Increased Bioavailability of β-Alanine by a Novel Controlled-Release Powder Blend Compared to a Slow-Release Tablet
Abstract
:1. Background
2. Methods
2.1. Study Design and Participants
2.2. Test and Reference Formulation: Composition
2.3. Test and Reference Formulations: β-Alanine Content Verification
2.4. Study Procedures, Sample Collection and Processing
2.5. Paresthesia Questionnaires
2.6. Pharmacokinetic Data Analysis
3. Results
3.1. Pharmacokinetic Analysis
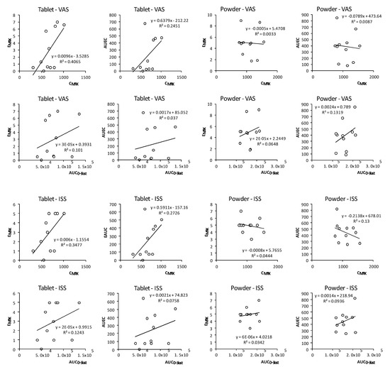
3.2. Pharmacodynamic Analysis
4. Discussion
4.1. Increased Bioavailability
4.2. Paresthesia-Response Analysis
4.3. Implications of the Findings
4.4. Future Directions
5. Conclusions
Author Contributions
Funding
Institutional Review Board Statement
Informed Consent Statement
Data Availability Statement
Acknowledgments
Conflicts of Interest
References
- Hoffman, J.R.; Varanoske, A.; Stout, J.R. Effects of β-Alanine Supplementation on Carnosine Elevation and Physiological Performance. Adv. Food Nutr. Res. 2018, 84, 183–206. [Google Scholar] [CrossRef]
- Hobson, R.M.; Saunders, B.; Ball, G.; Harris, R.C.; Sale, C. Effects of β-Alanine Supplementation on Exercise Performance: A Meta-Analysis. Amino Acids 2012, 43, 25–37. [Google Scholar] [CrossRef] [PubMed] [Green Version]
- Saunders, B.; Elliott-Sale, K.; Artioli, G.G.; Swinton, P.A.; Dolan, E.; Roschel, H.; Sale, C.; Gualano, B. β-Alanine Supplementation to Improve Exercise Capacity and Performance: A Systematic Review and Meta-Analysis. Br. J. Sports Med. 2017, 51, 658–669. [Google Scholar] [CrossRef]
- Brisola, G.M.P.; Zagatto, A.M. Ergogenic Effects of β-Alanine Supplementation on Different Sports Modalities: Strong Evidence or Only Incipient Findings? J. Strength Cond. Res. 2019, 33, 253–282. [Google Scholar] [CrossRef]
- Santesteban Moriones, V.; Ibáñez Santos, J. Ergogenic aids in sport. Nutr. Hosp. 2017, 34, 204–215. [Google Scholar] [CrossRef]
- Trexler, E.T.; Smith-Ryan, A.E.; Stout, J.R.; Hoffman, J.R.; Wilborn, C.D.; Sale, C.; Kreider, R.B.; Jäger, R.; Earnest, C.P.; Bannock, L.; et al. International Society of Sports Nutrition Position Stand: Beta-Alanine. J. Int. Soc. Sports Nutr. 2015, 12, 1–14. [Google Scholar] [CrossRef] [Green Version]
- Castell, L.M.; Burke, L.M.; Stear, S.J.; McNaughton, L.R.; Harris, R.C. BJSM Reviews: A–Z of Nutritional Supplements: Dietary Supplements, Sports Nutrition Foods and Ergogenic Aids for Health and Performance Part 5. Br. J. Sports Med. 2010, 44, 77–78. [Google Scholar] [CrossRef] [PubMed]
- Blancquaert, L.; Baba, S.P.; Kwiatkowski, S.; Stautemas, J.; Stegen, S.; Barbaresi, S.; Chung, W.; Boakye, A.A.; Hoetker, J.D.; Bhatnagar, A.; et al. Carnosine and Anserine Homeostasis in Skeletal Muscle and Heart Is Controlled by β-Alanine Transamination. J. Physiol. 2016, 594, 4849–4863. [Google Scholar] [CrossRef] [PubMed] [Green Version]
- Blancquaert, L.; Everaert, I.; Derave, W. Beta-Alanine Supplementation, Muscle Carnosine and Exercise Performance. Curr. Opin. Clin. Nutr. Metab. Care 2015, 18, 63–70. [Google Scholar] [CrossRef]
- Boldyrev, A.A.; Aldini, G.; Derave, W. Physiology and Pathophysiology of Carnosine. Physiol. Rev. 2013, 93, 1803–1845. [Google Scholar] [CrossRef]
