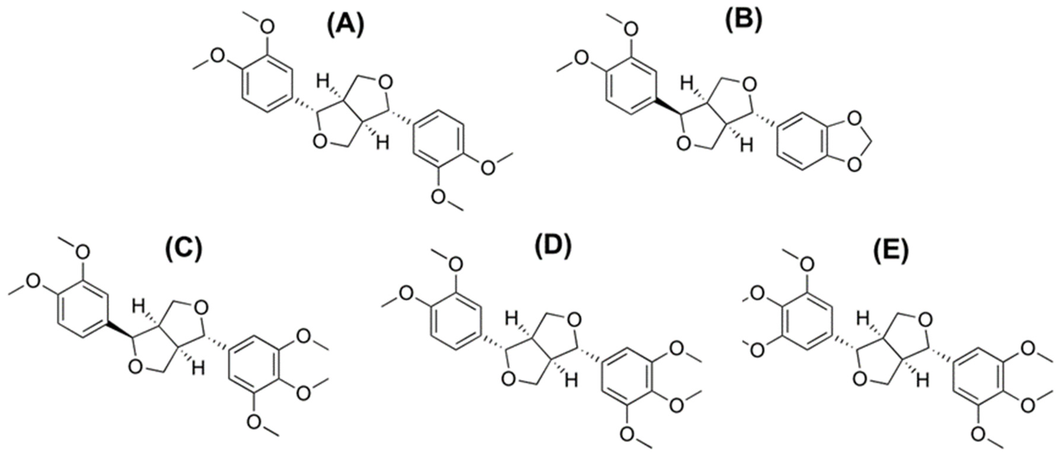
Tetrahydrofurofuranoid Lignans, Eudesmin, Fargesin, Epimagnolin A, Magnolin, and Yangambin Inhibit UDP-Glucuronosyltransferase 1A1 and 1A3 Activities in Human Liver Microsomes
Abstract
1. Introduction
2. Materials and Methods
2.1. Materials and Reagents
2.2. Inhibitory Potentials of Eudesmin, Fargesin, Epimagnolin A, Magnolin, and Yangambin on Six Major UGT Activities in Ultrapooled Human Liver Microsomes
2.3. Kinetic Analysis
2.4. LC-MS/MS Analysis
2.5. Data Analysis
3. Results
3.1. Inhibitory Effect of Eudesmin on Human Uridine 5′-diphospho-glucuronosyltransferase (UGT) Isoforms
3.2. Inhibitory Effect of Fargesin on Human UGT Isoforms
3.3. Inhibitory Effect of Epimagnolin A on Human UGT Isoforms
3.4. Inhibitory Effect of Magnolin on Human UGT Isoforms
3.5. Inhibitory Effect of Yangambin on Human UGT Isoforms
3.6. Kinetic Analysis of Eudesmin, Fargesin, Epimagnolin A, Magnolin, and Yangambin on UGT1A1 and UGT1A3 Activities in Human Liver Microsomes
4. Discussion
5. Conclusions
Author Contributions
Funding
Institutional Review Board Statement
Informed Consent Statement
Data Availability Statement
Conflicts of Interest
References
- Zhou, X.; Chen, C.; Ye, X.; Song, F.; Fan, G.; Song, F. Analysis of lignans in Magnoliae Flos by turbulent flow chromatography with online solid-phase extraction and high-performance liquid chromatography with tandem mass spectrometry. J. Sep. Sci. 2016, 39, 1266–1272. [Google Scholar] [CrossRef] [PubMed]
- Bhatt, V.; Sharma, S.; Kumar, N.; Sharma, U.; Singh, B. Simultaneous quantification and identification of flavonoids, lignans, coumarin and amides in leaves of Zanthoxylum armatum using UPLC-DAD-ESI-QTOF–MS/MS. J. Pharm. Biomed. Anal. 2017, 132, 46–55. [Google Scholar] [CrossRef] [PubMed]
- Kumar, V.; Kumar, S.; Singh, B.; Kumar, N. Quantitative and structural analysis of amides and lignans in Zanthoxylum armatum by UPLC-DAD-ESI-QTOF–MS/MS. J. Pharm. Biomed. Anal. 2014, 94, 23–29. [Google Scholar] [CrossRef] [PubMed]
- Guo, T.; Su, D.; Huang, Y.; Wang, Y.; Li, Y. Ultrasound-Assisted Aqueous Two-Phase System for Extraction and Enrichment of Zanthoxylum armatum Lignans. Molecules 2015, 20, 15273–15286. [Google Scholar] [CrossRef]
- Guo, T.; Deng, Y.-X.; Xie, H.; Yao, C.-Y.; Cai, C.-C.; Pan, S.-L.; Wang, Y.-L. Antinociceptive and anti-inflammatory activities of ethyl acetate fraction from Zanthoxylum armatum in mice. Fitoterapia 2011, 82, 347–351. [Google Scholar] [CrossRef]
