Prospective and Longitudinal Analysis of Lymphocyte Subpopulations in SARS-CoV-2 Positive and Negative Pneumonia: Potential Role of Decreased Naïve CD8+ in COVID-19 Patients
Abstract
1. Introduction
2. Materials and Methods
2.1. Study Design and Patients
2.2. Ethical Statement
2.3. Clinical, Laboratory, and Radiological Data
2.4. Flow Cytometry Analysis
2.5. Statistical Analysis
3. Results
3.1. Demographic and Clinical Description
| Pn+PCR+ (n = 31) | Pn+PCR− (n = 45) | p-Value | |
|---|---|---|---|
| Sex (M:F) | 22:9 | 27:18 | 0.4600 |
| Age (yrs.) | 61.6 [58.3–70.6] | 47.8 [36.3–60.8] | 0.0002 |
| BMI | 29.3 [25.0–34.6] | 29.4 [22.9–33.6] | 0.6600 |
| SARS-CoV-2 Vaccination (y:n) | 12:19 | 25:20 | 0.1600 |
| Main Comorbidity | |||
| CVD (y:n) | 20:11 | 22:23 | 0.2414 |
| Ischemic CVD (y:n) | 3:28 | 2:43 | 0.3928 |
| Hypertension (y:n) | 20:11 | 20:25 | 0.1049 |
| DMT2 (y:n) | 5:26 | 8:37 | 0.9999 |
| Renal Disease (y:n) | 1:30 | 3:42 | 0.6412 |
3.2. SARS-CoV-2 Serological Status
| Parameter | Reference | Pn+PCR+ (n = 31) | Pn+PCR− (n = 45) | p-Value |
|---|---|---|---|---|
| SARS-CoV-2 IgM (AU/mL) | <10.0 | 1.5 [0.5–8.7] | 0.4 [0.3–0.8] | 0.0002 |
| SARS-CoV-2 IgG (AU/mL) | <10.0 | 236.0 [80.9–1271.0] | 881.3 [410.2–1407.0] | 0.0122 |
| SARS-CoV-2 IgG RBD (AU/mL) | <10.0 | 13.3 [7.1–378.3] | 330.5 [68.1–772.3] | 0.0003 |
| WBC (×103/µL) | 5.0–10.0 | 6.4 [4.9–8.9] | 8.8 [6.9–11.7] | 0.0009 |
| Neutrophils (×103/µL) | 2.5–8.0 | 4.0 [3.0–6.3] | 5.6 [4.0–8.7] | 0.0104 |
| Lymphocytes (×103/µL) | 1.0–4.0 | 1.7 [1.3–2.2] | 2.0 [1.3–2.6] | 0.0154 |
| Monocytes (×103/µL) | 0.1–0.7 | 0.6 [0.4–0.9] | 0.9 [0.6–1.1] | 0.0536 |
| NLR | 1.0–3.0 | 2.7 [2.0–4.2] | 2.5 [1.7–5.9] | 0.4412 |
| Hemoglobin (g/dL) | 13.5–18.0 | 12.7 [11.9–13.7] | 13.1 [11.9–13.8] | 0.8273 |