- Guiotto, A.; Calderan, A.; Ruzza, P.; Borin, G. Carnosine and Carnosine-Related Antioxidants: A Review. Curr. Med. Chem. 2005, 12, 2293–2315. [Google Scholar] [CrossRef]
- Decker, E.A.; Livisay, S.A.; Zhou, S. A Re-Evaluation of the Antioxidant Activity of Purified Carnosine. Biochem. Mosc. 2000, 65, 766–770. [Google Scholar]
- Klebanov, G.I.; Teselkin, Y.; Babenkova, I.V.; Lyubitsky, O.B.; Rebrova, O.y.; Boldyrev, A.A.; Vladimirov, Y. Effect of Carnosine and Its Components on Free-Radical Reactions. Membr. Cell Biol. 1998, 12, 89–99. [Google Scholar]
- Abe, H. Role of Histidine-Related Compounds as Intracellular Proton Buffering Constituents in Vertebrate Muscle. Biochem. Mosc. 2000, 65, 757–765. [Google Scholar]
- Dolan, E.; Saunders, B.; Harris, R.C.; Bicudo, J.E.P.W.; Bishop, D.J.; Sale, C.; Gualano, B. Comparative Physiology Investigations Support a Role for Histidine-Containing Dipeptides in Intracellular Acid–Base Regulation of Skeletal Muscle. Comp. Biochem. Physiol. Part. A: Mol. Integr. Physiol. 2019, 234, 77–86. [Google Scholar] [CrossRef] [PubMed]
- Begum, G.; Cunliffe, A.; Leveritt, M. Physiological Role of Carnosine in Contracting Muscle. Int. J. Sport Nutr. Exerc. Metab. 2005, 15, 493–514. [Google Scholar] [CrossRef] [Green Version]
- Pan, J.W.; Hamm, J.R.; Rothman, D.L.; Shulman, R.G. Intracellular PH in Human Skeletal Muscle by 1H NMR. Proc. Natl. Acad. Sci. USA 1988, 85, 7836–7839. [Google Scholar] [CrossRef] [PubMed] [Green Version]
- Suzuki, Y.; Nakao, T.; Maemura, H.; Sato, M.; Kamahara, K.; Morimatsu, F.; Takamatsu, K. Carnosine and Anserine Ingestion Enhances Contribution of Nonbicarbonate Buffering. Med. Sci. Sports Exerc. 2006, 38, 334–338. [Google Scholar] [CrossRef]
- Péronnet, F.; Aguilaniu, B. Lactic Acid Buffering, Nonmetabolic CO2 and Exercise Hyperventilation: A Critical Reappraisal. Respir. Physiol. Neurobiol. 2006, 150, 4–18. [Google Scholar] [CrossRef]
- Beaver, W.L.; Wasserman, K.; Whipp, B.J. Bicarbonate Buffering of Lactic Acid Generated during Exercise. J. Appl. Physiol. 1986, 60, 472–478. [Google Scholar] [CrossRef]
- Rezende, N.S.; Swinton, P.; de Oliveira, L.F.; da Silva, R.P.; da Eira Silva, V.; Nemezio, K.; Yamaguchi, G.; Artioli, G.G.; Gualano, B.; Saunders, B.; et al. The Muscle Carnosine Response to Beta-Alanine Supplementation: A Systematic Review With Bayesian Individual and Aggregate Data E-Max Model and Meta-Analysis. Front. Physiol. 2020, 11, 913. [Google Scholar] [CrossRef]
- Shinohara, T.; Harada, M.; Ogi, K.; Maruyama, M.; Fujii, R.; Tanaka, H.; Fukusumi, S.; Komatsu, H.; Hosoya, M.; Noguchi, Y.; et al. Identification of a G Protein-Coupled Receptor Specifically Responsive to Beta-Alanine. J. Biol. Chem. 2004, 279, 23559–23564. [Google Scholar] [CrossRef] [PubMed] [Green Version]
- Liu, Q.; Sikand, P.; Ma, C.; Tang, Z.; Han, L.; Li, Z.; Sun, S.; LaMotte, R.H.; Dong, X. Mechanisms of Itch Evoked by β-Alanine. J. Neurosci. 2012, 32, 14532–14537. [Google Scholar] [CrossRef] [PubMed]
- MacPhee, S.; Weaver, I.N.; Weaver, D.F. An Evaluation of Interindividual Responses to the Orally Administered Neurotransmitter β-Alanine. J. Amino Acids 2013, 2013. [Google Scholar] [CrossRef] [PubMed] [Green Version]
- Crozier, R.A.; Ajit, S.K.; Kaftan, E.J.; Pausch, M.H. MrgD Activation Inhibits KCNQ/M-Currents and Contributes to Enhanced Neuronal Excitability. J. Neurosci. 2007, 27, 4492–4496. [Google Scholar] [CrossRef]
