Comprehensive Stability Study of Vitamin D3 in Aqueous Solutions and Liquid Commercial Products
Abstract
1. Introduction
2. Materials and Methods
2.1. Materials
2.2. Instrumentation and Chromatographic Conditions
2.3. Sample Preparation
2.3.1. Samples for Vitamin D3 Stability Study in Aqueous Solutions
2.3.2. Vitamin D3 Stability Study in Liquid Commercial Products
2.4. Kinetics Calculations and Data Analysis
3. Results
3.1. Degradation Kinetics
3.2. Vitamin D3 Stability Study in Aqueous Solutions
3.2.1. Effect of the Media
3.2.2. Temperature Effect
3.2.3. pH Effect
3.2.4. Effect of Vitamin D3 Concentration
3.2.5. Effect of Light Exposure
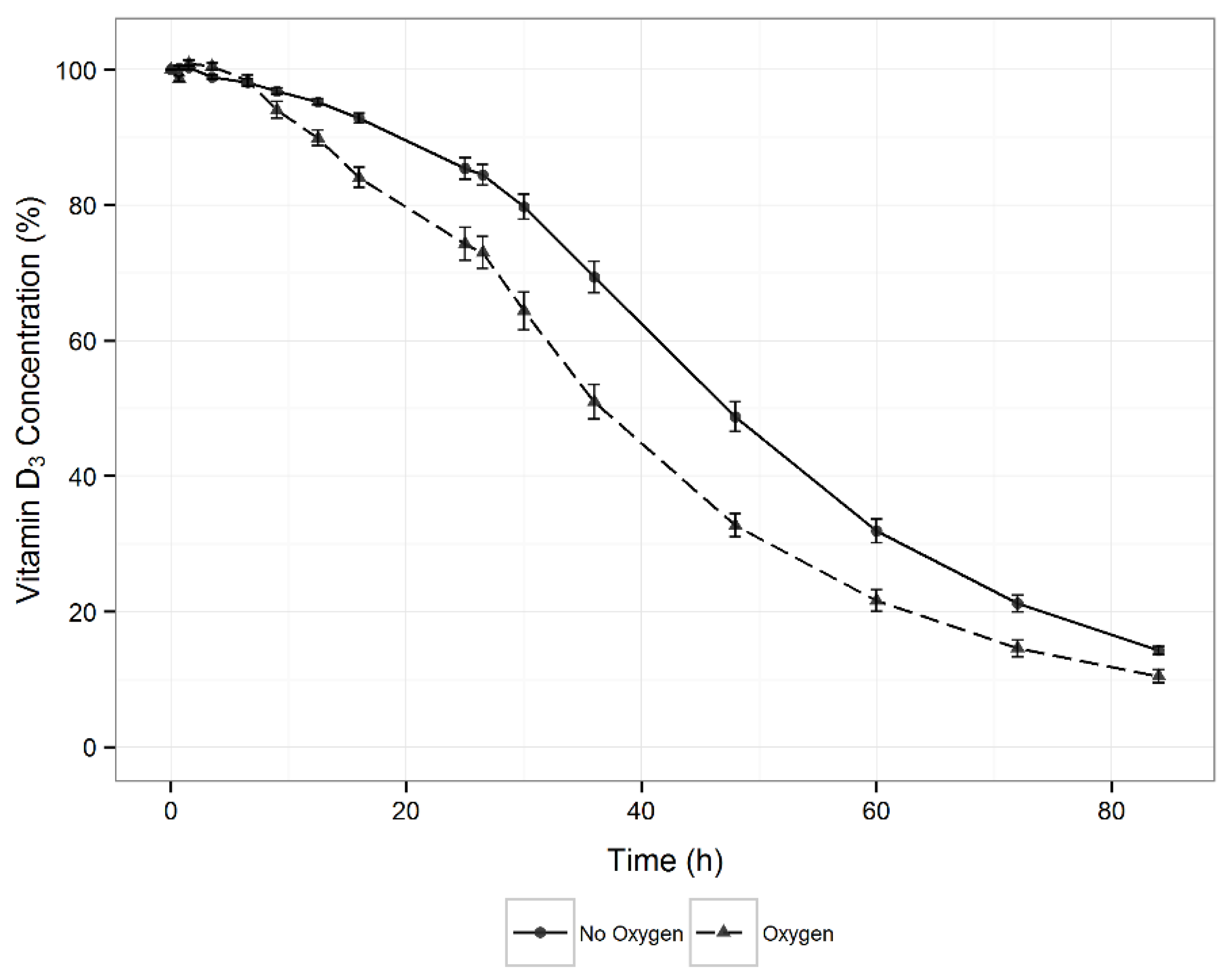
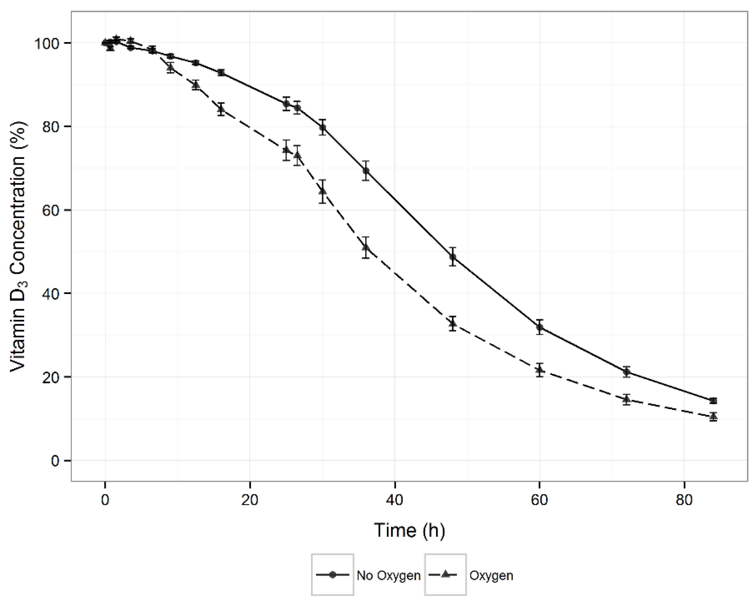
3.2.6. Effect of Oxygen
3.2.7. Effect of Metal Ions
3.3. Approaches towards Vitamin D3 Stabilization in Aqueous Solutions
3.3.1. Addition of an Individual Antioxidant
3.3.2. Addition of Antioxidant Combinations
3.4. Vitamin D3 Stability in Liquid Commercial Products
4. Discussion
5. Conclusions
Author Contributions
Funding
Institutional Review Board Statement
Informed Consent Statement
Data Availability Statement
Conflicts of Interest
Appendix A
| Mark | C (mg/L) | EDTA (mg/L) | A (mg/L) |
|---|---|---|---|
| CE 1 | 5.00 | 50.0 | - |
| CA 1 | 5.00 | - | 100 |
| EA 1 | - | 50.0 | 100 |
| CEA 1 | 5.00 | 50.0 | 100 |
| CE 2 | 50.0 | 500 | - |
| CA 2 | 50.0 | - | 500 |
| EA 2 | - | 500 | 500 |
| CEA 2 | 50.0 | 500 | 500 |
| CE 3 | 500 | 200 | - |
| CA 3 | 500 | - | 2000 |
| EA 3 | - | 200 | 2000 |
| CEA 3 | 500 | 200 | 2000 |
| CE 4 | 500 | 1000 | - |
| CA 4 | 500 | - | 5000 |
| EA 4 | - | 1000 | 5000 |
| CEA 4 | 500 | 1000 | 5000 |
References
- Goltzman, D. Functions of Vitamin D in Bone. Histochem. Cell Biol. 2018, 149, 305–312. [Google Scholar] [CrossRef]
- Holick, M.F. High Prevalence of Vitamin D Inadequacy and Implications for Health. Mayo Clin. Proc. 2006, 81, 353–373. [Google Scholar] [CrossRef]
- Holick, M.F.; Chen, T.C. Vitamin D Deficiency: A Worldwide Problem with Health Consequences. Am. J. Clin. Nutr. 2008, 87, 1080S–1086S. [Google Scholar] [CrossRef]
- Abdo, J.; Rai, V.; Agrawal, D.K. Interplay of Immunity and Vitamin D: Interactions and Implications with Current IBD Therapy. Curr. Med. Chem. 2017, 24, 852–867. [Google Scholar] [CrossRef]
- Bartosik-Psujek, H.; Psujek, M. Vitamin D as an Immune Modulator in Multiple Sclerosis. Neurol. Neurochir. Pol. 2019, 53, 113–122. [Google Scholar] [CrossRef] [PubMed]
