Innovative Insights into In Vitro Activity of Colloidal Platinum Nanoparticles against ESBL-Producing Strains of Escherichia coli and Klebsiella pneumoniae
Abstract
:1. Introduction
2. Materials and Methods
2.1. Bacterial Species, Growing Conditions, and Inoculum Preparation
2.2. Susceptibility Testing of ESBL-Producing Strains
2.3. Determination of MIC and MBC Values—Serial Microdilution Method
2.4. Testing the Antibacterial Effect over Time—“Time–Kill” Method
2.5. Biofilm Inhibition
2.5.1. Biofilm Formation Assay
2.5.2. Antibiofilm Analysis on Preformed (Mature) Biofilms
2.6. Viability of Bacteria 48–72 h after Nanoparticle Exposure
2.7. ROS Formation under the Action of Platinum Nanoparticles
2.8. Determination of Bacterial Cell Wall Permeability by the Action of Platinum Nanoparticles—DNA/RNA and Protein Leakage
2.9. Nanoparticle Tracking Analysis of Original Colloidal Platinum Nanoparticle Samples
2.10. Statistical Data Processing
3. Results
3.1. Susceptibility of Clinical ESBL-Positive Strains and the MIC and MBC Achieved by Colloidal Platinum Nanoparticles
3.2. Antibacterial Effect of Colloidal Solution of Platinum Nanoparticles over Time—“Time–Kill” Kinetics Assay
3.3. Inhibition of Biofilm by Platinum Nanoparticles
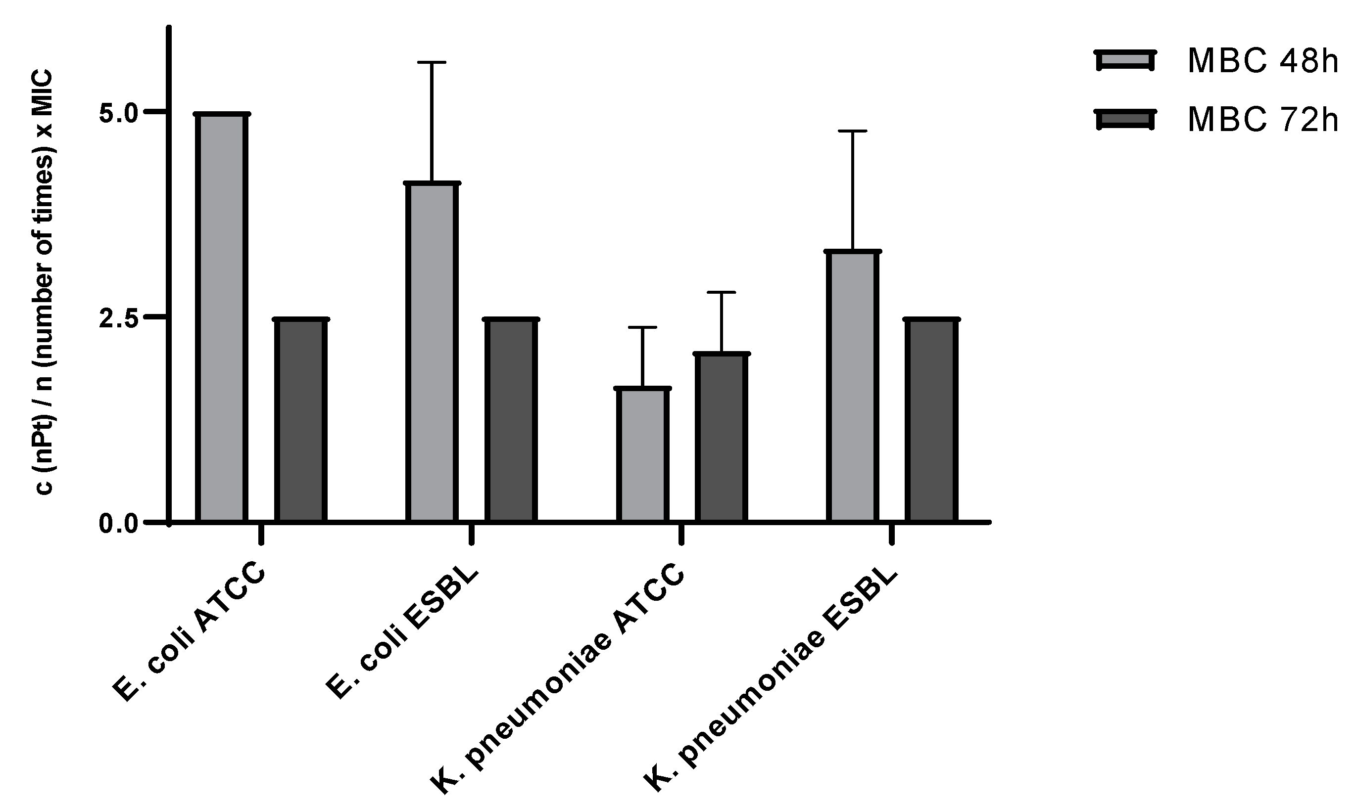
3.4. Viability of Bacteria 48–72 h after Nanoparticle Exposure
3.5. Effect of Platinum Nanoparticles on ROS Release
3.6. Effect of Platinum Nanoparticles on Cell Wall Permeability
3.7. Nanoparticle Tracking Analysis of the Original Colloidal Platinum Nanoparticle Samples
4. Discussion
5. Conclusions
Supplementary Materials
Author Contributions
Funding
Institutional Review Board Statement
Informed Consent Statement
Data Availability Statement
Conflicts of Interest
References
- WHO. Global Antimicrobial Resistance Surveillance System (GLASS) Report. 2017. Available online: https://apps.who.int/iris/bitstream/handle/10665/279656/9789241515061-eng.pdf (accessed on 19 November 2021).
- León-Buitimea, A.; Garza-Cárdenas, C.R.; Garza-Cervantes, J.A.; Lerma-Escalera, J.A.; Morones-Ramírez, J.R. The Demand for New Antibiotics: Antimicrobial Peptides, Nanoparticles, and Combinatorial Therapies as Future Strategies in Antibacterial Agent Design. Front. Microbiol. 2020, 11, 1669. [Google Scholar] [CrossRef]