- Harris, R.C.; Tallon, M.J.; Dunnett, M.; Boobis, L.; Coakley, J.; Kim, H.J.; Fallowfield, J.L.; Hill, C.A.; Sale, C.; Wise, J.A. The Absorption of Orally Supplied β-Alanine and Its Effect on Muscle Carnosine Synthesis in Human Vastus Lateralis. Amino Acids 2006, 30, 279–289. [Google Scholar] [CrossRef]
- Derave, W.; Özdemir, M.S.; Harris, R.C.; Pottier, A.; Reyngoudt, H.; Koppo, K.; Wise, J.A.; Achten, E. β-Alanine Supplementation Augments Muscle Carnosine Content and Attenuates Fatigue during Repeated Isokinetic Contraction Bouts in Trained Sprinters. J. Appl. Physiol. 2007, 103, 1736–1743. [Google Scholar] [CrossRef] [Green Version]
- Baguet, A.; Reyngoudt, H.; Pottier, A.; Everaert, I.; Callens, S.; Achten, E.; Derave, W. Carnosine Loading and Washout in Human Skeletal Muscles. J. Appl. Physiol. 2009, 106, 837–842. [Google Scholar] [CrossRef] [Green Version]
- Hill, C.A.; Harris, R.C.; Kim, H.J.; Harris, B.D.; Sale, C.; Boobis, L.H.; Kim, C.K.; Wise, J.A. Influence of β-Alanine Supplementation on Skeletal Muscle Carnosine Concentrations and High Intensity Cycling Capacity. Amino Acids 2007, 32, 225–233. [Google Scholar] [CrossRef]
- Saunders, B.; de Salles Painelli, V.; de Oliveira, L.F.; da Eira Silva, V.; da Silva, R.P.; Riani, L.; Franchi, M.; de Souza Gonçalves, L.; Harris, R.C.; Roschel, H.; et al. Twenty-Four Weeks of β-Alanine Supplementation on Carnosine Content, Related Genes, and Exercise. Med. Sci. Sports Exerc. 2017, 49, 896–906. [Google Scholar] [CrossRef] [Green Version]
- Décombaz, J.; Beaumont, M.; Vuichoud, J.; Bouisset, F.; Stellingwerff, T. Effect of Slow-Release β-Alanine Tablets on Absorption Kinetics and Paresthesia. Amino Acids 2012, 43, 67–76. [Google Scholar] [CrossRef]
- Newsholme, P.; Krause, M.; Newsholme, E.A.; Stear, S.J.; Burke, L.M.; Castell, L.M. BJSM Reviews: A to Z of Nutritional Supplements: Dietary Supplements, Sports Nutrition Foods and Ergogenic Aids for Health and Performance—Part 18. Br. J. Sports Med. 2011, 45, 230–232. [Google Scholar] [CrossRef]
- Castell, L.M.; Burke, L.M.; Stear, S.J. BJSM Reviews: A–Z of Supplements: Dietary Supplements, Sports Nutrition Foods and Ergogenic Aids for Health and Performance Part 2. Br. J. Sports Med. 2009, 43, 807–810. [Google Scholar] [CrossRef]
- Spelnikov, D.; Harris, R.C. A Kinetic Model of Carnosine Synthesis in Human Skeletal Muscle. Amino Acids 2019, 51, 115–121. [Google Scholar] [CrossRef] [PubMed]
- Church, D.D.; Hoffman, J.R.; Varanoske, A.N.; Wang, R.; Baker, K.M.; Monica, M.B.L.; Beyer, K.S.; Dodd, S.J.; Oliveira, L.P.; Harris, R.C.; et al. Comparison of Two β-Alanine Dosing Protocols on Muscle Carnosine Elevations. J. Am. Coll. Nutr. 2017, 36, 608–616. [Google Scholar] [CrossRef]
- Stautemas, J.; Everaert, I.; Lefevere, F.B.D.; Derave, W. Pharmacokinetics of β-Alanine Using Different Dosing Strategies. Front. Nutr. 2018, 5, 70. [Google Scholar] [CrossRef] [PubMed] [Green Version]
- Stautemas, J.; Van de Loock, A.; Van der Stede, T.; Pringels, L.; Derave, W. Fragmented Dosing of β-Alanine Induces A Body Weight-Independent Pharmacokinetic Response. Nutrients 2019, 11, 2869. [Google Scholar] [CrossRef] [Green Version]
