Studies on the Interaction between Model Proteins and Fluorinated Ionic Liquids
Abstract
1. Introduction
2. Materials and Methods
2.1. Materials
2.2. Protein Purification
2.3. Small-Angle X-ray Scattering
2.4. Coarse-Grained Molecular Dynamics
2.5. Preparation of Nile-Red-Loaded Micelles
2.6. Protein Labeling
2.7. Fluorescence Microscopy
3. Results and Discussion
3.1. SAXS
3.2. Molecular Dynamics
3.3. Fluorescence Microscopy
4. Conclusions
Author Contributions
Funding
Data Availability Statement
Acknowledgments
Conflicts of Interest
References
- Schröder, C. Proteins in Ionic Liquids: Current Status of Experiments and Simulations. Top. Curr. Chem. 2017, 375, 127–152. [Google Scholar] [CrossRef]
- Harada, L.; Pereira, J.; Campos, W.; Silva, E.; Moutinho, C.; Vila, M.; Oliveira Jr., J.; Teixeira, J.; Balcão, V.; Tubino, M.; et al. Insights into Protein-Ionic Liquid Interactions Aiming at Macromolecule Delivery Systems. J. Braz. Chem. Soc. 2018, 29, 1983–1998. [Google Scholar] [CrossRef]
- Molodenskiy, D.; Shirshin, E.; Tikhonova, T.; Gruzinov, A.; Peters, G.; Spinozzi, F. Thermally induced conformational changes and protein-protein interactions of bovine serum albumin in aqueous solution under different pH and ionic strengths as revealed by SAXS measurements. Phys. Chem. Chem. Phys. 2017, 19, 17143–17155. [Google Scholar] [CrossRef] [PubMed]
- Pillai, V.V.S.; Benedetto, A. Ionic liquids in protein amyloidogenesis: A brief screenshot of the state-of-the-art. Biophys. Rev. 2018, 10, 847–852. [Google Scholar] [CrossRef] [PubMed]
- Sindhu, A.; Kumar, S.; Venkatesu, P. Contemporary Advancement of Cholinium-Based Ionic Liquids for Protein Stability and Long-Term Storage: Past, Present, and Future Outlook. ACS Sustain. Chem. Eng. 2022, 10, 4323–4344. [Google Scholar] [CrossRef]
- Bui-Le, L.; Clarke, C.J.; Bröhl, A.; Brogan, A.P.S.; Arpino, J.A.J.; Polizzi, K.M.; Hallett, J.P. Revealing the complexity of ionic liquid–protein interactions through a multi-technique investigation. Commun. Chem. 2020, 3, 55. [Google Scholar] [CrossRef]
- Buettner, C.S.; Cognigni, A.; Schröder, C.; Bica-Schröder, K. Surface-active ionic liquids: A review. J. Mol. Liq. 2022, 347, 118160. [Google Scholar] [CrossRef]
- Pereiro, A.B.; Araújo, J.M.M.; Teixeira, F.S.; Marrucho, I.M.; Piñeiro, M.M.; Rebelo, L.P.N. Aggregation behavior and total miscibility of fluorinated ionic liquids in water. Langmuir 2015, 31, 1283–1295. [Google Scholar] [CrossRef]
- Alves, M.M.S.; Araújo, J.M.M.; Martins, I.C.; Pereiro, A.B.; Archer, M. Insights into the interaction of Bovine Serum Albumin with Surface-Active Ionic Liquids in aqueous solution. J. Mol. Liq. 2021, 322, 114537. [Google Scholar] [CrossRef]
