3.2. Phenolic Compounds of VOO
3.3. Synthesis of PBA-CSNPs Conjugate
3.4. Physicochemical Characterization
3.4.1. Elemental Analyses
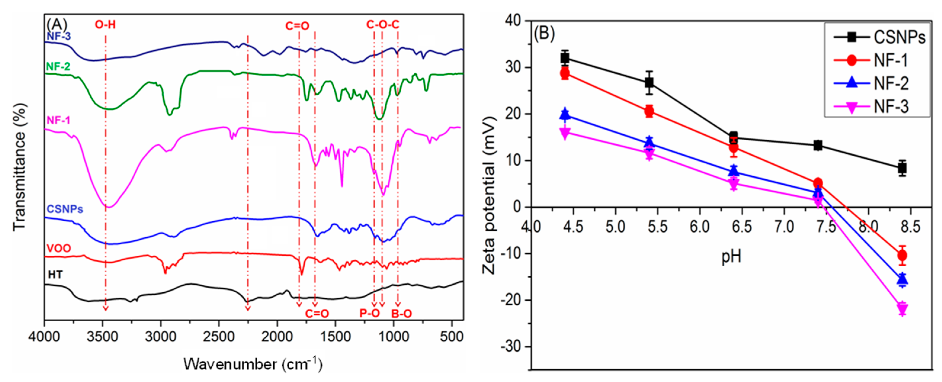
3.4.2. FTIR
3.4.3. EDX
3.4.4. Zeta Potential
3.5. Morphological Characterization
3.5.1. SEM Analysis
3.5.2. Particle Size Distribution (PSD)
3.6. Packing Properties of New PBA-CSNPs Nanocapsules
3.7. In Vitro Release Profiles
3.7.1. In Vitro OSEO Release Study
3.7.2. In Vitro HT Release Study
3.8. Antibacterial Assay
3.9. Antioxidant Assay
3.10. In Vitro Anti-Breast Cancer Activity
3.10.1. MTT Assay
3.10.2. Dose- and Duration-Cytotoxicity Correlation
4. Conclusions
Supplementary Materials
Author Contributions
Funding
Institutional Review Board Statement
Informed Consent Statement
Data Availability Statement
Acknowledgments
Conflicts of Interest
References
- López-Pedrouso, M.; Lorenzo, J.M.; Franco, D. Advances in Natural Antioxidants for Food Improvement. Antioxidants 2022, 11, 1825. [Google Scholar] [CrossRef] [PubMed]
- Marino, A.; Battaglini, M.; Moles, N.; Ciofani, G. Natural Antioxidant Compounds as Potential Pharmaceutical Tools against Neurodegenerative Diseases. ACS Omega 2022, 7, 25974–25990. [Google Scholar] [CrossRef] [PubMed]
- Cardoso-Ugarte, G.A.; Sosa-Morales, M.E. Essential Oils from Herbs and Spices as Natural Antioxidants: Diversity of Promising Food Applications in the past Decade. Food Rev. Int. 2021, 38, 403–433. [Google Scholar] [CrossRef]
- Hou, T.; Sana, S.S.; Li, H.; Xing, Y.; Nanda, A.; Netala, V.R.; Zhang, Z. Essential oils and its antibacterial, antifungal and anti-oxidant activity applications: A review. Food Biosci. 2022, 47, 101716. [Google Scholar] [CrossRef]
- Seray, K. Olive Oil: Antioxidant Compounds and Their Potential Effects over Health. In Functional Foods; Vasiliki, L., Ed.; IntechOpen: Rijeka, Croatia, 2018; p. Ch. 2. [Google Scholar]
- Owen, R.W.; Giacosa, A.; Hull, W.E.; Haubner, R.; Würtele, G.; Spiegelhalder, B.; Bartsch, H. Olive-oil consumption and health: The possible role of antioxidants. Lancet Oncol. 2000, 1, 107–112. [Google Scholar] [CrossRef] [PubMed]
- Jiménez-Sánchez, A.; Martínez-Ortega, A.J.; Remón-Ruiz, P.J.; Piñar-Gutiérrez, A.; Pereira-Cunill, J.L.; García-Luna, P.P. Therapeutic Properties and Use of Extra Virgin Olive Oil in Clinical Nutrition: A Narrative Review and Literature Update. Nutrients 2022, 14, 1440. [Google Scholar] [CrossRef]
- Vissers, M.N.; Zock, P.L.; Katan, M.B. Bioavailability and antioxidant effects of olive oil phenols in humans: A review. Eur. J. Clin. Nutr. 2004, 58, 955–965. [Google Scholar] [CrossRef]