- Skoug, J.W.; Borin, M.T.; Fleishaker, J.C.; Cooper, A.M. In Vitro and in Vivo Evaluation of Whole and Half Tablets of Sustained-Release Adinazolam Mesylate. Pharm. Res. 1991, 8, 1482–1488. [Google Scholar] [CrossRef] [PubMed]
- Blancquaert, L.; Everaert, I.; Missinne, M.; Baguet, A.; Stegen, S.; Volkaert, A.; Petrovic, M.; Vervaet, C.; Achten, E.; De Maeyer, M.; et al. Effects of Histidine and β-Alanine Supplementation on Human Muscle Carnosine Storage. Med. Sci. Sports Exerc. 2017, 49, 602–609. [Google Scholar] [CrossRef] [PubMed]
- Jackson, M.C.; Kucera, C.M.; Lenney, J.F. Purification and Properties of Human Serum Carnosinase. Clin. Chim. Acta 1991, 196, 193–205. [Google Scholar] [CrossRef]
- Everaert, I.; Taes, Y.; De Heer, E.; Baelde, H.; Zutinic, A.; Yard, B.; Sauerhöfer, S.; Vanhee, L.; Delanghe, J.; Aldini, G.; et al. Low Plasma Carnosinase Activity Promotes Carnosinemia after Carnosine Ingestion in Humans. Am. J. Physiol.-Ren. Physiol. 2012, 302, F1537–F1544. [Google Scholar] [CrossRef]
- Bloom, B.S. Daily Regimen and Compliance with Treatment: Fewer Daily Doses and Drugs with Fewer Side Effects Improve Compliance. BMJ 2001, 323, 647. [Google Scholar] [CrossRef]
- Gonçalves, L.d.S.; Kratz, C.; Santos, L.; Carvalho, V.H.; Sales, L.P.; Nemezio, K.; Longobardi, I.; Riani, L.A.; de Oliveira Lima, M.M.; Saito, T.; et al. Insulin Does Not Stimulate β-Alanine Transport into Human Skeletal Muscle. Am. J. Physiol.-Cell Physiol. 2020, 318, C777–C786. [Google Scholar] [CrossRef] [PubMed]
- De Salazar Sanchez-Ferragut, L.; Torregrosa-García, A.; García-Gonzalez, A.; Ávila-Gandía, V.; López-Román, F.J. A novel controlled-release β-alanine powder formula with prospective applications to sport sciences. In V Congreso Internacional Universitario Trail Running y Raids de Aventura. Ruta de las Fortalezas 2019. Libro de Actas; UCAM Universidad Católica San Antonio de Murcia: Murcia, Spain, 2019; pp. 143–148. ISBN 9788416045204. [Google Scholar]
- Teufel, M.; Saudek, V.; Ledig, J.-P.; Bernhardt, A.; Boularand, S.; Carreau, A.; Cairns, N.J.; Carter, C.; Cowley, D.J.; Duverger, D.; et al. Sequence Identification and Characterization of Human Carnosinase and a Closely Related Non-Specific Dipeptidase. J. Biol. Chem. 2003, 278, 6521–6531. [Google Scholar] [CrossRef] [Green Version]
- Lenney, J.F. Separation and Characterization of Two Carnosine-Splitting Cytosolic Dipeptidases from Hog Kidney (Carnosinase and Non-Specific Dipeptidase). Biol. Chem. 1990, 371, 433–440. [Google Scholar] [CrossRef] [PubMed]
- Zielinski, G.; Atkinson, G.; Bhandari, S.D.; Burns, P.; Citrolo, D.; Farthing, C.; Glover, B.; Horkey, A.; Johnson, H.E.; Kuszak, A.; et al. AOAC SMPR® 2017.011:Standard Method Performance Requirements (SMPRs) for Identification and Quantitation of Free Alpha Amino Acids in Dietary Ingredients and Supplements. J. AOAC Int. 2017, 100, 1189–1191. [Google Scholar] [CrossRef]
- Coothankandaswamy, V.; Cao, S.; Xu, Y.; Prasad, P.; Singh, P.; Reynolds, C.; Yang, S.; Ogura, J.; Ganapathy, G.; Bhutia, Y. Amino Acid Transporter SLC6A14 Is a Novel and Effective Drug Target for Pancreatic Cancer. Available online: https://pubmed.ncbi.nlm.nih.gov/27747870/?from_term=SLC6A14&from_format=abstract&from_size=200&from_pos=3 (accessed on 19 May 2020).