| Thrombocytes (×103/µL) | 150–400 | 248 [195–312] | 308 [231.5–385.5] | 0.0920 |
| CRP (mg/dL) | <1.0 | 0.9 [0.5–3.9] | 0.8 [0.3–5.3] | 0.7211 |
| ESR (mm/h) | ≤15 | 24.5 [18.5–35.5] | 25.0 [13.5–32.5] | 0.5419 |
| Ferritin (ng/mL) | 12–300 | 205.5 [93.3–348.2] | 177.5 [65.0–322.9] | 0.9320 |
| Fibrinogen (g/L) | 2.0–4.0 | 3.9 [3.6–5.4] | 4.6 [3.4–5.8] | 0.5169 |
| D-Dimer (mg/L) | <0.4 | 0.3 [0.2–0.4] | 0.3 [0.2–0.5] | 0.5617 |
3.3. Main Hematological and Inflammatory Parameters in the Acute Phase of Respiratory Disease
3.4. Analysis of Lymphocyte Subsets in the Acute Phase of Respiratory Disease
| Cell Markers | T Cell Subsets | Pn+PCR+ (n = 31) | Pn+PCR− (n = 45) | p-Value |
|---|---|---|---|---|
| CD4+ T Cells | ||||
| CCR7 + CD45RO− (×103/µL) | Naive | 0.246 [0.121–0.432] | 0.320 [0.218–0.494] | 0.1038 |
| CCR7 + CD45RO− (%) | 35.16 [26.20–48.03] | 39.06 [31.68–48.16] | 0.1632 | |
| CCR7 + CD45RO+ (×103/µL) | Central Memory | 0.230 [0.163–0.384] | 0.256 [0.150–0.340] | 0.8381 |
| CCR7 + CD45RO+ (%) | 33.21 [21.50–42.75] | 25.51 [20.54–36.27] | 0.1206 | |
| CCR7-CD45RO+ (×103/µL) | Effector Memory | 0.191 [0.119–0.235] | 0.237 [0.108–0.322] | 0.1298 |
| CCR7-CD45RO+ (%) | 24.52 [18.56–32.63] | 25.74 [16.12–34.32] | 0.8469 | |
| CCR7-CD45RO− (×103/µL) | Effector | 0.016 [0.008–0.035] | 0.018 [0.009–0.033] | 0.9968 |
| CCR7-CD45RO− (%) | 2.44 [1.12–3.89] | 1.75 [1.36–2.99] | 0.3193 | |
| CD8+ T Cells | ||||
| CCR7 + CD45RO− (×103/µL) | Naive | 0.047 [0.026–0.110] | 0.155 [0.063–0.277] | 0.0036 |
| CCR7 + CD45RO− (%) | 19.39 [9.55–29.98] | 31.97 [19.25–49.63] | 0.0486 | |
| CCR7 + CD45RO+ (×103/µL) | Central Memory | 0.023 [0.013–0.057] | 0.039 [0.023–0.069] | 0.1521 |
| CCR7 + CD45RO+ (%) | 10.16 [4.25–14.68] | 9.23 [5.66–13.90] | 0.4140 | |