- Balderrama-González, A.S.; Piñón-Castillo, H.A.; Ramírez-Valdespino, C.A.; Landeros-Martínez, L.L.; Orrantia-Borunda, E.; Esparza-Ponce, H.E. Antimicrobial Resistance and Inorganic Nanoparticles. Int. J. Mol. Sci. 2021, 22, 12890. [Google Scholar] [CrossRef] [PubMed]
- Makabenta, J.M.V.; Nabawy, A.; Li, C.H.; Schmidt-Malan, S.; Patel, R.; Rotello, V.M. Nanomaterial-based therapeutics for antibiotic-resistant bacterial infections. Nat. Rev. Microbiol. 2021, 19, 23–36. [Google Scholar] [CrossRef] [PubMed]
- Elmonir, W.; El-Aziz, N.A.; Tartor, Y.; Moustafa, S.; Remela, E.A.; Eissa, R.; Saad, H.; Tawab, A. Emergence of Colistin and Carbapenem Resistance in Extended-Spectrum β-Lactamase Producing Klebsiella pneumoniae Isolated from Chickens and Humans in Egypt. Biology 2021, 10, 373. [Google Scholar] [CrossRef] [PubMed]
- Pelgrift, R.Y.; Friedman, A.J. Nanotechnology as a therapeutic tool to combat microbial resistance. Adv. Drug Deliv. Rev. 2013, 65, 1803–1815. [Google Scholar] [CrossRef]
- da Silva, P.B.; Araújo, V.H.S.; Fonseca-Santos, B.; Solcia, M.C.; Ribeiro, C.M.; da Silva, I.C.; Alves, R.C.; Pironi, A.M.; Silva, A.C.L.; Victorelli, F.D.; et al. Highlights Regarding the Use of Metallic Nanoparticles against Pathogens Considered a Priority by the World Health Organization. Curr. Med. Chem. 2021, 28, 1906–1956. [Google Scholar] [CrossRef]
- Colino, C.I.; Lanao, J.M.; Gutierrez-Millan, C. Recent advances in functionalized nanomaterials for the diagnosis and treatment of bacterial infections. Mater. Sci. Eng. C Mater. Biol. Appl. 2021, 121, 111843. [Google Scholar] [CrossRef]
- Fatima, F.; Siddiqui, S.; Khan, W.A. Nanoparticles as Novel Emerging Therapeutic Antibacterial Agents in the Antibiotics Resistant Era. Biol. Trace Elem. Res. 2021, 199, 2552–2564. [Google Scholar] [CrossRef]
- Gupta, A.; Mumtaz, S.; Li, C.H.; Hussain, I.; Rotello, V.M. Combatting antibiotic-resistant bacteria using nanomaterials. Chem. Soc. Rev. 2019, 48, 415–427. [Google Scholar] [CrossRef]
- Engin, A.B.; Engin, A. Nanoantibiotics: A Novel Rational Approach to Antibiotic Resistant Infections. Curr. Drug Metab. 2019, 20, 720–741. [Google Scholar] [CrossRef]