- Iñigo, C.; Barber, A.; Lostao, M.P. Na+ and PH Dependence of Proline and Beta-Alanine Absorption in Rat Small Intestine. Acta Physiol. 2006, 186, 271–278. [Google Scholar] [CrossRef]
- Merino, M.; Polache, A.; Peris-Ribera, J.E.; Moreno-Dalmau, J.; Plá-Delfina, J.M. Absorption Kinetics of Beta-Alanine as Model Compound in Rat Small Intestine. Biochim. Biophys. Acta 1989, 986, 1–7. [Google Scholar] [CrossRef]
- Miyamoto, Y.; Nakamura, H.; Hoshi, T.; Ganapathy, V.; Leibach, F.H. Uphill Transport of Beta-Alanine in Intestinal Brush-Border Membrane Vesicles. Am. J. Physiol. 1990, 259, G372–G379. [Google Scholar] [CrossRef]
- Thwaites, D.T.; McEwan, G.T.; Brown, C.D.; Hirst, B.H.; Simmons, N.L. Na(+)-Independent, H(+)-Coupled Transepithelial Beta-Alanine Absorption by Human Intestinal Caco-2 Cell Monolayers. J. Biol. Chem. 1993, 268, 18438–18441. [Google Scholar] [CrossRef]
- Thwaites, D.T.; Anderson, C.M.H. H+-Coupled Nutrient, Micronutrient and Drug Transporters in the Mammalian Small Intestine. Exp. Physiol. 2007, 92, 603–619. [Google Scholar] [CrossRef] [Green Version]
- Anderson, C.M.H.; Ganapathy, V.; Thwaites, D.T. Human Solute Carrier SLC6A14 Is the β-Alanine Carrier. J. Physiol. 2008, 586, 4061–4067. [Google Scholar] [CrossRef] [Green Version]
- Munck, L.K.; Munck, B.G. Distinction between Chloride-Dependent Transport Systems for Taurine and Beta-Alanine in Rabbit Ileum. Am. J. Physiol.-Gastrointest. Liver Physiol. 1992, 262, G609–G615. [Google Scholar] [CrossRef]
- Munck, L.K.; Munck, B.G. Variation in Amino Acid Transport along the Rabbit Small Intestine. Mutual Jejunal Carriers of Leucine and Lysine. Biochim. et Biophys. Acta (BBA)—Gen. Subj. 1992, 1116, 83–90. [Google Scholar] [CrossRef]
- Yeum, K.-J.; Orioli, M.; Regazzoni, L.; Carini, M.; Rasmussen, H.; Russell, R.M.; Aldini, G. Profiling Histidine Dipeptides in Plasma and Urine after Ingesting Beef, Chicken or Chicken Broth in Humans. Amino Acids 2010, 38, 847–858. [Google Scholar] [CrossRef]
- Talukdar, M.M.; Kinget, R. Comparative Study on Xanthan Gum and Hydroxypropylmethyl Cellulose as Matrices for Controlled-Release Drug Delivery. II. Drug Diffusion in Hydrated Matrices. Int. J. Pharm. 1997, 151, 99–107. [Google Scholar] [CrossRef]
- Lapidus, H.; Lordi, N.G. Drug Release from Compressed Hydrophilic Matrices. J. Pharm. Sci. 1968, 57, 1292–1301. [Google Scholar] [CrossRef]
- Lapidus, H.; Lordi, N.G. Some Factors Affecting the Release of a Water-Soluble Drug from a Compressed Hydrophilic Matrix. J. Pharm. Sci. 1966, 55, 840–843. [Google Scholar] [CrossRef]
- Hatanaka, T.; Huang, W.; Ling, R.; Prasad, P.D.; Sugawara, M.; Leibach, F.H.; Ganapathy, V. Evidence for the Transport of Neutral as Well as Cationic Amino Acids by ATA3, a Novel and Liver-Specific Subtype of Amino Acid Transport System A. Biochim. Biophys. Acta (BBA)—Biomembr. 2001, 1510, 10–17. [Google Scholar] [CrossRef] [Green Version]
- Gu, S.; Villegas, C.; Jiang, J. Differential Regulation of Amino Acid Transporter SNAT3 by Insulin in Hepatocytes. Available online: https://pubmed.ncbi.nlm.nih.gov/15899884/ (accessed on 19 May 2020).