- Alves, M.; Vieira, N.S.M.; Rebelo, L.P.N.; Araújo, J.M.M.; Pereiro, A.B.; Archer, M. Fluorinated ionic liquids for protein drug delivery systems: Investigating their impact on the structure and function of lysozyme. Int. J. Pharm. 2017, 526, 309–320. [Google Scholar] [CrossRef]
- Blanchet, C.E.; Spilotros, A.; Schwemmer, F.; Graewert, M.A.; Kikhney, A.; Jeffries, C.M.; Franke, D.; Mark, D.; Zengerle, R.; Cipriani, F.; et al. Versatile sample environments and automation for biological solution X-ray scattering experiments at the P12 beamline (PETRA III, DESY). J. Appl. Crystallogr. 2015, 48, 431–443. [Google Scholar] [CrossRef] [PubMed]
- Franke, D.; Petoukhov, M.V.; Konarev, P.V.; Panjkovich, A.; Tuukkanen, A.; Mertens, H.D.T.; Kikhney, A.G.; Hajizadeh, N.R.; Franklin, J.M.; Jeffries, C.M.; et al. ATSAS 2.8: A comprehensive data analysis suite for small-angle scattering from macromolecular solutions. J. Appl. Crystallogr. 2017, 50, 1212–1225. [Google Scholar] [CrossRef] [PubMed]
- Konarev, P.V.; Volkov, V.V.; Sokolova, A.V.; Koch, M.H.J.; Svergun, D.I. PRIMUS: A Windows PC-based system for small-angle scattering data analysis. J. Appl. Crystallogr. 2003, 36, 1277–1282. [Google Scholar] [CrossRef]
- Souza, P.C.T.; Alessandri, R.; Barnoud, J.; Thallmair, S.; Faustino, I.; Grünewald, F.; Patmanidis, I.; Abdizadeh, H.; Bruininks, B.M.H.; Wassenaar, T.A.; et al. Martini 3: A general purpose force field for coarse-grained molecular dynamics. Nat. Methods 2021, 18, 382–388. [Google Scholar] [CrossRef]
- Abraham, M.J.; Murtola, T.; Schulz, R.; Páll, S.; Smith, J.C.; Hess, B.; Lindahl, E. GROMACS: High performance molecular simulations through multi-level parallelism from laptops to supercomputers. SoftwareX 2015, 1–2, 19–25. [Google Scholar] [CrossRef]
- Martinize2 with Vermouth Version 0.7.1. Available online: https://github.com/marrink-lab/vermouth-martinize (accessed on 21 July 2021).
- Berendsen, H.J.C.C.; Postma, J.P.M.M.; van Gunsteren, W.F.; DiNola, A.; Haak, J.R. Molecular dynamics with coupling to an external bath. J. Chem. Phys. 1984, 81, 3684–3690. [Google Scholar] [CrossRef]
- Bussi, G.; Donadio, D.; Parrinello, M. Canonical sampling through velocity rescaling. J. Chem. Phys. 2007, 126, 014101. [Google Scholar] [CrossRef]
- Parrinello, M.; Rahman, A. Polymorphic transitions in single crystals: A new molecular dynamics method. J. Appl. Phys. 1981, 52, 7182–7190. [Google Scholar] [CrossRef]
- Humphrey, W.; Dalke, A.; Schulten, K. VMD: Visual molecular dynamics. J. Mol. Graph. 1996, 14, 33–38. [Google Scholar] [CrossRef]
- Harris, C.R.; Millman, K.J.; van der Walt, S.J.; Gommers, R.; Virtanen, P.; Cournapeau, D.; Wieser, E.; Taylor, J.; Berg, S.; Smith, N.J.; et al. Array programming with NumPy. Nature 2020, 585, 357–362. [Google Scholar] [CrossRef]
