Factors Associated with Aspirin Resistance in Hong Kong Chinese Patients with Stable Coronary Heart Disease Using the Multiplate® Analyzer and Serum Thromboxane B2
Abstract
1. Introduction
2. Material and Methods
2.1. Study Population
2.2. Sample Collection
2.3. Multiplate® Analyzer
2.4. Serum Thromboxane B2 Assay
2.5. Other Assays
2.6. Haematology Assays
2.7. Definition of Aspirin Resistance with the ASPI Test
2.8. Statistical Analysis
3. Results
4. Discussion
5. Conclusions
Author Contributions
Funding
Institutional Review Board Statement
Informed Consent Statement
Data Availability Statement
Acknowledgments
Conflicts of Interest
References
- Ebrahimi, P.; Farhadi, Z.; Behzadifar, M.; Shabaninejad, H.; Gorji, H.A.; Mirghaed, M.T.; Salemi, M.; Amin, K.; Mohammadibakhsh, R.; Bragazzi, N.L.; et al. Prevalence rate of laboratory defined aspirin resistance in cardiovascular disease patients: A systematic review and meta-analysis. Casp. J. Intern. Med. 2020, 11, 124–134. [Google Scholar] [CrossRef]
- Floyd, C.N.; Ferro, A. Mechanisms of aspirin resistance. Pharmacol. Ther. 2014, 141, 69–78. [Google Scholar] [CrossRef]
- Guirgis, M.; Thompson, P.; Jansen, S. Review of aspirin and clopidogrel resistance in peripheral arterial disease. J. Vasc. Surg. 2017, 66, 1576–1586. [Google Scholar] [CrossRef]
- Chang, R.; Wu, J.; Han, C.; Liu, Y.; Liu, X.; Ye, Y.; Zhou, W. Correlation of aspirin resistance with serological indicators in patients with coronary heart disease in the plateau. Am. J. Transl. Res. 2021, 13, 9024–9031. [Google Scholar]
- Patrono, C. Aspirin resistance: Definition, mechanisms and clinical read-outs. J. Thromb. Haemost. 2003, 1, 1710–1713. [Google Scholar] [CrossRef] [PubMed]
- Hankey, G.J.; Eikelboom, J.W. Aspirin resistance. Lancet 2006, 367, 606–617. [Google Scholar] [CrossRef]
- Patrono, C.; Rocca, B. Drug insight: Aspirin resistance--fact or fashion? Nat. Clin. Pract. Cardiovasc. Med. 2007, 4, 42–50. [Google Scholar] [CrossRef] [PubMed]
- Patrono, C.; Rocca, B. Aspirin: Promise and resistance in the new millennium. Arterioscler. Thromb. Vasc. Biol. 2008, 28, s25–s32. [Google Scholar] [CrossRef]
- Leggio, M.; Bendini, M.G.; Caldarone, E.; Lombardi, M.; Severi, P.; D’Emidio, S.; Stavri, D.C.; Armeni, M.; Bravi, V.; Mazza, A. Low-dose aspirin for primary prevention of cardiovascular events in patients with diabetes: Benefit or risk? Diabetes Metab. 2018, 44, 217–225. [Google Scholar] [CrossRef]