- Basavegowda, N.; Baek, K.H. Multimetallic Nanoparticles as Alternative Antimicrobial Agents: Challenges and Perspectives. Molecules 2021, 26, 912. [Google Scholar] [CrossRef] [PubMed]
- Burygin, G.; Khlebtsov, B.; Shantrokha, A.; Dykman, L.; Bogatyrev, V.; Khlebtsov, N. On the Enhanced Antibacterial Activity of Antibiotics Mixed with Gold Nanoparticles. Nanoscale Res. Lett. 2009, 4, 794–801. [Google Scholar] [CrossRef] [PubMed]
- Rice, K.M.; Ginjupalli, G.K.; Manne, N.D.P.K.; Jones, C.B.; Blough, E.R. A review of the antimicrobial potential of precious metal derived nanoparticle constructs. Nanotechnology 2019, 30, 372001. [Google Scholar] [CrossRef] [PubMed]
- Ristić, T.; Persin, Z.; Kralj Kuncic, M.; Kosalec, I.; Fras Zemljic, L. The evaluation of the in vitro antimicrobial properties of fibers functionalized by chitosan nanoparticles. Text. Res. J. 2019, 89, 748–761. [Google Scholar] [CrossRef]
- Mu, H.; Tang, J.; Liu, Q.; Sun, C.; Wang, T.; Duan, J. Potent Antibacterial Nanoparticles against Biofilm and Intracellular Bacteria. Sci. Rep. 2016, 6, 18877. [Google Scholar] [CrossRef] [PubMed]
- Ghasemi, F.; Jalal, R. Antimicrobial action of zinc oxide nanoparticles in combination with ciprofloxacin and ceftazidime against multidrug-resistant Acinetobacter baumannii. J. Glob. Antimicrob. Resist. 2016, 6, 118–122. [Google Scholar] [CrossRef]
- Shkodenko, L.; Kassirov, I.; Koshel, E. Metal Oxide Nanoparticles Against Bacterial Biofilms: Perspectives and Limitations. Microorganisms 2020, 8, 1545. [Google Scholar] [CrossRef]
- Brandelli, A.; Ritter, A.C.; Veras, F.F. Antimicrobial Activities of Metal Nanoparticles. In Metal Nanoparticles in Pharma; Rai, M., Shegokar, R., Eds.; Springer International Publishing AG: Cham, Switzerland, 2017; pp. 337–363, Chapter 15. [Google Scholar]
- Zaidi, S.; Misba, L.; Khan, A. Nano-therapeutics: A revolution in infection control in post antibiotic era. Nanomedicine 2017, 13, 2281–2301. [Google Scholar] [CrossRef]
- Yamada, M.; Foote, M.; Prow, T.W. Therapeutic gold, silver, and platinum nanoparticles WIREs. Nanomed. Nanobiotechnol. 2015, 7, 428–445. [Google Scholar] [CrossRef]
- Sabella, S. Impact of bionanointeractions of engineered nanoparticles for nanomedicine. In Nanotoxicology: Progress Toward Nanomedicine, 2nd ed.; Monteiro-Riviere, N.A., Tran, C.L., Eds.; CRC Press: Boca Raton, FL, USA, 2014; pp. 21–36. [Google Scholar]