- Berridge, M.J. Vitamin D Deficiency and Diabetes. Biochem. J. 2017, 474, 1321–1332. [Google Scholar] [CrossRef] [PubMed]
- Bivona, G.; Gambino, C.M.; Iacolino, G.; Ciaccio, M. Vitamin D and the Nervous System. Neurol. Res. 2019, 41, 827–835. [Google Scholar] [CrossRef] [PubMed]
- Cyprian, F.; Lefkou, E.; Varoudi, K.; Girardi, G. Immunomodulatory Effects of Vitamin D in Pregnancy and Beyond. Front. Immunol. 2019, 10, 2739. [Google Scholar] [CrossRef] [PubMed]
- Ma, Y.; Johnson, C.S.; Trump, D.L. Mechanistic Insights of Vitamin D Anticancer Effects. Vitam. Horm. 2016, 100, 395–431. [Google Scholar]
- Norman, P.E.; Powell, J.T. Vitamin D and Cardiovascular Disease. Circ. Res. 2014, 114, 379–393. [Google Scholar] [CrossRef]
- Osanai, M.; Lee, G.-H. CYP24A1-Induced Vitamin D Insufficiency Promotes Breast Cancer Growth. Oncol. Rep. 2016, 36, 2755–2762. [Google Scholar] [CrossRef] [PubMed]
- Sergeev, I.N. Vitamin D-Mediated Apoptosis in Cancer and Obesity. Horm. Mol. Biol. Clin. Investig. 2014, 20, 43–49. [Google Scholar] [CrossRef] [PubMed]
- Sergeev, I.N. Vitamin D Status and Vitamin D-Dependent Apoptosis in Obesity. Nutrients 2020, 12, 1392. [Google Scholar] [CrossRef]
- Wimalawansa, S.J. Associations of Vitamin D with Insulin Resistance, Obesity, Type 2 Diabetes, and Metabolic Syndrome. J. Steroid Biochem. Mol. Biol. 2018, 175, 177–189. [Google Scholar] [CrossRef] [PubMed]
- Alexander, J.; Tinkov, A.; Strand, T.A.; Alehagen, U.; Skalny, A.; Aaseth, J. Early Nutritional Interventions with Zinc, Selenium and Vitamin D for Raising Anti-Viral Resistance against Progressive COVID-19. Nutrients 2020, 12, 2358. [Google Scholar] [CrossRef]
- Ali, N. Role of Vitamin D in Preventing of COVID-19 Infection, Progression and Severity. J. Infect. Public Health 2020, 13, 1373–1380. [Google Scholar] [CrossRef]
- Bilezikian, J.P.; Bikle, D.; Hewison, M.; Lazaretti-Castro, M.; Formenti, A.M.; Gupta, A.; Madhavan, M.V.; Nair, N.; Babalyan, V.; Hutchings, N.; et al. Mechanisms in endocrinology: Vitamin D and COVID-19. Eur. J. Endocrinol. 2020, 183, R133–R147. [Google Scholar] [CrossRef]
- Grant, W.B.; Lahore, H.; McDonnell, S.L.; Baggerly, C.A.; French, C.B.; Aliano, J.L.; Bhattoa, H.P. Evidence That Vitamin D Supplementation Could Reduce Risk of Influenza and COVID-19 Infections and Deaths. Nutrients 2020, 12, 988. [Google Scholar] [CrossRef]
- Mercola, J.; Grant, W.B.; Wagner, C.L. Evidence Regarding Vitamin D and Risk of COVID-19 and Its Severity. Nutrients 2020, 12, 3361. [Google Scholar] [CrossRef]