- Frankel, E.N. Nutritional and Biological Properties of Extra Virgin Olive Oil. J. Agric. Food Chem. 2011, 59, 785–792. [Google Scholar] [CrossRef]
- Wani, T.A.; Masoodi, F.A.; Gani, A.; Baba, W.N.; Rahmanian, N.; Akhter, R.; Wani, I.A.; Ahmad, M. Olive oil and its principal bioactive compound: Hydroxytyrosol—A review of the recent literature. Trends Food Sci. Technol. 2018, 77, 77–90. [Google Scholar] [CrossRef]
- Fuccelli, R.; Fabiani, R.; Rosignoli, P. Hydroxytyrosol Exerts Anti-Inflammatory and Anti-Oxidant Activities in a Mouse Model of Systemic Inflammation. Molecules 2018, 23, 3212. [Google Scholar] [CrossRef]
- D’Angelo, C.; Franceschelli, S.; Quiles, J.L.; Speranza, L. Wide Biological Role of Hydroxytyrosol: Possible Therapeutic and Preventive Properties in Cardiovascular Diseases. Cells 2020, 9, 1932. [Google Scholar] [CrossRef]
- Rosillo, M.A.; Sánchez-Hidalgo, M.; González-Benjumea, A.; Fernández-Bolaños, J.G.; Lubberts, E.; Alarcón-de-la-Lastra, C. Preventive effects of dietary hydroxytyrosol acetate, an extra virgin olive oil polyphenol in murine collagen-induced arthritis. Mol. Nutr. Food Res. 2015, 59, 2537–2546. [Google Scholar] [CrossRef] [PubMed]
- Chen, C.; Ai, Q.D.; Wei, Y.H. Potential role of hydroxytyrosol in neuroprotection. J. Funct. Foods 2021, 82, 104506. [Google Scholar] [CrossRef]
- Robles-Almazan, M.; Pulido-Moran, M.; Moreno-Fernandez, J.; Ramirez-Tortosa, C.; Rodriguez-Garcia, C.; Quiles, J.L.; Ramirez-Tortosa, M. Hydroxytyrosol: Bioavailability, toxicity, and clinical applications. Food Res. Int. 2018, 105, 654–667. [Google Scholar] [CrossRef] [PubMed]
- Karković Marković, A.; Torić, J.; Barbarić, M.; Jakobušić Brala, C. Hydroxytyrosol, Tyrosol and Derivatives and Their Potential Effects on Human Health. Molecules 2019, 24, 2001. [Google Scholar] [CrossRef] [PubMed]
- Alemán-Jiménez, C.; Domínguez-Perles, R.; Medina, S.; Prgomet, I.; López-González, I.; Simonelli-Muñoz, A.; Campillo-Cano, M.; Auñón, D.; Ferreres, F.; Gil-Izquierdo, Á. Pharmacokinetics and bioavailability of hydroxytyrosol are dependent on the food matrix in humans. Eur. J. Nutr. 2021, 60, 905–915. [Google Scholar] [CrossRef] [PubMed]
- Mauri, E.; Gori, M.; Giannitelli, S.M.; Zancla, A.; Mozetic, P.; Abbruzzese, F.; Merendino, N.; Gigli, G.; Rossi, F.; Trombetta, M.; et al. Nano-encapsulation of hydroxytyrosol into formulated nanogels improves therapeutic effects against hepatic steatosis: An in vitro study. Mater. Sci. Eng. C 2021, 124, 112080. [Google Scholar] [CrossRef] [PubMed]