- Fras, Z.; Sahebkar, A.; Banach, M. The use of aspirin in contemporary primary prevention of atherosclerotic cardiovascular diseases revisited: The increasing need and call for a personalized therapeutic approach. Am. J. Cardiovasc. Drugs 2021, 21, 139–151. [Google Scholar] [CrossRef]
- Larsen, S.B.; Grove, E.L.; Neergaard-Petersen, S.; Wurtz, M.; Hvas, A.M.; Kristensen, S.D. Reduced antiplatelet effect of aspirin does not predict cardiovascular events in patients with stable coronary artery disease. J. Am. Heart Assoc. 2017, 6, e006050. [Google Scholar] [CrossRef]
- Kahraman, S.; Dogan, A.; Ziyrek, M.; Usta, E.; Demiroz, O.; Ciftci, C. The association between aspirin resistance and extent and severity of coronary atherosclerosis. North Clin. Istanb. 2018, 5, 323–328. [Google Scholar] [CrossRef] [PubMed]
- Yan, A.; Naunton, M.; Peterson, G.M.; Fernandez-Cadenas, I.; Mortazavi, R. Effectiveness of platelet function Analysis-Guided aspirin and/or clopidogrel therapy in preventing secondary stroke: A systematic review and Meta-Analysis. J. Clin. Med. 2020, 9, 3907. [Google Scholar] [CrossRef] [PubMed]
- Brun, C.; Daali, Y.; Combescure, C.; Zufferey, A.; Michelson, A.D.; Fontana, P.; Reny, J.L.; Frelinger, A.L., III. Aspirin response: Differences in serum thromboxane B2 levels between clinical studies. Platelets 2016, 27, 196–202. [Google Scholar] [CrossRef] [PubMed]
- Petrucci, G.; Rizzi, A.; Cavalca, V.; Habib, A.; Pitocco, D.; Veglia, F.; Ranalli, P.; Zaccardi, F.; Pagliaccia, F.; Tremoli, E.; et al. Patient-independent variables affecting the assessment of aspirin responsiveness by serum thromboxane measurement. Thromb. Haemost. 2016, 116, 891–896. [Google Scholar] [CrossRef]
- Temperilli, F.; Rina, A.; Massimi, I.; Montemari, A.L.; Guarino, M.L.; Zicari, A.; Pulcinelli, F.M. Arachidonic acid-stimulated platelet tests: Identification of patients less sensitive to aspirin treatment. Platelets 2015, 26, 783–787. [Google Scholar] [CrossRef]
- Lassila, R. Platelet function tests in bleeding disorders. Semin. Thromb. Hemost. 2016, 42, 185–190. [Google Scholar] [CrossRef]
- Santilli, F.; Rocca, B.; Cristofaro, R.D.; Lattanzio, S.; Pietrangelo, L.; Habib, A.; Pettinella, C.; Recchiuti, A.; Ferrante, E.; Ciabattoni, G.; et al. Platelet cyclooxygenase inhibition by Low-Dose aspirin is not reflected consistently by platelet function assays: Implications for aspirin "resistance". J. Am. Coll. Cardiol. 2009, 53, 667–677. [Google Scholar] [CrossRef]