- Papst, S.; Brimble, M.A.; Evans, C.W.; Verdon, D.J.; Feisst, V.; Dunbar, P.R.; Tilley, R.D.; Williams, D.E. Cell-targeted platinum nanoparticles and nanoparticle clusters. Org. Biomol. Chem. 2015, 13, 6567–6572. [Google Scholar] [CrossRef]
- Fahmy, S.A.; Preis, E.; Bakowsky, U.; Azzazy, H.M.E. Platinum Nanoparticles: Green Synthesis and Biomedical Applications. Molecules 2020, 25, 4981. [Google Scholar] [CrossRef] [PubMed]
- Azharuddin, M.; Zhu, G.H.; Das, D.; Ozgur, E.; Uzun, L.; Turner, A.P.F.; Patra, H.K. A repertoire of biomedical applications of noble metal nanoparticles. Chem. Commun. 2019, 55, 6964–6996. [Google Scholar] [CrossRef] [PubMed]
- Shurygina, I.A.; Shurygin, M.G. Nanoparticles in Wound Healing and Regeneration. In Metal Nanoparticles in Pharma; Rai, M., Shegokar, R., Eds.; Springer International Publishing AG: Cham, Switzerland, 2017; pp. 21–37, Chapter 2. [Google Scholar]
- Nejdl, L.; Kudr, J.; Moulick, A.; Hegerová, D.; Ruttkay-Nedecky, B.; Gumulec, J.; Cihalova, K.; Smerkova, K.; Dostálová, S.; Krizkova, S.; et al. Platinum nanoparticles induce damage to DNA and inhibit DNA replication. PLoS ONE 2017, 12, e0180798. [Google Scholar] [CrossRef] [PubMed]
- Kutwin, M.; Sawosz, E.; Jaworski, S.; Hinzmann, M.; Wierzbicki, M.; Hotowy, A.; Grodzik, M.; Winnicka, A.; Chwalibog, A. Investigation of platinum nanoparticle properties against U87 glioblastoma multiforme. Arch. Med. Sci. 2017, 13, 1322–1334. [Google Scholar] [CrossRef] [PubMed]
- Pedone, D.; Moglianetti, M.; De Luca, E.; Bardi, G.; Pompa, P.P. Platinum nanoparticles in nanobiomedicine. Chem. Soc. Rev. 2017, 46, 4951–4975. [Google Scholar] [CrossRef]
- Chlumsky, O.; Purkrtova, S.; Michova, H.; Sykorova, H.; Slepicka, P.; Fajstavr, D.; Ulbrich, P.; Viktorova, J.; Demnerova, K. Antimicrobial Properties of Palladium and Platinum Nanoparticles: A New Tool for Combating Food-Borne Pathogens. Int. J. Mol. Sci. 2021, 22, 7892. [Google Scholar] [CrossRef]
- Czubacka, E.; Czerczak, S. Are platinum nanoparticles safe to human health? Med. Pr. 2019, 70, 487–495. [Google Scholar] [CrossRef]