| CCR7-CD45RO+ (×103/µL) | Effector Memory | 0.109 [0.067–0.133] | 0.110 [0.061–0.180] | 0.1070 |
| CCR7-CD45RO+ (%) | 34.71 [23.11–45.37] | 28.46 [18.76–36.46] | 0.0314 | |
| CCR7-CD45RO− (×103/µL) | Effector | 0.072 [0.058–0.169] | 0.091 [0.052–0.192] | 0.5486 |
| CCR7-CD45RO− (%) | 28.19 [20.48–39.09] | 23.17 [14.45–35.34] | 0.1678 | |
| B Cells | ||||
| IgD + CD27− (×103/µL) | Naive | 0.075 [0.053–0.157] | 0.145 [0.093–0.278] | 0.0476 |
| IgD + CD27− (%) | 62.24 [52.27–74.01] | 69.19 [59.14–77.00] | 0.2809 | |
| IgD + CD27+ (×103/µL) | Memory Unswitched | 0.012 [0.008–0.028] | 0.024 [0.010–0.039] | 0.0613 |
| IgD + CD27+ (%) | 9.59 [5.23–13.36] | 8.90 [6.49–11.89] | 0.6200 | |
| IgD-CD27+ (×103/µL) | Memory Switched | 0.028 [0.021–0.049] | 0.039 [0.026–0.065] | 0.3987 |
| IgD-CD27+ (%) | 21.84 [12.85–31.65] | 17.28 [11.43–23.65] | 0.2323 | |
| IgD-CD27− (×103/µL) | IgD-CD27 double negative | 0.005 [0.004–0.007] | 0.006 [0.004–0.013] | 0.1904 |
| IgD-CD27− (%) | 3.64 [2.64–4.90] | 3.17 [1.95–4.83] | 0.3364 | |
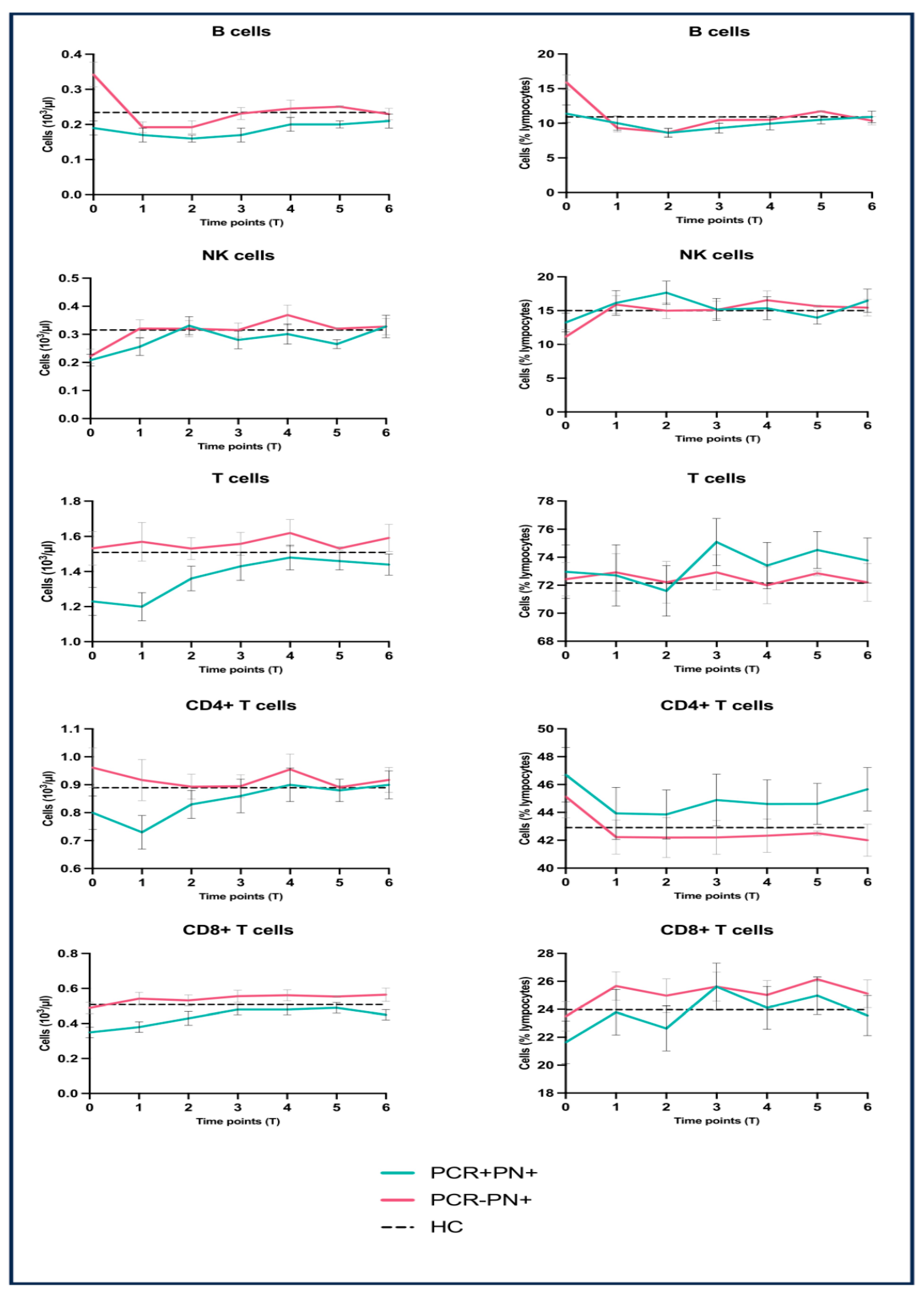
3.5. Longitudinal Analysis of Lymphocyte Subpopulations
3.6. Specific Analysis of Naïve Cells in the Three Main Lymphocyte Subpopulations


4. Discussion
5. Conclusions
Supplementary Materials
Author Contributions
Funding
Institutional Review Board Statement
Informed Consent Statement
Data Availability Statement
Conflicts of Interest
References
- WHO COVID-19 Dashboard. COVID-19 Deaths. World Health Organization Web Site. Available online: https://data.who.int/dashboards/covid19/deaths?n=c (accessed on 3 January 2024).
- WHO COVID-19 Dashboard. COVID-19 Cases. World Health Organization Web Site. Available online: https://data.who.int/dashboards/covid19/cases?n=c (accessed on 3 January 2024).