- Mohan, M.; Cherian, J.J.; Sharma, A. Exploring Links between Vitamin D Deficiency and COVID-19. PLoS Pathog. 2020, 16, e1008874. [Google Scholar] [CrossRef]
- Panfili, F.M.; Roversi, M.; D’Argenio, P.; Rossi, P.; Cappa, M.; Fintini, D. Possible Role of Vitamin D in Covid-19 Infection in Pediatric Population. J. Endocrinol. Investig. 2021, 44, 27–35. [Google Scholar] [CrossRef] [PubMed]
- Radujkovic, A.; Hippchen, T.; Tiwari-Heckler, S.; Dreher, S.; Boxberger, M.; Merle, U. Vitamin D Deficiency and Outcome of COVID-19 Patients. Nutrients 2020, 12, 2757. [Google Scholar] [CrossRef] [PubMed]
- Weir, E.K.; Thenappan, T.; Bhargava, M.; Chen, Y. Does Vitamin D Deficiency Increase the Severity of COVID-19? Clin. Med. Lond. 2020, 20, e107–e108. [Google Scholar] [CrossRef] [PubMed]
- Xu, Y.; Baylink, D.J.; Chen, C.-S.; Reeves, M.E.; Xiao, J.; Lacy, C.; Lau, E.; Cao, H. The Importance of Vitamin d Metabolism as a Potential Prophylactic, Immunoregulatory and Neuroprotective Treatment for COVID-19. J. Transl. Med. 2020, 18, 322. [Google Scholar] [CrossRef]
- Holick, M.F. The Vitamin D Deficiency Pandemic: Approaches for Diagnosis, Treatment and Prevention. Rev. Endocr. Metab. Disord. 2017, 18, 153–165. [Google Scholar] [CrossRef]
- Palacios, C.; Gonzalez, L. Is Vitamin D Deficiency a Major Global Public Health Problem? J. Steroid Biochem. Mol. Biol. 2014, 144 Pt A, 138–145. [Google Scholar] [CrossRef]
- Temova Rakuša, Ž.; Roškar, R. Vitamin D in Supplements and Medicines. In Vitamin D Deficiency: Causes and Treatment; Sofi, N.Y., Mandal, A., Amiri, W., Eds.; Open Access eBooks: Las Vegas, NV, USA, 2018; pp. 1–19. [Google Scholar]
- Temova, Ž.; Roškar, R. Shelf Life after Opening of Prescription Medicines and Supplements with Vitamin D3 for Paediatric Use. Eur. J. Hosp. Pharm. 2017, 24, 115–119. [Google Scholar] [CrossRef]
- Stability Testing of New Drug Substances and Products ICH Q1A(R2). 2003. Available online: https://www.ich.org/products/guidelines/quality/qualitysingle/article/stability-testing-of-new-drug-substances-and-products.html (accessed on 13 May 2018).
- Zareie, M.; Abbasi, A.; Faghih, S. Thermal Stability and Kinetic Study on Thermal Degradation of Vitamin D3 in Fortified Canola Oil. J. Food Sci. 2019, 84, 2475–2481. [Google Scholar] [CrossRef]
- Grady, L.T.; Thakker, K.D. Stability of Solid Drugs: Degradation of Ergocalciferol (Vitamin D2) and Cholecalciferol (Vitamin D3) at High Humidities and Elevated Temperatures. J. Pharm. Sci. 1980, 69, 1099–1102. [Google Scholar] [CrossRef]
