Bone-Targeted Delivery of Novokinin as an Alternative Treatment Option for Rheumatoid Arthritis
Abstract
:1. Introduction
2. Materials and Methods
2.1. Peptide Synthesis, Conjugation, and Characterization of Novo Conj
2.2. In Vitro Hydroxyapatite Study
2.3. Animal Study
2.3.1. Induction and Assessment of Experimental AIA
2.3.2. Assessment of Nitric Oxide
2.3.3. Quantitative Real-Time PCR (qRT-PCR)
2.3.4. Western Blotting
2.3.5. Ang 1-7 and Ang II Level by LC-MS/MS
Chemicals
Instrumentation
Chromatographic and Mass Spectrometric Condition
Plasma Sample Preparation
2.3.6. ArA Metabolites Analysis by LC-MS/MS
Chemicals
Instrumentation
Chromatographic and Mass Spectrometric Conditions
Plasma Sample Preparation
2.4. Statistical Analysis
3. Results
3.1. Synthesis and Characterization of Novokinin and Novo Conj
3.2. In Vitro Hydroxyapatite Binding Study
3.3. Animal Study
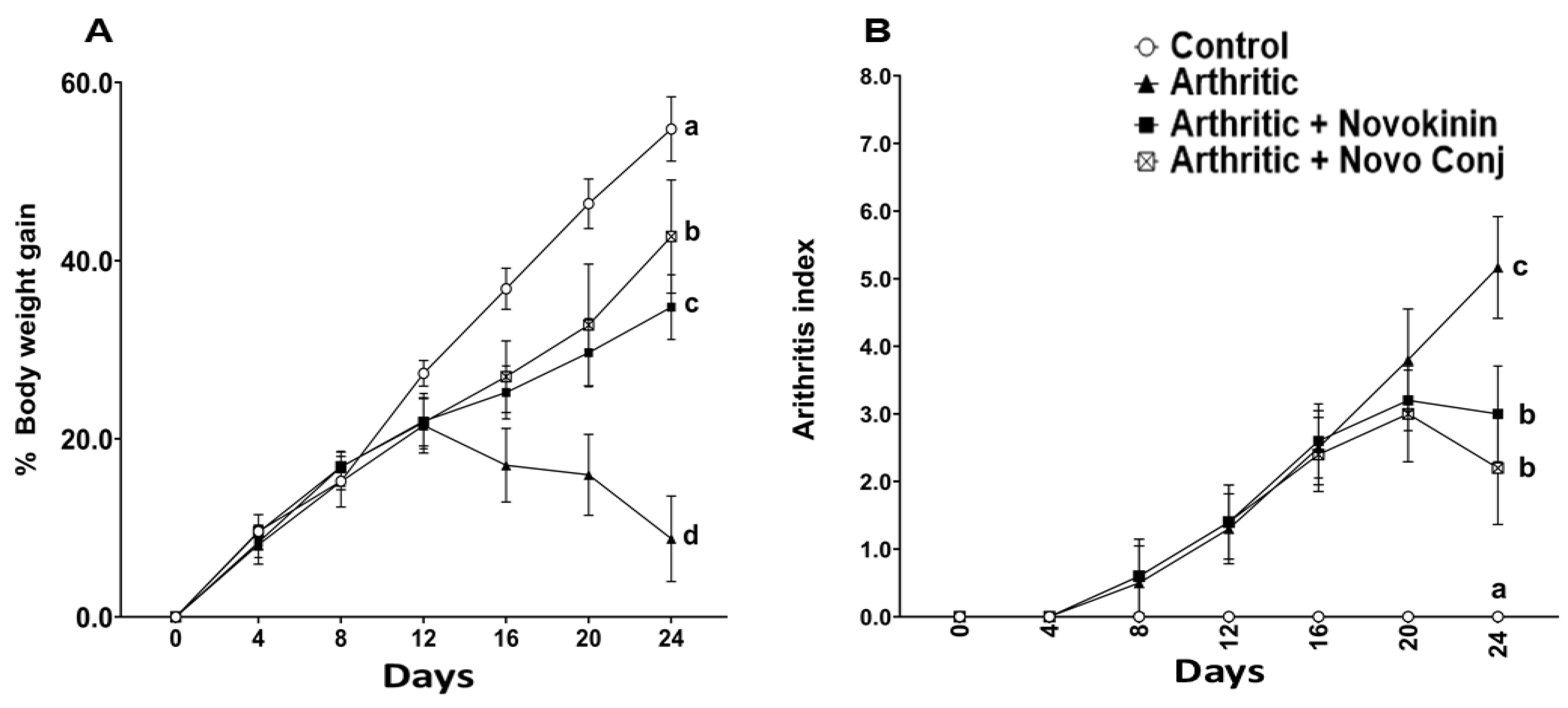
3.3.1. Effect of Novokinin and Novo Conj on Body Weight Gain and Clinical Symptoms of AIA
3.3.2. Novokinin and Novo Conj Reduce the Elevated Level of NO
3.3.3. Effect of Novokinin and Novo Conj on mRNA Expression of RAS Components
3.3.4. Effect of Novokinin and Novo Conj on Protein Expression of RAS Components
3.3.5. Effect of Novokinin and Novo Conj in Ang 1-7 and Ang II Plasma Levels
3.3.6. Effect of Novokinin and Novo Conj on ArA Metabolites Levels and Their Correlation with RAS Components
4. Discussion
Supplementary Materials
Author Contributions
Funding
Institutional Review Board Statement
Informed Consent Statement
Data Availability Statement
Acknowledgments
Conflicts of Interest
Abbreviations
References
- Almutairi, K.; Nossent, J.; Preen, D.; Keen, H.; Inderjeeth, C. The global prevalence of rheumatoid arthritis: A meta-analysis based on a systematic review. Rheumatol. Int. 2021, 41, 863–877. [Google Scholar] [CrossRef] [PubMed]
- McInnes, I.B.; Schett, G. The pathogenesis of rheumatoid arthritis. N. Engl. J. Med. 2011, 365, 2205–2219. [Google Scholar] [CrossRef] [PubMed]
- Yu, K.H.; Chen, H.H.; Cheng, T.T.; Jan, Y.J.; Weng, M.Y.; Lin, Y.J.; Chen, H.A.; Cheng, J.T.; Huang, K.Y.; Li, K.J.; et al. Consensus recommendations on managing the selected comorbidities including cardiovascular disease, osteoporosis, and interstitial lung disease in rheumatoid arthritis. Medicine 2022, 101, e28501. [Google Scholar] [CrossRef] [PubMed]
- Kohler, B.M.; Gunther, J.; Kaudewitz, D.; Lorenz, H.M. Current therapeutic options in the treatment of rheumatoid arthritis. J. Clin. Med. 2019, 8, 938. [Google Scholar] [CrossRef] [PubMed]
- Ranjit, A.; Khajehpour, S.; Aghazadeh-Habashi, A. Update on angiotensin II subtype 2 receptor: Focus on peptide and nonpeptide agonists. Mol. Pharm. 2021, 99, 469–487. [Google Scholar] [CrossRef] [PubMed]