- Truszkowska, A.; Zino, L.; Butail, S.; Caroppo, E.; Jiang, Z.P.; Rizzo, A.; Porfiri, M. Exploring a COVID-19 endemic scenario: High-resolution agent-based modeling of multiple variants. Adv. Theory Simul. 2023, 6, 2200481. [Google Scholar] [CrossRef] [PubMed]
- Contreras, S.; Iftekhar, E.N.; Priesemann, V. From emergency response to long-term management: The many faces of the endemic state of COVID-19. Lancet Reg. Health Eur. 2023, 30, 100664. [Google Scholar] [CrossRef]
- Fernández-de-las-Peñas, C.; Raveendran, A.V.; Giordano, R.; Arendt-Nielsen, L. Long COVID or post-COVID-19 condition: Past, present and future research directions. Microorganisms 2023, 11, 2959. [Google Scholar] [CrossRef] [PubMed]
- Huang, W.; Berube, J.; McNamara, M.; Saksena, S.; Hartman, M.; Arshad, T.; Bornheimer, S.J.; O’Gorman, M. Lymphocyte subset counts in COVID-19 patients: A meta-Analysis. Cytometry A 2020, 97, 772–776. [Google Scholar] [CrossRef] [PubMed]
- Shahbazi, M.; Moulana, Z.; Sepidarkish, M.; Bagherzadeh, M.; Rezanejad, M.; Mirzakhani, M.; Jafari, M.; Mohammadnia-Afrouzi, M. Pronounce expression of Tim-3 and CD39 but not PD1 defines CD8 T cells in critical COVID-19 patients. Microb. Pathog. 2021, 153, 104779. [Google Scholar] [CrossRef] [PubMed]
- Agarwal, J.; Awasthi, N.P.; Singh, S.; Tiwari, V. Sequential shifting in T-helper and T-cytotoxic subset cell population in mild and severe COVID-19 patients infected with variant B.1.61. Cureus 2023, 15, e40556. [Google Scholar] [CrossRef]
- Lagadinou, M.; Zareifopoulos, N.; Gkentzi, D.; Sampsonas, F.; Kostopoulou, E.; Marangos, M.; Solomou, E. Alterations in lymphocyte subsets and monocytes in patients diagnosed with SARS-CoV-2 pneumonia: A mini review of the literature. Eur. Rev. Med. Pharmacol. Sci. 2021, 25, 5057–5062. [Google Scholar] [CrossRef] [PubMed]
- Deng, Z.; Zhang, M.; Zhu, T.; Zhili, N.; Liu, Z.; Xiang, R.; Zhang, W.; Xu, Y. Dynamic changes in peripheral blood lymphocyte subsets in adult patients with COVID-19. Int. J. Infect. Dis. 2020, 98, 353–358. [Google Scholar] [CrossRef]
- Bekbossynova, M.; Akhmaltdinova, L.; Dossybayeva, K.; Tauekelova, A.; Smagulova, Z.; Tsechoeva, T.; Turebayeva, G.; Sailybayeva, A.; Kalila, Z.; Mirashirova, T.; et al. Central and effector memory T cells in peripheral blood of patients with interstitial pneumonia: Preliminary clues from a COVID-19 study. Respir. Res. 2022, 23, 278. [Google Scholar] [CrossRef] [PubMed]
- WHO COVID-19 Case Definition. World Health Organization Web Site. Available online: https://iris.who.int/bitstream/handle/10665/337834/WHO-2019-nCoV-Surveillance_Case_Definition-2020.2-eng.pdf (accessed on 3 January 2024).
- Clinical Management of COVID-19: Living Guideline, 23 June 2022. World Health Organization Web site. Available online: https://www.who.int/publications/i/item/WHO-2019-nCoV-clinical-2023.2 (accessed on 3 January 2024).