- Gowers, R.J.; Linke, M.; Barnoud, J.; Reddy, T.; Melo, M.N.; Seyler, S.L.; Domanski, J.J.; Dotson, D.L.; Buchoux, S.; Kenney, I.M.; et al. MDAnalysis: A Python Package for the Rapid Analysis of Molecular Dynamics Simulations. In Proceedings of the 15th Python in Science Conference, Austin, TX, USA, 11–17 July 2016. [Google Scholar]
- Daura, X.; Gademann, K.; Jaun, B.; Seebach, D.; Van Gunsteren, W.F.; Mark, A.E. Peptide folding: When simulation meets experiment. Angew. Chem.-Int. Ed. 1999, 38, 236–240. [Google Scholar] [CrossRef]
- Greenspan, P.; Fowler, S.D. Spectrofluorometric studies of the lipid probe, nile red. J. Lipid Res. 1985, 26, 781–789. [Google Scholar] [CrossRef] [PubMed]
- Kurniasih, I.N.; Liang, H.; Mohr, P.C.; Khot, G.; Rabe, J.P.; Mohr, A. Nile red dye in aqueous surfactant and micellar solution. Langmuir 2015, 31, 2639–2648. [Google Scholar] [CrossRef]
- Takekiyo, T.; Yamazaki, K.; Yamaguchi, E.; Abe, H.; Yoshimura, Y. High ionic liquid concentration-induced structural change of protein in aqueous solution: A case study of lysozyme. J. Phys. Chem. B 2012, 116, 11092–11097. [Google Scholar] [CrossRef] [PubMed]
- Han, Q.; Smith, K.M.; Darmanin, C.; Ryan, T.M.; Drummond, C.J.; Greaves, T.L. Lysozyme conformational changes with ionic liquids: Spectroscopic, small angle x-ray scattering and crystallographic study. J. Colloid Interface Sci. 2021, 585, 433–443. [Google Scholar] [CrossRef]
- Han, Q.; Broomhall, H.C.; Vieira Veríssimo, N.; Ryan, T.M.; Drummond, C.J.; Pereira, J.F.; Greaves, T.L. Protic Ionic Liquid Cation Alkyl Chain Length Effect on Lysozyme Structure. Molecules 2022, 27, 984. [Google Scholar] [CrossRef]
- Thoppil, A.A.; Chennuri, B.K.; Gardas, R.L. Insights into the structural changes of bovine serum albumin in ethanolammonium laurate based surface active ionic liquids. J. Mol. Liq. 2019, 290, 111229. [Google Scholar] [CrossRef]


















| IL Designation | Chemical Structure | Critical Aggregation Concentration (CAC) in Water |
|---|---|---|
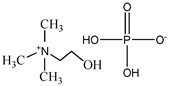
| Cholinium dihydrogen phosphate [N1112(OH)][H2PO4] | ![]() | Non-surfactant |
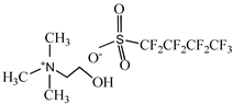
| Cholinium perfluorobutanesulfonate [N1112(OH)][C4F9SO3] | ![]() | 16.07 mM (0.65% v/v) [8] |
| 1-Ethyl-3-methylimidazolium perfluorobutanesulfonate [C2C1Im][C4F9SO3] | ![]() | 14.55 mM (0.60% v/v) [8] |
| Ex/Em (nm) | ε (cm−1 M−1) | |
|---|---|---|
| Nile Red (NR) | 552/635 | 38,000 |
| NHS-Rhodamine (Rho) | 552/575 | 80,000 |
| NHS-Fluorescein (Fluo) | 494/518 | 70,000 |
| Rg (Å) | VP (Å3) | Dmax (Å) | MM (kDa) | |
|---|---|---|---|---|
| Lysozyme | 14.4 ± 0.00 | 21,658 | 42.7 | 13.54 |
| [N1112(OH)][H2PO4] (% v/v) | ||||
| 0.3 | 14.8 ± 0.00 | 22,968 | 44.0 | 14.35 |
| 0.6 | 14.9 ± 0.00 | 23,033 | 46.8 | 14.40 |
| 1.2 | 15.1 ± 0.00 | 24,239 | 47.0 | 15.15 |
| 1.8 | 15.3 ± 0.01 | 25,188 | 48.8 | 15.74 |
