Roles of Human Liver Cytochrome P450 Enzymes in Tenatoprazole Metabolism
Abstract
1. Introduction
2. Materials and Methods
2.1. Materials
2.2. Hydroxylation of Tenatoprazole and Tenatoprazole Sulfide by Human Liver Microsomes
2.3. Hydroxylation of Tenatoprazole and Tenatoprazole Sulfide by Recombinant Human P450 Enzymes
2.4. Liquid Chromatography-Mass Spectrometry Analysis
2.5. Identification of a New Major Metabolite of Tenatoprazole by NMR Spectroscopy
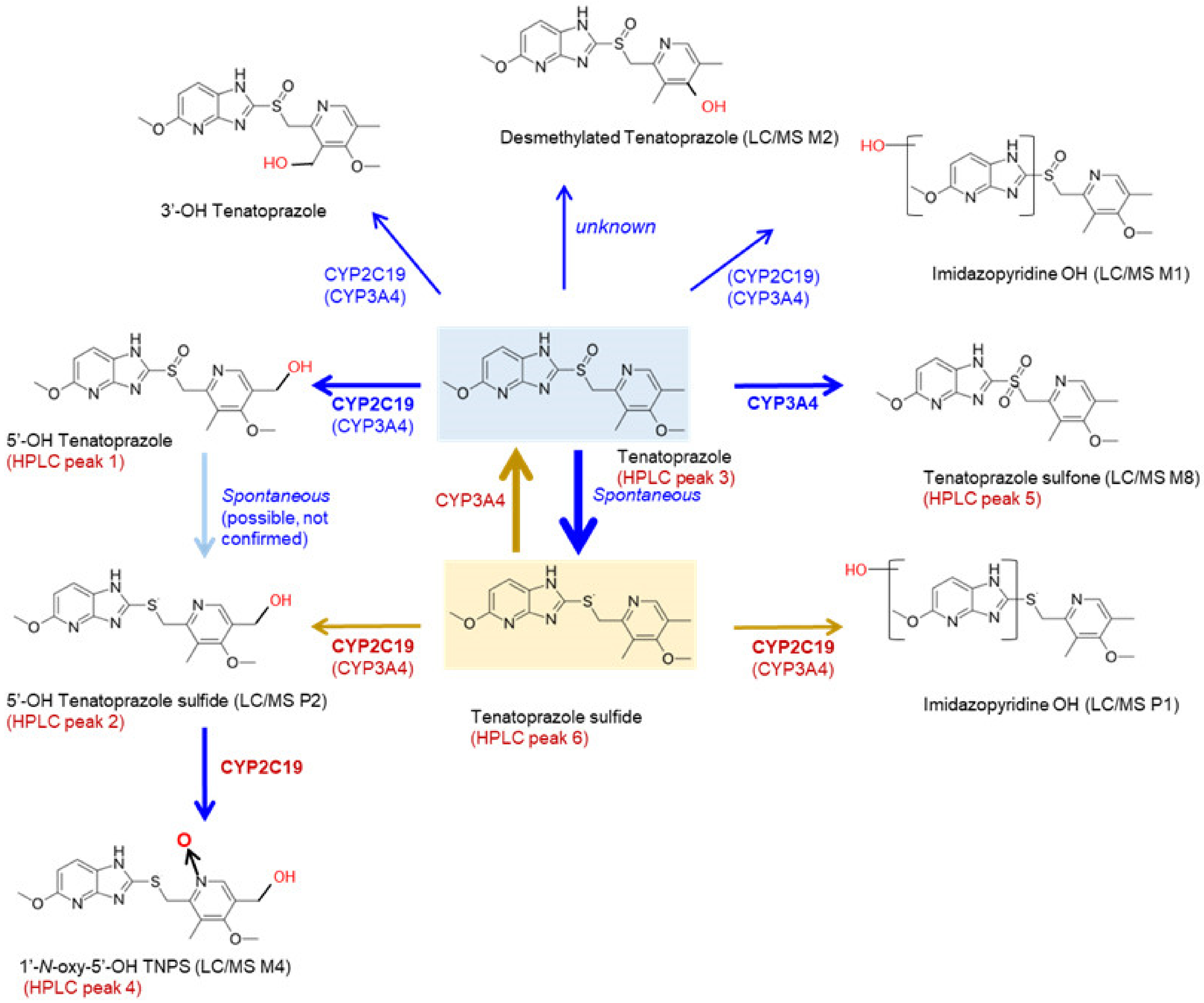
3. Results
3.1. Oxidation of Tenatoprazole and Tenatoprazole Sulfide by Human Liver Microsomes
3.2. Analysis of Metabolites of Tenatoprazole by LC-MS/MS
3.3. Characterization of a Monohydroxylated Metabolite of Tenatoprazole
3.4. Time-Course Profiles of Tenatoprazole and Tenatoprazole Sulfide Oxidation by Human Liver Microsomes
3.5. Tenatoprazole and Tenatoprazole Sulfide Oxidation by Recombinant Human P450 Enzymes
4. Discussion
5. Conclusions
Supplementary Materials
Author Contributions
Funding
Institutional Review Board Statement
Informed Consent Statement
Data Availability Statement
Conflicts of Interest
References
- Li, H.; Meng, L.; Liu, F.; Wei, J.F.; Wang, Y.Q. H+/K+-ATPase inhibitors: A patent review. Expert. Opin. Ther. Pat. 2013, 23, 99–111. [Google Scholar] [CrossRef] [PubMed]
- Shin, J.M.; Homerin, M.; Domagala, F.; Ficheux, H.; Sachs, G. Characterization of the inhibitory activity of tenatoprazole on the gastric H+,K+ -ATPase in vitro and in vivo. Biochem. Pharmacol. 2006, 71, 837–849. [Google Scholar] [CrossRef] [PubMed]
- Galmiche, J.P.; des Varannes, S.B.; Ducrotté, P.; Sacher-Huvelin, S.; Vavasseur, F.; Taccoen, A.; Fiorentini, P.; Homerin, M. Tenatoprazole, a novel proton pump inhibitor with a prolonged plasma half-life: Effects on intragastric pH and comparison with esomeprazole in healthy volunteers. Aliment. Pharmacol. Ther. 2004, 19, 655–662. [Google Scholar] [CrossRef] [PubMed]
- Hunt, R.H.; Scarpignato, C. Potent Acid Suppression with PPIs and P-CABs: What’s New? Curr. Treat. Options Gastroenterol. 2018, 16, 570–590. [Google Scholar] [CrossRef]
- Cohen, A.; Charbit, S.; Schutze, F.; Ficheux, H.; Homerin, M.; Taccoen, A. Enantiomer (-) of Tenatoprazole and the Therapeutic Use Thereof. U.S. Patent 7034038B2, 25 April 2006. [Google Scholar]