- Chee, E.L.-C.; Lim, A.Y.L.; Modamio, P.; Fernandez-Lastra, C.; Segarra, I. Sunitinib Tissue Distribution Changes after Coadministration with Ketoconazole in Mice. Eur. J. Drug Metab. Pharm. 2015, 41, 309–319. [Google Scholar] [CrossRef]
- Tan, S.Y.; Kan, E.; Lim, W.Y.; Chay, G.; Law, J.H.K.; Soo, G.W.; Bukhari, N.I.; Segarra, I. Metronidazole Leads to Enhanced Uptake of Imatinib in Brain, Liver and Kidney without Affecting Its Plasma Pharmacokinetics in Mice. J. Pharm. Pharmacol. 2011, 63, 918–925. [Google Scholar] [CrossRef] [PubMed]
- Soo, G.W.; Law, J.H.K.; Kan, E.; Tan, S.Y.; Lim, W.Y.; Chay, G.; Bukhari, N.I.; Segarra, I. Differential Effects of Ketoconazole and Primaquine on the Pharmacokinetics and Tissue Distribution of Imatinib in Mice. Anti-Cancer Drugs 2010, 21, 695–703. [Google Scholar] [CrossRef] [PubMed]
- Tan, S.Y.; Wong, M.M.; Tiew, A.L.W.; Choo, Y.W.; Lim, S.H.; Ooi, I.H.; Modamio, P.; Fernández, C.; Mariño, E.L.; Segarra, I. Sunitinib DDI with Paracetamol, Diclofenac, Mefenamic Acid and Ibuprofen Shows Sex-Divergent Effects on the Tissue Uptake and Distribution Pattern of Sunitinib in Mice. Cancer Chemother. Pharmacol. 2016, 78, 709–718. [Google Scholar] [CrossRef] [PubMed]
- Chew, W.K.; Segarra, I.; Ambu, S.; Mak, J.W. Significant Reduction of Brain Cysts Caused by Toxoplasma Gondii after Treatment with Spiramycin Coadministered with Metronidazole in a Mouse Model of Chronic Toxoplasmosis. Antimicrob. Agents Chemother. 2012, 56, 1762–1768. [Google Scholar] [CrossRef] [PubMed] [Green Version]
- Zhang, Y.; Wang, J. Targeting Uptake Transporters for Cancer Imaging and Treatment. Acta Pharm. Sin. B 2020, 10, 79–90. [Google Scholar] [CrossRef]
- Zhang, L.; Sui, C.; Yang, W.; Luo, Q. Amino Acid Transporters: Emerging Roles in Drug Delivery for Tumor-Targeting Therapy. Asian J. Pharm. Sci. 2020, 15, 192–206. [Google Scholar] [CrossRef]
- Lieu, E.L.; Nguyen, T.; Rhyne, S.; Kim, J. Amino Acids in Cancer. Exp. Mol. Med. 2020, 52, 15–30. [Google Scholar] [CrossRef]
- Stegen, S.; Blancquaert, L.; Everaert, I.; Bex, T.; Taes, Y.; Calders, P.; Achten, E.; Derave, W. Meal and Beta-Alanine Coingestion Enhances Muscle Carnosine Loading. Med. Sci. Sports Exerc. 2013, 45, 1478–1485. [Google Scholar] [CrossRef]
- Stautemas, J.; Jarzebska, N.; Shan, Z.X.; Blancquaert, L.; Everaert, I.; de Jager, S.; De Baere, S.; Hautekiet, A.; Volkaert, A.; Lefevere, F.B.D.; et al. The Role of Alanine Glyoxylate Transaminase-2 (Agxt2) in β-Alanine and Carnosine Metabolism of Healthy Mice and Humans. Eur. J. Appl. Physiol. 2020. [Google Scholar] [CrossRef]
- Pihl, A.; Fritzson, P. The Catabolism of C14-Labeled β-Alanine in the Intact Rat. J. Biol. Chem. 1955, 215, 345–351. [Google Scholar] [CrossRef]
- Everaert, I.; Naeyer, H.D.; Taes, Y.; Derave, W. Gene Expression of Carnosine-Related Enzymes and Transporters in Skeletal Muscle. Eur. J. Appl. Physiol. 2013, 113, 1169–1179. [Google Scholar] [CrossRef]