- Khajehpour, S.; Aghazadeh-Habashi, A. Targeting the protective arm of the renin-angiotensin system: Focused on angiotensin-(1–7). J. Pharm. Exp. 2021, 377, 64–74. [Google Scholar] [CrossRef]
- Ranjbar, R.; Shafiee, M.; Hesari, A.; Ferns, G.A.; Ghasemi, F.; Avan, A. The potential therapeutic use of renin-angiotensin system inhibitors in the treatment of inflammatory diseases. J. Cell Physiol. 2019, 234, 2277–2295. [Google Scholar] [CrossRef]
- Moreira, F.R.C.; de Oliveira, T.A.; Ramos, N.E.; Abreu, M.A.D.; Simoes, E.S.A.C. The role of renin angiotensin system in the pathophysiology of rheumatoid arthritis. Mol. Biol. Rep. 2021, 48, 6619–6629. [Google Scholar] [CrossRef]
- Wu, Y.; Li, M.; Zeng, J.; Feng, Z.; Yang, J.; Shen, B.; Zeng, Y. Differential expression of renin-angiotensin system-related components in patients with rheumatoid arthritis and osteoarthritis. Am. J. Med. Sci. 2020, 359, 17–26. [Google Scholar] [CrossRef]
- Hoxha, M. A systematic review on the role of eicosanoid pathways in rheumatoid arthritis. Adv. Med. Sci. 2018, 63, 22–29. [Google Scholar] [CrossRef]
- Wang, B.; Wu, L.; Chen, J.; Dong, L.; Chen, C.; Wen, Z.; Hu, J.; Fleming, I.; Wang, D.W. Metabolism pathways of arachidonic acids: Mechanisms and potential therapeutic targets. Signal. Transduct. Target. 2021, 6, 94. [Google Scholar] [CrossRef]
- Aghazadeh-Habashi, A.; Asghar, W.; Jamali, F. Simultaneous determination of selected eicosanoids by reversed-phase HPLC method using fluorescence detection and application to rat and human plasma, and rat heart and kidney samples. J. Pharm. Biomed. Anal. 2015, 110, 12–19. [Google Scholar] [CrossRef] [PubMed]
- Aghazadeh-Habashi, A.; Asghar, W.; Jamali, F. Drug-disease interaction: Effect of inflammation and nonsteroidal anti-inflammatory drugs on cytochrome P450 metabolites of arachidonic acid. J. Pharm. Sci. 2018, 107, 756–763. [Google Scholar] [CrossRef] [PubMed]
- Asghar, W.; Aghazadeh-Habashi, A.; Jamali, F. Cardiovascular effect of inflammation and nonsteroidal anti-inflammatory drugs on renin–angiotensin system in experimental arthritis. Inflammopharmacology 2017, 25, 543–553. [Google Scholar] [CrossRef] [PubMed]
- Rompe, F.; Artuc, M.; Hallberg, A.; Alterman, M.; Stroder, K.; Thone-Reineke, C.; Reichenbach, A.; Schacherl, J.; Dahlof, B.; Bader, M.; et al. Direct angiotensin II type 2 receptor stimulation acts anti-inflammatory through epoxyeicosatrienoic acid and inhibition of nuclear factor kappaB. Hypertension 2010, 55, 924–931. [Google Scholar] [CrossRef]
- Yamada, Y.; Matoba, N.; Usui, H.; Onishi, K.; Yoshikawa, M. Design of a highly potent anti-hypertensive peptide based on ovokinin(2–7). Biosci. Biotechnol. Biochem. 2002, 66, 1213–1217. [Google Scholar] [CrossRef]