- Chen, F.; Maridakis, V.; O’Neill, E.A.; Beals, C.; Radziszewski, W.; de Lepeleire, I.; Van Dyck, K.; Depré, M.; Bolognese, J.A.; de Hoon, J.; et al. A randomized clinical trial comparing point-of-care platelet function assays and bleeding time in healthy subjects treated with aspirin or clopidogrel. Platelets 2012, 23, 249–258. [Google Scholar] [CrossRef]
- Peerschke, E.I.B.; Castellone, D.D.; Stroobants, A.K.; Francis, J. Reference range determination for whole-blood platelet aggregation using the Multiplate analyzer. Am. J. Clin. Pathol. 2014, 142, 647–656. [Google Scholar] [CrossRef]
- Chapman, K.; Favaloro, E.J. Time dependent reduction in platelet aggregation using the multiplate analyser and hirudin blood due to platelet clumping. Platelets 2018, 29, 305–308. [Google Scholar] [CrossRef] [PubMed]
- Gillet, B.; Ianotto, J.; Mingant, F.; Didier, R.; Gilard, M.; Ugo, V.; Lippert, E.; Galinat, H. Multiple Electrode Aggregometry is an adequate method for aspirin response testing in myeloproliferative neoplasms and differentiates the mechanisms of aspirin resistance. Thromb. Res. 2016, 142, 26–32. [Google Scholar] [CrossRef] [PubMed]
- Riley, R.D.; Debray, T.; Collins, G.S.; Archer, L.; Ensor, J.; van Smeden, M.; Snell, K. Minimum sample size for external validation of a clinical prediction model with a binary outcome. Stat. Med. 2021, 40, 4230–4251. [Google Scholar] [CrossRef]
- Schober, P.; Boer, C.; Schwarte, L.A. Correlation coefficients: Appropriate use and interpretation. Anesth. Analg. 2018, 126, 1763–1768. [Google Scholar] [CrossRef] [PubMed]
- Kasmeridis, C.; Apostolakis, S.; Lip, G.Y.H. Aspirin and aspirin resistance in coronary artery disease. Curr. Opin. Pharmacol. 2013, 13, 242–250. [Google Scholar] [CrossRef]
- Cai, G.; Zhou, W.; Lu, Y.; Chen, P.; Lu, Z.; Fu, Y. Aspirin resistance and other aspirin-related concerns. Neurol. Sci. 2016, 37, 181–189. [Google Scholar] [CrossRef]
- Yassin, A.S.; Abubakar, H.; Mishra, T.; Subahi, A.; Hartman, M.; Ahmed, A.; Ibrahim, W.; Singh, M.; Pahuja, M. Aspirin resistance: Cardiovascular risk game changer. Am. J. Ther. 2019, 26, 593–599. [Google Scholar] [CrossRef]
- Hart, R.G.; Leonard, A.D.; Talbert, R.L.; Pearce, L.A.; Cornell, E.; Bovill, E.; Feinberg, W.M. Aspirin dosage and thromboxane synthesis in patients with vascular disease. Pharmacotherapy 2003, 23, 579–584. [Google Scholar] [CrossRef]
- Fateh-Moghadam, S.; Plockinger, U.; Cabeza, N.; Htun, P.; Reuter, T.; Ersel, S.; Gawaz, M.; Dietz, R.; Bocksch, W. Prevalence of aspirin resistance in patients with type 2 diabetes. Acta Diabetol. 2005, 42, 99–103. [Google Scholar] [CrossRef]