- Mitsou, E.; Dupin, A.; Sassi, A.H.; Monteil, J.; Sotiroudis, G.T.; Leal-Calderon, F.; Xenakis, A. Hydroxytyrosol encapsulated in biocompatible water-in-oil microemulsions: How the structure affects in vitro absorption. Colloids Surf. B Biointerfaces 2019, 184, 110482. [Google Scholar] [CrossRef]
- Jadid, M.F.S.; Shademan, B.; Chavoshi, R.; Seyyedsani, N.; Aghaei, E.; Taheri, E.; Goleij, P.; Hajazimian, S.; Karamad, V.; Behroozi, J.; et al. Enhanced anticancer potency of hydroxytyrosol and curcumin by PLGA-PAA nano-encapsulation on PANC-1 pancreatic cancer cell line. Environ. Toxicol. 2021, 36, 1043–1051. [Google Scholar] [CrossRef]
- Flaiz, L.; Freire, M.; Cofrades, S.; Mateos, R.; Weiss, J.; Jiménez-Colmenero, F.; Bou, R. Comparison of simple, double and gelled double emulsions as hydroxytyrosol and n-3 fatty acid delivery systems. Food Chem. 2016, 213, 49–57. [Google Scholar] [CrossRef]
- Chatzidaki, M.D.; Arik, N.; Monteil, J.; Papadimitriou, V.; Leal-Calderon, F.; Xenakis, A. Microemulsion versus emulsion as effective carrier of hydroxytyrosol. Colloids Surf. B Biointerfaces 2016, 137, 146–151. [Google Scholar] [CrossRef] [PubMed]
- Ahmed Wani, T.; Masoodi, F.A.; Akhter, R.; Akram, T.; Gani, A.; Shabir, N. Nanoencapsulation of hydroxytyrosol in chitosan crosslinked with sodium bisulfate tandem ultrasonication: Techno-characterization, release and antiproliferative properties. Ultrason. Sonochem. 2022, 82, 105900. [Google Scholar] [CrossRef] [PubMed]
- Bonechi, C.; Donati, A.; Tamasi, G.; Pardini, A.; Rostom, H.; Leone, G.; Lamponi, S.; Consumi, M.; Magnani, A.; Rossi, C. Chemical characterization of liposomes containing nutraceutical compounds: Tyrosol, hydroxytyrosol and oleuropein. Biophys. Chem. 2019, 246, 25–34. [Google Scholar] [CrossRef] [PubMed]
- Paulo, F.; Santos, L. Inclusion of hydroxytyrosol in ethyl cellulose microparticles: In vitro release studies under digestion conditions. Food Hydrocoll. 2018, 84, 104–116. [Google Scholar] [CrossRef]
- Ojha, N.; Das, N. Green Formulation of Microbial Biopolyesteric Nanocarriers Toward In Vitro Drug Delivery and Its Characterization. Curr. Microbiol. 2021, 78, 2061–2070. [Google Scholar] [CrossRef] [PubMed]
- Hassan, Y.A.; Alfaifi, M.Y.; Shati, A.A.; Elbehairi, S.E.I.; Elshaarawy, R.F.M.; Kamal, I. Co-delivery of anticancer drugs via poly(ionic crosslinked chitosan-palladium) nanocapsules: Targeting more effective and sustainable cancer therapy. J. Drug Deliv. Sci. Technol. 2022, 69, 103151. [Google Scholar] [CrossRef]
- Hassan, Y.A.; Khedr, A.I.M.; Alkabli, J.; Elshaarawy, R.F.M.; Nasr, A.M. Co-delivery of imidazolium Zn(II)salen and Origanum Syriacum essential oil by shrimp chitosan nanoparticles for antimicrobial applications. Carbohydr. Polym. 2021, 260, 117834. [Google Scholar] [CrossRef]
