Formulation Development of Fluconazole-Loaded Lactose Agglomerate Tablets as a Disinfectant for Candida-Associated Dentures
Abstract
1. Introduction
2. Materials and Methods
2.1. Materials
2.2. Preparation of Lactose Agglomerates
2.3. Characterization of Lactose Agglomerates
2.3.1. Particle Morphology
2.3.2. Flow and Compaction Properties
2.4. Formulation and Preparation of Fluconazole Tablets
2.5. Evaluation of Fluconazole Tablets
2.6. HPLC Analysis
2.7. Anticandidal Activity Studies
3. Results
3.1. Characteristics of Lactose Agglomerates
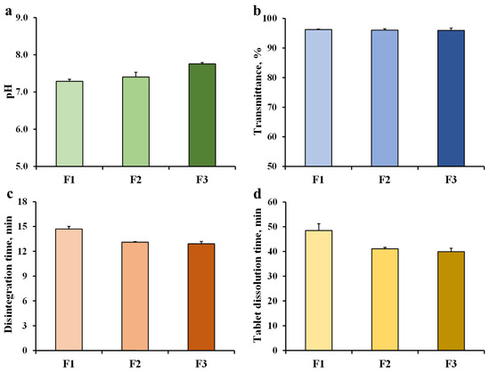
3.2. Effect of Buffering Agent on Tablets
3.3. Effect of Disintegrant on Tablets
3.4. Effect of Surfactant on Tablets
3.5. Anticandidal Activity of Fluconazole Mixtures
4. Conclusions
Author Contributions
Funding
Institutional Review Board Statement
Informed Consent Statement
Data Availability Statement
Acknowledgments
Conflicts of Interest
References
- Zomorodian, K.; Haghighi, N.N.; Rajaee, N.; Pakshir, K.; Tarazooie, B.; Vojdani, M.; Sedaghat, F.; Vosoghi, M. Assessment of Candida Species Colonization and Denture-Related Stomatitis in Complete Denture Wearers. Med. Mycol. 2011, 49, 208–211. [Google Scholar] [CrossRef] [PubMed]
- Pereira-Cenci, T.; Cury, A.A.D.B.; Crielaard, W.; Cate, J.M.T.C. Development of Candida-Associated Denture Stomatitis: New Insights. J. Appl. Oral Sci. 2008, 16, 86–94. [Google Scholar] [CrossRef] [PubMed]
- Koba, C.; Koga, C.; Cho, T.; Kusukawa, J. Determination of Candida Species Nestled in Denture Fissures. Biomed. Rep. 2013, 1, 529–533. [Google Scholar] [CrossRef] [PubMed][Green Version]
- Han, Y.; Liu, X.; Yu Cai, Y. Effects of Two Peroxide Enzymatic Denture Cleaners on Candida albicans Biofilms and Denture Surface. BMC Oral Health 2020, 20, 193. [Google Scholar] [CrossRef]
- Hashizume, L.N.; Hoscharuk, M.F.; Moreira, M.J.S. Effect of Affordable Disinfectant Solutions on Candida albicans Adhered to Acrylic Resin for Dental Prosthesis. Rev. Gaúch. Odontol. 2015, 63, 309–314. [Google Scholar] [CrossRef]
- Pasko, M.T.; Piscitelli, S.D.; Van Slooten, A.D. Fluconazole: A New Triazole Antifungal Agent. DICP. Ann. Pharmac. 1990, 24, 860–867. [Google Scholar] [CrossRef]
- Ivanov, M.; Ćirić, A.; Stojković, D. Emerging Antifungal Targets and Strategies. Int. J. Mol. Sci. 2022, 23, 2756. [Google Scholar] [CrossRef]
- Corrêa, J.C.R.; Salgado, H.R.N. Review of Fluconazole and Analytical Methods for Its Determination. Crit. Rev. Anal. Chem. 2011, 41, 124–132. [Google Scholar] [CrossRef]
- Park, H.J.; Kim, M.S.; Kim, J.S.; Cho, W.; Park, J.; Cha, K.H.; Kang, Y.S.; Hwang, S.J. Solid-State Carbon NMR Characterization and Investigation of Intrinsic Dissolution Behavior of Fluconazole Polymorphs, Anhydrate Forms I and II. Chem. Pharm. Bull. 2010, 58, 1243–1247. [Google Scholar] [CrossRef][Green Version]