- Larsen, S.B.; Grove, E.L.; Neergaard-Petersen, S.; Wurtz, M.; Hvas, A.M.; Kristensen, S.D. Determinants of reduced antiplatelet effect of aspirin in patients with stable coronary artery disease. PLoS ONE 2015, 10, e126767. [Google Scholar] [CrossRef][Green Version]
- Rocca, B.; Patrono, C. Determinants of the interindividual variability in response to antiplatelet drugs. J. Thromb. Haemost. 2005, 3, 1597–1602. [Google Scholar] [CrossRef] [PubMed]
- Lai, P.T.; Chen, S.Y.; Lee, Y.S.; Ho, Y.P.; Chiang, Y.Y.; Hsu, H.Y. Relationship between acute stroke outcome, aspirin resistance, and humoral factors. J. Chin. Med. Assoc. 2012, 75, 513–518. [Google Scholar] [CrossRef] [PubMed]
- Yildiz, B.S.; Ozkan, E.; Esin, F.; Alihanoglu, Y.I.; Ozkan, H.; Bilgin, M.; Kilic, I.D.; Ergin, A.; Kaftan, H.A.; Evrengul, H. Does high serum uric acid level cause aspirin resistance? Blood Coagul. Fibrinolysis 2016, 27, 412–418. [Google Scholar] [CrossRef] [PubMed]
- Mannini, L.; Marcucci, R.; Paniccia, R.; Antonucci, E.; Giglioli, C.; Valente, S.; Gori, A.M.; Prisco, D.; Gensini, G.F.; Abbate, R. Erythrocyte deformability and white blood cell count are associated with aspirin resistance in high-risk vascular patients. Clin. Hemorheol. Microcirc. 2006, 35, 175–181. [Google Scholar] [CrossRef]
- Jastrzebska, M.; Chelstowski, K.; Wodecka, A.; Siennicka, A.; Clark, J.; Nowacki, P. Factors influencing multiplate whole blood impedance platelet aggregometry measurements, during aspirin treatment in acute ischemic stroke: A pilot study. Blood Coagul. Fibrinolysis 2013, 24, 830–838. [Google Scholar] [CrossRef]
- Favaloro, E.J. The utility of the PFA-100 in the identification of von Willebrand disease: A concise review. Semin. Thromb. Hemost. 2006, 32, 537–545. [Google Scholar] [CrossRef]
- Durmaz, T.; Keles, T.; Ozdemir, O.; Bayram, N.A.; Akcay, M.; Yeter, E.; Bozkurt, E. Heart rate variability in patients with stable coronary artery disease and aspirin resistance. Int. Heart J. 2008, 49, 413–422. [Google Scholar] [CrossRef][Green Version]
- Gasparyan, A.Y.; Watson, T.; Lip, G.Y. The role of aspirin in cardiovascular prevention: Implications of aspirin resistance. J. Am. Coll. Cardiol. 2008, 51, 1829–1843. [Google Scholar] [CrossRef]