- Domagala, F.; Ficheux, H.; Houin, G.; Barré, J. Pharmacokinetics of Tenatoprazole, a Newly Synthesized Proton Pump Inhibitor, in Healthy Male Caucasian Volunteers. Arzneimittelforschung 2006, 56, 33–39. [Google Scholar] [CrossRef]
- Le, T.K.; Cha, G.S.; Jang, H.H.; Nguyen, T.H.H.; Doan, T.T.M.; Lee, Y.J.; Park, K.D.; Shin, T.; Kim, D.H.; Yun, C.-H. Regioselective hydroxylation pathway of tenatoprazole to produce human metabolites by Bacillus megaterium CYP102A1. Process Biochem. 2019, 87, 95–104. [Google Scholar] [CrossRef]
- Schadt, S.; Bister, B.; Chowdhury, S.K.; Funk, C.; Hop, C.; Humphreys, W.G.; Igarashi, F.; James, A.D.; Kagan, M.; Khojasteh, S.C.; et al. A Decade in the MIST: Learnings from Investigations of Drug Metabolites in Drug Development under the “Metabolites in Safety Testing” Regulatory Guidance. Drug Metab. Dispos. 2018, 46, 865–878. [Google Scholar] [CrossRef]
- Wu, Y.; Pan, L.; Chen, Z.; Zheng, Y.; Diao, X.; Zhong, D. Metabolite Identification in the Preclinical and Clinical Phase of Drug Development. Curr. Drug Metab. 2021, 22, 838–857. [Google Scholar] [CrossRef]
- Guengerich, F.P. Introduction: Human metabolites in safety testing (MIST) issue. Chem. Res. Toxicol. 2009, 22, 237–238. [Google Scholar] [CrossRef]
- Luffer-Atlas, D.; Atrakchi, A. A decade of drug metabolite safety testing: Industry and regulatory shared learning. Expert. Opin. Drug Metab. Toxicol. 2017, 13, 897–900. [Google Scholar] [CrossRef]
- Parikh, A.; Gillam, E.M.; Guengerich, F.P. Drug metabolism by Escherichia coli expressing human cytochromes P450. Nat. Biotechnol. 1997, 15, 784–788. [Google Scholar] [CrossRef] [PubMed]
- Yun, C.H.; Yim, S.K.; Kim, D.H.; Ahn, T. Functional expression of human cytochrome P450 enzymes in Escherichia coli. Curr. Drug Metab. 2006, 7, 411–429. [Google Scholar] [CrossRef] [PubMed]
- Hausjell, J.; Halbwirth, H.; Spadiut, O. Recombinant production of eukaryotic cytochrome P450s in microbial cell factories. Biosci. Rep. 2018, 38, BSR20171290. [Google Scholar] [CrossRef] [PubMed]
- Caswell, J.M.; O’Neill, M.; Taylor, S.J.; Moody, T.S. Engineering and application of P450 monooxygenases in pharmaceutical and metabolite synthesis. Curr. Opin. Chem. Biol. 2013, 17, 271–275. [Google Scholar] [CrossRef]