- Nasr, A.M.; Mortagi, Y.I.; Elwahab, N.H.A.; Alfaifi, M.Y.; Shati, A.A.; Elbehairi, S.E.I.; Elshaarawy, R.F.M.; Kamal, I. Upgrading the Transdermal Biomedical Capabilities of Thyme Essential Oil Nanoemulsions Using Amphiphilic Oligochitosan Vehicles. Pharmaceutics 2022, 14, 1350. [Google Scholar] [CrossRef]
- Wang, X.; Tang, H.; Wang, C.; Zhang, J.; Wu, W.; Jiang, X. Phenylboronic acid-mediated tumor targeting of chitosan nanoparticles. Theranostics 2016, 6, 1378. [Google Scholar] [CrossRef]
- Joye, I.J.; McClements, D.J. Biopolymer-based nanoparticles and microparticles: Fabrication, characterization, and application. Curr. Opin. Colloid Interface Sci. 2014, 19, 417–427. [Google Scholar] [CrossRef]
- Wu, Z.; Zhang, S.; Zhang, X.; Shu, S.; Chu, T.; Yu, D. Phenylboronic Acid Grafted Chitosan as a Glucose-Sensitive Vehicle for Controlled Insulin Release. J. Pharm. Sci. 2011, 100, 2278–2286. [Google Scholar] [CrossRef] [PubMed]
- Kamal, I.; Khedr, A.I.M.; Alfaifi, M.Y.; Elbehairi, S.E.I.; Elshaarawy, R.F.M.; Saad, A.S. Chemotherapeutic and chemopreventive potentials of ρ-coumaric acid–Squid chitosan nanogel loaded with Syzygium aromaticum essential oil. Int. J. Biol. Macromol. 2021, 188, 523–533. [Google Scholar] [CrossRef] [PubMed]
- El Sharnouby, G. Physicochemical and phytonutrients Evaluation of Arbequina Extra Virgin Olive oil Cultivated Recently in Egypt. Bull. Natl. Nutr. Inst. Arab Repub. Egypt 2017, 50, 66–96. [Google Scholar]
- Cavaliere, B.; De Nino, A.; Hayet, F.; Lazez, A.; Macchione, B.; Moncef, C.; Perri, E.; Sindona, G.; Tagarelli, A. A metabolomic approach to the evaluation of the origin of extra virgin olive oil: A convenient statistical treatment of mass spectrometric analytical data. J. Agric. Food Chem. 2007, 55, 1454–1462. [Google Scholar] [CrossRef] [PubMed]
- Antonini, E.; Farina, A.; Leone, A.; Mazzara, E.; Urbani, S.; Selvaggini, R.; Servili, M.; Ninfali, P. Phenolic compounds and quality parameters of family farming versus protected designation of origin (PDO) extra-virgin olive oils. J. Food Compos. Anal. 2015, 43, 75–81. [Google Scholar] [CrossRef]
- Selvaggini, R.; Servili, M.; Urbani, S.; Esposto, S.; Taticchi, A.; Montedoro, G. Evaluation of Phenolic Compounds in Virgin Olive Oil by Direct Injection in High-Performance Liquid Chromatography with Fluorometric Detection. J. Agric. Food Chem. 2006, 54, 2832–2838. [Google Scholar] [CrossRef]
- Muzzalupo, I.; Badolati, G.; Chiappetta, A.; Picci, N.; Muzzalupo, R. In vitro Antifungal Activity of Olive (Olea europaea) Leaf Extracts Loaded in Chitosan Nanoparticles. Front. Bioeng. Biotechnol. 2020, 8, 151. [Google Scholar] [CrossRef]