- Akturk, I.F.; Caglar, F.N.; Erturk, M.; Tuncer, N.; Yalcin, A.A.; Surgit, O.; Uzun, F.; Caglar, I.M. Hypertension as a risk factor for aspirin and clopidogrel resistance in patients with stable coronary artery disease. Clin. Appl. Thromb. Hemost. 2014, 20, 749–754. [Google Scholar] [CrossRef]
- Pascale, S.; Petrucci, G.; Dragani, A.; Habib, A.; Zaccardi, F.; Pagliaccia, F.; Pocaterra, D.; Ragazzoni, E.; Rolandi, G.; Rocca, B.; et al. Aspirin-insensitive thromboxane biosynthesis in essential thrombocythemia is explained by accelerated renewal of the drug target. Blood 2012, 119, 3595–3603. [Google Scholar] [CrossRef]
- Ames, P.R.; Batuca, J.R.; Muncy, I.J.; de la Torre, I.G.; Pascoe-Gonzales, S.; Guyer, K.; Matsuura, E.; Lopez, L.R. Aspirin insensitive thromboxane generation is associated with oxidative stress in type 2 diabetes mellitus. Thromb. Res. 2012, 130, 350–354. [Google Scholar] [CrossRef] [PubMed]
- Cipollone, F.; Ciabattoni, G.; Patrignani, P.; Pasquale, M.; di Gregorio, D.; Bucciarelli, T.; Davı, G.; Cuccurullo, F.; Patrono, C. Oxidant stress and aspirin-insensitive thromboxane biosynthesis in severe unstable angina. Circulation 2000, 102, 1007–1013. [Google Scholar] [CrossRef] [PubMed]





| Subjects | All | Non-DM | DM | p-Value | |||
|---|---|---|---|---|---|---|---|
| Total, n | 266 | % | 156 | % | 110 | % | |
| Female, n (%) | 46 | 17% | 24 | 15% | 22 | 20% | NS |
| Prior CHD, n (%) | 165 | 62% | 95 | 61% | 70 | 64% | NS |
| Prior angina, n (%) | 253 | 95% | 148 | 95% | 105 | 95% | NS |
| Prior ACS, n (%) | 151 | 57% | 96 | 62% | 55 | 50% | 0.062 |
| Prior PCI, n (%) | 262 | 98% | 153 | 98% | 109 | 99% | NS |
| Prior ETT done, n (%) | 67 | 25% | 40 | 26% | 27 | 25% | NS |
| PAD, n (%) | 7 | 3% | 2 | 1% | 5 | 5% | 0.06 |
| Hypertension, n (%) | 214 | 80% | 114 | 73% | 100 | 91% | <0.0001 |
| Hyperlipidaemia, n (%) | 263 | 99% | 155 | 99% | 108 | 98% | NS |
| Diabetes, n (%) | 110 | 41% | |||||
| Smoker, n (%) | 145 | 55% | 91 | 58% | 13 | 12% | NS |
| Stroke, n (%) | 27 | 10% | 9 | 6% | 18 | 16% | 0.005 |
| Family history of CHD, n (%) | 83 | 31% | 51 | 33% | 32 | 29% | NS |
| Medication | |||||||
| HT Rx, total (%) | 247 | 93% | 142 | 91% | 105 | 95% | NS |
| B-blocker, n (%) | 194 | 73% | 113 | 72% | 81 | 74% | NS |
| ACEI/ARB, n (%) | 165 | 62% | 84 | 54% | 81 | 74% | 0.001 |
| Statin, n (%) | 256 | 96% | 152 | 97% | 104 | 95% | NS |
| DM Rx, total (%) | 95 | 36% | 95 | 86% | |||
| Metformin, n (%) | 81 | 30% | 81 | 74% | |||
| Insulin, n (%) | 22 | 8% | 22 | 20% | |||
| Demographics | All | Non-DM | DM | p-Value | |||
|---|---|---|---|---|---|---|---|