- Rathod, V.S.; Raut, J.S.; Karuppayil, S.M. In Vitro Antifungal Susceptibility Reveals Occurrence of Azole Resistance Among Clinical Isolates of Candida albicans. Asian J. Pharm. Clin. Res. 2012, 5, 171–174. [Google Scholar]
- Danby, C.S.; Boikov, D.; Rautemaa-Richardson, R.; Sobel, J.D. Effect of pH on In Vitro Susceptibility of Candida glabrata and Candida albicans to 11 Antifungal Agents and Implications for Clinical Use. Antimicrob. Agents Chemother. 2012, 56, 1403–1406. [Google Scholar] [CrossRef] [PubMed]
- Jivraj, M.; Martini, L.G.; Thomson, C.M. An Overview of the Different Excipients Useful for the Direct Compression of Tablets. Pharma. Sci. Technol. Today 2000, 3, 58–63. [Google Scholar] [CrossRef]
- Chen, H.; Aburub, A.; Sun, C.C. Direct Compression Tablet Containing 99% Active Ingredient-A Tale of Spherical Crystallization. J. Pharm. Sci. 2019, 108, 1396–1400. [Google Scholar] [CrossRef] [PubMed]
- Mitrevej, A.; Sinchaipanid, N.; Faroongsarng, D. Spray-Dried Rice Starch: Comparative Evaluation of Direct Compression Fillers. Drug Dev. Ind. Pharm. 1996, 22, 587–594. [Google Scholar] [CrossRef]
- Capece, M.; Huang, Z.; Dave, R. Insight into a Novel Strategy for the Design of Tablet Formulations Intended for Direct Compression. J. Pharm. Sci. 2017, 106, 1608–1617. [Google Scholar] [CrossRef]
- Ilić, I.; Kása, P.; Dreu, R.; Pintye-Hódi, K.; Srčič, S. The Compressibility and Compactibility of Different Types of Lactose. Drug Dev. Ind. Pharm. 2009, 35, 1271–1280. [Google Scholar] [CrossRef]
- Pietsch, W. An Interdisciplinary Approach to Size Enlargement by Agglomeration. Powder Technol. 2003, 130, 8–13. [Google Scholar] [CrossRef]
- Khlibsuwan, R.; Pongjanyakul, T. Particle Agglomeration of Chitosan–Magnesium Aluminum Silicate Nanocomposites for Direct Compression Tablets. Int. J. Pharm. 2018, 535, 410–419. [Google Scholar] [CrossRef]
- Siriwachirachai, C.; Pongjanyakul, T. Particle Agglomeration of Acid-Modified Tapioca Starches: Characterization and Use as Direct Compression Fillers in Tablets. Pharmaceutics 2022, 14, 1245. [Google Scholar] [CrossRef]
- Ali, A.; Alharthi, S.; Al-Shaalan, N.H.; Santali, E.Y. Development of Narrow-Bore C18 Column for Fast Separation of Peptides and Proteins in High-Performance Liquid Chromatography. Polymers 2022, 14, 2576. [Google Scholar] [CrossRef]
- Mendes, A.I.; Silva, A.C.; Catita, J.A.M.; Cerqueira, F.; Gabriel, C.; Lopes, C.M. Miconazole Loaded Nanostructured Lipid Carriers (NLC) for Local Delivery to the Oral Mucosa: Improving Antifungal Activity. Colloids Surf. B Biointerfaces 2013, 111, 755–763. [Google Scholar] [CrossRef]