- Apoil, P.A.; Puissant-Lubrano, B.; Congy-Jolivet, N.; Peres, M.; Tkaczuk, J.; Roubinet, F.; Blancher, A. Reference values for T, B and NK human lymphocyte subpopulations in adults. Data Brief 2017, 12, 400–404. [Google Scholar] [CrossRef]
- Saadati, Z.; Haghshenas, M.R.; Rezaeifard, S.; Heidari, F.; Erfani, N. Reference ranges of lymphocyte subsets in healthy individuals from southern Iran. Clin. Lab 2022, 68, 36250836. [Google Scholar] [CrossRef] [PubMed]
- Zhang, P.; Du, W.; Yang, T.; Zhao, L.; Xiong, R.; Li, Y.; Geng, Y.; Lu, W.; Zhou, J. Lymphocyte subsets as a predictor of severity and prognosis in COVID-19 patients. Int. J. Immunopathol. Pharmacol. 2021, 35, 20587384211048567. [Google Scholar] [CrossRef]
- Calvet, J.; Gratacós, J.; Amengual, M.J.; Llop, M.; Navarro, M.; Moreno, A.; Berenguer-Llergo, A.; Serrano, A.; Orellana, C.; Cervantes, M. CD4 and CD8 lymphocyte counts as surrogate early markers for progression in SARS-CoV-2 pneumonia: A prospective study. Viruses 2020, 12, 1277. [Google Scholar] [CrossRef]
- Balzanelli, M.G.; Distratis, P.; Dipalma, G.; Vimercati, L.; Catucci, O.; Amatulli, F.; Cefalo, A.; Lazzaro, R.; Palazzo, D.; Aityan, S.K.; et al. Immunity profiling of COVID-19 infection, dynamic variations of lymphocyte subsets, a comparative analysis on four different groups. Microorganisms 2021, 9, 2036. [Google Scholar] [CrossRef]
- Kratzer, B.; Gattinger, P.; Trapin, D.; Ettel, P.; Körmöczi, U.; Rottal, A.; Stieger, R.B.; Sehgal, A.N.A.; Feichter, M.; Borochova, K.; et al. Differential decline of SARS-CoV-2-specific antibody levels, innate and adaptive immune cells, and shift of Th1/inflammatory to Th2 serum cytokine levels long after first COVID-19. Allergy 2024, 79, 2482–2501. [Google Scholar] [CrossRef]
- Qian, F.; Gao, G.; Song, Y.; Xu, Y.; Wang, A.; Wang, S.; Hao, Y.; Chen, M.; Ma, X.; Zhao, T.; et al. Specific dynamic variations in the peripheral blood lymphocyte subsets in COVID-19 and severe influenza A patients: A retrospective observational study. BMC Infect. Dis. 2020, 20, 910. [Google Scholar] [CrossRef]
- Fox, A.; Le, N.M.; Horby, P.; van Doorn, H.R.; Nguyen, V.T.; Nguyen, H.H.; Nguyen, T.C.; Vu, D.P.; Nguyen, M.H.; Diep, N.T.; et al. Severe pandemic H1N1 2009 infection is associated with transient NK and T deficiency and aberrant CD8 responses. PLoS ONE 2012, 7, e31535. [Google Scholar] [CrossRef]
- He, Z.; Zhao, C.; Dong, Q.; Zhuang, H.; Song, S.; Peng, G.; Dwyer, D.E. Effects of severe acute respiratory syndrome (SARS) coronavirus infection on peripheral blood lymphocytes and their subsets. Int. J. Infect. Dis. 2005, 9, 323–330. [Google Scholar] [CrossRef]
- Guo, X.; Chen, Y.; Li, X.; Kong, H.; Yang, S.; Ye, B.; Cui, D.; Wu, W.; Li, L. Dynamic variations in the peripheral blood lymphocyte subgroups of patients with 2009 pandemic H1N1 swine-origin influenza A virus infection. Virol. J. 2011, 8, 215. [Google Scholar] [CrossRef] [PubMed]
- Wang, N.; Liu, X.; Zhang, Y.; Xie, Y.; Zhao, W. Hematologic markers of influenza A H1N1 for early laboratory diagnosis and treatment assessment. Lab Med. 2011, 42, 607–611. [Google Scholar] [CrossRef]