- Sharifi, F.; Jahangiri, M. Investigation of the Stability of Vitamin D in Emulsion Based Delivery Systems. Chem. Ind. Chem. Eng. Q. 2017, 24, 28. [Google Scholar] [CrossRef]
- Jafari, T.; Askari, G.; Mirlohi, M.; Javanmard, S.H.; Faghihimani, E.; Fallah, A.A. Stability of Vitamin D3 in Fortified Yoghurt and Yoghurt Drink (Doogh). Adv. Biomed. Res. 2016, 5, 52. [Google Scholar]
- Mahmoodani, F.; Perera, C.O.; Fedrizzi, B.; Abernethy, G.; Chen, H. Degradation Studies of Cholecalciferol (Vitamin D3) Using HPLC-DAD, UHPLC-MS/MS and Chemical Derivatization. Food Chem. 2017, 219, 373–381. [Google Scholar] [CrossRef]
- Mahmoodani, F.; Perera, C.O.; Abernethy, G.; Fedrizzi, B.; Chen, H. Lipid Oxidation and Vitamin D3 Degradation in Simulated Whole Milk Powder as Influenced by Processing and Storage. Food Chem. 2018, 261, 149–156. [Google Scholar] [CrossRef]
- Combs, G.F. Chemical and Physiological Properties of Vitamins. In The Vitamins: Fundamental Aspects in Nutrition and Health, 3rd ed.; Elsevier Academic Press: Amsterdam, The Netherlands, 2008; pp. 503–514. [Google Scholar]
- Eitenmiller, R.R.; Landen, W.O.; Lin, Y. Vitamin Analysis for the Health and Food Sciences, 2nd ed.; CRC Press: Boca Raton, FL, USA, 2008. [Google Scholar]
- Kutsky, R.J. Handbook of Vitamins, Minerals and Hormones, 2nd ed.; Van Nostrand Reinhold Company: New York, NY, USA, 1981. [Google Scholar]
- Fanali, C.; D’Orazio, G.; Fanali, S.; Gentili, A. Advanced Analytical Techniques for Fat-Soluble Vitamin Analysis. Trends Anal. Chem. 2017, 87, 82–97. [Google Scholar] [CrossRef]
- Praminik, B.N.; Lee, M.S.; Guodong, C. Characterization of Impurities and Degradants Using Mass Spectrometry; John Wiley: New York, NY, USA, 2011. [Google Scholar]
- Charlton, S.; Ewing, W. The Vitamins Directory, 2nd ed.; Context Products Ltd.: Leicestershire, UK, 2007. [Google Scholar]
- Temova, Ž.; Roškar, R. Stability-Indicating HPLC-UV Method for Vitamin D3 Determination in Solutions, Nutritional Supplements and Pharmaceuticals. J. Chromatogr. Sci. 2016, 54, 1180–1186. [Google Scholar] [CrossRef]
- Pike, R.L.; Brown, M.L. Nutrition, an Integrated Approach, 2nd ed.; John Wiley and Sons: Chichester, UK, 1975. [Google Scholar]
- Kreutler, P.A.; Czajka-Narins, D.M. Nutrition in Perspective, 2nd ed.; Prentice-Hall: Hoboken, NJ, USA, 1987. [Google Scholar]
- R Core Team. The R Project for Statistical Computing; R Foundation for Statistical Computing: Vienna, Austria, 2020; Available online: https://www.r-project.org/ (accessed on 19 April 2021).