- Hiratsuka, M. In vitro assessment of the allelic variants of cytochrome P450. Drug Metab. Pharm. 2012, 27, 68–84. [Google Scholar] [CrossRef]
- Urlacher, V.B.; Girhard, M. Cytochrome P450 monooxygenases: An update on perspectives for synthetic application. Trends Biotechnol. 2012, 30, 26–36. [Google Scholar] [CrossRef]
- Schroer, K.; Kittelmann, M.; Lütz, S. Recombinant human cytochrome P450 monooxygenases for drug metabolite synthesis. Biotechnol. Bioeng. 2010, 106, 699–706. [Google Scholar] [CrossRef]
- Guan, J.; Li, J.; Yan, F.; Gu, H.; Li, F. Chiral Separation of Tenatoprazole and Several Related Benzimidazoles by Normal Phase LC Using Amylose-Based Stationary Phase. Chromatographia 2009, 70, 1039–1044. [Google Scholar] [CrossRef]
- Lin, Z.; Lin, J.; Hu, Z.; Cao, Z. 1H and 13C NMR chemical shift assignment for tenatoprazole. Chin. J. Mag. Res. 2009, 26, 393–399. [Google Scholar]
- Yamazaki, H.; Inoue, K.; Shaw, P.M.; Checovich, W.J.; Guengerich, F.P.; Shimada, T. Different Contributions of Cytochrome P450 2C19 and 3A4 in the Oxidation of Omeprazole by Human Liver Microsomes: Effects of Contents of These Two Forms in Individual Human Samples. J. Pharmacol. Exp. Ther. 1997, 283, 434–442. [Google Scholar]
- Jang, H.H.; Ryu, S.H.; Le, T.K.; Doan, T.T.; Nguyen, H.T.; Park, K.D.; Yim, D.E.; Kim, D.H.; Kang, C.K.; Ahn, T.; et al. Regioselective C-H hydroxylation of omeprazole sulfide by Bacillus megaterium CYP102A1 to produce a human metabolite. Biotechnol. Lett. 2017, 39, 105–112. [Google Scholar] [CrossRef] [PubMed]
- Yun, C.H.; Kim, K.H.; Kim, D.H.; Jung, H.C.; Pan, J.G. The bacterial P450 BM3: A prototype for a biocatalyst with human P450 activities. Trends Biotechnol. 2007, 25, 289–298. [Google Scholar] [CrossRef] [PubMed]
- Thistlethwaite, S.; Jeffreys, L.N.; Girvan, H.M.; McLean, K.J.; Munro, A.W. A Promiscuous Bacterial P450: The Unparalleled Diversity of BM3 in Pharmaceutical Metabolism. Int. J. Mol. Sci. 2021, 22, 11380. [Google Scholar] [CrossRef]
- Whitehouse, C.J.; Bell, S.G.; Wong, L.L. P450(BM3) (CYP102A1): Connecting the dots. Chem. Soc. Rev. 2012, 41, 1218–1260. [Google Scholar] [CrossRef]
- Urlacher, V.B.; Girhard, M. Cytochrome P450 Monooxygenases in Biotechnology and Synthetic Biology. Trends Biotechnol. 2019, 37, 882–897. [Google Scholar] [CrossRef]