- Yamada, Y.; Yamauchi, D.; Yokoo, M.; Ohinata, K.; Usui, H.; Yoshikawa, M. A potent hypotensive peptide, novokinin, induces relaxation by AT2- and IP-receptor-dependent mechanism in the mesenteric artery from SHRs. Biosci. Biotechnol. Biochem. 2008, 72, 257–259. [Google Scholar] [CrossRef]
- Ohinata, K.; Fujiwara, Y.; Fukumoto, S.; Iwai, M.; Horiuchi, M.; Yoshikawa, M. Angiotensin II and III suppress food intake via angiotensin AT2 receptor and prostaglandin EP4 receptor in mice. FEBS Lett. 2008, 582, 773–777. [Google Scholar] [CrossRef]
- Zhang, Y.; Xiu, M.; Jiang, J.; He, J.; Li, D.; Liang, S.; Chen, Q. Novokinin inhibits gastric acid secretion and protects against alcohol-induced gastric injury in rats. Alcohol 2016, 56, 1–8. [Google Scholar] [CrossRef]
- Patel, M.; Kurade, M.; Rajalingam, S.; Bhavsar, R.; Mustafa, S.J.; Ponnoth, D.S. Role of angiotensin II type 1 (AT1) and type 2 (AT2) receptors in airway reactivity and inflammation in an allergic mouse model of asthma. Immunopharmacol. Immunotoxicol. 2019, 41, 428–437. [Google Scholar] [CrossRef]
- Di, L. Strategic approaches to optimizing peptide ADME properties. AAPS J. 2015, 17, 134–143. [Google Scholar] [CrossRef] [PubMed]
- Bhandari, K.H.; Newa, M.; Chapman, J.; Doschak, M.R. Synthesis, characterization and evaluation of bone targeting salmon calcitonin analogs in normal and osteoporotic rats. J. Control. Release 2012, 158, 44–52. [Google Scholar] [CrossRef] [PubMed]
- Uludag, H.; Yang, J. Targeting systemically administered proteins to bone by bisphosphonate conjugation. Biotechnol. Prog. 2002, 18, 604–611. [Google Scholar] [CrossRef] [PubMed]
- Yang, Y.; Aghazadeh-Habashi, A.; Panahifar, A.; Wu, Y.; Bhandari, K.H.; Doschak, M.R. Bone-targeting parathyroid hormone conjugates outperform unmodified PTH in the anabolic treatment of osteoporosis in rats. Drug Deliv. Transl. Res. 2017, 7, 482–496. [Google Scholar] [CrossRef] [PubMed]
- Bordy, R.; Moretto, J.; Devaux, S.; Wendling, D.; Moretto-Riedweg, K.; Demougeot, C.; Totoson, P. Adjuvant-induced arthritis is a relevant model to mimic coronary and myocardial impairments in rheumatoid arthritis. Jt. Bone Spine 2021, 88, 105069. [Google Scholar] [CrossRef] [PubMed]
- Bendele, A. Animal models of rheumatoid arthritis. J. Musculoskelet Neuronal. Interact. 2001, 1, 377–385. [Google Scholar]
- Aghazadeh-Habashi, A.; Khajehpour, S. Improved pharmacokinetics and bone tissue accumulation of Angiotensin-(1–7) peptide through bisphosphonate conjugation. Amino Acids 2021, 53, 653–664. [Google Scholar] [CrossRef]
- Aghazadeh-Habashi, A.; Kohan, M.G.; Asghar, W.; Jamali, F. Glucosamine dose/concentration-effect correlation in the rat with adjuvant arthritis. J. Pharm. Sci. 2014, 103, 760–767. [Google Scholar] [CrossRef]