- Lim, H.; Son, K.H.; Bae, K.H.; Hung, T.M.; Kim, Y.S.; Kim, H.P. 5-Lipoxygenase-inhibitory constituents from Schizandra fructus and Magnolia flos. Phytother. Res. 2009, 23, 1489–1492. [Google Scholar] [CrossRef] [PubMed]
- Baek, J.A.; Lee, Y.D.; Lee, C.B.; Go, H.K.; Kim, J.P.; Seo, J.J.; Rhee, Y.K.; Kim, A.M.; Na, D.J. Extracts of Magnoliae flos inhibit inducible nitric oxide synthase via ERK in human respiratory epithelial cells. Nitric Oxide 2009, 20, 122–128. [Google Scholar] [CrossRef]
- Kim, J.S.; Kim, J.Y.; Lee, H.J.; Lim, H.J.; Lee, D.Y.; Kim, D.H.; Ryu, J.-H. Suppression of inducible nitric oxide synthase expression by furfuran lignans from flower buds of Magnolia fargesii in BV-2 microglial cells. Phytother. Res. 2009, 24, 748–753. [Google Scholar] [CrossRef]
- Yue, B.; Ren, Y.J.; Zhang, J.J.; Luo, X.P.; Yu, Z.L.; Ren, G.Y.; Sun, A.N.; Deng, C.; Wang, Z.T.; Dou, W. Anti-Inflammatory Effects of Fargesin on Chemically Induced Inflammatory Bowel Disease in Mice. Molecules 2018, 23, 1380. [Google Scholar] [CrossRef]
- Yoo, S.M.; Lee, C.J.; Kang, H.C.; Lee, H.S.; Lee, J.Y.; Kim, K.D.; Kim, D.J.; An, H.J.; Cho, Y.Y. Epimagnolin targeting on an active pocket of mammalian target of rapamycin suppressed cell transformation and colony growth of lung cancer cells. Mol. Carcinog. 2019, 58, 1221–1233. [Google Scholar] [CrossRef]
- Lee, C.-J.; Lee, M.-H.; Yoo, S.-M.; Choi, K.-I.; Song, J.H.; Jang, J.-H.; Oh, S.-R.; Ryu, H.W.; Lee, H.S.; Dong, Z.; et al. Magnolin inhibits cell migration and invasion by targeting the ERKs/RSK2 signaling pathway. BMC Cancer 2015, 15, 1–12. [Google Scholar] [CrossRef] [PubMed]
- Jun, A.Y.; Kim, H.-J.; Park, K.-K.; Son, K.H.; Lee, D.H.; Woo, M.-H.; Chung, W.-Y. Tetrahydrofurofuran-type lignans inhibit breast cancer-mediated bone destruction by blocking the vicious cycle between cancer cells, osteoblasts and osteoclasts. Investig. New Drugs 2014, 32, 1–13. [Google Scholar] [CrossRef] [PubMed]
- Yang, J.S.; Wang, C.M.; Su, C.H.; Ho, H.C.; Chang, C.H.; Chou, C.H.; Hsu, Y.M. Eudesmin attenuates Helicobacter pylori-induced epithelial autophagy and apoptosis and leads to eradication of H. pylori infection. Exp. Ther. Med. 2018, 15, 2388–2396. [Google Scholar] [PubMed]
- Wang, X.; Cheng, Y.; Xue, H.; Yue, Y.; Zhang, W.; Li, X. Fargesin as a potential β1 adrenergic receptor antagonist protects the hearts against ischemia/reperfusion injury in rats via attenuating oxidative stress and apoptosis. Fitoterapia 2015, 105, 16–25. [Google Scholar] [CrossRef] [PubMed]
- Lee, Y.-S.; Cha, B.-Y.; Choi, S.-S.; Harada, Y.; Choi, B.-K.; Yonezawa, T.; Teruya, T.; Nagai, K.; Woo, J.-T. Fargesin improves lipid and glucose metabolism in 3T3-L1 adipocytes and high-fat diet-induced obese mice. BioFactors 2012, 38, 300–308. [Google Scholar] [CrossRef]