- Verma, P.; Ahuja, M. Optimization, Characterization and Evaluation of Chitosan Tailored Cubic Nanoparticles of Clotrimazole. Int. J. Biol. Macromol. 2015, 73, 138–145. [Google Scholar] [CrossRef] [PubMed]
- Khlibsuwan, R.; Khunkitti, W.; Pongjanyakul, T. Alginate-Caseinate Composites: Molecular Interactions and Characterization of Cross-Linked Beads for the Delivery of Anticandidals. Int. J. Biol. Macromol. 2018, 115, 483–493. [Google Scholar] [CrossRef] [PubMed]
- Simons, S.J.R.; Rossetti, D.; Pagliai, P.; Ward, R.; Fitzpatrick, S. The Relationship between Surface Properties and Binder Perfoermance in Granulation. Chem. Eng. Sci. 2005, 60, 4055–4060. [Google Scholar] [CrossRef]
- Nyström, C.; Glazer, M. Studies on Direct Compression of Tablets. XIII. The Effect of Some Dry Binders on the Tablet Strength of Compounds with Different Fragmentation Propensity. Int. J. Pharm. 1985, 23, 255–263. [Google Scholar] [CrossRef]
- Rojas, J.; Guisao, S.; Ruge, V. Functional Assessment of Four Types of Disintegrants and Their Effect on the Spironolactone Release Properties. AAPS Pharm. Sci. Technol. 2012, 13, 1054–1062. [Google Scholar] [CrossRef] [PubMed]
- Apeji, Y.E.; Zechariah, F.D.; Anyebe, S.N.; Tytler, B.; Olowosulu, A.K.; Oyi, A.R. Effect of Mode of Superdisintegrant Incorporation on Tableting Properties of Metronidazole Granules. Pharm. Sci. Asia 2019, 46, 25–32. [Google Scholar] [CrossRef]
- Charoo, N.; Cristofoletti, R.; Graham, A.; Lartey, P.; Abrahamsson, B.; Groot, D.W.; Kopp, S.; Langguth, P.; Polli, J.; Shah, V.P.; et al. Biowaiver Monograph for Immediate-Release Solid Oral Dosage Forms: Fluconazole. J. Pharm. Sci. 2014, 103, 3843–3858. [Google Scholar] [CrossRef]
- Balouiri, M.; Sadiki, M.; Ibnsouda, S.K. Methods for in Vitro Evaluating Antimicrobial Activity: A Review. J. Pharm. Anal. 2016, 6, 71–79. [Google Scholar] [CrossRef]
- Arendrup, M.; Lundgren, B.; Jensen, I.M.; Hansen, B.S.; Frimodt-Møller, N. Comparison of Etest and a Tablet Diffusion Test with the NCCLS Broth Microdilution Method for Fluconazole and Amphotericin B Susceptibility Testing of Candida Isolates. J. Antimicrob. Chemoth. 2001, 47, 521–526. [Google Scholar] [CrossRef][Green Version]






| Characteristics | Lactose | Lactose Agglomerates | SDL | ||
|---|---|---|---|---|---|
| 2% PVP | 4% PVP | 6% PVP | |||
| Powders a | |||||
| -Bulk density | 0.40 ± 0.01 | 0.39 ± 0.01 | 0.40 ± 0.01 | 0.41 ± 0.01 | 0.58 ± 0.01 |
| -Tapped density | 0.61 ± 0.01 | 0.50 ± 0.01 | 0.50 ± 0.01 | 0.47 ± 0.01 | 0.71 ± 0.01 |
| -Carr’s index | 34.67 ± 1.15 | 21.86 ± 0.49 | 19.15 ± 0.96 | 14.17 ± 1.76 | 22.36 ± 1.44 |
| -Hausner ratio | 1.53 ± 0.03 | 1.27 ± 0.01 | 1.24 ± 0.01 | 1.17 ± 0.02 | 1.20 ± 0.02 |
| -Flow property | Very poor | Passable | Fair | Good | Passable |
| Tablets b | |||||