- Gupta, I.; Ingle, A.; Paralikar, P.; Pandit, R.; da Silva, S.S.; Rai, M. Bio-distribution and Toxicity of Noble Metal Nanoparticles in Humans. In Metal Nanoparticles in Pharma; Rai, M., Shegokar, R., Eds.; Springer International Publishing AG: Cham, Switzerland, 2017; pp. 469–482, Chapter 21. [Google Scholar]
- Yang, S.; Ren, J.; Wang, H. Injectable Micromotor@hydrogel system for antibacterial therapy. Chemistry 2021, 28, e202103867. [Google Scholar] [CrossRef]
- Itohiya, H.; Matsushima, Y.; Shirakawa, S.; Kajiyama, S.; Yashima, A.; Nagano, T.; Gomi, K. Organic resolution function and effects of platinum nanoparticles on bacteria and organic matter. PLoS ONE 2019, 14, e0222634. [Google Scholar] [CrossRef]
- Bharathan, S.; Sundaramoorthy, N.S.; Chandrasekaran, H.; Rangappa, G.; ArunKumar, G.; Subramaniyan, S.B.; Veerappan, A.; Nagarajan, S. Sub lethal levels of platinum nanoparticle cures plasmid and in combination with carbapenem, curtails carbapenem resistant Escherichia coli. Sci. Rep. 2019, 9, 5305. [Google Scholar] [CrossRef]
- Lee, H.; Lee, D.G. A Novel Strategy for Antimicrobial Agents: Silver Nanoparticles. In Metal Nanoparticles in Pharma; Rai, M., Shegokar, R., Eds.; Springer International Publishing AG: Cham, Switzerland, 2017; pp. 139–153, Chapter 8. [Google Scholar]
- Nishanthi, R.; Malathi, S.; John, P.S.; Palani, P. Green synthesis and characterization of bioinspired silver, gold and platinum nanoparticles and evaluation of their synergistic antibacterial activity after combining with different classes of antibiotics. Mater. Sci. Eng. C Mater. Biol. Appl. 2019, 96, 693–707. [Google Scholar] [CrossRef]
- Padmini, N.; Ajilda, A.A.K.; Sivakumar, N.; Selvakumar, G. Extended spectrum β-lactamase producing Escherichia coli and Klebsiella pneumoniae: Critical tools for antibiotic resistance pattern. J. Basic Microbiol. 2017, 57, 460–470. [Google Scholar] [CrossRef]
- Hyun, M.; Lee, J.Y.; Kim, H.A.; Ryu, S.Y. Comparison of Escherichia coli and Klebsiella pneumoniae Acute Pyelonephritis in Korean Patients. Infect Chemother. 2019, 51, 130–141. [Google Scholar] [CrossRef]
- WHO. Global Priority List of Antibiotic-Resistant Bacteria to Guide Research, Discovery, and Development of New Antibiotics. 2017. Available online: https://www.who.int/medicines/publications/WHO-PPL-Short_Summary_25Feb-ET_NM_WHO.pdf?ua=1 (accessed on 21 November 2021).