- Sha, S.; Xu, D.; Wang, Y.; Zhao, W.; Li, X. Antihypertensive effects of fargesin in vitro and in vivo via attenuating oxidative stress and promoting nitric oxide release. Can. J. Physiol. Pharmacol. 2016, 94, 900–906. [Google Scholar] [CrossRef]
- Wang, F.; Zhang, G.; Zhou, Y.; Gui, D.; Li, J.; Xing, T.; Wang, N. Magnolin Protects against Contrast-Induced Nephropathy in Rats via Antioxidation and Antiapoptosis. Oxidative Med. Cell. Longev. 2014, 2014, 1–7. [Google Scholar] [CrossRef]
- Jeong, J.H.; Kim, D.K.; Ji, H.Y.; Oh, S.-R.; Lee, H.-K.; Lee, H.S. Liquid chromatography-atmospheric pressure chemical ionization tandem mass spectrometry for the simultaneous determination of dimethoxyaschantin, dimethylliroresinol, dimethylpinoresinol, epimagnolin A, fargesin and magnolin in rat plasma. Biomed. Chromatogr. 2010, 25, 879–889. [Google Scholar] [CrossRef]
- Park, C.S.; Kim, T.-B.; Lee, J.-Y.; Park, J.Y.; Lee, Y.C.; Jeong, S.S.; Lee, Y.D.; Cho, Y.S.; Moon, H.-B. Effects of Add-On Therapy with NDC-052, an Extract fromMagnoliae Flos, in Adult Asthmatic Patients Receiving Inhaled Corticosteroids. Korean J. Intern. Med. 2012, 27, 84–90. [Google Scholar] [CrossRef]
- Kim, N.J.; Oh, S.R.; Lee, H.K.; Lee, H.S. Simultaneous determination of magnolin and epimagnolin A in rat plasma by liquid chromatography with tandem mass spectrometry: Application to pharmacokinetic study of a purified extract of the dried flower buds of Magnolia fargesii, NDC-052 in rats. J. Pharm. Biomed. Anal. 2009, 50, 53–57. [Google Scholar] [CrossRef]
- Kim, N.J.; Song, W.Y.; Yoo, S.D.; Oh, S.-R.; Lee, H.-K.; Lee, H.S. Pharmacokinetics of magnolin in rats. Arch. Pharmacal Res. 2010, 33, 933–938. [Google Scholar] [CrossRef] [PubMed]
- Na, D.H.; Ji, H.Y.; Park, E.J.; Kim, M.S.; Liu, K.-H.; Lee, H.S. Evaluation of metabolism-mediated herb-drug interactions. Arch. Pharmacal Res. 2011, 34, 1829–1842. [Google Scholar] [CrossRef] [PubMed]
- Ma, B.-L.; Ma, Y. Pharmacokinetic herb–drug interactions with traditional Chinese medicine: Progress, causes of conflicting results and suggestions for future research. Drug Metab. Rev. 2016, 48, 1–26. [Google Scholar] [CrossRef] [PubMed]
- Meng, Q.; Liu, K. Pharmacokinetic interactions between herbal medicines and prescribed drugs: Focus on drug metabolic enzymes and transporters. Curr. Drug Metab. 2015, 15, 791–807. [Google Scholar] [CrossRef] [PubMed]