| n | Mean ± SD | n | Mean ± SD | n | Mean ± SD | ||
| Age, Years | 266 | 66.6 ± 10.7 | 156 | 64.8 ± 11.5 | 110 | 69.1 ± 8.8 | 0.001 |
| Body weight, kg | 266 | 67.9 ± 11.7 | 156 | 67.7 ± 11.9 | 110 | 68.2 ± 11.5 | NS |
| BMI | 266 | 25.1 ± 3.5 | 156 | 24.9 ± 3.6 | 110 | 24.9 ± 3.6 | NS |
| Body fat, % | 266 | 25.1 ± 6.7 | 156 | 25.6 ± 7.0 | 110 | 24.4 ± 6.3 | NS |
| Waist, cm | 266 | 91.3 ± 9.9 | 156 | 90.2 ± 9.9 | 110 | 92.9 ± 9.8 | 0.03 |
| Hip, cm | 266 | 96.1 ± 6.4 | 156 | 96.1 ± 9.4 | 110 | 96.1 ± 6.4 | NS |
| WHR | 266 | 0.9 ± 0.1 | 156 | 0.9 ± 0.1 | 110 | 1.0 ± 0.1 | 0.002 |
| SBP, mmHg | 265 | 144.0 ± 22.5 | 156 | 140.0 ± 21.5 | 109 | 150.0 ± 22.8 | 0.001 |
| DBP, mmHg | 265 | 80.3 ± 9.5 | 156 | 81.1 ± 9.3 | 109 | 79.3 ± 9.8 | NS |
| Pulse, beats/min | 265 | 62.9 ± 8.3 | 156 | 62.4 ± 7.9 | 109 | 63.7 ± 8.9 | NS |
| Blood results | |||||||
| Fasting glucose, | 266 | 6.2 ± 1.6 | 156 | 5.4 ± 0.6 | 110 | 7.3 ± 1.8 | <0.0001 |
| Total cholesterol, | 266 | 3.9 ± 0.7 | 156 | 4.0 ± 0.7 | 110 | 3.8 ± 0.7 | 0.04 |
| HDL-c, | 266 | 1.3 ± 0.4 | 155 | 1.3 ± 0.4 | 109 | 1.2 ± 0.3 | 0.006 |
| LDL-c, | 266 | 2.0 ± 0.6 | 156 | 2.0 ± 0.6 | 110 | 1.9 ± 0.6 | 0.024 |
| Triglyceride, | 266 | 1.4 ± 0.9 | 148 | 1.3 ± 0.8 | 104 | 1.6 ± 1.0 | 0.007 |
| non-HDL-C, | 266 | 2.7 ± 0.7 | 57 | 2.6 ± 0.7 | 58 | 2.6 ± 0.7 | NS |
| Urate, | 115 | 0.4 ± 0.1 | 155 | 0.4 ± 0.1 | 110 | 0.4 ± 0.1 | 0.01 |
| Platelet count, | 265 | 202.5 ± 53.3 | 156 | 200.0 ± 50.7 | 110 | 206.6 ± 56.8 | NS |
| MPV, | 265 | 9.0 ± 0.9 | 156 | 9.0 ± 0.9 | 110 | 8.9 ± 0.8 | NS |
| RBC, | 266 | 4.7 ± 0.6 | 156 | 4.8 ± 0.5 | 110 | 4.5 ± 0.7 | <0.0001 |
| Hb, | 266 | 13.7 ± 1.5 | 156 | 14.2 ± 1.2 | 110 | 13.1 ± 1.6 | <0.0001 |
| Haematocrit, | 266 | 0.4 ± 0.1 | 156 | 0.4 ± 0.0 | 110 | 0.4 ± 0.1 | <0.0001 |
| WBC count, | 266 | 6.6 ± 1.7 | 156 | 6.6 ± 1.7 | 110 | 6.7 ± 1.6 | NS |
| All | Non-DM | DM | |||||||
|---|---|---|---|---|---|---|---|---|---|
| n | Pre Dose | 1 h Post Dose | n | Pre Dose | 1 h Post Dose | n | Pre Dose | 1 h Post Dose | |
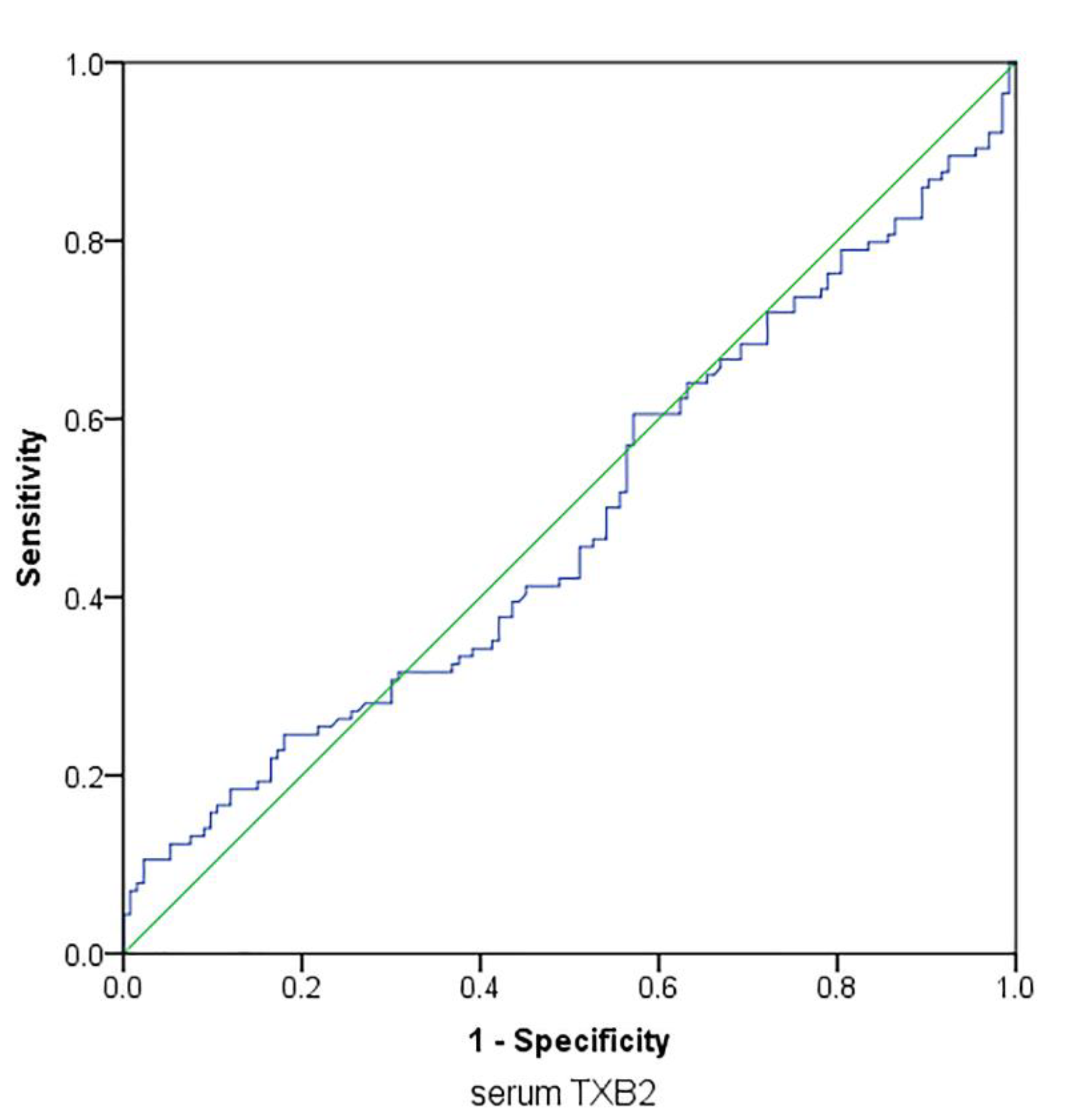
| Serum TXB2 (pg/mL) | 251 | 91.3 ± 90.7 | 55.7 ± 40.4 *** | 146 | 85.3 ± 86.8 | 52.2 ± 39.4 # | 105 | 99.6 ± 95.6 | 60.4 ± 41.4 # |
| Area under the curve (AUC) (AU*min) | 255 | 311.8 ±167.5 | 260.8 ± 122.1 *** | 154 | 319.4 ± 167 | 266.6 ± 127.3 # | 108 | 300.9 ± 168.5 | 252.3 ± 114.1 # |
| Parameters | Unstandardized Coefficients | Standardized Coefficients | t | p-Value | |
|---|---|---|---|---|---|
| B | SE | β | |||