- Shum, M.; Pinard, S.; Guimond, M.-O.; Labbé, S.M.; Roberge, C.; Baillargeon, J.-P.; Langlois, M.-F.; Alterman, M.; Wallinder, C.; Hallberg, A. Angiotensin II type 2 receptor promotes adipocyte differentiation and restores adipocyte size in high-fat/high-fructose diet-induced insulin resistance in rats. Am. J. Physiol. Endocrinol. Metab. 2013, 304, E197–E210. [Google Scholar] [CrossRef]
- Exner, E.C.; Geurts, A.M.; Hoffmann, B.R.; Casati, M.; Stodola, T.; Dsouza, N.R.; Zimmermann, M.; Lombard, J.H.; Greene, A.S. Interaction between Mas1 and AT1RA contributes to enhancement of skeletal muscle angiogenesis by angiotensin-(1–7) in Dahl salt-sensitive rats. PLoS ONE 2020, 15, e0232067. [Google Scholar] [CrossRef]
- Liu, C.X.; Hu, Q.; Wang, Y.; Zhang, W.; Ma, Z.Y.; Feng, J.B.; Wang, R.; Wang, X.P.; Dong, B.; Gao, F. Angiotensin-converting enzyme (ACE) 2 overexpression ameliorates glomerular injury in a rat model of diabetic nephropathy: A comparison with ACE inhibition. Mol. Med. 2011, 17, 59–69. [Google Scholar] [CrossRef] [PubMed]
- Dai, S.-Y.; Peng, W.; Zhang, Y.-P.; Li, J.-D.; Shen, Y.; Sun, X.-F. Brain endogenous angiotensin II receptor type 2 (AT2-R) protects against DOCA/salt-induced hypertension in female rats. J. Neuroinflamm. 2015, 12, 47. [Google Scholar] [CrossRef] [PubMed]
- Wang, T.; Lian, G.; Cai, X.; Lin, Z.; Xie, L. Effect of prehypertensive losartan therapy on AT1R and ATRAP methylation of adipose tissue in the later life of high-fat-fed spontaneously hypertensive rats. Mol. Med. Rep. 2018, 17, 1753–1761. [Google Scholar] [CrossRef] [PubMed]
- Cui, L.; Nithipatikom, K.; Campbell, W.B. Simultaneous analysis of angiotensin peptides by LC–MS and LC–MS/MS: Metabolism by bovine adrenal endothelial cells. Anal. Biochem. 2007, 369, 27–33. [Google Scholar] [CrossRef]
- Edpuganti, V.; Mehvar, R. UHPLC–MS/MS analysis of arachidonic acid and 10 of its major cytochrome P450 metabolites as free acids in rat livers: Effects of hepatic ischemia. J. Chromatogr. B 2014, 964, 153–163. [Google Scholar] [CrossRef]
- Costa, N.T.; Iriyoda, T.M.V.; Alfieri, D.F.; Dichi, I. Influence of disease-modifying antirheumatic drugs on oxidative and nitrosative stress in patients with rheumatoid arthritis. Inflammopharmacology 2018, 26, 1151–1164. [Google Scholar] [CrossRef]
- Mirdad, T.M.; Al-Ani, B.; Aseeri, F.F.; Kamar, S.S.; Mirdad, R.; AlGilban, H.M.; Haidara, M.A.; Abbas, A.M.; Dawood, A.F. Suppression of nitrosative stress and inflammation of the knee joint synovium in collagen type II-induced rheumatoid arthritis by the inhibition of glycogen synthase kinase-3ß. Int. J. Morphol. 2022, 40, 84–90. [Google Scholar] [CrossRef]