| -Weight (mg) | 247.44 ± 0.47 | 248.32 ± 0.61 | 249.32 ± 0.80 | 248.70 ± 0.45 | 247.92 ± 0.42 |
| -Thickness (mm) | 2.50 ± 0.02 | 2.47 ± 0.04 | 2.51 ± 0.02 | 2.60 ± 0.02 | 2.53 ± 0.02 |
| -Hardness (N) | 16.87 ± 0.78 | 43.64 ± 6.47 | 46.09 ± 5.59 | 62.76 ± 5.98 | 22.58 ± 2.03 |
| Component | Content in Formulation (% w/w) | |||||
|---|---|---|---|---|---|---|
| F1 | F2 | F3 | F4 | F5 | F6 | |
| Fluconazole | 20.0 | 20.0 | 20.0 | 20.0 | 20.0 | 20.0 |
| Disodium hydrogen phosphate | 10.0 | 11.7 | 13.3 | 13.3 | 13.3 | 13.3 |
| Sodium dihydrogen phosphate | 5.0 | 3.3 | 1.7 | 1.7 | 1.7 | 1.7 |
| Lactose agglomerates | 64.0 | 64.0 | 64.0 | 61.5 | 59.0 | 49.0 |
| Magnesium stearate | 1.0 | 1.0 | 1.0 | 1.0 | 1.0 | 1.0 |
| Sodium starch glycolate | - | - | - | 2.5 | 5.0 | 5.0 |
| Sodium lauryl sulphate | - | - | - | - | - | 10.0 |
| Tablet Characteristics | F1 | F2 | F3 | F4 | F5 | F6 |
| Weight (mg) | 299.1 ± 0.7 | 298.6 ± 0.8 | 296.4 ± 0.8 | 297.6 ± 1.5 | 298.26 ± 0.6 | 299.1 ± 0.5 |
| Thickness (mm) | 2.94 ± 0.03 | 2.89 ± 0.02 | 2.89 ± 0.03 | 2.89 ± 0.03 | 2.78 ± 0.01 | 2.96 ± 0.04 |
| Hardness (N) | 71.98 ± 2.82 | 74.73 ± 4.07 | 58.25 ± 4.36 | 60.41 ± 1.64 | 79.63 ± 3.63 | 64.53 ± 4.57 |
Publisher’s Note: MDPI stays neutral with regard to jurisdictional claims in published maps and institutional affiliations. |
© 2022 by the authors. Licensee MDPI, Basel, Switzerland. This article is an open access article distributed under the terms and conditions of the Creative Commons Attribution (CC BY) license (https://creativecommons.org/licenses/by/4.0/).
Share and Cite
Jarungsirawat, R.; Kajthunyakarn, W.; Siriwachirachai, C.; Pongjanyakul, T. Formulation Development of Fluconazole-Loaded Lactose Agglomerate Tablets as a Disinfectant for Candida-Associated Dentures. Pharmaceutics 2022, 14, 1723. https://doi.org/10.3390/pharmaceutics14081723
Jarungsirawat R, Kajthunyakarn W, Siriwachirachai C, Pongjanyakul T. Formulation Development of Fluconazole-Loaded Lactose Agglomerate Tablets as a Disinfectant for Candida-Associated Dentures. Pharmaceutics. 2022; 14(8):1723. https://doi.org/10.3390/pharmaceutics14081723
Chicago/Turabian StyleJarungsirawat, Rapee, Wanassnant Kajthunyakarn, Chaipat Siriwachirachai, and Thaned Pongjanyakul. 2022. "Formulation Development of Fluconazole-Loaded Lactose Agglomerate Tablets as a Disinfectant for Candida-Associated Dentures" Pharmaceutics 14, no. 8: 1723. https://doi.org/10.3390/pharmaceutics14081723
APA StyleJarungsirawat, R., Kajthunyakarn, W., Siriwachirachai, C., & Pongjanyakul, T. (2022). Formulation Development of Fluconazole-Loaded Lactose Agglomerate Tablets as a Disinfectant for Candida-Associated Dentures. Pharmaceutics, 14(8), 1723. https://doi.org/10.3390/pharmaceutics14081723