- De Oliveira David, M.P.; Forde Brian, M.; Kidd Timothy, J.; Harris Patrick, N.A.; Schembri Mark, A.; Beatson Scott, A.; Paterson David, L.; Walker Mark, J. Antimicrobial Resistance in ESKAPE Pathogens. Clin. Microbiol. Rev. 2020, 33, e00181-19. [Google Scholar] [CrossRef]
- Elshaarawy, R.F.; Tadros, H.R.; Abd El-Aal, R.M.; Mustafa, F.H.; Soliman, Y.A.; Hamed, M.A. Hybrid molecules comprising 1, 2, 4-triazole or diaminothiadiazole Schiff-bases and ionic liquid moieties as potent antibacterial and marine antibiofouling nominees. J. Environ. Chem. Eng. 2016, 4, 2754–2764. [Google Scholar] [CrossRef]
- Elshaarawy, R.F.; Lan, Y.; Janiak, C. Oligonuclear homo-and mixed-valence manganese complexes based on thiophene-or aryl-carboxylate ligation: Synthesis, characterization and magnetic studies. Inorg. Chim. 2013, 401, 85–94. [Google Scholar] [CrossRef]
- Wright, J.S.; Thomson, D.S.; Warner, G. Mitral Valve Bypass by Valved Conduit. Ann. Thorac. Surg. 1981, 32, 294–296. [Google Scholar] [CrossRef] [PubMed]
- Elshaarawy, R.F.; Ismail, L.A.; Alfaifi, M.Y.; Rizk, M.A.; Eltamany, E.E.; Janiak, C. Inhibitory activity of biofunctionalized silver-capped N-methylated water-soluble chitosan thiomer for microbial and biofilm infections. Int. J. Biol. Macromol. 2020, 152, 709–717. [Google Scholar] [CrossRef] [PubMed]
- Vehapi, M.; Yilmaz, A.; Özçimen, D. Fabrication of Oregano-Olive Oil Loaded PVA/Chitosan Nanoparticles via Electrospraying Method. J. Nat. Fibers 2021, 18, 1359–1373. [Google Scholar] [CrossRef]
- Galbraith, H.; Miller, T.B. Physicochemical effects of long chain fatty acids on bacterial cells and their protoplasts. J. Appl. Bacteriol. 1973, 36, 647–658. [Google Scholar] [CrossRef]
- Clements, A.; Gaboriaud, F.; Duval, J.F.; Farn, J.L.; Jenney, A.W.; Lithgow, T.; Wijburg, O.L.; Hartland, E.L.; Strugnell, R.A. The major surface-associated saccharides of Klebsiella pneumoniae contribute to host cell association. PLoS ONE 2008, 3, e3817. [Google Scholar] [CrossRef] [PubMed]
- Lewinski, N.; Colvin, V.; Drezek, R. Cytotoxicity of Nanoparticles. Small 2008, 4, 26–49. [Google Scholar] [CrossRef]








| No. | Compound | RT (min) | Yield (%) | No. | Compound | RT (min) | Yield (%) |
|---|---|---|---|---|---|---|---|
| 1 | Limonen-6-ol, pivalate | 4.05 | 2.35 | 30 | Guaiacol | 20.82 | 1.18 |
| 2 | 1,9-nonanediol | 4.34 | 1.41 | 31 | Isochiapin B | 20.87 | 0.89 |
| 3 | 2,6-Di-tert-butylhydroquinone | 5.12 | 15.73 | 32 | Digitoxin | 20.99 | 1.23 |
| 4 | Pyruvic acid | 7.10 | 1.16 | 33 | 1-Heptatriacotanol | 21.08 | 0.80 |
| 5 | E-3-pentadecen-2-ol | 7.78 | 2.93 | 34 | Tridecanol | 21.17 | 2.63 |