- Qin, C.; Zhou, L.; Hu, Z.; Zhang, S.; Yang, S.; Tao, Y.; Xie, C.; Ma, K.; Shang, K.; Wang, W.; et al. Dysregulation of immune response in patients with coronavirus 2019 (COVID-19) in Wuhan, China. Clin. Infect. Dis. 2020, 71, 762–768. [Google Scholar] [CrossRef] [PubMed]
- Jiang, M.; Guo, Y.; Luo, Q.; Huang, Z.; Zhao, R.; Liu, S.; Le, A.; Li, J.; Wan, L. T-Cell subset counts in peripheral blood can be used as discriminatory biomarkers for diagnosis and severity prediction of Coronavirus disease 2019. J. Infect. Dis. 2020, 222, 198–202. [Google Scholar] [CrossRef] [PubMed]
- Wan, S.; Yi, Q.; Fan, S.; Lv, J.; Zhang, X.; Guo, L.; Lang, C.; Xiao, Q.; Xiao, K.; Yi, Z.; et al. Relationships among lymphocyte subsets, cytokines, and the pulmonary inflammation index in coronavirus (COVID-19) infected patients. Br. J. Haematol. 2020, 189, 428–437. [Google Scholar] [CrossRef] [PubMed]
- Onofrio, L.I.; Marin, C.; Dutto, J.; Brugo, M.B.; Baigorri, R.E.; Bossio, S.N.; Quiróz, J.N.; Almada, L.; Ruiz Moreno, F.; Olivera, C.; et al. COVID-19 patients display changes in lymphocyte subsets with a higher frequency of dysfunctional CD8lo T cells associated with disease severity. Front. Immunol. 2023, 14, 1223730. [Google Scholar] [CrossRef]
- Kwiecień, I.; Rutkowska, E.; Kłos, K.; Więsik-Szewczyk, E.; Jahnz-Różyk, K.; Rzepecki, P.; Chciałowski, A. Maturation of T and B Lymphocytes in the Assessment of the Immune Status in COVID-19 Patients. Cells 2020, 9, 2615. [Google Scholar] [CrossRef]
- Mann, E.R.; Menon, M.; Knight, S.B.; Konkel, J.E.; Jagger, C.; Shaw, T.N.; Krishnan, S.; Rattray, M.; Ustianowski, A.; Bakerly, N.D.; et al. Longitudinal immune profiling reveals key myeloid signatures associated with COVID-19. Sci. Immunol. 2020, 5, eabd6197. [Google Scholar] [CrossRef]
- Kreutmair, S.; Unger, S.; Núñez, N.G.; Ingelfinger, F.; Alberti, C.; De Feo, D.; Krishnarajah, S.; Kauffmann, M.; Friebel, E.; Babaei, S.; et al. Distinct immunological signatures discriminate severe COVID-19 from non-SARS-CoV-2-driven critical pneumonia. Immunity 2021, 54, 1578–1593.e5. [Google Scholar] [CrossRef]
- Rajamanickam, A.; Pavan Kumar, N.; Pandiaraj, A.N.; Selvaraj, N.; Munisankar, S.; Renji, R.M.; Venkataramani, V.; Murhekar, M.; Thangaraj, J.W.V.; Muthusamy, S.K.; et al. Characterization of memory T cell subsets and common γ-chain cytokines in convalescent COVID-19 individuals. J. Leukoc. Biol. 2022, 112, 201–212. [Google Scholar] [CrossRef] [PubMed]
- Shuwa, H.A.; Shaw, T.N.; Knight, S.B.; Wemyss, K.; McClure, F.A.; Pearmain, L.; Prise, I.; Jagger, C.; Morgan, D.J.; Khan, S.; et al. Alterations in T and B cell function persist in convalescent COVID-19 patients. Med 2021, 2, 720–735.e4. [Google Scholar] [CrossRef]
- Wiech, M.; Chroscicki, P.; Swatler, J.; Stepnik, D.; De Biasi, S.; Hampel, M.; Brewinska-Olchowik, M.; Maliszewska, A.; Sklinda, K.; Durlik, M.; et al. Remodeling of T cell dynamics during long COVID is dependent on severity of SARS-CoV-2 infection. Front. Immunol. 2022, 13, 886431. [Google Scholar] [CrossRef] [PubMed]