- Brantley, S.J.; Argikar, A.A.; Lin, Y.S.; Nagar, S.; Paine, M.F. Herb–Drug Interactions: Challenges and Opportunities for Improved Predictions. Drug Metab. Dispos. 2014, 42, 301–317. [Google Scholar] [CrossRef]
- Roe, A.L.; Paine, M.F.; Gurley, B.J.; Brouwer, K.R.; Jordan, S.; Griffiths, J.C. Assessing Natural Product–Drug Interactions: An End-to-End Safety Framework. Regul. Toxicol. Pharmacol. 2016, 76, 1–6. [Google Scholar] [CrossRef]
- Zuo, Z.; Huang, M.; Kanfer, I.; Chow, M.S.S.; Cho, W.C.S. Herb-Drug Interactions: Systematic Review, Mechanisms, and Therapies. Evid. Based Complement. Alternat. Med. 2015, 2015, 239150. [Google Scholar] [CrossRef]
- Kwon, S.-S.; Kim, J.-H.; Jeong, H.-U.; Cho, Y.-Y.; Oh, S.-R.; Lee, H.S. Inhibitory Effects of Aschantin on Cytochrome P450 and Uridine 5′-diphospho-glucuronosyltransferase Enzyme Activities in Human Liver Microsomes. Molecules 2016, 21, 554. [Google Scholar] [CrossRef]
- Albaugh, D.R.; Fullenwider, C.L.; Fisher, M.B.; Hutzler, J.M. Time-Dependent Inhibition and Estimation of CYP3A Clinical Pharmacokinetic Drug-Drug Interactions Using Plated Human Cell Systems. Drug Metab. Dispos. 2012, 40, 1336–1344. [Google Scholar] [CrossRef]
- Kim, J.-H.; Kwon, S.-S.; Jeong, H.-U.; Lee, H.S. Inhibitory Effects of Dimethyllirioresinol, Epimagnolin A, Eudesmin, Fargesin, and Magnolin on Cytochrome P450 Enzyme Activities in Human Liver Microsomes. Int. J. Mol. Sci. 2017, 18, 952. [Google Scholar] [CrossRef]
- Park, E.J.; Park, R.; Jeon, J.-H.; Cho, Y.-Y.; Lee, J.Y.; Kang, H.C.; Song, I.-S.; Lee, H.S. Inhibitory Effect of AB-PINACA, Indazole Carboxamide Synthetic Cannabinoid, on Human Major Drug-Metabolizing Enzymes and Transporters. Pharmaceutics 2020, 12, 1036. [Google Scholar] [CrossRef] [PubMed]
- Kim, S.-B.; Kim, K.-S.; Kim, D.-D.; Yoon, I.-S. Metabolic interactions of rosmarinic acid with human cytochrome P450 monooxygenases and uridine diphosphate glucuronosyltransferases. Biomed. Pharmacother. 2019, 110, 111–117. [Google Scholar] [CrossRef] [PubMed]
- Amidon, G.L.; Lennernäs, H.; Shah, V.P.; Crison, J.R. A Theoretical Basis for a Biopharmaceutic Drug Classification: The Correlation of in Vitro Drug Product Dissolution and in Vivo Bioavailability. Pharm. Res. 1995, 12, 413–420. [Google Scholar] [CrossRef] [PubMed]
- Goon, C.P.; Wang, L.Z.; Wong, F.C.; Thuya, W.L.; Ho, P.C.-L.; Goh, B.C. UGT1A1 Mediated Drug Interactions and its Clinical Relevance. Curr. Drug Metab. 2016, 17, 100–106. [Google Scholar] [CrossRef] [PubMed]
- Fujiwara, R.; Sumida, K.; Kutsuno, Y.; Sakamoto, M.; Itoh, T. UDP-glucuronosyltransferase (UGT) 1A1 mainly contributes to the glucuronidation of trovafloxacin. Drug Metab. Pharmacokinet. 2015, 30, 82–88. [Google Scholar] [CrossRef]