| [N1112(OH)][C4F9SO3] (% v/v) | ||||
| 0.3 | 15.4 ± 0.02 | 22,889 | 49.1 | 14.31 |
| 0.6 | 15.4 ± 0.02 | 22,966 | 53.0 | 14.35 |
| 1.2 | 15.7 ± 0.03 | 24,559 | 40.8 | 15.35 |
| 1.8 | 17.6 ± 0.03 | 23,404 | 55.0 | 14.63 |
| [C2C1Im][C4F9SO3] (% v/v) | ||||
| 0.3 | 15.3 ± 0.01 | 21,963 | 50.6 | 13.73 |
| 0.6 | 15.8 ± 0.01 | 25,171 | 51.0 | 15.73 |
| 1.2 | 15.7 ± 0.01 | 21,578 | 50.9 | 13.49 |
| 1.8 | 15.9 ± 0.01 | 26,523 | 51.3 | 16.58 |
| Rg (Å) | VP (Å3) | Dmax (Å) | MM (kDa) | |
|---|---|---|---|---|
| BSA | 29.5 ± 0.01 | 111,818 | 101.7 | 69.89 |
| [N1112(OH)][H2PO4] (% v/v) | ||||
| 0.3 | 27.5 ± 0.02 | 98,843 | 82.4 | 61.78 |
| 0.6 | 27.0 ± 0.00 | 95,974 | 79.0 | 59.99 |
| 1.2 | 27.7 ± 0.00 | 97,216 | 85.1 | 60.76 |
| 1.8 | 28.0 ± 0.00 | 97,685 | 91.1 | 61.05 |
| [N1112(OH)][C4F9SO3] (% v/v) | ||||
| 0.3 | 26.4 ± 0.01 | 95.236 | 83.2 | 59.52 |
| 0.6 | 26.3 ± 0.01 | 93,533 | 81.4 | 58.46 |
| 1.2 | 26.5 ± 0.01 | 91,602 | 79.9 | 57.25 |
| 1.8 | 26.1 ± 0.01 | 90,896 | 78.5 | 56.81 |
| [C2C1Im][C4F9SO3] (% v/v) | ||||
| 0.3 | 26.5 ± 0.01 | 93,024 | 79.9 | 58.14 |
| 0.6 | 26.4 ± 0.01 | 92,497 | 79.1 | 57.81 |
| 1.2 | 26.3 ± 0.01 | 90,556 | 78.8 | 56.60 |
| 1.8 | 26.3 ± 0.01 | 89,995 | 76.6 | 56.25 |
Disclaimer/Publisher’s Note: The statements, opinions and data contained in all publications are solely those of the individual author(s) and contributor(s) and not of MDPI and/or the editor(s). MDPI and/or the editor(s) disclaim responsibility for any injury to people or property resulting from any ideas, methods, instructions or products referred to in the content. |
© 2023 by the authors. Licensee MDPI, Basel, Switzerland. This article is an open access article distributed under the terms and conditions of the Creative Commons Attribution (CC BY) license (https://creativecommons.org/licenses/by/4.0/).
Share and Cite
Alves, M.M.S.; Melo, M.N.; Mertens, H.D.T.; Pereiro, A.B.; Archer, M. Studies on the Interaction between Model Proteins and Fluorinated Ionic Liquids. Pharmaceutics 2023, 15, 157. https://doi.org/10.3390/pharmaceutics15010157
Alves MMS, Melo MN, Mertens HDT, Pereiro AB, Archer M. Studies on the Interaction between Model Proteins and Fluorinated Ionic Liquids. Pharmaceutics. 2023; 15(1):157. https://doi.org/10.3390/pharmaceutics15010157
Chicago/Turabian StyleAlves, Márcia M. S., Manuel N. Melo, Haydyn D. T. Mertens, Ana B. Pereiro, and Margarida Archer. 2023. "Studies on the Interaction between Model Proteins and Fluorinated Ionic Liquids" Pharmaceutics 15, no. 1: 157. https://doi.org/10.3390/pharmaceutics15010157
APA StyleAlves, M. M. S., Melo, M. N., Mertens, H. D. T., Pereiro, A. B., & Archer, M. (2023). Studies on the Interaction between Model Proteins and Fluorinated Ionic Liquids. Pharmaceutics, 15(1), 157. https://doi.org/10.3390/pharmaceutics15010157