- Sutton, S. Measurement of microbial cells by optical density. J. Valid Technol. 2011, 17, 46–49. [Google Scholar]
- Spanu, T.; Sanguinetti, M.; Tumbarello, M.; D’Inzeo, T.; Fiori, B.; Posteraro, B.; Santangelo, R.; Cauda, R.; Fadda, G. Evaluation of the new VITEK 2 extended-spectrum β-lactamase (ESBL) test for rapid detection of ESBL production in Enterobacteriaceae isolates. J. Clin. Microbiol. 2006, 44, 3257–3262. [Google Scholar] [CrossRef] [PubMed]
- European Committee for Antimicrobial Susceptibility Testing (EUCAST) of the European Society for Clinical Microbiology and Infectious Diseases (ESCMID). EUCAST Discussion Document E. Def.5.1: Determination of minimum inhibitory concentrations (MICs) of antibacterial agents by broth dilution. Clin. Microbiol. Infec. 2003, 9, 1–7. [Google Scholar]
- Xu, X.; Ou, Z.M.; Wu, C.D. Growth Media Affect Assessment of Antimicrobial Activity of Plant-Derived Polyphenols. Biomed. Res. Int. 2018, 8308640. [Google Scholar] [CrossRef]
- Pokrovac, I.; Kosalec, I.; Ljoljić-Bilić, V.; Rezić, I. Antimicrobial Effect of Colloid Solutions of Nanoparticles of Elementary Metals and Metallic Oxides on MSSA and MRSA. (In Croatian). Diploma Thesis, Faculty of Pharmacy and Biochemistry, University of Zagreb, Zagreb, Croatia, September 2018. Available online: https://zir.nsk.hr/islandora/object/pharma%3A1100 (accessed on 5 September 2020).
- Balouiri, M.; Sadiki, M.; Ibnsouda, S.K. Methods for in vitro evaluating antimicrobial activity: A review. J. Pharm. Anal. 2016, 6, 71–79. [Google Scholar] [CrossRef]
- European Pharmacopoeia, 5th ed.; Council of Europe: Strasbourg, France, 2005; pp. 188–191.
- Puja, P.; Kumar, P. A perspective on biogenic synthesis of platinum nanoparticles and their biomedical applications. Spectrochim. Acta A Mol. Biomol. Spectrosc. 2019, 211, 94–99. [Google Scholar] [CrossRef]
- Sigma-Aldrich. Available online: https://www.sigmaaldrich.com/BA/en/product/sigma/m9956 (accessed on 13 September 2020).
- Yu, Q.; Fein, J.B. Controls on Bacterial Cell Envelope Sulfhydryl Site Concentrations: The Effect of Glucose Concentration During Growth. Environ. Sci. Technol. 2017, 51, 7395–7402. [Google Scholar] [CrossRef]
- Singh, P.; Pandit, S.; Mokkapati, V.; Garnæs, J.; Mijakovic, I. A Sustainable Approach for the Green Synthesis of Silver Nanoparticles from Solibacillus isronensis sp. and Their Application in Biofilm Inhibition. Molecules 2020, 25, 2783. [Google Scholar] [CrossRef] [PubMed]
- Pham, D.T.N.; Khan, F.; Phan, T.T.V.; Park, S.-K.; Manivasagan, P.; Oh, J.; Kim, Y.-M. Biofilm inhibition, modulation of virulence and motility properties by FeOOH nanoparticle in Pseudomonas aeruginosa. Braz J. Microbiol. 2019, 50, 791–805. [Google Scholar] [CrossRef] [PubMed]
- Wolska, K.I.; Grudniak, A.M.; Markowska, K. Inhibition of Bacterial Quorum Sensing Systems by Metal Nanoparticles. In Metal Nanoparticles in Pharma; Rai, M., Shegokar, R., Eds.; Springer International Publishing AG: Cham, Switzerland, 2017; pp. 123–138, Chapter 7. [Google Scholar]