- Ayoub, M.; Scheidegger, D. Peptide drugs, overcoming the challenges, a growing business. Chim. Oggi. 2006, 24, 46. [Google Scholar]
- McGregor, D.P. Discovering and improving novel peptide therapeutics. Curr. Opin. Pharmacol. 2008, 8, 616–619. [Google Scholar] [CrossRef]
- Veronese, F.M.; Pasut, G. PEGylation, successful approach to drug delivery. Drug Discov. Today 2005, 10, 1451–1458. [Google Scholar] [CrossRef]
- Terenzi, R.; Manetti, M.; Rosa, I.; Romano, E.; Galluccio, F.; Guiducci, S.; Ibba-Manneschi, L.; Matucci-Cerinic, M. Angiotensin II type 2 receptor (AT2R) as a novel modulator of inflammation in rheumatoid arthritis synovium. Sci. Rep. 2017, 7, 13293. [Google Scholar] [CrossRef]
- Yamada, Y.; Yamauchi, D.; Usui, H.; Zhao, H.; Yokoo, M.; Ohinata, K.; Iwai, M.; Horiuchi, M.; Yoshikawa, M. Hypotensive activity of novokinin, a potent analogue of ovokinin (2–7), is mediated by angiotensin AT2 receptor and prostaglandin IP receptor. Peptides 2008, 29, 412–418. [Google Scholar] [CrossRef] [PubMed]
- Mutlu, E.; Ilhan, N.; Ilhan, N.; Ilhan, S.; Susam, S. Comparative effectiveness of novokinin, perindopril and losartan on blood pressure, adma, nadph oxidase and rho kinase at renal tissue in L-name and salt induced hypertension. Clin. Exp. Pharmacol. 2015, 5, 197. [Google Scholar] [CrossRef]
- Nagy, G.; Koncz, A.; Telarico, T.; Fernandez, D.; Érsek, B.; Buzás, E.; Perl, A. Central role of nitric oxide in the pathogenesis of rheumatoid arthritis and sysemic lupus erythematosus. Arthritis Res. Ther. 2010, 12, 210. [Google Scholar] [CrossRef] [PubMed]
- Conforti, A.; Lussignoli, S.; Bertani, S.; Ortolani, R.; Cuzzolin, L.; Benoni, G.; Bellavite, P. Cytokine and nitric oxide levels in a rat model of immunologic protection from adjuvant-induced arthritis. Int. J. Immunopathol. Pharmacol. 2001, 14, 153–160. [Google Scholar] [PubMed]
- Cobankara, V.; Öztürk, M.A.; Kiraz, S.; Ertenli, I.; Haznedaroglu, I.C.; Pay, S.; Çalgüneri, M. Renin and angiotensin-converting enzyme (ACE) as active components of the local synovial renin-angiotensin system in rheumatoid arthritis. Rheumatol. Int. 2005, 25, 285–291. [Google Scholar] [CrossRef]
- Chang, Y.; Wei, W. Angiotensin II in inflammation, immunity and rheumatoid arthritis. Clin. Exp. Immunol. 2015, 179, 137–145. [Google Scholar] [CrossRef]
- Rodrigues Prestes, T.R.; Rocha, N.P.; Miranda, A.S.; Teixeira, A.L.; Simoes-e-Silva, A.C. The anti-inflammatory potential of ACE2/angiotensin-(1–7)/Mas receptor axis: Evidence from basic and clinical research. Curr. Drug Targets 2017, 18, 1301–1313. [Google Scholar] [CrossRef]
- Urman, A.; Taklalsingh, N.; Sorrento, C.; McFarlane, I.M. Inflammation beyond the joints: Rheumatoid arthritis and cardiovascular disease. SciFed J. Cardiol. 2018, 2, 1000019. [Google Scholar]