- Watanabe, S.M.; Ehrlich, L.S.; Strickland, M.; Li, X.; Soloveva, V.; Goff, A.J.; Stauft, C.B.; Bhaduri-McIntosh, S.; Tjandra, N.; Carter, C. Selective Targeting of Virus Replication by Proton Pump Inhibitors. Sci. Rep. 2020, 10, 4003. [Google Scholar] [CrossRef]
- Strickland, M.; Ehrlich, L.S.; Watanabe, S.; Khan, M.; Strub, M.P.; Luan, C.H.; Powell, M.D.; Leis, J.; Nico Tjandra, N.; Carte, C.A. Tsg101 chaperone function revealed by HIV-1 assembly inhibitors. Nat. Commun. 2017, 8, 1391. [Google Scholar] [CrossRef]
- Ikemura, K.; Hiramatsu, S.; Okuda, M. Drug Repositioning of Proton Pump Inhibitors for Enhanced Efficacy and Safety of Cancer Chemotherapy. Front. Pharmacol. 2017, 8, 911. [Google Scholar] [CrossRef]
- Bi, Y.; Might, M.; Vankayalapati, H.; Kuberan, B. Repurposing of Proton Pump Inhibitors as first identified small molecule inhibitors of endo-beta-N-acetylglucosaminidase (ENGase) for the treatment of NGLY1 deficiency, a rare genetic disease. Bioorg. Med. Chem. Lett. 2017, 27, 2962–2966. [Google Scholar] [CrossRef]







| Metabolites | Reaction Type | Formula | Theoretical Mass [M + H]+ | Measured Mass [M + H]+ | Fragmentation (m/z) | Error (δ) ppm | RT (min) | Abs. Intensity |
|---|---|---|---|---|---|---|---|---|
| M1 | Hydroxylation | C16H18N4O4S | 363.1121 | 363.115 | 330, 198, 180, 151, 136 | 8.2 | 2.2 | 87,257 |
| M4 | Desulfoxidation Hydroxylation N-Oxygenation | C16H18N4O4S | 363.1121 | 363.115 | 345, 312, 214, 196, 152 | 9.2 | 3.0 | 9752 |
| M5 | Hydroxylation | C16H18N4O4S | 363.1121 | 363.115 | 214, 196, 184, 167, 152 | 10.3 | 3.1 | 235,348 |
| M6 | Hydroxylation | C16H18N4O4S | 363.1121 | 363.116 | 214, 196, 184, 167, 152 | 11.2 | 3.3 | 37,006 |
| P1 | Desulfoxidation Hydroxylation | C16H18N4O3S | 347.1172 | 347.122 | 314, 182, 150, 136, 120 | 13.0 | 3.4 | 614,468 |
| P2 | Desulfoxidation Hydroxylation | C16H18N4O3S | 347.1172 | 347.121 | 314, 198, 150, 138, 121 | 12.3 | 3.8 | 689,875 |
| Tenatoprazole sulfide | Desulfoxidation | C16H18N4O2S | 331.1223 | 331.124 | 298, 283, 182, 150, 136 | 6.6 | 5.3 | 3,607,768 |
| M8 | S-Oxygenation | C16H18N4O4S | 363.1121 | 363.115 | 299, 214, 196, 150 | 9.1 | 5.5 | 347,615 |