- Anderson, C.M.H.; Howard, A.; Walters, J.R.F.; Ganapathy, V.; Thwaites, D.T. Taurine Uptake across the Human Intestinal Brush-Border Membrane Is via Two Transporters: H+-Coupled PAT1 (SLC36A1) and Na+- and Cl−-Dependent TauT (SLC6A6). J. Physiol. 2009, 587, 731–744. [Google Scholar] [CrossRef] [Green Version]
- Wilson, R.C.; Jones, P.W. A Comparison of the Visual Analogue Scale and Modified Borg Scale for the Measurement of Dyspnoea during Exercise. Clin. Sci. 1989, 76, 277–282. [Google Scholar] [CrossRef] [PubMed] [Green Version]
- Louizos, C.; Yáñez, J.A.; Forrest, M.L.; Davies, N.M. Understanding the Hysteresis Loop Conundrum in Pharmacokinetic/Pharmacodynamic Relationships. J. Pharm. Pharm. Sci. 2014, 17, 34–91. [Google Scholar] [CrossRef]
- Negus, S.S.; Banks, M.L. Pharmacokinetic-Pharmacodynamic (PKPD) Analysis with Drug Discrimination. Curr. Top. Behav. Neurosci. 2018, 39, 245–259. [Google Scholar] [CrossRef]
- Gonçalves, L.d.S.; Franchi, M.; Mathor, M.B.; Lugao, A.B.; Carvalho, V.H.; Medeiros, M.H.G.; Artioli, G.G.; Varca, G.H.C. The Molecular Structure of β-Alanine Is Resistant to Sterilising Doses of Gamma Radiation. PLoS ONE 2019, 14, e0210713. [Google Scholar] [CrossRef] [Green Version]
- Perim, P.; Marticorena, F.M.; Ribeiro, F.; Barreto, G.; Gobbi, N.; Kerksick, C.; Dolan, E.; Saunders, B. Can the Skeletal Muscle Carnosine Response to Beta-Alanine Supplementation Be Optimized? Front. Nutr. 2019, 6, 135. [Google Scholar] [CrossRef] [Green Version]
- Varanoske, A.N.; Hoffman, J.R.; Church, D.D.; Coker, N.A.; Baker, K.M.; Dodd, S.J.; Harris, R.C.; Oliveira, L.P.; Dawson, V.L.; Wang, R.; et al. Comparison of Sustained-Release and Rapid-Release β-Alanine Formulations on Changes in Skeletal Muscle Carnosine and Histidine Content and Isometric Performance Following a Muscle-Damaging Protocol. Amino Acids 2019, 51, 49–60. [Google Scholar] [CrossRef] [Green Version]
- Stellingwerff, T.; Decombaz, J.; Harris, R.C.; Boesch, C. Optimizing Human in Vivo Dosing and Delivery of β-Alanine Supplements for Muscle Carnosine Synthesis. Amino Acids 2012, 43, 57–65. [Google Scholar] [CrossRef]
- Ko, R.; Low Dog, T.; Gorecki, D.K.; Cantilena, L.R.; Costello, R.B.; Evans, W.J.; Hardy, M.L.; Jordan, S.A.; Maughan, R.J.; Rankin, J.W.; et al. Evidence-Based Evaluation of Potential Benefits and Safety of Beta-Alanine Supplementation for Military Personnel. Nutr. Rev. 2014, 72, 217–225. [Google Scholar] [CrossRef]
- Jäger, R.; Purpura, M.; Shao, A.; Inoue, T.; Kreider, R.B. Analysis of the Efficacy, Safety, and Regulatory Status of Novel Forms of Creatine. Amino Acids 2011, 40, 1369–1383. [Google Scholar] [CrossRef] [Green Version]
- Kreider, R.B.; Willoughby, D.; Greenwood, M.; Parise, G.; Payne, E.; Tarnopolsky, M.A. Effects of Serum Creatine Supplementation on Muscle Creatine and Phosphagen Levels. J. Exerc. Physiol. Online 2003, 6, 24–33. [Google Scholar]




| Parameter (Units) | Powder Blend | Tablet | p-Value (Power) |
|---|---|---|---|