- Dellinger, R.W.; Garcia, A.M.G.; Meyskens, F.L. Differences in the Glucuronidation of Resveratrol and Pterostilbene: Altered Enzyme Specificity and Potential Gender Differences. Drug Metab. Pharmacokinet. 2014, 29, 112–119. [Google Scholar] [CrossRef]
- Wang, L.-Z.; Ramírez, J.; Yeo, W.; Chan, M.-Y.M.; Thuya, W.-L.; Lau, J.-Y.A.; Wan, S.-C.; Wong, A.L.-A.; Zee, Y.-K.; Lim, R.; et al. Glucuronidation by UGT1A1 Is the Dominant Pathway of the Metabolic Disposition of Belinostat in Liver Cancer Patients. PLoS ONE 2013, 8, e54522. [Google Scholar] [CrossRef]
- Reese, M.J.; Savina, P.M.; Generaux, G.T.; Tracey, H.; Humphreys, J.E.; Kanaoka, E.; Webster, L.O.; Harmon, K.A.; Clarke, J.D.; Polli, J.W. In Vitro Investigations into the Roles of Drug Transporters and Metabolizing Enzymes in the Disposition and Drug Interactions of Dolutegravir, a HIV Integrase Inhibitor. Drug Metab. Dispos. 2012, 41, 353–361. [Google Scholar] [CrossRef]
- Alonen, A.; Finel, M.; Kostiainen, R. The human UDP-glucuronosyltransferase UGT1A3 is highly selective towards N2 in the tetrazole ring of losartan, candesartan, and zolarsartan. Biochem. Pharmacol. 2008, 76, 763–772. [Google Scholar] [CrossRef]
- Erichsen, T.J.; Aehlen, A.; Ehmer, U.; Kalthoff, S.; Manns, M.P.; Strassburg, C.P. Regulation of the human bile acid UDP-glucuronosyltransferase 1A3 by the farnesoid X receptor and bile acids. J. Hepatol. 2010, 52, 570–578. [Google Scholar] [CrossRef]
- Jeong, E.-S.; Kim, Y.-W.; Kim, H.-J.; Shin, H.-J.; Shin, J.-G.; Kim, K.H.; Chi, Y.H.; Paik, S.H.; Kim, D.-H. Glucuronidation of fimasartan, a new angiotensin receptor antagonist, is mainly mediated by UGT1A3. Xenobiotica 2014, 45, 10–18. [Google Scholar] [CrossRef] [PubMed]
- Shen, Y.; Li, C.G.; Zhou, S.; Pang, E.; Story, D.; Xue, C.C. Chemistry and Bioactivity of Flos Magnoliae, A Chinese Herb for Rhinitis and Sinusitis. Curr. Med. Chem. 2008, 15, 1616–1627. [Google Scholar] [CrossRef] [PubMed]
- Kim, D.K.; Liu, K.H.; Jeong, J.H.; Ji, H.Y.; Oh, S.R.; Lee, H.K.; Lee, H.S. In vitro metabolism of magnolin and characterization of cytochrome P450 enzymes responsible for its metabolism in human liver microsomes. Xenobiotica 2011, 41, 358–371. [Google Scholar] [CrossRef] [PubMed]








| UGT | Enzyme Activity | IC50 (µM) | ||||
|---|---|---|---|---|---|---|
| Eudesmin | Fargesin | Epimagnolin A | Magnolin | Yangambin | ||
| 1A1 | SN-38 glucuronidation | 24.3 | 24.7 | 7.5 | 21.3 | 29.7 |