| Constant | −491.229 | 123.046 | −3.992 | 0.000 | |
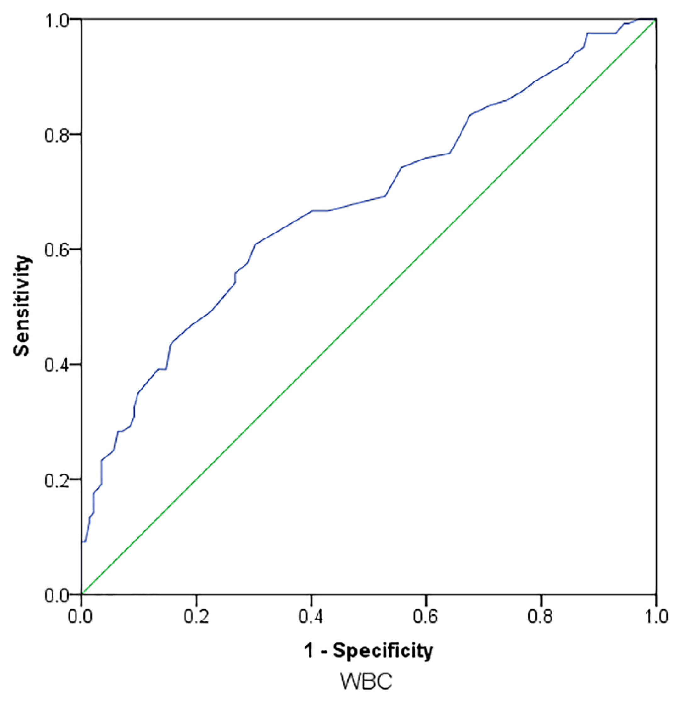
| WBC count | 34.725 | 6.017 | 0.344 | 5.772 | 0.000 |
| Hct | 772.905 | 229.603 | 0.187 | 3.366 | 0.001 |
| Heart rate | 2.629 | 1.116 | 0.131 | 2.355 | 0.019 |
| Platelet count | 0.426 | 0.190 | 0.135 | 2.235 | 0.026 |
| R2 = 0.231 | |||||
| Parameters | Unstandardized Coefficients | Standardized Coefficients | t | p-Value | |
|---|---|---|---|---|---|
| B | SE | β | |||
| WBC count | 21.730 | 4.304 | 0.296 | 5.049 | 0.000 |
| Smoking history | 43.894 | 14.362 | 0.179 | 3.056 | 0.002 |
| Heart rate | 1.918 | 0.856 | 0.129 | 2.241 | 0.026 |
| R2 = 0.163 | |||||
Publisher’s Note: MDPI stays neutral with regard to jurisdictional claims in published maps and institutional affiliations. |
© 2022 by the authors. Licensee MDPI, Basel, Switzerland. This article is an open access article distributed under the terms and conditions of the Creative Commons Attribution (CC BY) license (https://creativecommons.org/licenses/by/4.0/).
Share and Cite
Zeng, W.; Chu, T.T.W.; Chow, E.Y.K.; Hu, M.; Fok, B.S.P.; Chan, J.C.N.; Yan, B.P.Y.; Tomlinson, B. Factors Associated with Aspirin Resistance in Hong Kong Chinese Patients with Stable Coronary Heart Disease Using the Multiplate® Analyzer and Serum Thromboxane B2. Pharmaceutics 2022, 14, 2099. https://doi.org/10.3390/pharmaceutics14102099
Zeng W, Chu TTW, Chow EYK, Hu M, Fok BSP, Chan JCN, Yan BPY, Tomlinson B. Factors Associated with Aspirin Resistance in Hong Kong Chinese Patients with Stable Coronary Heart Disease Using the Multiplate® Analyzer and Serum Thromboxane B2. Pharmaceutics. 2022; 14(10):2099. https://doi.org/10.3390/pharmaceutics14102099
Chicago/Turabian StyleZeng, Weiwei, Tanya T. W. Chu, Elaine Y. K. Chow, Miao Hu, Benny S. P. Fok, Juliana C. N. Chan, Bryan P. Y. Yan, and Brian Tomlinson. 2022. "Factors Associated with Aspirin Resistance in Hong Kong Chinese Patients with Stable Coronary Heart Disease Using the Multiplate® Analyzer and Serum Thromboxane B2" Pharmaceutics 14, no. 10: 2099. https://doi.org/10.3390/pharmaceutics14102099
APA StyleZeng, W., Chu, T. T. W., Chow, E. Y. K., Hu, M., Fok, B. S. P., Chan, J. C. N., Yan, B. P. Y., & Tomlinson, B. (2022). Factors Associated with Aspirin Resistance in Hong Kong Chinese Patients with Stable Coronary Heart Disease Using the Multiplate® Analyzer and Serum Thromboxane B2. Pharmaceutics, 14(10), 2099. https://doi.org/10.3390/pharmaceutics14102099