- Zorić, N.; Kosalec, I.; Tomić, S.; Bobnjarić, I.; Jug, M.; Vlainić, T.; Vlainić, J. Membrane of Candida albicans as a target of berberine. BMC Complementary Med. Ther. 2017, 17, 268. [Google Scholar] [CrossRef] [PubMed]
- Mogana, R.; Adhikari, A.; Tzar, M.N.; Ramliza, R.; Wiart, C. Antibacterial activities of the extracts, fractions and isolated compounds from Canarium patentinervium Miq. against bacterial clinical isolates. BMC Complement Med. Ther. 2020, 20, 55. [Google Scholar] [CrossRef] [PubMed]
- Nikolova, M.P.; Chavali, M.S. Metal Oxide Nanoparticles as Biomedical Materials. Biomimetics 2020, 5, 27. [Google Scholar] [CrossRef]
- Cano, A.; Ettcheto, M.; Espina, M.; López-Machado, A.; Cajal, Y.; Rabanal, F.; Sánchez-López, E.; Camins, A.; García, M.L.; Souto, E.B. State-of-the-art polymeric nanoparticles as promising therapeutic tools against human bacterial infections. J. Nanobiotechnol. 2020, 18, 156. [Google Scholar] [CrossRef]
- Kotb, A.M.E.; Abd El-Aziz, N.K.; Elariny, E.Y.T.; Yahya, R.; Alkhalifah, D.H.M.; Ahmed, R.M. Synergistic Antibacterial Potential of 6-Pentyl-α-pyrone Lactone and Zinc Oxide Nanoparticles against Multidrug-Resistant Enterobacterales Isolated from Urinary Tract Infections in Humans. Antibiotics 2022, 11, 440. [Google Scholar] [CrossRef]
- De Leersnyder, I.; De Gelder, L.; Van Driessche, I.; Vermeir, P. Influence of growth media components on the antibacterial effect of silver ions on Bacillus subtilis in a liquid growth medium. Sci. Rep. 2018, 8, 9325. [Google Scholar] [CrossRef]
- Lai, H.Z.; Chen, W.Y.; Wu, C.Y.; Chen, Y.C. Potent antibacterial nanoparticles for pathogenic bacteria. ACS Appl. Mater. Interfaces 2015, 7, 2046–2054. [Google Scholar] [CrossRef]
- Tahir, K.; Nazir, S.; Ahmad, A.; Li, B.; Khan, A.U.; Khan, Z.U.H.; Khan, F.U.; Khan, Q.U.; Khan, A.; Rahman, A.U. Facile and green synthesis of phytochemicals capped platinum nanoparticles and in vitro their superior antibacterial activity. J. Photochem. Photobiol. B 2017, 166, 246–251. [Google Scholar] [CrossRef]
- Fanoro, O.T.; Parani, S.; Maluleke, R.; Lebepe, T.C.; Varghese, R.J.; Mgedle, N.; Mavumengwana, V.; Oluwafemi, O.S. Biosynthesis of Smaller-Sized Platinum Nanoparticles Using the Leaf Extract of Combretum erythrophyllum and Its Antibacterial Activities. Antibiotics 2021, 10, 1275. [Google Scholar] [CrossRef] [PubMed]
- Shaikh, S.; Nazam, N.; Rizvi, S.M.D.; Ahmad, K.; Baig, M.H.; Lee, E.J.; Choi, I. Mechanistic Insights into the Antimicrobial Actions of Metallic Nanoparticles and Their Implications for Multidrug Resistance. Int J. Mol. Sci. 2019, 20, 2468. [Google Scholar] [CrossRef] [PubMed]










| Bacterial Strain | MIC (µg mL−1) | |||||||||||||
|---|---|---|---|---|---|---|---|---|---|---|---|---|---|---|
| Ampicillin | Amoxicillin/ Clavulanic Acid | Piperacillin/ Tazobactam | Cefotaxime | Ceftazidime | Cefepime | Imipenem | Meropenem | Amikacin | Gentamicin | Ciprofloxacin | Norfloxacin | Fosfomycin | Trimethoprim/ Sulfamethoxazole | |