- Privett, O.S.; Quackenbush, F.W. The Relation of Synergist to Antioxidant in Fats. J. Am. Oil Chem. Soc. 1954, 31, 321–323. [Google Scholar] [CrossRef]
- European Commission Guidance Document for Competent Authorities for the Control of Compliance with EU Legislation. Available online: https://ec.europa.eu/food/sites/food/files/safety/docs/labelling_nutrition-vitamins_minerals-guidance_tolerances_1212_en.pdf (accessed on 11 November 2017).
- Corradini, M.G.; Peleg, M. A model of non-isothermal degradation of nutrients, pigments and enzymes. J. Sci. Food Agric. 2004, 84, 217–226. [Google Scholar] [CrossRef]
- Peleg, M. Modeling the Dynamic Kinetics of Microbial Disinfection with Dissipating Chemical Agents—A Theoretical Investigation. Appl. Microbiol. Biotechnol. 2021, 105, 539–549. [Google Scholar] [CrossRef] [PubMed]
- Chakraborty, S.; Rao, P.S.; Mishra, H.N. Empirical Model Based on Weibull Distribution Describing the Destruction Kinetics of Natural Microbiota in Pineapple (Ananas comosus L.) Puree during High-Pressure Processing. Int. J. Food Microbiol. 2015, 211, 117–127. [Google Scholar] [CrossRef]
- Stone, G.; Chapman, B.; Lovell, D. Development of a Log-Quadratic Model to Describe Microbial Inactivation, Illustrated by Thermal Inactivation of Clostridium Botulinum. Appl. Environ. Microbiol. 2009, 75, 6998–7005. [Google Scholar] [CrossRef]
- Jones, M.C.; Noufaily, A.; Burke, K. A Bivariate Power Generalized Weibull Distribution: A Flexible Parametric Model for Survival Analysis. Stat. Methods Med. Res. 2020, 29, 2295–2306. [Google Scholar] [CrossRef]
- Gómez-Acebo, I.; Dierssen-Sotos, T.; Palazuelos-Calderón, C.; Pérez-Gómez, B.; Amiano, P.; Guevara, M.; Molina, A.J.; Domingo, L.; Fernández-Ortiz, M.; Moreno, V.; et al. Tumour Characteristics and Survivorship in a Cohort of Breast Cancer: The MCC-Spain Study. Breast Cancer Res. Treat. 2020, 181, 667–678. [Google Scholar] [CrossRef]
- Jácome, A.A.A.; Wohnrath, D.R.; Scapulatempo Neto, C.; Carneseca, E.C.; Serrano, S.V.; Viana, L.S.; Nunes, J.S.; Martinez, E.Z.; Santos, J.S. Prognostic Value of Epidermal Growth Factor Receptors in Gastric Cancer: A Survival Analysis by Weibull Model Incorporating Long-Term Survivors. Gastric Cancer 2014, 17, 76–86. [Google Scholar] [CrossRef] [PubMed]
- Quinn, J.B.; Quinn, G.D. A Practical and Systematic Review of Weibull Statistics for Reporting Strengths of Dental Materials. Dent. Mater. 2010, 26, 135–147. [Google Scholar] [CrossRef]
- Zhu, Z.; Zhang, C.; Meng, S.; Shi, Z.; Tao, S.; Zhu, D. A Statistical Damage Constitutive Model Based on the Weibull Distribution for Alkali-Resistant Glass Fiber Reinforced Concrete. Materials 2019, 12, 1908. [Google Scholar] [CrossRef]
- Yatongchai, C.; Wren, A.W.; Curran, D.J.; Hornez, J.-C.; Mark, R.T. Comparison of the Weibull Characteristics of Hydroxyapatite and Strontium Doped Hydroxyapatite. J. Mech. Behav. Biomed. Mater. 2013, 21, 95–108. [Google Scholar] [CrossRef] [PubMed]