- Chang, S.-Y.; Chen, Y.-W.; Chenier, I.; Tran, S.L.M.; Zhang, S.-L. Angiotensin II type II receptor deficiency accelerates the development of nephropathy in type I diabetes via oxidative stress and ACE2. Exp. Diabetes Res. 2011, 2011, 521076. [Google Scholar] [CrossRef]
- Ali, Q.; Wu, Y.; Hussain, T. Chronic AT2 receptor activation increases renal ACE2 activity, attenuates AT1 receptor function and blood pressure in obese Zucker rats. Kidney Int. 2013, 84, 931–939. [Google Scholar] [CrossRef]
- Zhu, L.; Carretero, O.A.; Xu, J.; Harding, P.; Ramadurai, N.; Gu, X.; Peterson, E.; Yang, X.-P. Activation of angiotensin II type 2 receptor suppresses TNF-α-induced ICAM-1 via NF-кB: Possible role of ACE2. Am. J. Physiol. Heart Circ. Physiol. 2015, 309, H827–H834. [Google Scholar] [CrossRef] [PubMed]
- Barzegar, M.; Stokes, K.Y.; Chernyshev, O.; Kelley, R.E.; Alexander, J.S. The role of the ACE2/MasR axis in ischemic stroke: New insights for therapy. Biomedicines 2021, 9, 1667. [Google Scholar] [CrossRef] [PubMed]
- Ishizuka, T.; Cheng, J.; Singh, H.; Vitto, M.D.; Manthati, V.L.; Falck, J.R.; Laniado-Schwartzman, M. 20-Hydroxyeicosatetraenoic acid stimulates nuclear factor-κB activation and the production of inflammatory cytokines in human endothelial cells. J. Pharmacol. Exp. Ther. 2008, 324, 103–110. [Google Scholar] [CrossRef] [PubMed]
- Xu, X.; Zhang, X.A.; Wang, D.W. The roles of CYP450 epoxygenases and metabolites, epoxyeicosatrienoic acids, in cardiovascular and malignant diseases. Adv. Drug Deliv. Rev. 2011, 63, 597–609. [Google Scholar] [CrossRef] [PubMed]
- Hoxha, M.; Zappacosta, B. CYP-derived eicosanoids: Implications for rheumatoid arthritis. Prostaglandins Other Lipid Mediat. 2020, 146, 106405. [Google Scholar] [CrossRef]








| Gene | Sequence | AN | AS | Ref |
|---|---|---|---|---|
| AT2R | 5′-GGTCTGCTGGGATTGCCTTAATG-3′ | NM_001385624.1 | 142 | [29] |
| 5′-ACTTGGTCACGGGTAATTCTGTTC-3′ | ||||
| AT1R | 5′-GGAAACAGCTTGGTGGTGAT-3′ | NM_008771594.3 | 171 | [30] |
| 5′-ACTAGGTGATTGCCGAAGG-3′ | ||||
| ACE2 | 5′-ACCCTTCTTACATCAGCCCTACTG-3′ | NM_001012006.2 | 74 | [31] |
| 5′-TGTCCAAAACTACCCCACATAT-3′ | ||||
| ACE | 5′-TTTGCTACACAAATGGCACTTGT-3′ | NM_012544.1 | 67 | [32] |
| 5′-CGGGACGTGGCCATTATATT-3′ | ||||
| GAPDH | 5′-CCTGCACCACCAACTGCTTA-3′ | NM-017008.4 | 95 | [33] |
| 5′-AGTGATGGCATGGACTGTGG-3′ |
| Concentration | Intra-Day | Inter-Day | ||
|---|---|---|---|---|
| CV (%) | Accuracy (%) | CV (%) | Accuracy (%) | |
| Ang 1-7 (ng/mL) | ||||
| 0.31 | 9.39 | 105.61 | 6.64 | 102.74 |
| 1.25 | 3.42 | 95.11 | 1.29 | 108.09 |
| 5 | 1.34 | 100.78 | 2.17 | 98.95 |
| Ang II (pg/mL) | ||||