| ke (1/min) | 0.0111 ± 0.002 | 0.0103 ± 0.0020 | 0.2850 (0.19) |
| t1/2 (min) | 63.5 ± 8.7 | 68.9 ± 9.8 | 0.1994 (0.27) |
| TMAX (min) | 90 ± 13 | 82 ± 14 | 0.2767 (0.28) |
| Ka (min−1) | 0.0199 ± 0.0107 | 0.0299 ± 0.0121 | 0.0834 (0.49) |
| CMAX (µmol/L) | 1072 ± 276 | 672 ± 192 | 0.0045 (0.86) |
| AUC0→last (min∙µmol/L) | 157,058 ± 34,097 | 76,314 ± 27,838 | <0.0001 (0.96) |
| AUC0→∞ (min∙µmol/L) | 159,557 ± 34,708 | 77,965 ± 28,275 | <0.0001 (0.96) |
| V/F (L) | 54.2 ± 15.5 | 142.0 ± 60.9 | 0.0004 (0.91) |
| Cl/F (L/min) | 0.587 ± 0.128 | 1.417 ± 0.498 | <0.0001 (0.94) |
| MRT0→last (min) | 143 ± 19 | 128 ± 16 | 0.0449 (0.51) |
| MRT0→∞ (min) | 150 ± 20 | 138 ± 18 | 0.1373 (0.31) |
| Test | Parameter | Powder Blend | Tablet | p-Value (Power) |
|---|---|---|---|---|
| Visual Analogue Score | TEMAX (min) | 65.5 ± 22.5 (34.4%) | 49.1 ± 33.6 (68.4%) | 0.195 (0.26) |
| EMAX (AU) | 4.95 ± 2.32 (46.7%) | 2.94 ± 2.90 (98.8%) | 0.086 (0.40) | |
| AUEC0→last (AU) | 389.1 ± 232.6 (59.8%) | 216.4 ± 247.4 (114.5%) | 0.107 (0.40) | |
| Intensity of Sensation Score | TEMAX (min) | 57.3 ± 21.0 (36.7%) | 38.2 ± 23.6 (61.8%) | 0.059 (0.47) |
| EMAX (AU) | 4.91 ± 1.04 (21.3%) | 2.91 ± 1.97 (67.8%) | 0.009 (0.72) | |
| AUEC0→last (AU) | 448.8 ± 163.8 (36.4%) | 240.1 ± 217.7 (90.7%) | 0.019 (0.62) |
Publisher’s Note: MDPI stays neutral with regard to jurisdictional claims in published maps and institutional affiliations. |
© 2021 by the authors. Licensee MDPI, Basel, Switzerland. This article is an open access article distributed under the terms and conditions of the Creative Commons Attribution (CC BY) license (https://creativecommons.org/licenses/by/4.0/).
Share and Cite
de Salazar, L.; Segarra, I.; López-Román, F.J.; Torregrosa-García, A.; Pérez-Piñero, S.; Ávila-Gandía, V. Increased Bioavailability of β-Alanine by a Novel Controlled-Release Powder Blend Compared to a Slow-Release Tablet. Pharmaceutics 2021, 13, 1517. https://doi.org/10.3390/pharmaceutics13091517
de Salazar L, Segarra I, López-Román FJ, Torregrosa-García A, Pérez-Piñero S, Ávila-Gandía V. Increased Bioavailability of β-Alanine by a Novel Controlled-Release Powder Blend Compared to a Slow-Release Tablet. Pharmaceutics. 2021; 13(9):1517. https://doi.org/10.3390/pharmaceutics13091517
Chicago/Turabian Stylede Salazar, Lydia, Ignacio Segarra, Francisco Javier López-Román, Antonio Torregrosa-García, Silvia Pérez-Piñero, and Vicente Ávila-Gandía. 2021. "Increased Bioavailability of β-Alanine by a Novel Controlled-Release Powder Blend Compared to a Slow-Release Tablet" Pharmaceutics 13, no. 9: 1517. https://doi.org/10.3390/pharmaceutics13091517
APA Stylede Salazar, L., Segarra, I., López-Román, F. J., Torregrosa-García, A., Pérez-Piñero, S., & Ávila-Gandía, V. (2021). Increased Bioavailability of β-Alanine by a Novel Controlled-Release Powder Blend Compared to a Slow-Release Tablet. Pharmaceutics, 13(9), 1517. https://doi.org/10.3390/pharmaceutics13091517