| 6 | Geranyl acetate | 8.46 | 1.82 | 35 | Linoleic acid ethyl ester | 21.25 | 0.41 |
| 7 | Carvacrol | 8.98 | 3.77 | 36 | 2-Monoolein | 21.37 | 1.23 |
| 8 | (E)-2-hexenal | 9.36 | 1.30 | 37 | Ethyl iso-allocholate | 21.43 | 1.12 |
| 9 | Thymol | 10.90 | 1.15 | 38 | Tetraneurin-A-diol | 21.75 | 1.09 |
| 10 | p-Cymen-7-ol | 11.02 | 1.67 | 39 | β-Sitosterol & α-Farnesene | 23.36 | 3.80 |
| 11 | Propyl 2-methylvalerate | 11.29 | 0.83 | 40 | Oleic Acid & 9-Octadecenoic acid | 23.47 | 2.53 |
| 12 | 4-Allylphenol | 12.21 | 1.37 | 41 | cis-Vaccenic acid | 25.57 | 1.50 |
| 13 | (Z)-3-Hexenyl acetate | 12.68 | 0.98 | 42 | Hexadecadienoic acid, methyl ester | 27.51 | 1.28 |
| 14 | Panaxydol | 13.16 | 0.71 | 43 | Palmitic acid | 29.17 | 0.32 |
| 15 | E-2-methyl-tetradecen-1-olacetate | 13.26 | 0.73 | 44 | Oleic acid methyl ester | 30.25 | 0.44 |
| 16 | Pyrogallol | 13.45 | 1.91 | 45 | Linoleic acid | 30.95 | 0.39 |
| 17 | 3,5-Di-t-butyl-1,4-dihydro-phenacetate | 13.65 | 9.24 | 46 | 2-Methylenecholestan-3-ol | 31.06 | 1.30 |
| 18 | Cholestan-6-one | 15.88 | 2.78 | 47 | Stearic acid | 32.73 | 0.36 |
| 19 | Tetranoic acid ethyl ester | 16.75 | 1.82 | 48 | Trielaidin | 34.34 | 1.01 |
| 20 | α-N-normethadol | 17.02 | 1.96 | 49 | 1,25-Dihydroxyvitamin D3 | 35.54 | 3.58 |
| 21 | Hexanal | 17.33 | 0.82 | 50 | 1-Monopalmitoylglycerol | 38.47 | 2.05 |
| 22 | Heptanal | 17.83 | 1.48 | 51 | 1-Mono oleoylglycerol | 40.65 | 0.28 |
| 23 | Propyl 2-methylvalerate | 18.01 | 0.34 | 52 | Galactinol | 41.83 | 0.29 |
| 24 | 4-nonenal (E) | 18.28 | 1.16 | 53 | Lactitol | 42.25 | 0.41 |
| 25 | 2-decenal-(E) | 18.68 | 1.89 | 54 | Maltitol | 42.84 | 0.31 |
| 26 | 2-decenal-(Z) | 18.72 | 1.04 | 55 | 1-Hexacosanol | 43.43 | 0.35 |
| 27 | 10-undecenal | 19.68 | 0.99 | 56 | Hexacosanoic acid | 44.65 | 0.24 |
| 28 | (E)-2-hexen-1-ol | 20.03 | 1.05 | 57 | α-Tocopherol | 45.87 | 0.29 |
| 29 | Isochiapin B | 20.67 | 5.81 | 58 | 1-Octacosanol | 46.0 | 0.23 |
| Sample | [η] (mL/g) | Mw (KDa) | EA (%) | DA | DCL | DC | ||
|---|---|---|---|---|---|---|---|---|
| C | H | N | ||||||
| UCS | 488.67 | 691.6 | 40.14 | 7.21 | 7.65 | 6.2 | - | - |
| CSNPs | - | - | 33.43 | 6.58 | 5.12 | - | 11.23 | - |
| PBA-CSNPs | - | - | 42.32 | 7.29 | 4.87 | - | - | 32.3 |
| Sample | SA | PA | KB | |||
|---|---|---|---|---|---|---|
| MIC ± SD | MBC ± SD | MIC ± SD | MBC ± SD | MIC ± SD | MBC ± SD | |
| VOO | 21.17 ± 1.01 | 21.72 ± 1.15 | 24.56 ± 1.05 | 25.25 ± 1.25 | 33.89 ± 1.19 | 34.13 ± 1.31 |
| CSNPs | 15.75 ± 1.12 | 16.25 ± 1.25 | 21.07 ± 1.10 | 21.50 ± 0.95 | 28.87 ± 1.11 | 29.05 ± 1.15 |