| 200 | 5.05 | 102.94 | 8.45 | 96.81 |
| 800 | 2.39 | 102.52 | 5.69 | 100.95 |
| 3200 | 1.076 | 99.12 | 0.95 | 101.03 |
| Analyte | Q1 m/z | Q3 m/z | DPV | CE | CXP | EP |
|---|---|---|---|---|---|---|
| 5,6-EET | 319 | 191 | −30 | −14 | −11 | −10 |
| 8,9-EET | 319 | 155 | −30 | −14 | −11 | −10 |
| 11,12-EET | 319 | 208 | −120 | −18 | −11 | −10 |
| 11,12-EET | 319 | 167 | −120 | −18 | −11 | −10 |
| 14,15-EET | 319 | 219 | −105 | −16 | −13 | −10 |
| 5,6-DiHT | 337 | 145 | −115 | −22 | −11 | −10 |
| 5,6-DiHT | 337 | 145 | −115 | −22 | −11 | −10 |
| 8,9-DiHT | 337 | 127 | −105 | −26 | −11 | −10 |
| 11,12-DiHT | 337 | 167 | −115 | −24 | −19 | −10 |
| 14,15-DiHT | 337 | 207 | −40 | −24 | −13 | −10 |
| 19-HETE | 319 | 231 | −125 | −20 | −12 | −10 |
| 20-HETE | 319 | 245 | −95 | −22 | −15 | −10 |
| Concentration | Intra-Day | Inter-Day | |||
|---|---|---|---|---|---|
| CV (%) | Accuracy (%) | CV (%) | Accuracy (%) | LLOQ | |
| 5,6-EET (ng/mL) | 0.07 ng/mL | ||||
| 0.62 | 8.76 | 101.883 | 4.53 | 107.73 | |
| 5 | 2.12 | 101.46 | 3.76 | 103.41 | |
| 40 | 7.23 | 98.27 | 6.36 | 99.30 | |
| 160 | 0.73 | 100.26 | 0.68 | 100.06 | |
| 8,9-EET (ng/mL) | 0.28 ng/mL | ||||
| 0.62 | 3.13 | 106.12 | 7.74 | 101.86 | |
| 5 | 6.51 | 99.96 | 6.84 | 100.53 | |
| 40 | 4.89 | 100.66 | 4.32 | 99.86 | |
| 160 | 0.34 | 100.22 | 0.22 | 100.56 | |
| 11,12-EET (ng/mL) | 0.45 ng/mL | ||||
| 0.62 | 3.57 | 103.76 | 7.62 | 97.68 | |
| 5 | 0.41 | 102.64 | 9.76 | 98.04 | |
| 40 | 1.92 | 98.91 | 2.31 | 96.67 | |
| 160 | 0.17 | 100.45 | 1.71 | 101.78 | |
| 14,15-EET (ng/mL) | 0.31 ng/mL | ||||
| 0.62 | 7.54 | 100.26 | 6.69 | 96.53 | |
| 5 | 6.89 | 96.53 | 7.58 | 103.06 | |
| 40 | 6.55 | 99.525 | 5.74 | 101.35 | |
| 160 | 2.28 | 101.64 | 1.12 | 102.61 | |
| 5,6-DiHT (ng/mL) | 0.14 ng/mL | ||||
| 0.62 | 5.97 | 101.33 | 9.37 | 97.06 | |
| 5 | 5.11 | 107.86 | 9.55 | 99.60 | |
| 40 | 2.95 | 103.15 | 5.85 | 104.37 | |
| 160 | 0.62 | 102.29 | 1.34 | 101.81 | |
| 8,9-DiHT (ng/mL) | 0.01 ng/mL | ||||
| 0.62 | 9.74 | 101.33 | 9.35 | 100.26 | |
| 5 | 9.06 | 105.33 | 5.18 | 102.01 | |
| 40 | 3.06 | 102.28 | 3.11 | 100.23 | |
| 160 | 1.06 | 101.60 | 1.81 | 101.37 | |
| 11,12-DiHT (ng/mL) | 0.20 ng/mL | ||||
| 0.62 | 5.00 | 104.80 | 7.92 | 101.54 | |
| 5 | 3.22 | 110.26 | 2.25 | 105.86 | |
| 40 | 2.73 | 106.32 | 2.43 | 103.44 | |
| 160 | 2.00 | 100.30 | 1.81 | 101.21 | |
| 14,15-DiHT (ng/mL) | 0.12 ng/mL | ||||
| 0.62 | 4.76 | 99.62 | 3.91 | 103.78 | |
| 5 | 3.19 | 105.33 | 2.45 | 102.2 | |
| 40 | 2.17 | 103.44 | 4.46 | 101.95 | |
| 160 | 0.31 | 101.73 | 1.69 | 102.13 | |
| 19-HETE (ng/mL) | 0.18 ng/mL | ||||
| 0.62 | 4.33 | 96.48 | 9.61 | 102.4 | |
| 5 | 5.49 | 110.40 | 4.23 | 114.6 | |
| 40 | 1.82 | 105.29 | 3.67 | 107.14 | |