| Tenatoprazole | Parent | C16H18N4O3S | 347.1172 | 347.121 | 198, 180, 168, 151, 136 | 12.9 | 4.0 | 4,332,256 |
| Human P450 | Product | kcat (min−1) | Km (µM) | kcat/Km (min−1·µM−1) |
|---|---|---|---|---|
| 2C19 | 5′-OH tenatoprazole | 4.0 ± 0.2 | 23 ± 3 | 0.17 ± 0.02 |
| 2C19 | 5′-OH tenatoprazole sulfide | 2.0 ± 0.1 | 70 ± 5 | 0.029 ± 0.003 |
| 3A4 | 5′-OH tenatoprazole | 6.3 ± 0.3 | 2300 ± 170 | 0.0027 ± 0.0002 |
| 3A4 | Tenatoprazole sulfone | 2.7 ± 0.8 | 4000 ± 1600 | 0.00068 ± 0.00035 |
| Product | kcat (min−1) | Km (µM) | kcat /Km (min−1·µM−1) |
|---|---|---|---|
| S-tenatoprazole | 2.7 ± 0.2 | 66 ± 16 | 0.041 ± 0.009 |
| R-tenatoprazole | 4.0 ± 0.3 | 59 ± 13 | 0.068 ± 0.012 |
Disclaimer/Publisher’s Note: The statements, opinions and data contained in all publications are solely those of the individual author(s) and contributor(s) and not of MDPI and/or the editor(s). MDPI and/or the editor(s) disclaim responsibility for any injury to people or property resulting from any ideas, methods, instructions or products referred to in the content. |
© 2022 by the authors. Licensee MDPI, Basel, Switzerland. This article is an open access article distributed under the terms and conditions of the Creative Commons Attribution (CC BY) license (https://creativecommons.org/licenses/by/4.0/).
Share and Cite
Le, T.-K.; Park, Y.J.; Cha, G.S.; Oktavia, F.A.R.H.; Kim, D.H.; Yun, C.-H. Roles of Human Liver Cytochrome P450 Enzymes in Tenatoprazole Metabolism. Pharmaceutics 2023, 15, 23. https://doi.org/10.3390/pharmaceutics15010023
Le T-K, Park YJ, Cha GS, Oktavia FARH, Kim DH, Yun C-H. Roles of Human Liver Cytochrome P450 Enzymes in Tenatoprazole Metabolism. Pharmaceutics. 2023; 15(1):23. https://doi.org/10.3390/pharmaceutics15010023
Chicago/Turabian StyleLe, Thien-Kim, Young Jin Park, Gun Su Cha, Fikri A. R. Hardiyanti Oktavia, Dong Hyun Kim, and Chul-Ho Yun. 2023. "Roles of Human Liver Cytochrome P450 Enzymes in Tenatoprazole Metabolism" Pharmaceutics 15, no. 1: 23. https://doi.org/10.3390/pharmaceutics15010023
APA StyleLe, T.-K., Park, Y. J., Cha, G. S., Oktavia, F. A. R. H., Kim, D. H., & Yun, C.-H. (2023). Roles of Human Liver Cytochrome P450 Enzymes in Tenatoprazole Metabolism. Pharmaceutics, 15(1), 23. https://doi.org/10.3390/pharmaceutics15010023