- Genet, M.; Houmard, M.; Eslava, S.; Saiz, E.; Tomsia, A.P. A Two-Scale Weibull Approach to the Failure of Porous Ceramic Structures Made by Robocasting: Possibilities and Limits. J. Eur. Ceram. Soc. 2013, 33, 679–688. [Google Scholar] [CrossRef] [PubMed]
- Jiang, L.; Zheng, H.; Lu, H. Weibull Method to model Ascorbic acid Degradation. J. Food Process. Preserv. 2014, 38, 856–863. [Google Scholar] [CrossRef]
- Mahmoodani, F.; Perera, C.O.; Abernethy, G.; Fedrizzi, B.; Greenwood, D.; Chen, H. Identification of Vitamin D3 Oxidation Products Using High-Resolution and Tandem Mass Spectrometry. J. Am. Soc. Mass Spectrom. 2018, 29, 1442–1455. [Google Scholar] [CrossRef] [PubMed]
- Tromans, D. Temperature and Pressure Dependent Solubility of Oxygen in Water: A Thermodynamic Analysis. Hydrometallurgy 1998, 48, 327–342. [Google Scholar] [CrossRef]
- Fliszar, K.A.; Walker, D.; Allain, L. Profiling of Metal Ions Leached from Pharmaceutical Packaging Materials. PDA J. Pharm. Sci. Technol. 2006, 60, 337–342. [Google Scholar] [PubMed]
- Ali, M.E.; Rahman, M.M.; Sarkar, S.M.; Hamid, S.B.A. Heterogeneous Metal Catalysts for Oxidation Reactions. J. Nanomater. 2014, 1, 1–23. [Google Scholar] [CrossRef]
- Scientific Opinion on the Safety and Efficacy of Vitamin D3 (Cholecalciferol) as a Feed Additive for All Animal Species or Categories Based on a Dossier Submitted by Lohmann Animal Health GmbH. EFSA J. 2014, 12, 3568.
- Zhou, P.; Zhang, J.; Zhang, Y.; Liu, Y.; Liang, J.; Liu, B.; Zhang, W. Generation of Hydrogen Peroxide and Hydroxyl Radical Resulting from Oxygen-Dependent Oxidation of L-Ascorbic Acid via Copper Redox-Catalyzed Reactions. RSC Adv. 2016, 6, 38541–38547. [Google Scholar] [CrossRef]
- Buettner, G.R.; Jurkiewicz, B.A. Catalytic Metals, Ascorbate and Free Radicals: Combinations to Avoid. Radiat Res. 1996, 145, 532–541. [Google Scholar] [CrossRef] [PubMed]
- Stanner, S.; Weichselbaum, E. Antioxidants. In Encyclopedia of Human Nutrition, 3rd ed.; Caballero, B., Ed.; Academic Press: Waltham, MA, USA, 2013; pp. 88–99. [Google Scholar]
- Allen, K. Metal chelators as antioxidants for food preservation. In Handbook of Antioxidants for Foos Preservation; Shahidi, F., Ed.; Woodhead Publishing Series in Food Science; Technology and Nutrition: Cambridge, UK, 2015; pp. 79–104. [Google Scholar]
- Cantu, A.; Gozza, A.; Waterhouse, A. Chelating Agents: A New Tool in Preventing Wine Oxidation. Am. J. Enol. Vitic. 2009, 60, 397a–398a. [Google Scholar]
- Choe, E.; Min, D.B. Mechanisms of Antioxidants in the Oxidation of Foods. Compr. Rev. Food Sci. Food Saf. 2009, 8, 345–358. [Google Scholar] [CrossRef]






| Parameter | Media | Varied Condition |
|---|---|---|
| media | different | aqueous (DW, TW, MQ) and organic (EtOH, EtOH + MeOH, Isoprop., MeOH, PG) |