- Carsana, L.; Sonzogni, A.; Nasr, A.; Rossi, R.S.; Pellegrinelli, A.; Zerbi, P.; Rech, R.; Colombo, R.; Antinori, S.; Corbellino, M.; et al. Pulmonary post-mortem findings in a series of COVID-19 cases from northern Italy: A two-centre descriptive study. Lancet Infect. Dis. 2020, 20, 1135–1140. [Google Scholar] [CrossRef] [PubMed]
- Zarrilli, G.; Angerilli, V.; Businello, G.; Sbaraglia, M.; Traverso, G.; Fortarezza, F.; Rizzo, S.; De Gaspari, M.; Basso, C.; Calabrese, F.; et al. The immunopathological and histological landscape of COVID-19-mediated lung injury. Int. J. Mol. Sci. 2021, 22, 974. [Google Scholar] [CrossRef] [PubMed]
- Puzyrenko, A.; Felix, J.C.; Ledeboer, N.A.; Sun, Y.; Rui, H.; Sheinin, Y. Cytotoxic CD8-positive T-lymphocyte infiltration in the lungs as a histological pattern of SARS-CoV-2 pneumonitis. Pathology 2022, 54, 404–408. [Google Scholar] [CrossRef]
- McMullen, P.; Pytel, P.; Snyder, A.; Smith, H.; Vickery, J.; Brainer, J.; Guzy, R.; Wu, D.; Schoettler, N.; Adegunsoye, A.; et al. A series of COVID-19 autopsies with clinical and pathologic comparisons to both seasonal and pandemic influenza. J. Pathol. Clin. Res. 2021, 7, 459–470. [Google Scholar] [CrossRef]
- Ackermann, M.; Verleden, S.E.; Kuehnel, M.; Haverich, A.; Welte, T.; Laenger, F.; Vanstapel, A.; Werlein, C.; Stark, H.; Tzankov, A.; et al. Pulmonary vasculare, thrombosis, and angiogenesis in COVID-19. N. Engl. J. Med. 2020, 383, 120–128. [Google Scholar] [CrossRef]
- Kudryavtsev, I.V.; Arsentieva, N.A.; Korobova, Z.R.; Isakov, D.V.; Rubinstein, A.A.; Batsunov, O.K.; Khamitova, I.V.; Kuznetsova, R.N.; Savin, T.V.; Akisheva, T.V.; et al. Heterogenous CD8+ T cell maturation and ’polarization’ in acute and convalescent COVID-19 patients. Viruses 2022, 14, 1906. [Google Scholar] [CrossRef] [PubMed]
- Zhang, S.; Asquith, B.; Szydlo, R.; Tregoning, J.S.; Pollock, K.M. Peripheral T cell lymphopenia in COVID-19: Potential mechanisms and impact. Immunother. Adv. 2021, 1, ltab015. [Google Scholar] [CrossRef] [PubMed]
- Kumar, B.V.; Connors, T.J.; Farber, D.L. Human T cell development, localization, and function throughout life. Immunity 2018, 48, 202–213. [Google Scholar] [CrossRef] [PubMed]
- Van den Broek, T.; Borghans, J.A.M.; van Wijk, F. The full spectrum of human naive T cells. Nat. Rev. Immunol. 2018, 18, 363–373. [Google Scholar] [CrossRef] [PubMed]
- Zhang, W.; Zhou, Y.; Kang, Y. Naïve T cells may be key to the low mortality of children with COVID-19. J. Evid. Based Med. 2022, 15, 3–5. [Google Scholar] [CrossRef]
- Almendro-Vázquez, P.; Laguna-Goya, R.; Paz-Artal, E. Defending against SARS-CoV-2: The T cell perspective. Front. Immunol. 2023, 14, 1107803. [Google Scholar] [CrossRef]

| Lymphocyte Subpopulation | Pn+PCR+ (n = 31) | Pn+PCR− (n = 45) | p-Value |
|---|---|---|---|
| B cells (×103/µL) | 0.151 [0.097–0.278] | 0.280 [0.196–0.454] | 0.0017 |
| B cells (%) | 9.61 [6.79–13.15] | 14.05 [10.65–19.98] | 0.0048 |
| NK cells (×103/µL) | 0.174 [0.122–0.282] | 0.161 [0.086–0.340] | 0.3680 |
| NK cells (%) | 11.33 [7.41–18.30] | 10.27 [5.00–16.26] | 0.4642 |