| HT | 14.11 ± 0.85 | 14.50 ± 0.79 | 19.85 ± 0.75 | 20.55 ± 1.03 | 26.50 ± 1.07 | 26.75 ± 1.13 |
| NF-1 | 14.25 ± 0.75 | 14.77 ± 0.91 | 18.75 ± 0.89 | 18.99 ± 0.97 | 25.97 ± 1.21 | 26.03 ± 1.25 |
| NF-2 | 9.95 ± 1.11 | 10.05 ± 1.13 | 15.75 ± 0.96 | 16.15 ± 1.05 | 23.95 ± 0.99 | 24.05 ± 1.31 |
| NF-3 | 4.13 ± 0.27 | 4.27 ± 0.39 | 13.56 ± 0.87 | 14.09 ± 0.98 | 22.29 ± 1.11 | 22.32 ± 0.93 |
| GM | NA | NA | 16.74 ± 1.25 | 16.77 ± 1.31 | 8.27± 0.50 | NA |
| TC | 7.20 ± 0.66 | NA | NA | NA | 9.13± 0.56 | NA |
Disclaimer/Publisher’s Note: The statements, opinions and data contained in all publications are solely those of the individual author(s) and contributor(s) and not of MDPI and/or the editor(s). MDPI and/or the editor(s) disclaim responsibility for any injury to people or property resulting from any ideas, methods, instructions or products referred to in the content. |
© 2022 by the authors. Licensee MDPI, Basel, Switzerland. This article is an open access article distributed under the terms and conditions of the Creative Commons Attribution (CC BY) license (https://creativecommons.org/licenses/by/4.0/).
Share and Cite
Hendawy, O.M.; Al-Sanea, M.M.; Elbargisy, R.M.; Rahman, H.U.; Mohamed, A.A.B.; Kamal, I.; Elshaarawy, R.F.M.; Khedr, A.I.M.; El-Fattah, W.A. Phenylboronic Acid-Grafted Chitosan Nanocapsules for Effective Delivery and Controllable Release of Natural Antioxidants: Olive Oil and Hydroxytyrosol. Pharmaceutics 2023, 15, 81. https://doi.org/10.3390/pharmaceutics15010081
Hendawy OM, Al-Sanea MM, Elbargisy RM, Rahman HU, Mohamed AAB, Kamal I, Elshaarawy RFM, Khedr AIM, El-Fattah WA. Phenylboronic Acid-Grafted Chitosan Nanocapsules for Effective Delivery and Controllable Release of Natural Antioxidants: Olive Oil and Hydroxytyrosol. Pharmaceutics. 2023; 15(1):81. https://doi.org/10.3390/pharmaceutics15010081
Chicago/Turabian StyleHendawy, Omnia M., Mohammad M. Al-Sanea, Rehab M. Elbargisy, Hidayat Ur Rahman, Ahmed A. B. Mohamed, Islam Kamal, Reda F. M. Elshaarawy, Amgad I. M. Khedr, and Wesam Abd El-Fattah. 2023. "Phenylboronic Acid-Grafted Chitosan Nanocapsules for Effective Delivery and Controllable Release of Natural Antioxidants: Olive Oil and Hydroxytyrosol" Pharmaceutics 15, no. 1: 81. https://doi.org/10.3390/pharmaceutics15010081
APA StyleHendawy, O. M., Al-Sanea, M. M., Elbargisy, R. M., Rahman, H. U., Mohamed, A. A. B., Kamal, I., Elshaarawy, R. F. M., Khedr, A. I. M., & El-Fattah, W. A. (2023). Phenylboronic Acid-Grafted Chitosan Nanocapsules for Effective Delivery and Controllable Release of Natural Antioxidants: Olive Oil and Hydroxytyrosol. Pharmaceutics, 15(1), 81. https://doi.org/10.3390/pharmaceutics15010081