| temperature | TW/DW/MQ | 4 °C, 25 °C, 40 °C |
| pH | DW | pH: 1, 2, 3, 4, 5, 6, 7, 8 |
| concentration | MQ -MeOH (90:10, v/v) | 10, 25, 100 and 500 mg/L |
| light | DW | clear vials exposed to daylight, amber vials kept in the dark |
| oxygen | DW | with or without O2 |
| air space | MeOH–DW (75:25, v/v) | solution volume in 2-mL vials (0.5, 1.0, 1.5 and 2.0 mL) |
| Fe2+, Cu+ or Cu2+ ions | MQ | 0.01, 0.05, 0.1 mM |
| Cu2+ + A | DW | CuCl2 (2 mM) + A (0, 100, 200, 500, 1000, 2000 mg/L) |
| A | DW | A (100, 200, 500, 1000, 2000 mg/L) |
| EDTA | DW | EDTA (50, 100, 200, 500, 1000 mg/L) |
| C | DW | C (5, 10, 50, 100, 500 mg/L) |
| A, EDTA and/or C * | DW | A (500, 2000, 5000 mg/L); EDTA (200, 500, 1000 mg/L); C (5, 50, 500 mg/L) |
| Product | Type | Vitamin D3 Content * | Ingredients | ||
|---|---|---|---|---|---|
| Carrier | Potential Stabilizers | Other Excipients | |||
| 1 | M | 20,000 IU/mL | MCT | ||
| 2 | M | 4000 IU/mL | PW | BHT, anhydrous citric acid, propylene glycol | methyl parahydroxybenzoate, MGHS, macrogol 400, anhydrous sodium hydrogen phosphate |
| 3 | M | 2000 IU/mL | PW | glycerol, propylene glycol | MGHS, sodium benzoate, sucrose, sodium saccharinate, orange aroma (ethanol) |
| 4 | FS | 1000 IU/drop | MCT | ||
| 5 | FS | 12,000 IU/mL | deionized water | citric acid, vegetable glycerine | natural orange aroma, lemon essential oil |
| 6 | FS | 400 IU/drop | corn oil | ||
| 7 | FS | 4000 IU/mL | PW | sodium benzoate | |
| 8 | FS | 80 IU/drop | vegetable oil | ||
| 9 | FS | 320 IU/mL | PW | vegetable glycerine | stevia, natural cherries aroma, potassium sorbate, and sodium benzoate |
| Light | Oxygen | Other Conditions * | ||||||||
|---|---|---|---|---|---|---|---|---|---|---|
| DW | Cu2+ | pH = 1 | ||||||||
| Model | R2 | AIC | R2 | AIC | R2 | AIC | R2 | AIC | R2 | AIC |
| 0.906 | 344.8 | 0.947 | 475.6 | 0.892 | 164.8 | 0.758 | 109.8 | 0.826 | 102.6 |
| 0.796 | 379.4 | 0.918 | 505.0 | 0.982 | 127.3 | 1.000 | 14.30 | 0.995 | 61.45 |
| 0.698 | 397.1 | 0.843 | 549.0 | 0.903 | 162.5 | 0.986 | 75.55 | 0.989 | 69.02 |
| Weibull:y = 100 ∗ exp(−(t/λ)^k) | 0.994 | 225.7 | 0.973 | 431.8 | 0.997 | 89.28 | 1.000 | 1.616 | 0.998 | 52.43 |
| DW | TW | MQ | |
|---|---|---|---|
| k1 (4 °C) (h−1] (CI) | 0.027 (0.023–0.031) | 0.012 (0.009–0.014) | 0.001 (0.000–0.002) |
| k1 (25 °C) (h−1) (CI) | 0.143 (0.124–0.162) | 0.099 (0.096–0.102) | 0.024 (0.021–0.026) |
| k1 (40 °C) (h−1) (CI) | 0.400 (0.385–0.416) | 0.339 (0.270–0.407) | 0.085 (0.077–0.092) |
| Arrhenius equation | y = −6465x + 19.74 | y = −8142x + 24.96 | y = −10,725x + 31.97 |
| R2 | 1.000 | 0.999 | 0.988 |
| Ea (kJ/mol) | 53.8 | 67.7 | 89.2 |
| Vitamin D3 Concentration | 10 mg/L | 25 mg/L | 100 mg/L | 500 mg/L |
|---|---|---|---|---|
| k1 (h−1) (CI) | 0.055 (0.050–0.060) | 0.047 (0.046–0.049) | 0.035 (0.032–0.037) | 0.024 (0.024–0.025) |
| A Conc. (mg/L) | k1 (h−1) | CI | |