| 160 | 2.81 | 102.69 | 2.26 | 102.27 | |
| 20-HETE (ng/mL) | 0.25 ng/mL | ||||
| 0.62 | 4.87 | 105.51 | 3.38 | 106.56 | |
| 5 | 5.04 | 113.07 | 3.06 | 109.73 | |
| 40 | 2.91 | 106.89 | 1.87 | 106.87 | |
| 160 | 1.10 | 101.64 | 1.46 | 102.83 | |
| % Increase in Paw Diameter | % Increase in Joint Diameter | |||
|---|---|---|---|---|
| Group | L. Hind | R. Hind | L. Hind | R. Hind |
| Control | 4.6(3.6) a | 4.3(2.6) a | 3.6(3.7) a | 5.8(3.2) a |
| Arthritic | 21.7(4.9) b | 23.7(4.9) b | 25.7(4.8) b | 24.9(5.7) b |
| Arthritic + Novokinin | 16.9(4.9) b | 15.8(3.9) b | 18.7(3.4) c | 18.1(6.3) b |
| Arthritic + Novo Conj | 13.8(5.9) c | 11.8(4.9) c | 10.4(3.5) d | 12.49(2.7) c |
| Ang 1-7 | Ang II | |||
|---|---|---|---|---|
| Plasma ArA Metabolites | r | p Value | r | p Value |
| 11,12- EET | 0.7188 | 0.0002 | −0.5613 | 0.0066 |
| 14,15-EET | 0.7245 | 0.0001 | −0.6809 | 0.0005 |
| T-EETs | 0.7110 | 0.0002 | −0.5887 | 0.0039 |
| 19-HETE | −0.7001 | 0.0003 | 0.6209 | 0.0021 |
| 20-HETE | −0.7379 | <0.0001 | 0.7518 | <0.0001 |
| T-HETEs | −0.7381 | <0.0001 | 0.7474 | <0.0001 |
| T-EETs/T-HETEs | 0.6505 | 0.0010 | −0.5382 | 0.0098 |
| 5,6-DiHT | 0.5525 | 0.0077 | −0.4943 | 0.0194 |
| 8,9-DiHT | 0.6846 | 0.0004 | −0.5679 | 0.0058 |
| 11,12-DiHT | 0.4643 | 0.0295 | −0.5157 | 0.0140 |
| T-DiHTs | 0.4674 | 0.0283 | −0.5619 | 0.0065 |
| T-DiHTs/T-HETEs | 0.4693 | 0.0276 | −0.4631 | 0.0301 |
Publisher’s Note: MDPI stays neutral with regard to jurisdictional claims in published maps and institutional affiliations. |
© 2022 by the authors. Licensee MDPI, Basel, Switzerland. This article is an open access article distributed under the terms and conditions of the Creative Commons Attribution (CC BY) license (https://creativecommons.org/licenses/by/4.0/).
Share and Cite
Ranjit, A.; Khajeh pour, S.; Aghazadeh-Habashi, A. Bone-Targeted Delivery of Novokinin as an Alternative Treatment Option for Rheumatoid Arthritis. Pharmaceutics 2022, 14, 1681. https://doi.org/10.3390/pharmaceutics14081681
Ranjit A, Khajeh pour S, Aghazadeh-Habashi A. Bone-Targeted Delivery of Novokinin as an Alternative Treatment Option for Rheumatoid Arthritis. Pharmaceutics. 2022; 14(8):1681. https://doi.org/10.3390/pharmaceutics14081681
Chicago/Turabian StyleRanjit, Arina, Sana Khajeh pour, and Ali Aghazadeh-Habashi. 2022. "Bone-Targeted Delivery of Novokinin as an Alternative Treatment Option for Rheumatoid Arthritis" Pharmaceutics 14, no. 8: 1681. https://doi.org/10.3390/pharmaceutics14081681
APA StyleRanjit, A., Khajeh pour, S., & Aghazadeh-Habashi, A. (2022). Bone-Targeted Delivery of Novokinin as an Alternative Treatment Option for Rheumatoid Arthritis. Pharmaceutics, 14(8), 1681. https://doi.org/10.3390/pharmaceutics14081681