| 1A3 | chenodeoxycholic acid 24-acyl-glucuronidation | 26.6 | 21.5 | 26.6 | 22.9 | 56.5 |
| 1A4 | trifluoperazine N-glucuronidation | >200 | 182.7 | >200 | >200 | >200 |
| 1A6 | N-acetylserotonin glucuronidation | 195.6 | 193.9 | >200 | >200 | >200 |
| 1A9 | mycophenolic acid glucuronidation | 173.2 | 110.9 | >200 | 145.7 | >200 |
| 2B7 | naloxone 3-β-D-glucuronidation | >200 | 94.7 | >200 | >200 | >200 |
| Ki (μM, Inhibition Mode) | ||
|---|---|---|
| SN-38 Glucuronidation (UGT1A1) | Chenodeoxycholic Acid 24-acyl-Glucuronidation (UGT1A3) | |
| Eudesmin | 25.7 (noncompetitive) | 39.8 (competitive) |
| Fargesin | 25.3 (noncompetitive) | 24.5 (competitive) |
| Epimagnolin A | 3.6 (noncompetitive) | 15.1 (competitive) |
| Magnolin | 26.0 (noncompetitive) | 37.6 (competitive) |
| Yangambin | 17.1 (noncompetitive) | 66.8 (competitive) |
Publisher’s Note: MDPI stays neutral with regard to jurisdictional claims in published maps and institutional affiliations. |
© 2021 by the authors. Licensee MDPI, Basel, Switzerland. This article is an open access article distributed under the terms and conditions of the Creative Commons Attribution (CC BY) license (http://creativecommons.org/licenses/by/4.0/).
Share and Cite
Park, R.; Park, E.J.; Cho, Y.-Y.; Lee, J.Y.; Kang, H.C.; Song, I.-S.; Lee, H.S. Tetrahydrofurofuranoid Lignans, Eudesmin, Fargesin, Epimagnolin A, Magnolin, and Yangambin Inhibit UDP-Glucuronosyltransferase 1A1 and 1A3 Activities in Human Liver Microsomes. Pharmaceutics 2021, 13, 187. https://doi.org/10.3390/pharmaceutics13020187
Park R, Park EJ, Cho Y-Y, Lee JY, Kang HC, Song I-S, Lee HS. Tetrahydrofurofuranoid Lignans, Eudesmin, Fargesin, Epimagnolin A, Magnolin, and Yangambin Inhibit UDP-Glucuronosyltransferase 1A1 and 1A3 Activities in Human Liver Microsomes. Pharmaceutics. 2021; 13(2):187. https://doi.org/10.3390/pharmaceutics13020187
Chicago/Turabian StylePark, Ria, Eun Jeong Park, Yong-Yeon Cho, Joo Young Lee, Han Chang Kang, Im-Sook Song, and Hye Suk Lee. 2021. "Tetrahydrofurofuranoid Lignans, Eudesmin, Fargesin, Epimagnolin A, Magnolin, and Yangambin Inhibit UDP-Glucuronosyltransferase 1A1 and 1A3 Activities in Human Liver Microsomes" Pharmaceutics 13, no. 2: 187. https://doi.org/10.3390/pharmaceutics13020187
APA StylePark, R., Park, E. J., Cho, Y.-Y., Lee, J. Y., Kang, H. C., Song, I.-S., & Lee, H. S. (2021). Tetrahydrofurofuranoid Lignans, Eudesmin, Fargesin, Epimagnolin A, Magnolin, and Yangambin Inhibit UDP-Glucuronosyltransferase 1A1 and 1A3 Activities in Human Liver Microsomes. Pharmaceutics, 13(2), 187. https://doi.org/10.3390/pharmaceutics13020187