| T cells (103/µL) | 1.215 [0.835–1.621] | 1.533 [0.986–1.863] | 0.1186 |
| T cells (%) | 75.49 [64.15–81.01] | 72.96 [65.77–79.55] | 0.5566 |
| CD4+ T cells (×103/µL) | 0.709 [0.489–1.099] | 0.893 [0.566–1.207] | 0.5022 |
| CD4+ T cells (%) | 45.33 [38.85–54.48] | 45.46 [37.61–51.98] | 0.9636 |
| CD8+ T cells (×103/µL) | 0.319 [0.243–0.479] | 0.469 [0.280–0.656] | 0.0351 |
| CD8+ T cells (%) | 20.44 [13.89–25.25] | 22.80 [17.14–27.98] | 0.4322 |
| DNT cells (×103/µL) | 0.030 [0.022–0.048] | 0.045 [0.022–0.060] | 0.5022 |
| DNT cells (%) | 2.20 [1.31–3.45] | 2.10 [1.41–2.61] | 0.2787 |
| DPT cells (×103/µL) | 0.012 [0.007–0.022] | 0.014 [0.007–0.022] | 0.9944 |
| DPT cells (%) | 0.82 [0.43–1.31] | 0.63 [0.34–1.25] | 0.9168 |
Disclaimer/Publisher’s Note: The statements, opinions and data contained in all publications are solely those of the individual author(s) and contributor(s) and not of MDPI and/or the editor(s). MDPI and/or the editor(s) disclaim responsibility for any injury to people or property resulting from any ideas, methods, instructions or products referred to in the content. |
© 2024 by the authors. Licensee MDPI, Basel, Switzerland. This article is an open access article distributed under the terms and conditions of the Creative Commons Attribution (CC BY) license (https://creativecommons.org/licenses/by/4.0/).
Share and Cite
Bekbossynova, M.; Akhmaltdinova, L.; Dossybayeva, K.; Tauekelova, A.; Smagulova, Z.; Tsechoeva, T.; Turebayeva, G.; Sailybayeva, A.; Kalila, Z.; Mirashirova, T.; et al. Prospective and Longitudinal Analysis of Lymphocyte Subpopulations in SARS-CoV-2 Positive and Negative Pneumonia: Potential Role of Decreased Naïve CD8+ in COVID-19 Patients. Viruses 2025, 17, 41. https://doi.org/10.3390/v17010041
Bekbossynova M, Akhmaltdinova L, Dossybayeva K, Tauekelova A, Smagulova Z, Tsechoeva T, Turebayeva G, Sailybayeva A, Kalila Z, Mirashirova T, et al. Prospective and Longitudinal Analysis of Lymphocyte Subpopulations in SARS-CoV-2 Positive and Negative Pneumonia: Potential Role of Decreased Naïve CD8+ in COVID-19 Patients. Viruses. 2025; 17(1):41. https://doi.org/10.3390/v17010041
Chicago/Turabian StyleBekbossynova, Makhabbat, Lyudmila Akhmaltdinova, Kuanysh Dossybayeva, Ainur Tauekelova, Zauresh Smagulova, Tatyana Tsechoeva, Gulsimzhan Turebayeva, Aliya Sailybayeva, Zhanar Kalila, Takhmina Mirashirova, and et al. 2025. "Prospective and Longitudinal Analysis of Lymphocyte Subpopulations in SARS-CoV-2 Positive and Negative Pneumonia: Potential Role of Decreased Naïve CD8+ in COVID-19 Patients" Viruses 17, no. 1: 41. https://doi.org/10.3390/v17010041
APA StyleBekbossynova, M., Akhmaltdinova, L., Dossybayeva, K., Tauekelova, A., Smagulova, Z., Tsechoeva, T., Turebayeva, G., Sailybayeva, A., Kalila, Z., Mirashirova, T., Muratov, T., & Poddighe, D. (2025). Prospective and Longitudinal Analysis of Lymphocyte Subpopulations in SARS-CoV-2 Positive and Negative Pneumonia: Potential Role of Decreased Naïve CD8+ in COVID-19 Patients. Viruses, 17(1), 41. https://doi.org/10.3390/v17010041