|---|---|---|---|
| Control * | 0.131 | 0.122–0.141 | |
| A + 2 mM Cu2+ | 0 | 0.526 | 0.505–0.548 |
| 100 | 0.518 | 0.495–0.542 | |
| 200 | 0.267 | 0.246–0.291 | |
| 500 | 0.122 | 0.101–0.147 | |
| 1000 | 0.036 | 0.033–0.038 | |
| 2000 | 0.038 | 0.033–0.043 |
| Vitamin D3 Content (%) after 6 Months in Oil-Based Formulations | Vitamin D3 Content (%) after 6 months in Water-Based Formulations | ||||||
|---|---|---|---|---|---|---|---|
| 4 °C | 25 °C | 40 °C | 4 °C | 25 °C | 40 °C | ||
| M (1) | 102.0 ± 0.2 | 101.0 ± 0.1 | 98.3 ± 0.3 | M (2) | 101.5 ± 0.0 | 101.9 ± 0.9 | 102.3 ± 0.0 |
| FS (4) | 101.2 ± 0.2 | 99.7 ± 0.2 | 97.5 ± 0.2 | M (3) | 96.7 ± 0.0 | 96.0 ± 1.0 | 80.5 ± 2.0 |
| FS (6) | 91.2 ± 2.4 | 89.1 ± 0.1 | 46.8 ± 0.4 | FS (5) | 66.2 ± 2.8 | 1.5 ± 0.9 | 0.0 ± 0.0 |
| FS (8) | 102.9 ± 1.0 | 102.2 ± 0.6 | 100.2 ± 0.5 | FS (7) | 93.1 ± 0.5 | 79.4 ± 1.0 | 40.6 ± 1.2 |
| FS (9) | 76.6 ± 3.5 | 39.8 ± 2.6 | 2.3 ± 0.2 | ||||
| Quantitative Evaluation of Vitamin D3 Stability in the Unstable Products (First-Order Constants and Arrh. Data) | |||||||
| k1 (4 °C) (month−1) (CI) | k1 (25 °C) (month−1) (CI) | k1 (40 °C) (month−1) (CI) | Arrh. eq. | R2 | Ea (kJ/mol) | ||
| FS (5) | 0.069 (0.057–0.081) | 0.610 (0.362–0.859) | 2.469 (2.141–2.797) | y = −8613x + 28.42 | 1.000 | 71.6 | |
| FS (7) | 0.012 (0.010–0.013) | 0.038 (0.035.042) | 0.150 (0.142–0.159) | y = −5987x + 17.08 | 0.971 | 49.8 | |
| FS (9) | 0.045 (0.032–0.058) | 0.154 (0.136–0.173) | 0.634 (0.605–0.662) | y = −6240x + 19.33 | 0.972 | 51.9 | |
Publisher’s Note: MDPI stays neutral with regard to jurisdictional claims in published maps and institutional affiliations. |
© 2021 by the authors. Licensee MDPI, Basel, Switzerland. This article is an open access article distributed under the terms and conditions of the Creative Commons Attribution (CC BY) license (https://creativecommons.org/licenses/by/4.0/).
Share and Cite
Temova Rakuša, Ž.; Pišlar, M.; Kristl, A.; Roškar, R. Comprehensive Stability Study of Vitamin D3 in Aqueous Solutions and Liquid Commercial Products. Pharmaceutics 2021, 13, 617. https://doi.org/10.3390/pharmaceutics13050617
Temova Rakuša Ž, Pišlar M, Kristl A, Roškar R. Comprehensive Stability Study of Vitamin D3 in Aqueous Solutions and Liquid Commercial Products. Pharmaceutics. 2021; 13(5):617. https://doi.org/10.3390/pharmaceutics13050617
Chicago/Turabian StyleTemova Rakuša, Žane, Mitja Pišlar, Albin Kristl, and Robert Roškar. 2021. "Comprehensive Stability Study of Vitamin D3 in Aqueous Solutions and Liquid Commercial Products" Pharmaceutics 13, no. 5: 617. https://doi.org/10.3390/pharmaceutics13050617
APA StyleTemova Rakuša, Ž., Pišlar, M., Kristl, A., & Roškar, R. (2021). Comprehensive Stability Study of Vitamin D3 in Aqueous Solutions and Liquid Commercial Products. Pharmaceutics, 13(5), 617. https://doi.org/10.3390/pharmaceutics13050617