| E. coli MFBF 12795 ESBL+ | 8 (R) | 8 (S) | 64 (R) | 2 (I) | 16 (R) | 4 (I) | 2 (S) | 0.5 (S) | 4 (S) | ≦1 (S) | ≦0.25 (S) | 1 (I) | ≦16 (S) | ≦20 (S) |
| K. pneumoniae MFBF 10690 ESBL+ | ≧32 (R) | 16 (R) | 8 (R) | ≦1 (S) | 2 (I) | ≦1 (S) | 2 (S) | 2 (S) | 4 (S) | 2 (S) | ≦0.25 (S) | 1 ((I) | ≧256 (R) | ≦20 (S) |
| Bacterial Strain | MBC/ppm | MIC/ppm | MBC/MIC Ratio | Antibacterial Effect (According to MBC/MIC Ratio) [55] |
|---|---|---|---|---|
| E. coli ATCC 10536 | 8.33 ± 3.61 | 4.17 ± 1.80 | ~2 | Bactericidal |
| E. coli ESBL+ MFBF 12795 | 25.00 ± 0.00 | 12.50 ± 0.00 | 2 | Bactericidal |
| K. pneumoniae ATCC 700603 | 50.00 ± 0,00 | 12.50 ± 0.00 | 4 | Bactericidal |
| K. pneumoniae ESBL+ MFBF 10690 | 20.83 ± 7.22 | 3.13 ± 0.00 | ~6.65 | Bacteriostatic |
| Bacterial Strain | MBC/ppm | MIC/ppm | MBC/MIC Ratio | Antibacterial Effect (According to MBC/MIC Ratio) [55] |
|---|---|---|---|---|
| E. coli ATCC 10536 | 18.75 ± 0.00 | 12.5 ± 0.00 | 1.50 | Bactericidal |
| E. coli ESBL+ MFBF 12795 | 25.00 ± 0.00 | 21.87 ± 4.41 | ~1.14 | Bactericidal |
| K. pneumoniae ATCC 700603 | 37.5 ± 0.00 | 23.95 ± 1.80 | ~1.56 | Bactericidal |
| K. pneumoniae ESBL+ MFBF 10690 | 25.00 ± 0.00 | 15.31 ± 4.41 | ~1.63 | Bactericidal |
Publisher’s Note: MDPI stays neutral with regard to jurisdictional claims in published maps and institutional affiliations. |
© 2022 by the authors. Licensee MDPI, Basel, Switzerland. This article is an open access article distributed under the terms and conditions of the Creative Commons Attribution (CC BY) license (https://creativecommons.org/licenses/by/4.0/).
Share and Cite
Vukoja, D.; Vlainić, J.; Ljolić Bilić, V.; Martinaga, L.; Rezić, I.; Brlek Gorski, D.; Kosalec, I. Innovative Insights into In Vitro Activity of Colloidal Platinum Nanoparticles against ESBL-Producing Strains of Escherichia coli and Klebsiella pneumoniae. Pharmaceutics 2022, 14, 1714. https://doi.org/10.3390/pharmaceutics14081714
Vukoja D, Vlainić J, Ljolić Bilić V, Martinaga L, Rezić I, Brlek Gorski D, Kosalec I. Innovative Insights into In Vitro Activity of Colloidal Platinum Nanoparticles against ESBL-Producing Strains of Escherichia coli and Klebsiella pneumoniae. Pharmaceutics. 2022; 14(8):1714. https://doi.org/10.3390/pharmaceutics14081714
Chicago/Turabian StyleVukoja, Damir, Josipa Vlainić, Vanja Ljolić Bilić, Lela Martinaga, Iva Rezić, Diana Brlek Gorski, and Ivan Kosalec. 2022. "Innovative Insights into In Vitro Activity of Colloidal Platinum Nanoparticles against ESBL-Producing Strains of Escherichia coli and Klebsiella pneumoniae" Pharmaceutics 14, no. 8: 1714. https://doi.org/10.3390/pharmaceutics14081714
APA StyleVukoja, D., Vlainić, J., Ljolić Bilić, V., Martinaga, L., Rezić, I., Brlek Gorski, D., & Kosalec, I. (2022). Innovative Insights into In Vitro Activity of Colloidal Platinum Nanoparticles against ESBL-Producing Strains of Escherichia coli and Klebsiella pneumoniae. Pharmaceutics, 14(8), 1714. https://doi.org/10.3390/pharmaceutics14081714

